Optimized Border Irrigation Improved Nitrogen Accumulation, Translocation of Winter Wheat and Reduce Soil Nitrate Nitrogen Residue
Abstract
:1. Introduction
2. Materials and Methods
2.1. Experimental Site
2.2. Experimental Design and Crop Management
2.3. Sampling Point
2.4. Nitrogen Accumulation and Transport
2.5. Nitrogen Metabolizing Enzymes of Flag Leaf
2.6. Grain Nitrogen Accumulation Characteristics
2.7. Soil Inorganic Nitrogen
2.8. Grain Yield and Nitrogen Utilization
2.9. Statistical Analysis
3. Results
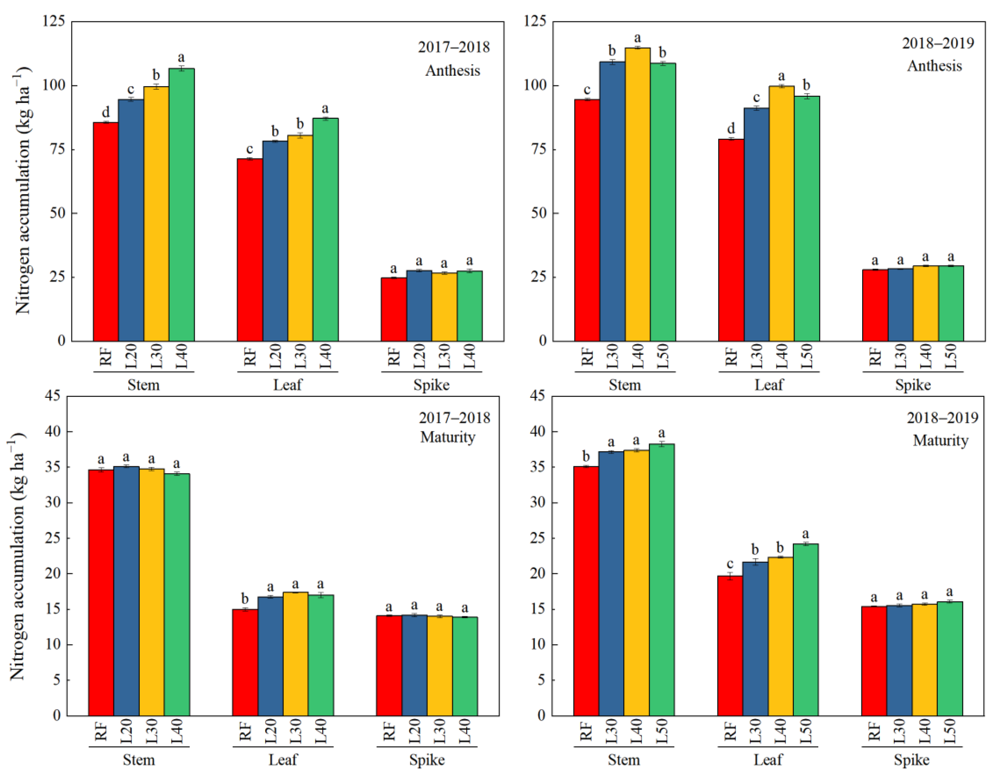
3.1. Nitrogen Accumulation of Vegetative Organs
3.2. Nitrogen Translocation and Accumulation after Anthesis
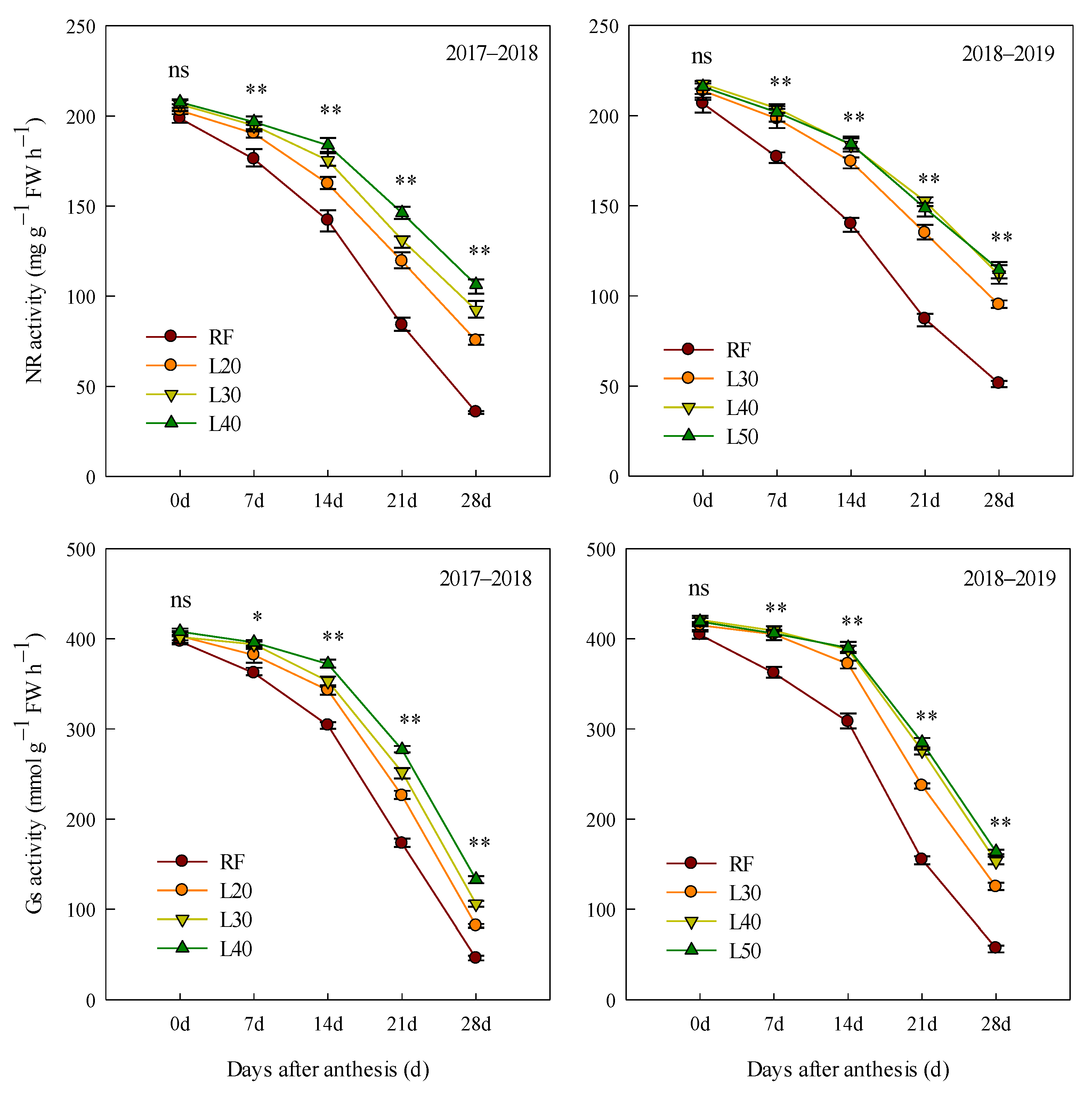
3.3. Nitrogen Metabolizing Enzymes
3.4. Grain Nitrogen Accumulation Characteristics
3.5. Soil Nitrate Nitrogen
3.6. Direction and Proportion of Soil Inorganic Nitrogen
3.7. Grain Yield, Nitrogen Utilization, and Water Productivity
3.8. The Correlation Analysis
4. Discussion
5. Conclusions
Author Contributions
Funding
Data Availability Statement
Conflicts of Interest
References
- Fu, W.; Fan, J.; Hao, M.D.; Hu, J.S.; Wang, H. Evaluating the effects of plastic film mulching patterns on cultivation of winter wheat in a dryland cropping system on the Loess Plateau, China. Agric Water Manag. 2021, 244, 106550. [Google Scholar] [CrossRef]
- National Bureau of Statistic of China. China Statistical Year Book; China Statistics Press: Beijing, China, 2020. [Google Scholar]
- Yuan, Z.; Yan, D.H.; Yang, Z.Y.; Yin, J.; Yuan, Y. Temporal and spatial variability of drought in Huang-Huai-Hai River Basin, China. Appl. Climato. 2015, 122, 755–769. [Google Scholar] [CrossRef]
- Feng, S.W.; Gu, S.B.; Zhang, H.B.; Wang, D. Root vertical distribution is important to improve water use efficiency and grain yield of wheat. Field Crops Res. 2017, 214, 131–141. [Google Scholar] [CrossRef]
- Li, M.; Zhang, K.P.; Eldoma, I.M.; Fang, Y.J.; Zhang, F. Plastic film mulching sustains high maize (Zea mays L.) grain yield and maintains soil water balance in semiarid environment. Agronomy 2020, 10, 600. [Google Scholar] [CrossRef] [Green Version]
- Xu, J.T.; Cai, H.J.; Wang, X.Y.; Li, L.; Ma, C.G.; Lu, Y.J. Evaluation and optimization of border irrigation in different irrigation seasons based on temporal variation of infiltration and roughness. Agric. Water Manag. 2019, 214, 64–77. [Google Scholar] [CrossRef]
