Biodisinfection as a Profitable Fertilization Method for Horticultural Crops in the Framework of the Circular Economy
Abstract
:1. Introduction
- -
- To evaluate the fertilizing effect of various organic amendments (Brassica carinata pellets and/or tomato plant debris) on final production and quality with a 100% reduction in inorganic fertilization versus conventional cultivation and no fertilization in tomato production cycles of at least seven and a half months, the vigor of seedlings grown under controlled conditions, the application of irrigation water, and the economic benefit.
- -
- To study the economic impact of the reuse of plant debris on the economic benefit of the five main rotation alternatives used in greenhouse agriculture in the province of Almeria.
2. Materials and Methods
2.1. Location, Greenhouse, Irrigation System, and Soil
2.2. Production Cycles and Crop Management
2.3. Experimental Design
2.4. Disinfection Process
2.5. Crop Production
2.6. Crop Quality
2.7. Evaluation of Seedling Growth in a Controlled Environment Chamber
- Sampling and soil samples
- 2.
- Definition and plant material
- 3.
- Description of the experiments
- 4.
- Analyzed variables and measurement process
2.8. Irrigation Water
2.9. Economic Analysis
2.9.1. Analysis 1
2.9.2. Analysis 2
- Production methodologies evaluated in Analysis 2
- Methodology 1: The conventional production protocol performed in the greenhouse horticultural field of Almeria as described by Honoré et al. [2].
- Methodology 2: An alternative production model. A proposal for the self-management of plant debris obtained during the production process. A reduction in the water (37.2%), land preparation, external management of plant debris (100%), and chemical soil disinfectants (100%) is contemplated. However, traditional inorganic cover crop fertilization is maintained.
- Methodology 3: Production Methodology 2 is carried out contemplating a total reduction in inorganic fertilizers during 215 of the 310 days of the vegetative growth phase and the production period.
2.9.3. Income and Expense Structure
- Cost
- 2.
- Income
2.10. Statistical Treatment
3. Results and Discussion
3.1. Crop Production
3.2. Crop Quality
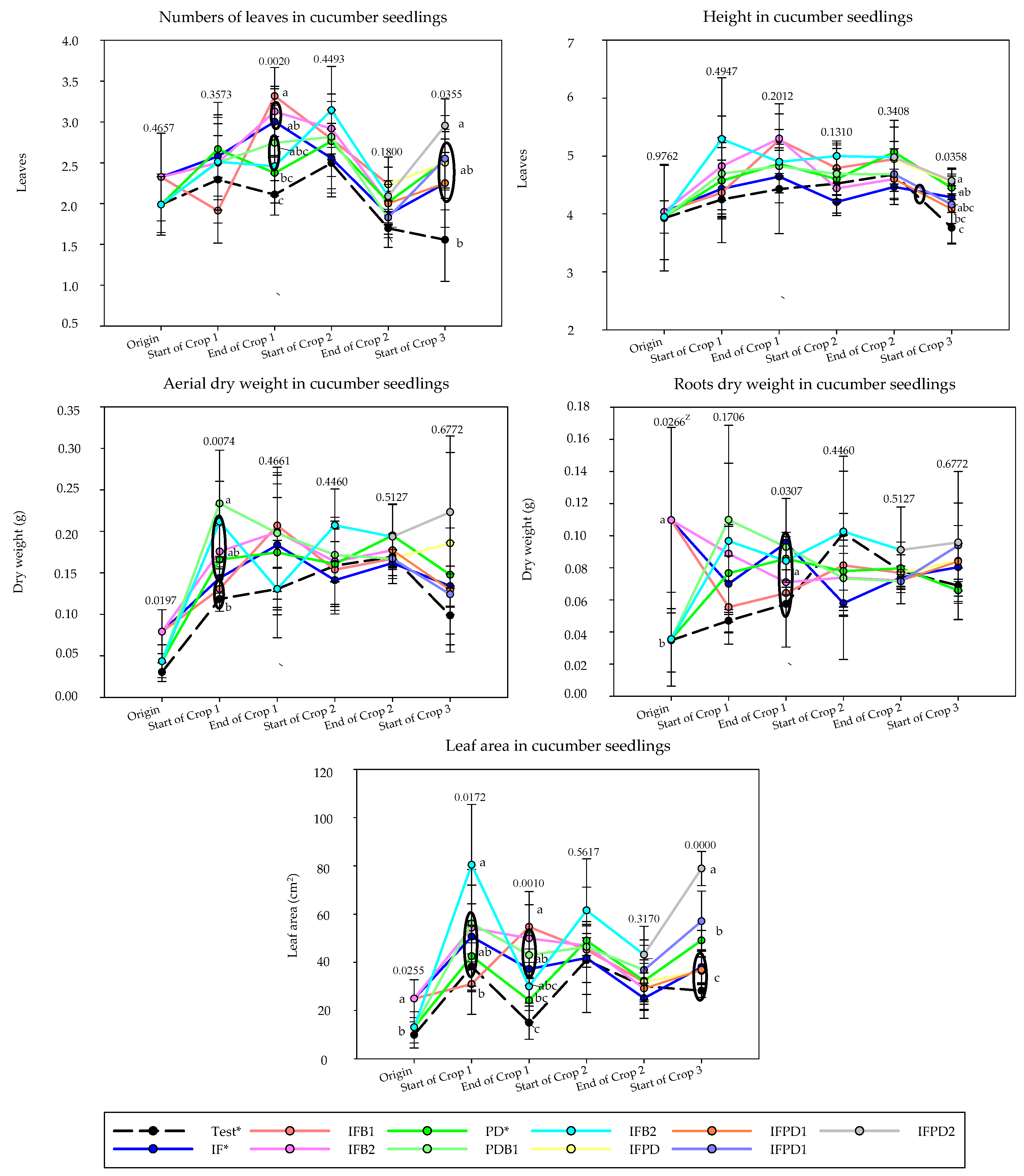
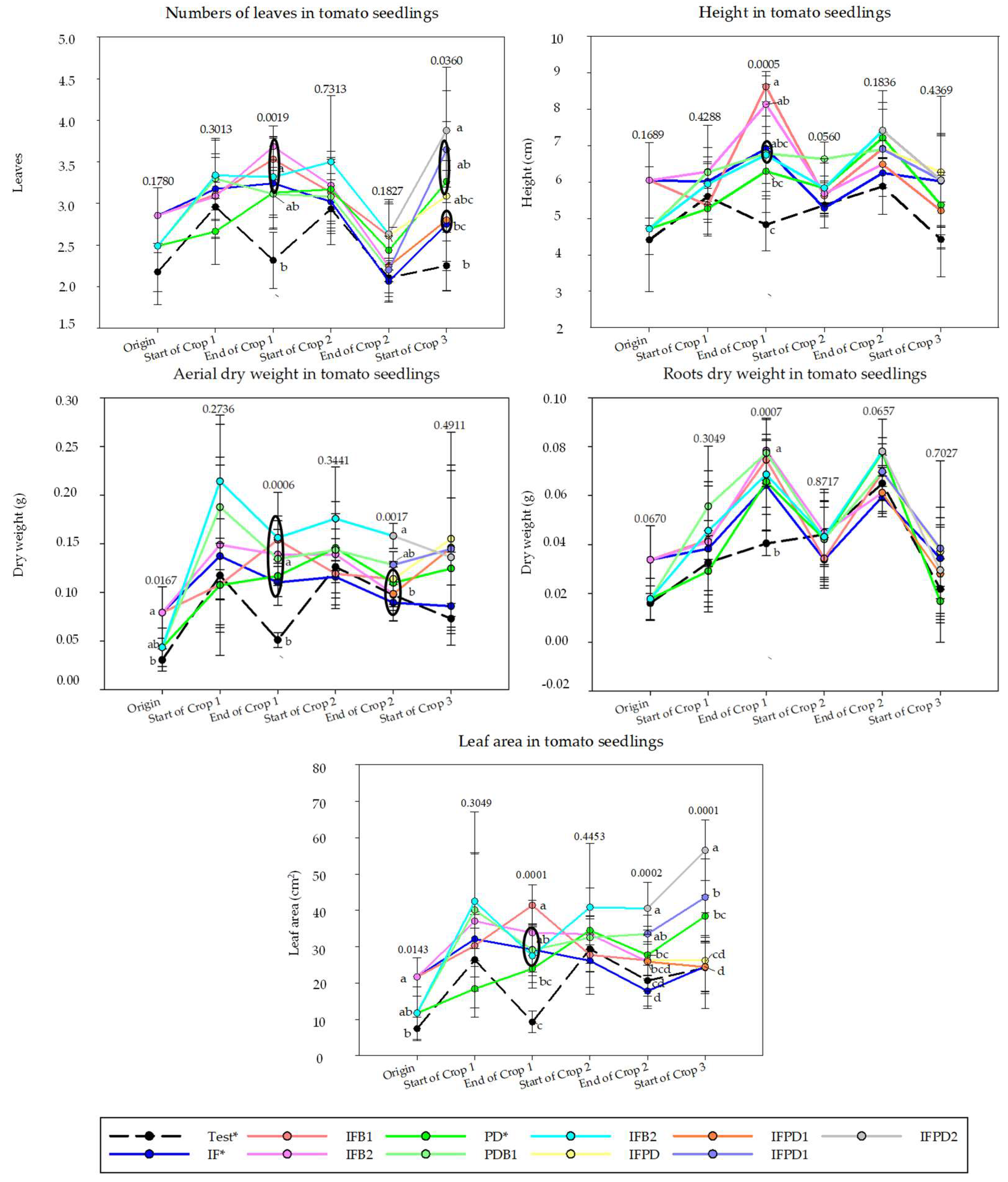
3.3. Evaluation of Seedling Growth in a Controlled Environment Chamber
3.4. Irrigation Water
3.5. Economic Analysis
3.5.1. Analysis 1
3.5.2. Analysis 2
4. Conclusions
Author Contributions
Funding
Institutional Review Board Statement
Informed Consent Statement
Data Availability Statement
Acknowledgments
Conflicts of Interest
Appendix A
| Crop 1 | Crop 2 | Crop 3 | ||||||||||||||||||||
|---|---|---|---|---|---|---|---|---|---|---|---|---|---|---|---|---|---|---|---|---|---|---|
| Test | IF | IFB1 | IFB2 | PD | PDB1 | PDB2 | Test | IF | IFB1 | IFB2 | PD | PDB1 | PDB2 | Test | IF | IFPD | IFPD2 | PD | PD1 | PD2 | ||
| Variable Cost (€/ha) | Technical assessment | 153 1 | 152 1 | 155 1 | ||||||||||||||||||
| Soil preparation | 0 1 | 0 1 | 0 1 | |||||||||||||||||||
| Removal of plant debris | 998 | 998 | 998 | 998 | 0 | 0 | 0 | 990 | 990 | 990 | 990 | 0 | 0 | 0 | 1005 | 1005 | 0 | 0 | 0 | 0 | 0 | |
| PD incorporation | 0 | 0 | 0 | 0 | 1171 | 1171 | 1171 | 0 | 0 | 0 | 0 | 1161 | 1161 | 1161 | 0 | 0 | 1179 | 1179 | 1179 | 1179 | 1179 | |
| Solarization | 1714 1 | 1700 1 | 1725 1 | |||||||||||||||||||
| Water for solarization | 225 | 225 | 225 | 225 | 141 | 141 | 141 | 223 | 223 | 223 | 223 | 140 | 140 | 140 | 226 | 226 | 226 | 226 | 142 | 142 | 142 | |
| Chemical disinfectant | 0 1 | 0 1 | 0 1 | |||||||||||||||||||
| Brassica carinata pellets | 0 | 0 | 7569 | 15,139 | 0 | 7569 | 15,139 | 0 | 0 | 7509 | 15,018 | 0 | 7509 | 15,018 | 0 1 | |||||||
| Banding | 0 | 0 | 525 | 525 | 0 | 525 | 525 | 0 | 0 | 521 | 521 | 0 | 521 | 521 | 0 1 | |||||||
| Covering and structure | 2356 1 | 2337 1 | 2372 1 | |||||||||||||||||||
| Seeds and seedling production | 5683 1 | 5638 1 | 5722 1 | |||||||||||||||||||
| Labor, inputs, etc. | 34,390 1 | 34,115 1 | 34,627 | |||||||||||||||||||