- Cui, Z.L.; Chen, X.P.; Zhang, F.S.; Shi, L.W.; Li, J.L. Effect of different border lengths on the irrigation homogeneity and soil nitrate-N distribution on wheat field. Chin. J. Eco-Agric. 2006, 14, 82–85. [Google Scholar]
- Zhou, B.W.; Serret, M.D.; Pie, J.B.; Shah, S.S.; Li, Z.J. Relative contribution of nitrogen absorption, remobilization, and partitioning to the ear during grain filling in Chinese winter wheat. Front. Plant Sci. 2018, 10, 3389. [Google Scholar] [CrossRef]
- Du, Y.D.; Niu, W.Q.; Zhang, Q.; Cui, B.J.; Zhang, Z.H.; Wang, Z.; Sun, J. A synthetic analysis of the effect of water and nitrogen inputs on wheat yield and water- and nitrogen-use efficiencies in China. Field Crops Res. 2021, 265, 108105. [Google Scholar] [CrossRef]
- Jin, X.K.; Ma, M.T.; Zhao, T.K. Effect of nitrogen application on yield, water and nitrogen use efficiency of winter wheat under irrigation based on measured soil moisture content. Sci. Agric. Sin. 2018, 51, 1334–1344. [Google Scholar]
- Gu, X.B.; Cai, H.J.; Chen, P.P.; Li, Y.P.; Fang, H.; Li, Y.N. Ridge-furrow film mulching improves water and nitrogen use efficiencies under reduced irrigation and nitrogen applications in wheat field. Field Crops Res. 2021, 270, 108214. [Google Scholar] [CrossRef]
- Wu, B.J.; Shang, Y.Q.; Wang, S.; Hu, X.H.; Zhang, R.; Wang, D. Response of nitrogen redistribution to irrigation at jointing in winter wheat. Agron. J. 2021, 113, 381–396. [Google Scholar] [CrossRef]
- Puntel, L.A.; Sawyer, J.E.; Barker, D.W.; Dietzel, R.; Poffenbarger, H.; Castellano, M.J.; Moore, K.J.; Thorburn, P.; Archontoulis, S.V. Modeling long-term corn yield response to nitrogen rate and crop rotation. Front Plant Sci. 2016, 7, 1630. [Google Scholar] [CrossRef] [PubMed]
- Rathore, V.S.; Nathawat, N.S.; Bhardwaj, S.; Sasidharan, R.P.; Yadav, B.M.; Kumar, M.; Yadav, O.P. Yield, water and nitrogen use efficiencies of sprinkler irrigated wheat grown under different irrigation and nitrogen levels in an arid region. Agric. Water Manag. 2017, 87, 232–245. [Google Scholar] [CrossRef]
- Sui, J.; Wang, J.D.; Gong, S.H.; Xu, D.; Zhang, Y.Q. Effect of nitrogen and irrigation application on water movement and nitrogen transport for a wheat crop under drip irrigation in the North China Plain. Water 2015, 7, 6651–6672. [Google Scholar] [CrossRef]
- Kaiser, D.E.; Mallarino, A.P.; Sawyer, J.E. Utilization of poultry manure phosphorus for corn production. Soil Sci. Soc. Am. J. 2010, 74, 2211–2222. [Google Scholar] [CrossRef]
- Li, J.P.; Zhang, Z.; Yao, C.S.; Liu, Y.; Wang, Z.M.; Fang, B.T.; Zhang, Y.H. Improving winter wheat grain yield and water-/nitrogen-use efficiency by optimizing the micro-sprinkling irrigation amount and nitrogen application rate. J. Integr. Agric. 2021, 20, 606–621. [Google Scholar] [CrossRef]
- Li, Y.; Huang, G.H.; Chen, Z.J.; Xiong, Y.W.; Huang, Q.Z.; Xu, X.; Huo, Z.L. Effects of irrigation and fertilization on grain yield, water and nitrogen dynamics and their use efficiency of spring wheat farmland in an arid agricultural watershed of Northwest China. Agric. Water Manag. 2022, 260, 107277. [Google Scholar] [CrossRef]
- Lu, J.S.; Xiang, Y.Z.; Fan, J.L.; Zhang, F.C.; Hu, T.T. Sustainable high grain yield, nitrogen use efficiency and water productivity can be achieved in wheat-maize rotation system by changing irrigation and fertilization strategy. Agric. Water Manag. 2021, 258, 107177. [Google Scholar] [CrossRef]
- Ju, X.T.; Kou, C.L.; Zhang, F.S.; Christie, P. Nitrogen balance and groundwater nitrate contamination: Comparison among three intensive cropping systems on the North China Plain. Environ. Pollut. 2006, 143, 117–125. [Google Scholar] [CrossRef] [Green Version]
- Ji, C.Y.; Shi, Y.; Zhang, Y.L.; Yu, Z.W. Effect of inflow cutoff for border irrigation on water distribution in the boeder, water consumption characteristics and grain yield of wheat. J. Soil Water Conserv. 2014, 28, 95–99. [Google Scholar]
- Yin, L.J.; Dai, X.L.; He, M.R. Delayed sowing improves nitrogen utilization efficiency in winter wheat without impacting yield. Field Crops Res. 2018, 221, 90–97. [Google Scholar] [CrossRef]
- Liu, Z.X.; Gao, F.; Yang, J.Q.; Zhen, X.Y.; Li, Y.; Zhao, J.H.; Li, J.R.; Qian, B.C.; Yang, D.Q.; Li, X.D. Photosynthetic characteristics and uptake and translocation of nitrogen in peanut in a wheat-peanut rotation system under different fertilizer management regimes. Front. Plant Sci. 2019, 10, 86. [Google Scholar] [CrossRef] [PubMed]
- Rehman, M.; Yang, M.; Fahad, S.; Saleem, M.H.; Liu, L.; Liu, F.; Deng, G. Morphophysiological traits, antioxidant capacity, and N metabolism in ramie under N fertilizer. Agron. J. 2020, 112, 2988–2997. [Google Scholar] [CrossRef]
- Zhang, H.; Huang, Z.; Wang, J.; Wang, Z.; Yang, J. Changes in morphological and physiological traits of roots and their relationships with grain yield during the evolution of mid-season indica rice cultivars in Jiangsu province. Acta Agron. Sin. 2011, 37, 1020–1030. [Google Scholar] [CrossRef]