| Water | 2957 | 2957 | 2957 | 2957 | 1857 | 1857 | 1857 | 2933 | 2933 | 2933 | 2933 | 1842 | 1842 | 1842 | 2977 | 2977 | 2977 | 2977 | 1870 | 1870 | 1870 | |
| Fertilizers | 0 | 2480 | 2480 | 2480 | 0 | 0 | 0 | 0 | 2460 | 2460 | 2460 | 0 | 0 | 0 | 0 | 2497 | 2497 | 2497 | 0 | 0 | 0 | |
| Fixed Costs (€/ha) | Soil maintenance | 2044 1 | 2028 1 | 2075 1 | ||||||||||||||||||
| Covering and structure | 4092 1 | 4060 1 | 4153 1 | |||||||||||||||||||
| Energy and fixed supplies | 1617 1 | 1604 1 | 1641 1 | |||||||||||||||||||
| IMF | 3558 1 | 3530 1 | 3611 1 | |||||||||||||||||||
| Equipment and irrigation system | 10,183 1 | 10,101 1 | 10,334 1 | |||||||||||||||||||
| Total cost | 69,970 | 72,451 | 80,545 | 88,114 | 68,960 | 77,054 | 84,624 | 69,411 | 71,871 | 79,901 | 87,409 | 68,408 | 76,438 | 83,947 | 70,622 | 73,120 | 73,294 | 73,294 | 69,605 | 69,605 | 69,605 | |
| Variation with IF (%) | −3.4 | 0.0 | 11.2 | 21.6 | −4.8 | 6.4 | 16.8 | −3.4 | 0.0 | 11.2 | 21.6 | −4.8 | 6.4 | 16.8 | −3.4 | 0.0 | 0.2 | 0.2 | −4.8 | −4.8 | −4.8 | |
| Alternative 1 | Alternative 2 | Alternative 3 | Alternative 4 | Alternative 5 | ||||||||||||
|---|---|---|---|---|---|---|---|---|---|---|---|---|---|---|---|---|
| M1 | M2 | M3 | M1 | M2 | M3 | M1 | M2 | M3 | M1 | M2 | M3 | M1 | M2 | M3 | ||
| Variable Cost (€/ha) | Total variable cost | 398,957 | 388,173 | 371,107 | 393,216 | 383,165 | 370,519 | 392,649 | 382,683 | 370,380 | 386,826 | 376,636 | 366,121 | 383,050 | 375,905 | 362,073 |
| Technical assessment | 1563 | 1563 | 1563 | 1563 | 1563 | 1563 | 1563 | 1563 | 1563 | 1563 | 1563 | 1563 | 1563 | 1563 | 1563 | |
| Soil preparation | 39,429 | 28,830 | 28,830 | 39,429 | 28,830 | 28,830 | 39,429 | 28,830 | 28,830 | 39,429 | 28,830 | 28,830 | 27,556 | 20,149 | 20,149 | |
| Removal of plant debris | 10,167 | 0 | 0 | 10,167 | 0 | 0 | 10,167 | 0 | 0 | 10,167 | 0 | 0 | 7124 | 0 | 0 | |
| PD incorporation | 0 | 9446 | 9446 | 0 | 9446 | 9446 | 0 | 9446 | 9446 | 0 | 9446 | 9446 | 0 | 7058 | 7058 | |
| Solarization | 4365 | 8730 | 8730 | 4365 | 8730 | 8730 | 4365 | 8730 | 8730 | 4365 | 8730 | 8730 | 4372 | 8730 | 8730 | |
| Water for solarization | 582 | 719 | 719 | 582 | 719 | 719 | 582 | 719 | 719 | 582 | 719 | 719 | 582 | 719 | 719 | |
| Chemical disinfectant | 514 | 0 | 0 | 514 | 0 | 0 | 514 | 0 | 0 | 514 | 0 | 0 | 514 | 0 | 0 | |
| Covering and structure | 24,004 | 24,004 | 24,004 | 24,004 | 24,004 | 24,004 | 24,004 | 24,004 | 24,004 | 24,004 | 24,004 | 24,004 | 24,004 | 24,004 | 24,004 | |
| Seeds and seedling production | 40,146 | 40,146 | 40,146 | 46,458 | 46,458 | 46,458 | 53,523 | 53,523 | 53,523 | 43,882 | 43,882 | 43,882 | 32,308 | 32,308 | 32,308 | |
| Labor and inputs | 246,736 | 246,736 | 246,736 | 240,963 | 240,963 | 240,963 | 234,534 | 234,534 | 234,534 | 236,291 | 236,291 | 238,967 | 255,389 | 255,389 | 255,389 | |
| Water | 9279 | 5827 | 5827 | 7309 | 4590 | 4590 | 7079 | 4446 | 4446 | 7684 | 4826 | 4826 | 9843 | 6182 | 6182 | |
| Fertilizers | 22,171 | 22,171 | 5105 | 17,861 | 17,861 | 5215 | 16,887 | 16,887 | 10,350 | 15,669 | 15,669 | 5154 | 19,744 | 19,804 | 5971 | |
| Fixed Costs (€/ha) | Total fixed costs | 99,397 | 99,397 | 99,397 | 99,397 | 99,397 | 99,397 | 99,397 | 99,397 | 99,397 | 99,397 | 99,397 | 99,397 | 108,230 | 109,214 | 109,214 |
| Soil maintenance | 10,415 | 10,415 | 10,415 | 10,415 | 10,415 | 10,415 | 10,415 | 10,415 | 10,415 | 10,415 | 10,415 | 10,415 | 10,514 | 10,514 | 10,514 | |
| Covering and structure | 20,847 | 20,847 | 20,847 | 20,847 | 20,847 | 20,847 | 20,847 | 20,847 | 20,847 | 20,847 | 20,847 | 20,847 | 21,048 | 21,048 | 21,048 | |
| Energy and fixed supplies | 8234 | 8234 | 8234 | 8234 | 8234 | 8234 | 8234 | 8234 | 8234 | 8234 | 8234 | 8234 | 8311 | 8311 | 8311 | |
| IMF | 18,130 | 18,130 | 18,130 | 18,130 | 18,130 | 18,130 | 18,130 | 18,130 | 18,130 | 18,130 | 18,130 | 18,130 | 18,303 | 18,303 | 18,303 | |
| Equipment and irrigation system | 41,772 | 41,772 | 41,772 | 41,772 | 41,772 | 41,772 | 41,772 | 41,772 | 41,772 | 41,772 | 41,772 | 41,772 | 50,053 | 51,037 | 51,037 | |
References
- Camacho-Ferre, F. Técnicas de Producción de Cultivos Protegidos (Tomo I); Cajamar-Caja Rural: Almería, Spain, 2004; pp. 1–389. ISBN 84-95531-16-X. [Google Scholar]
- Honoré, M.N.; Belmonte-Ureña, L.J.; Navarro-Velasco, A.; Camacho-Ferre, F. Profit Analysis of Papaya Crops under Greenhouses as an Alternative to Traditional Intensive Horticulture in Southeast Spain. Int. J. Environ. Res. Public Health 2019, 16, 2908. [Google Scholar] [CrossRef] [PubMed] [Green Version]
- Cajamar. Análisis de la Campaña Hortofrutícola de Almería; Cajamar-Caja Rural: Almería, Spain, 2021; pp. 1–100. [Google Scholar]
- Toboso-Chavero, S.; Madrid-López, C.; Villalba, G.; Gabarrell Durany, X.; Hückstädt, A.B.; Finkbeiner, M.; Lehmann, A. Environmental and social life cycle assessment of growing media for urban rooftop farming. Int. J. Life Cycle Assess. 2021, 26, 2085–2102. [Google Scholar] [CrossRef]
- de Andalucía, J. Caracterización de los Invernaderos de Andalucía; Pesca y Desarrollo Sostenible: Sevilla, Spain, 2015; pp. 1–113. [Google Scholar]
- Vanthoor, B.H.E.; Stigter, J.D.; Van Henten, E.J.; Stanghellini, C.; de Visser, P.H.B.; Hemming, S. A methodology for model-based greenhouse design: Part 5, greenhouse design optimisation for southern-Spanish and Dutch conditions. Biosyst. Eng. 2012, 111, 350–368. [Google Scholar] [CrossRef]
- Valera-Martínez, D.L.; Belmonte-Ureña, L.J.; Molina Aiz, F.D.; Camacho-Ferre, F. The greenhouses of Almería, Spain: Technological analysis and profitability. Acta Hortic. 2017, 1170, 219–226. [Google Scholar] [CrossRef]
- Valera-Martínez, D.L.; Belmonte-Ureña, L.J.; Molina Aiz, F.D.; López Martínez, A. Los Invernaderos de Almería. Análisis de su Tecnología y Rentabilidad; Cajamar Caja Rural: Almería, Spain, 2014; pp. 1–504. ISBN 978-84-95531-61-2. [Google Scholar]
- Caparrós-Martínez, J.; Rueda-López, N.; Milán-García, J.; de Pablo Valenciano, J. Public policies for sustainability and water security: The case of Almeria (Spain). Glob. Ecol. Conserv. 2020, 23, e01037. [Google Scholar] [CrossRef]
- Castro, A.J.; López-Rodríguez, M.D.; Giagnocavo, C.; Giménez, M.; Céspedes, L.; La Calle, A.; Gallardo, M.; Pumares, P.; Cabello, J.; Rodríguez, E.; et al. Six Collective Challenges for Sustainability of Almerí a Greenhouse Horticulture. Int. J. Environ. Res. Public Health 2019, 16, 4097. [Google Scholar] [CrossRef] [Green Version]
- Duque-Acevedo, M.; Belmonte-Ureña, L.J.; Plaza-Úbeda, J.A.; Camacho-Ferre, F. The Management of Agricultural Waste Biomass in the Framework of Circular Economy and Bioeconomy: An Opportunity for Greenhouse Agriculture in Southeast Spain. Agronomy 2020, 10, 489. [Google Scholar] [CrossRef] [Green Version]
- de Andalucía, J. Líneas de Actuación en Materia de Gestión de Restos Vegetales en la Horticultura de Andalucía; Pesca y Desarrollo Sostenible: Sevilla, Spain, 2016; pp. 1–45. [Google Scholar]
- Camacho-Ferre, F. Estudio Técnico de Plan de Higiene Rural. Término Municipal de Níjar. 1; Universidad de Almería Monsul Ingeniería y Níjar Natura: Almería, Spain, 2000; pp. 1–570. [Google Scholar]
- European Comission. A Sustainable Bioeconomy for Europe: Strengthening the Connection Between Economy, Society and the Environment; Office of the European Union: Brussels, Belgium, 2018; pp. 1–14. [Google Scholar]
- European Comission. The European Green Deal; Office of the European Union: Brussels, Belgium, 2019; pp. 1–28. [Google Scholar]
- European Comission. A New Circular Economy Action Plan. In For a Cleaner and More Competitive Europe; Office of the European Union: Brussels, Belgium, 2020; pp. 1–19. [Google Scholar]
- European Comission. EU Biodiversity Strategy for 2030. Bringing Nature Back Into Our Lives; Office of the European Union: Brussels, Belgium, 2020; pp. 1–23. [Google Scholar]
- European Comission. A Farm to Fork Strategy for a Fair, Healthy and Environmentally-Friendly Food System; Office of the European Union: Brussels, Belgium, 2020; pp. 1–23. [Google Scholar]
- European Union. Directive (EU) 2018/851 of the European Parliament and of the Council of 30 May 2018 amending Directive 2008/98/EC on Waste. Off. J. Eur. Union L Ser. 2018, 150, 109–140. [Google Scholar]