- Graham, S.L.; Laubach, J.; Hunt, J.E.; Graeme, N.D.; Carrick, S.; Whitehead, D. Irrigation and grazing management affect leaching losses and soil nitrogen balance of lucerne. Agric. Water Manag. 2022, 259, 107233. [Google Scholar] [CrossRef]
- Wu, B.J.; Zhang, H.B.; Wang, D. Timely supplemental irrigation changed nitrogen use of wheat by regulating root vertical distribution. J. Plant Nutr. Soil Sci. 2018, 181, 396–408. [Google Scholar] [CrossRef]
- Zhang, J.; Chen, Y.Y.; Liu, W.H.; Guo, Z.G. Effect of alternate partial root-zone drying (PRD) on soil nitrogen availability to alfalfa. Agric. Water Manag. 2021, 258, 107167. [Google Scholar] [CrossRef]
- Ashraf, U.; Salim, M.N.; Sabir, S.R.; Khan, A.; Pan, S.G.; Tang, X.R. Maize growth, Yield formation and water-nitrogen usage in response to varied irrigation and nitrogen supply under semi-arid climate. Turk. J. Field Crops 2016, 21, 88–96. [Google Scholar] [CrossRef]
- Shang, Y.Q.; Lin, X.; Li, P.; Gu, S.B.; Lei, K.Y.; Wang, S.; Wang, D. Effects of supplemental irrigation at the jointing stage on population dynamics, grain yield, and water-use efficiency of two different spike-type wheat cultivars. PLoS ONE 2020, 15, e023048. [Google Scholar] [CrossRef] [Green Version]
- Annunziata, M.G.; Ciamiello, L.F.; Woodrow, P.; Maximova, E.; Fuggi, A.; Carillo, P. Durum wheat roots adapt to salinity remodeling the cellular content of nitrogen metabolites and sucrose. Front. Plant Sci. 2017, 7, 2035. [Google Scholar] [CrossRef] [Green Version]
- Mon, J.; Bronson, K.F.; Hunsaker, D.J.; Thorp, K.R.; White, J.W.; French, A.N. Interactive effects of nitrogen fertilization and irrigation on grain yield, canopy temperature, and nitrogen use efficiency in overhead sprinkler-irrigated durum wheat. Field Crops Res. 2016, 191, 54–65. [Google Scholar] [CrossRef]
- Ali, S.; Hafeez, A.; Ma, X.L.; Tung, S.A.; Chattha, M.S.; Shah, A.N.; Luo, D.; Ahmad, S.; Liu, J.H.; Yang, G.Z. Equal potassium-nitrogen ratio regulated the nitrogen metabolism and yield of high-density late-planted cotton (Gossypium hirsutum L.) in Yangtze River valley of China. Ind. Crops Prod. 2019, 129, 231–241. [Google Scholar] [CrossRef]
- Fatholahi, S.; Ehsanzadeh, P.; Karimmojeni, H. Ancient and improved wheats are discrepant in nitrogen uptake, remobilization, and use efficiency yet comparable in nitrogen assimilating enzymes capabilities. Field Crops Res. 2020, 249, 107761. [Google Scholar] [CrossRef]