- Camacho-Ferre, F. Diferentes Alternativas Para la Gestión del Residuo Biomasa Procedente de Cultivos de Invernadero. In Innovaciones Tecnológicas en Cultivos de Invernadero; Fernández-Rodríguez, E.J., Ed.; Ediciones Agrotécnicas: Madrid, Spain, 2004; pp. 211–238. ISBN 94-87480-52-7. [Google Scholar]
- Egea, F.J.; Torrente, R.G.; Aguilar, A. An efficient agro-industrial complex in Almería (Spain): Towards an integrated and sustainable bioeconomy model. N. Biotechnol. 2017, 40, 103–112. [Google Scholar] [CrossRef]
- Belmonte-Ureña, L.J.; Plaza-Úbeda, J.A.; Vazquez-Brust, D.; Yakovleva, N. Circular economy, degrowth and green growth as pathways for research on sustainable development goals: A global analysis and future agenda. Ecol. Econ. 2021, 185, 107050. [Google Scholar] [CrossRef]
- Castillo Díaz, F.J.; Marín-Guirao, J.I.; Belmonte-Ureña, L.J.; Tello-marquina, J.C. Effect of Repeated Plant Debris Reutilization as Organic Amendment on Greenhouse Soil Fertility. Int. J. Environ. Res. Public Health 2021, 18, 11544. [Google Scholar] [CrossRef] [PubMed]
- Castillo-Díaz, F.J.; Ruiz-Olmos, C.A.; Gómez-Tenorio, M.Á.; Tello-Marquina, J.C. Efecto de la biosolarización sobre la producción de tomate cultivado bajo invernadero en Almería. Parte I: Evaluación de diferentes restos vegetales. Agríc. Vergel 2021, 432, 103–112. [Google Scholar]
- Salinas, J.; Meca, D.; del Moral, F. Short-term effects of changing soil management practices on soil quality indicators and crop yields in greenhouses. Agronomy 2020, 10, 582. [Google Scholar] [CrossRef]
- Katan, J.; Greenberger, A.; Alon, H.; Grinstein, A. Solar Heating by Polyethylene Mulching for the Control of Diseases caused by Soil-Borne Pathogens. Phytopathology 1976, 66, 683–688. [Google Scholar] [CrossRef]
- Kirkegaard, J.A.; Gardner, J.; Desmarcherlier, J.M.; Angus, J.F. Biofumigation Using Brassica Species to Control Pest and Diseases in Horticulture and Agriculture. In Proceedings of the 9th Australian Research Assembly on Brassicas, Waga Wagga, Australia, 5–7 October 1993; Wrather, N., Mailes, R.J., Eds.; pp. 77–82. [Google Scholar]
- Guerrero, M.M.; Lacasa, C.M.; Martínez, V.; Martínez-Lluch, M.C.; Larregla, S.; Lacasa, A. Soil biosolarization for Verticillium dahliae and Rhizoctonia solani control in artichoke crops in southeastern Spain. Span. J. Agric. Res. 2019, 17, 1–11. [Google Scholar] [CrossRef] [Green Version]
- Gómez-Tenorio, M.A.; Lupión-Rodríguez, B.; Boix-Ruiz, A.; Ruiz-Olmos, C.; Marín-Guirao, J.I.; Tello-Marquina, J.C.; Camacho-Ferre, F.; De Cara-García, M. Meloidogyne-infested tomato crop residues are a suitable material for biodisinfestation to manage Meloidogyne sp. in greenhouses in Almería (south-east Spain). Acta Hortic. 2018, 1207, 217–221. [Google Scholar] [CrossRef]
- Chamorro, M.; Miranda, L.; Domínguez, P.; Medina, J.J.; Soria, C.; Romero, F.; Santos, B.D.L. Evaluation of biosolarization for the control of charcoal rot disease (Macrophomina phaseolina) in strawberry. Crop. Prot. 2015, 67, 279–286. [Google Scholar] [CrossRef]
- Miranda, L.; Domínguez, P.; Soria, C.; Zea, T.; Talavera, M.; Velasco, L.; Romero, F.; Santos, B.D.L.; Newton, A.I. Soil Biosolarization for Strawberry Cultivation. Acta Hortic. 2012, 926, 407–413. [Google Scholar] [CrossRef]
- Medina, J.J.; Miranda, L.; Soria, C.; Palencia, P. Non-Chemical Alternatives to Methyl Bromide for Strawberry: Biosolarization as Case-Study in Huelva (Spain). Acta Hortic. 2009, 842, 961–964. [Google Scholar] [CrossRef]
- Guerrero, M.M.; Ros, C.; Lacasa, C.M.; Martínez, V.; Lacasab, A.; Fernández, P.; Núñez-Zofío, M.; Larreglac, S.; Martíneza, M.A.; Díez-Rojo, M.A.; et al. Effect of biosolarization using pellets of brassica carinata on soil-borne pathogens in protected pepper crops. Acta Hortic. 2010, 883, 337–344. [Google Scholar] [CrossRef]
- Núñez-Zofio, M.; Larregla, S.; Garbisu, C. Repeated biodisinfection controls the incidence of Phytophthora root and crown rot of pepper while improving soil quality. Span. J. Agric. Res. 2012, 10, 794–805. [Google Scholar] [CrossRef]
- Fernández, P.; Lacasa, A.; Guirao, P.; Larregla, S. Effects of Biosolarization with fresh sheep manure on soil physical properties of pepper greenhouses in Campo de Cartagena. In Proceedings of the 6th Workshop on Agri-Food Research, 8th-9th May 2017; Artés-Hernández, F., Cos, J.E., Fernández-Hernández, J.A., Calatrava, J.A., Aguayo, E., Alarcón, J.J., Guitiérrez-Cortines, M.E., Eds.; Cartagena; Región de Murcia, Spain, 2018; pp. 97–100. ISBN 9788416325641. [Google Scholar]
- Marín-Guirao, J.I.; Tello-Marquina, J.C.; Díaz, M.; Boix, A.; Ruiz-Olmos, C.A.; Camacho-Ferre, F. Effect of greenhouse soil bio-disinfection on soil nitrate content and tomato fruit yield and quality. Soil Res. 2016, 54, 200–206. [Google Scholar] [CrossRef]
- Mauromicale, G.; Lo Monaco, A.; Longo, A.M.G. Improved efficiency of soil solarization for growth and yield of greenhouse tomatoes. Agron. Sustain. Dev. 2010, 30, 753–761. [Google Scholar] [CrossRef]
- Mauromicale, G.; Longo, A.M.G.; Lo Monaco, A. The effect of organic supplementation of solarized soil on the quality of tomato fruit. Sci. Hortic. 2011, 129, 189–196. [Google Scholar] [CrossRef]
- Kirkegaard, J.A.; Sarwar, M. Biofumigation potential of brassicas: I. Variation in glucosinolate profiles of diverse field-grown brassicas. Plant Soil 1998, 201, 71–89. [Google Scholar] [CrossRef]
- Guerrero-Díaz, M.M.; Lacasa-Martínez, C.M.; Hernández-Piñera, C.M.; Martínez-Alarcón, V.; Lacasa, A. Evaluation of repeated biodisinfestation using Brassica carinata pellets to control Meloidogyne incognita in protected pepper crops. Span. J. Agric. Res. 2013, 11, 485–493. [Google Scholar] [CrossRef] [Green Version]
- Marín-Guirao, J.I.; Martínez-Expósito, E.; Gervasi-Navarrete, N.; de García-García, M. Fertiliser reduction in a Mediterranean organic greenhouse tomato crop. In Proceedings of the Crop production with Reduced Pesticide and Fertiliser Inputs without Compromising Yield and Quality, 13–14 October 2021; Foyer, C., Ed.; Association of Applied Biologists: Warwickshire, UK, 2021. [Google Scholar]
- Camacho-Ferre, F. Técnicas de Producción de Cultivos Protegidos (Tomo II); Cajamar: Almería, Spain, 2004; pp. 1–389. ISBN 84-95531-17-X. [Google Scholar]
- Marín-Guirao, J.I.; de Cara-García, M.; Crisol-Martínez, E.; Gómez-Tenorio, M.A.; García-Raya, P.; Tello-Marquina, J.C. Association of plant development to organic matter and fungal presence in Association of plant development to organic matter and fungal presence in soils of horticultural crops. Ann. Appl. Biol. 2019, 1, 1–10. [Google Scholar] [CrossRef]
- Marín-Guirao, J.I.; Tello-Marquina, J.C. Microbiota edáfica y fatiga de suelo en invernaderos de la provincia de Granada. In I Jornadas de Transferencia Hortofrutícola de Ciambital; Camacho-Ferre, F., Valera-Martínez, D.L., Belmonte-Ureña, L., Herrero-Sánchez, C., Reca-Cardeña, J., Marín-Membrive, P., del Pino-Gracia, A., Casa-Fernández, M., Eds.; Universidad de Almería y CIAMBITA: Almería, Spain, 2017; pp. 17–36. ISBN 978-84-16389-98-8. [Google Scholar]
- Gómez-Tenorio, M.A.; Magdaleno-González, J.; Castillo-Díaz, F.J.; Tello-Marquina, J.C. Influence of sheep manure on soil microbiota and the vigor of cucumber seedlings in soils cultivated with almond trees. Mod. Environ. Sci. Eng. 2021, 7, 491–497. [Google Scholar]
- Gómez-Tenorio, M.A.; Magdaleno-González, J.; Tello-Marquina, J.C. Evaluación e Implementación de Técnicas Regenerativas para la Mejora de la Fertilidad en el Cultivo del Almendro en las Provincias de Almería y Granada; Portal TecnoAgrícola: Madrid, Spain, 2021; pp. 1–132. ISBN 978-84-17596-98-9. [Google Scholar]
- Torresano, F.; Camacho-Ferre, F. Valoración de las Diferentes Labores Culturales en los Cultivos de Tomate, Pimiento, Calabacín, Pepino, Sandía, Melón, Judía Y Berenjena; Agrupación Española de Entidades Aseguradoras de los Seguros Agrarios Combinados (Agroseguros); University of Almería: Almería, Spain, 2012. [Google Scholar]
- de Andalucía, J. Observatorio de Precios y Mercados. Hortícolas Protegidos. Available online: https://www.juntadeandalucia.es/agriculturaypesca/observatorio/servlet/FrontController?action=Static&subsector=20&url=subsector.jsp (accessed on 15 November 2021).