- Sun, Y.J.; Sun, Y.Y.; Guo, X.; Jun, M.A. Relationship of nitrogen utilization and activities of key enzymes involved in nitrogen metabolism in rice under water–nitrogen interaction. Acta. Agron. Sin. 2009, 35, 2055–2063. [Google Scholar] [CrossRef]
- Du, Y.L.; Zhao, Q.; Chen, L.R.; Yao, X.D.; Xie, F.T. Effect of drought stress at reproductive stages on growth and nitrogen metabolism in soybean. Agronomy 2020, 10, 302. [Google Scholar] [CrossRef] [Green Version]
- Zhang, X.; Meng, F.; Li, H.; Wang, L.; Wu, W. Optimized fertigation maintains high yield and mitigates N2O and NO emissions in an intensified wheat-maize cropping system. Agric. Water Manag. 2019, 211, 26–36. [Google Scholar] [CrossRef]
- Yu, Z.T.; She, M.Y.; Diepeveen, D.; Zhang, Y.J.; Tang, G.X.; Zhang, J.J.; Ma, W.J. Wheat grain protein accumulation and polymerization mechanisms driven by nitrogen fertilization. Plant J. 2018, 96, 1160–1177. [Google Scholar] [CrossRef]
- Guo, Z.J.; Zhang, Y.L.; Zhao, J.Y.; Yu, Z.W.; Shi, Y. Nitrogen use by winter wheat and changes in soil nitrate nitrogen levels with supplemental irrigation based on measurement of moisture content in various soil layers. Field Crops Res. 2014, 164, 117–125. [Google Scholar] [CrossRef]
- Li, C.; Wang, X.S.; Guo, Z.K.; Huang, N.; Hou, S.B.; He, G.; Wang, Z.H.; Zhang, D. Optimizing nitrogen fertilizer inputs and plant populations for greener wheat production with high yields and high efficiency in dryland areas. Field Crops Res. 2022, 276, 108374. [Google Scholar] [CrossRef]
- Kang, S.; Hao, X.; Du, T.; Tong, L.; Su, X.; Lu, H.; Li, X.; Huo, Z.; Li, S.; Ding, R. Improving agricultural water productivity to ensure food security in china under changing environment: From research to practice. Agric. Water Manag. 2017, 179, 5–17. [Google Scholar] [CrossRef]
- Man, J.G.; Yu, Z.W.; Zhang, Y.L.; Shi, Y.; Wang, L.Q. Water and nitrogen use of winter wheat under different supplemental irrigation regimes. Crop Sci. 2016, 56, 3237–3249. [Google Scholar] [CrossRef]
- Liu, W.X.; Wang, J.R.; Wang, C.Y.; Ma, G.; Lu, H.F.; Xie, Y.X.; Ma, D.Y.; Kang, G.Z. Root growth, water and nitrogen use efficiencies in winter wheat under different irrigation and nitrogen regimes in North China Plain. Front. Plant Sci. 2018, 9, 1798. [Google Scholar] [CrossRef] [PubMed] [Green Version]
- Wang, D. Water use efficiency and optimal supplemental irrigation in a high yield wheat field. Field Crops Res. 2017, 213, 213–220. [Google Scholar] [CrossRef]