- Torres-Nieto, J. Uso Agronómico de Restos de Cosecha en los Invernaderos Enarenados de la Cuenca Mediterranea; Cajamar-Caja Rural: Almería, Spain, 2016; pp. 1–88. [Google Scholar]
- García-Raya, P.; Ruiz-Olmos, C.; Marín-Guirao, J.I.; Asensio-Grima, C.; Tello-Marquina, J.C.; de Cara-García, M. Greenhouse Soil Biosolarization with Tomato Plant Debris as a Unique Fertilizer for Tomato Crops Greenhouse Soil Biosolarization with Tomato Plant Debris as a Unique Fertilizer for Tomato Crops. Int. J. Environ. Res. Public Health 2019, 16, 279. [Google Scholar] [CrossRef] [Green Version]
- Ruiz-Olmos, C.A.; Gómez-Tenorio, M.Á.; Camacho-ferre, F.; Belmonte-Ureña, L.J.; Tello-Marquina, J.C. Control de nematodos del género Meloidogyne en un suelo de invernadero cultivado con papaya utilizando la técnica de biosolarización de suelos. Terralia 2018, 116, 53–62. [Google Scholar]
- Bilalis, D.; Krokida, M.; Roussis, I.; Papastylianou, P.; Travlos, I.; Cheimona, N.; Dede, A. Effects of organic and inorganic fertilization on yield and quality of processing tomato (Lycopersicon esculentum Mill.). Folia Hortic. 2018, 30, 321–332. [Google Scholar] [CrossRef] [Green Version]
- Pieper, J.R.; Barrett, D.M. Effects of organic and conventional production systems on quality and nutritional parameters of processing tomatoes. J. Sci. Food Agric. 2009, 89, 177–194. [Google Scholar] [CrossRef]
- Scandinavica, A.A.; Soil, S.B.; Guajardo-Ríos, O.; Lozano-Cavazos, C.J.; Valdez-, L.A.; Benavides-Mendoza, A.; Ibarra-jiménez, L.; Alberto, J.; Aguilar-gonzález, C.N.; Lozano-cavazos, C.J.; et al. Animal-based organic nutrition can substitute inorganic fertigation in soilless-grown grape tomato. Acta Agric. Scand. Sect. B Soil Plant Sci. 2018, 68, 77–85. [Google Scholar] [CrossRef]
- Polat, E.; Demir, H.; Erler, F. Yield and quality criteria in organically and conventionally grown tomatoes in Turkey e convencional na Turquia. Sci. Agric. 2010, 67, 424–429. [Google Scholar] [CrossRef]
- European Union. Regulation (EU) 2018/848 of the European Parliament and of the Council of 30 May 2018 on organic production and labelling of organic products and repealing Council Regulation (EC) No 834/2007. Off. J. Eur. Union L Ser. 2018, 150, 1–92. [Google Scholar]
- Gonzálvez, V.; Pomares, F. La Fertilización y el Balance de Nutrientes en Sistemas Agroecológicos; Sociedad Española de Agricultura Ecológica: Catarroja, Spain, 2008; pp. 1–24. [Google Scholar]
- de la Lastra, E.; Marín-Guirao, J.I.; López-Moreno, F.J.; Soriano, T.; de Cara-García, M.; Capote, N. Potential inoculum sources of Fusarium species involved in asparagus decline syndrome and evaluation of soil disinfestation methods by qPCR protocols. Pest. Manag. Sci. 2021, 77, 4749–4757. [Google Scholar] [CrossRef]
- Serrano-Pérez, P.; De Santiago, A.; Rodríguez-Molina, M.d.C. Biofumigation With Pellets of Defatted Seed Meal of Brassica carinata: Factors Affecting Performance Against Phytophthora nicotianae in Pepper Crops. Front. Sustain. Food Syst. 2021, 5, 1–12. [Google Scholar] [CrossRef]
- Wu, N.; Liu, S.; Zhang, G.; Zhang, H. Science of the Total Environment Anthropogenic impacts on nutrient variability in the lower Yellow River. Sci. Total Environ. 2021, 755, 142488. [Google Scholar] [CrossRef]






| Variables | |
|---|---|
| Initial analysis | Sand: 76.0 ± 4.1%; slime: 7.0 ± 0.8%; clay: 8.8 ± 6.2%; pH: 7.80 ± 0.22; SOM: 0.93 ± 0.14%; C/N: 7.0 ± 0.8; active limestone: 3.9 ± 1.5%; carbonates: 26.8 ± 3.1%; N: 0.078 ± 0.014%; P: 79.00 ± 10.98 mg·kg−1; K: 259.29 ± 162.08 mg·kg−1 |
| Code | Block | Treatment | |
|---|---|---|---|
| Crops 1 and 2 | Test * | - | Without fertilization |
| IF * | IF | Inorganic fertilization | |
| IFB1 | Inorganic fertilization + 0.5 kg·m−2 of Brassica carinata pellets | ||
| IFB2 | Inorganic fertilization + 1.0 kg·m−2 of Brassica carinata pellets | ||
| PD * | PD | 3.5 kg·m−2 of tomato plant debris | |
| PDB1 | 3.5 kg·m−2 of tomato plant debris + 0.5 kg·m−2 of Brassica carinata pellets | ||
| PDB2 | 3.5 kg·m−2 of tomato plant debris + 1.0 kg·m−2 of Brassica carinata pellets | ||
| Crop 3 | Test * | - | Without fertilization |
| IF * | IF | Inorganic fertilization | |
| IFPD | Inorganic fertilization + 3.5 kg·m−2 of tomato plant debris | ||
| IFPD1 | Inorganic fertilization + 5.0 kg·m−2 of tomato plant debris | ||
| PD * | PD | 3.5 kg·m−2 of tomato plant debris | |
| PD1 | 5.0 kg·m−2 of tomato plant debris | ||
| PD2 | 6.5 kg·m−2 of tomato plant debris |
| Alternatives | Series of Crops |
|---|---|
| 1 | Watermelon (2016) 2 + tomato (2016) 1 + zucchini (2017) 2 + pepper (2017) 1 + watermelon (2018) 2 + tomato (2018) 1 + zucchini (2019) 2 + pepper (2019) 1 + watermelon (2020) 2 + tomato (2020) 1 |
| 2 | Tomato (2016) 2 + cucumber (2016) 1 + eggplant (2017) 2 + green bean (2017) 1 + melon (2018) 2 + tomato (2018) 1 + cucumber (2019) 2 + eggplant (2019) 1 + melon (2020) 2 + green bean (2020) 1 |
| 3 | Melon (2016) 2 + pepper (2016) 1 + watermelon (2017) 2 + tomato (2017) 1 + melon (2018) 2 + pepper (2018) 1 + watermelon (2019) 2 + tomato (2019) 1 + melon (2020) 2 + pepper (2020) 1 |
| 4 | Zucchini (2016) 2 + eggplant (2016) 1 + melon (2017) 2 + pepper (2017) 1 + watermelon (2018) 2 + eggplant (2018) 1 + zucchini (2019) 2 + pepper (2019) 1 + melon (2020) 2 + eggplant (2020) 1 |
| 5 | Zucchini (2016) 2 + tomato (2016–2017) 3 + tomato (2017–2018) 3 + tomato (2018) 1 + watermelon (2019) 2 + tomato (2019–2020) 3 + tomato (2020) 1 |
| Crop 1 | Crop 2 | Crop 3 | |
|---|---|---|---|
| Block IF (p-value) | 0.4992 | 0.7588 | 0.4999 |
| Block PD (p-value) | 0.6240 | 0.4160 | 0.2639 |
| Brassica carinata Pellet Doses | Crops | Soil Pathogen | Conduct | Source |
|---|---|---|---|---|
| 0.2 to 1.5 kg·m−2 | Crops of strawberry, bell pepper, tomato, or asparagus grown under commercial farming practices. | Fusarium spp., Meloidogyne spp., Pratylenchus penetrans, Phytophthora capsici y Macrophomina phaseolina | Increased production compared to untreated plots. | [30,31,58] |
| Increased yields compared to methyl bromide disinfected plots. | [33,40] |
| Fruit Weight (g) | Size (mm) | Firmness (kg·m−2) | Soluble Solids (◦Brix) | Fruit Acidity (pH) | ||
|---|---|---|---|---|---|---|
| Crop 1 | Test * | 108.20 ± 4.17 c | 58.36 ± 0.40 c | 5.15 ± 0.28 a | 5.46 ± 0.14 a | 3.91 ± 0.04 b |
| IF * | 125.18 ± 11.05 ab | 63.53 ± 0.79 a | 4.50 ± 0.19 b | 5.01 ± 0.08 b | 4.03 ± 0.03 a | |
| IFB1 | 131.26 ± 5.86 a | 63.84 ± 0.39 a | 4.64 ± 0.15 ab | 4.93 ± 0.03 b | 4.00 ± 0.03 a | |
| IFB2 | 131.63 ± 2.36 a | 63.78 ± 0.65 a | 4.39 ± 0.43 b | 5.01 ± 0.04 b | 3.98 ± 0.02 a | |
| PD | 115.83 ± 4.34 bc | 60.84 ± 1.00 b | 4.56 ± 0.18 ab | 5.47 ± 0.11 a | 4.01 ± 0.03 a | |
| PDB1 | 117.69 ± 4.13 bc | 61.61 ± 1.04 b | 4.41 ± 0.11 b | 5.30 ± 0.22 a | 4.01 ± 0.03 a | |
| PDB2 | 122.77 ± 6.09 ab | 62.27 ± 1.06 ab | 4.65 ± 0.58 ab | 5.29 ± 0.03 a | 4.01 ± 0.06 a | |
| p-value | 0.0000 | 0.0000 | 0.0469 | 0.0000 | 0.0031 | |
| Crop 2 | Test * | 99.06 ± 4.87 b | 56.59 ± 1.67 b | 5.08 ± 0.20 bc | 5.50 ± 0.21 | 4.2 ± 0.02 |
| IF * | 126.59 ± 3.87 a | 62.66 ± 0.56 a | 4.84 ± 0.16 c | 5.28 ± 0.19 | 4.23 ± 0.05 | |
| IFB1 | 121.80 ± 4.72 a | 62.18 ± 0.99 a | 5.27 ± 0.39 ab | 5.38 ± 0.14 | 4.21 ± 0.03 | |
| IFB2 | 119.74 ± 5.61 a | 60.96 ± 1.24 a | 5.57 ± 0.14 ab | 5.69 ± 0.03 | 4.2 ± 0.02 | |
| PD * | 114.70 ± 11.05 a | 60.29 ± 2.52 a | 5.38 ± 0.20 ab | 5.53 ± 0.36 | 4.17 ± 0.06 | |
| PDB1 | 117.26 ± 7.58 a | 61.36 ± 1.89 a | 5.39 ± 0.24 ab | 5.38 ± 0.16 | 4.17 ± 0.02 | |
| PDB2 | 120.45 ± 8.52 a | 60.94 ± 1.32 a | 5.35 ± 0.32 a | 5.44 ± 0.29 | 4.16 ± 0.01 | |
| p-value | 0.0007 | 0.0006 | 0.0119 | 0.2599 | 0.0930 | |
| Crop 3 | Test * | 72.08 ± 4.06 b | 50.18 ± 1.13 b | 5.33 ± 0.21 a | 5.64 ± 0.11 | 3.85 ± 0.03 ab |
| IF * | 104.69 ± 4.79 a | 59.18 ± 1.04 a | 4.78 ± 0.88 ab | 5.54 ± 0.15 | 3.85 ± 0.02 ab | |
| IFPD | 97.65 ± 10.57 a | 57.92 ± 2.17 a | 4.57 ± 0.39 ab | 5.66 ± 0.29 | 3.82 ± 0.02 b | |
| IFPD1 | 99.46 ± 3.34 a | 57.77 ± 0.77 a | 4.03 ± 0.24 b | 5.70 ± 0.15 | 3.84 ± 0.02 ab | |
| PD * | 95.64 ± 10.76 a | 56.71 ± 2.43 a | 4.00 ± 0.41 b | 5.58 ± 0.25 | 3.89 ± 0.03 a | |
| PD1 | 101.79 ± 3.55 a | 57.96 ± 0.23 a | 4.27 ± 0.14 b | 5.43 ± 0.17 | 3.85 ± 0.04 ab | |
| PD2 | 103.46 ± 4.76 a | 58.63 ± 0.87 a | 4.41 ± 0.15 ab | 5.37 ± 0.16 | 3.88 ± 0.00 a | |
| p-value | 0.0000 | 0.0000 | 0.0028 | 0.1796 | 0.0215 |
| Crop | Parameter | Block IF (p-Value) | Block PD (p-Value) |
|---|---|---|---|
| 1 | Fruit Weight | 0.1646 | 0.1755 |
| Size | 0.7658 | 0.2026 | |
| Firmness | 0.4964 | 0.6403 | |
| Soluble Solids | 0.0873 | 0.1824 | |
| Fruit Acidity | 0.0836 | 0.9688 | |
| 2 | Fruit Weight | 0.1720 | 0.6845 |
| Size | 0.0849 | 0.7500 | |
| Firmness | 0.0096 | 0.9691 | |
| Soluble Solids | 0.0068 | 0.7703 | |
| Fruit Acidity | 0.6147 | 0.8709 | |
| 3 | Fruit Weight | 0.3739 | 0.3074 |
| Size | 0.3645 | 0.2377 | |
| Firmness | 0.2105 | 0.1457 | |
| Soluble Solids | 0.5374 | 0.3325 | |
| Fruit Acidity | 0.1242 | 0.1657 |
| Crop | Sampling | N° of Leaves | Height | Aerial Dry Weight | Roots Dry Weight | Leaf Area | |||||
|---|---|---|---|---|---|---|---|---|---|---|---|
| IF Block | PD Block | IF Block | PD Block | IF Block | PD Block | IF Block | PD Block | IF Block | PD Block | ||
| Cucumber | |||||||||||
| 1 | Start | 0.1824 | 0.8695 | 0.6689 | 0.4182 | 0.2479 | 0.2286 | 0.4426 | 0.5006 | 0.1872 | 0.0560 |
| End | 0.5620 | 0.4292 | 0.1298 | 0.9683 | 0.8922 | 0.3354 | 0.0664 | 0.5854 | 0.2770 | 0.0436 | |
| 2 | Start | 0.4380 | 0.5082 | 0.0951 | 0.4470 | 0.6843 | 0.3302 | 0.6633 | 0.4228 | 0.9218 | 0.2737 |
| End | 0.2383 | 0.4350 | 0.1376 | 0.5572 | 0.6294 | 0.4165 | 0.8572 | 0.3019 | 0.6381 | 0.4175 | |
| 3 | Start | 0.7674 | 0.2034 | 0.2839 | 0.1206 | 0.5469 | 0.0972 | 0.9724 | 0.3410 | 0.9322 | 0.0023 |
| End | - | - | - | - | - | - | - | - | - | - | |
| Tomato | |||||||||||
| 1 | Start | 0.9404 | 0.0990 | 0.1131 | 0.3292 | 0.7420 | 0.1277 | 0.9683 | 0.2698 | 0.7474 | 0.1650 |
| End | 0.2938 | 0.7314 | 0.1492 | 0.6741 | 0.0836 | 0.3375 | 0.3740 | 0.4806 | 0.0971 | 0.5740 | |
| 2 | Start | 0.7588 | 0.5606 | 0.3270 | 0.2061 | 0.3539 | 0.5716 | 0.3580 | 0.9952 | 0.3453 | 0.6542 |
| End | 0.1322 | 0.3839 | 0.5424 | 0.7143 | 0.4249 | 0.0042 | 0.3339 | 0.3661 | 0.1400 | 0.0247 | |
| 3 | Start | 0.7973 | 0.4408 | 0.6075 | 0.6317 | 0.4537 | 0.8901 | 0.8809 | 0.1636 | 0.9564 | 0.0366 |
| End | - | - | - | - | - | - | - | - | - | - | |
| Alternative 1 (%) | Alternative 2 (%) | Alternative 3 (%) | Alternative 4 (%) | Alternative 5 (%) | Mean (%) | |
|---|---|---|---|---|---|---|
| Methodology 1 | - | - | - | - | - | - |
| Methodology 2 | 2.2 | 2.0 | 2.0 | 2.1 | 1.3 | 1.9 ± 0.3 |
| Methodology 3 | 5.6 | 4.6 | 4.5 | 4.3 | 4.1 | 4.6 ± 0.6 |
Publisher’s Note: MDPI stays neutral with regard to jurisdictional claims in published maps and institutional affiliations. |
© 2022 by the authors. Licensee MDPI, Basel, Switzerland. This article is an open access article distributed under the terms and conditions of the Creative Commons Attribution (CC BY) license (https://creativecommons.org/licenses/by/4.0/).
Share and Cite
Castillo-Díaz, F.J.; Belmonte-Ureña, L.J.; Camacho-Ferre, F.; Tello Marquina, J.C. Biodisinfection as a Profitable Fertilization Method for Horticultural Crops in the Framework of the Circular Economy. Agronomy 2022, 12, 521. https://doi.org/10.3390/agronomy12020521
Castillo-Díaz FJ, Belmonte-Ureña LJ, Camacho-Ferre F, Tello Marquina JC. Biodisinfection as a Profitable Fertilization Method for Horticultural Crops in the Framework of the Circular Economy. Agronomy. 2022; 12(2):521. https://doi.org/10.3390/agronomy12020521
Chicago/Turabian StyleCastillo-Díaz, Francisco José, Luis Jesús Belmonte-Ureña, Francisco Camacho-Ferre, and Julio César Tello Marquina. 2022. "Biodisinfection as a Profitable Fertilization Method for Horticultural Crops in the Framework of the Circular Economy" Agronomy 12, no. 2: 521. https://doi.org/10.3390/agronomy12020521
APA StyleCastillo-Díaz, F. J., Belmonte-Ureña, L. J., Camacho-Ferre, F., & Tello Marquina, J. C. (2022). Biodisinfection as a Profitable Fertilization Method for Horticultural Crops in the Framework of the Circular Economy. Agronomy, 12(2), 521. https://doi.org/10.3390/agronomy12020521