- Zhang, H.L.; Zhao, X.; Yin, X.G.; Liu, S.L.; Xue, J.F.; Wang, M.; Pu, C.; Chen, F. Challenges and adaptations of farming to climate change in the North China Plain. Clim. Chang. 2015, 129, 213–224. [Google Scholar] [CrossRef]
- Wang, H.Y.; Hu, K.L.; Li, B.G.; Jin, L. Analysis of water and nitrogen use efficiencies and their environment impact under different water and nitrogen management practices. Sci. Agric. Sin. 2011, 44, 2701–2710. [Google Scholar]










| Items | Growing Season | |
|---|---|---|
| 2017–2018 | 2018–2019 | |
| Soil organic matter(g kg−1) | 14.31 | 14.24 |
| Total nitrogen (g kg−1) | 1.17 | 1.09 |
| Available nitrogen (mg·kg−1) | 118.82 | 117.32 |
| Available phosphorus (mg·kg−1) | 39.29 | 36.71 |
| Available potassium (mg·kg−1) | 116.37 | 122.18 |
| pH | 7.6 | 7.5 |
| Year | Treatment | NTA | CP | NAFA | CP | GNA |
|---|---|---|---|---|---|---|
| kg·ha−1 | % | kg·ha−1 | % | kg·ha−1 | ||
| 2017–2018 | RF | 118.47d | 74.14a | 41.33d | 25.86c | 159.80d |
| L20 | 133.43c | 74.69a | 45.21c | 25.31b | 178.64c | |
| L30 | 144.14b | 72.63b | 54.31b | 27.37a | 198.46b | |
| L40 | 157.89a | 72.83b | 58.91a | 27.17a | 216.81a | |
| 2018–2019 | RF | 130.69c | 74.41a | 44.95c | 25.59b | 175.64c |
| L30 | 154.24b | 73.40b | 55.90b | 26.60a | 210.14b | |
| L40 | 168.21a | 73.55b | 60.49a | 26.45a | 228.70a | |
| L50 | 156.99b | 73.28b | 57.24b | 26.72a | 214.23b |
| Year | Treatment | Fitting Equation of Grain Nitrogen Accumulation | R2 | Vmax | Vmean | D |
|---|---|---|---|---|---|---|
| mg grain−1 | mg grain−1 d−1 | d | ||||
| 2017 | RF | 0.856/(1 + 28.86e−0.1989x) | 0.997 | 0.0425d | 0.0208d | 30.16a |
| L20 | 0.915/(1 + 23.21e−0.1962x) | 0.998 | 0.0448c | 0.0226c | 30.58a | |
| L30 | 1.015/(1 + 23.21e−0.1953x) | 0.996 | 0.0496b | 0.0250b | 30.73a | |
| L40 | 1.090/(1 + 21.21e−0.1907x) | 0.997 | 0.0520a | 0.0265a | 31.45a | |
| 2018 | RF | 1.038/(1 + 30.07e−0.1793x) | 0.998 | 0.0465c | 0.0220c | 33.47a |
| L30 | 1.131/(1 + 25.57e−0.1783x) | 0.994 | 0.0504b | 0.0245b | 33.65a | |
| L40 | 1.204/(1 + 21.84e−0.1757x) | 0.996 | 0.0529a | 0.0263a | 34.15a | |
| L50 | 1.151/(1 + 21.53e−0.1739x) | 0.995 | 0.5001b | 0.0249b | 34.48a |
| Year | Treatment | GY | NUPE | NFP | NHI | WP |
|---|---|---|---|---|---|---|
| kg·ha−1 | kg·kg−1 | kg·kg−1 | % | kg·ha−1·mm−1 | ||
| 2017–2018 | RF | 5264.18d | 0.93d | 21.93d | 71.50c | 16.62d |
| L20 | 7298.93c | 1.02c | 30.41c | 72.86c | 17.76c | |
| L30 | 7656.92b | 1.09b | 31.90b | 75.87b | 18.41b | |
| L40 | 7994.25a | 1.17a | 33.31a | 77.25a | 19.17a | |
| 2018–2019 | RF | 5774.47c | 1.02c | 24.06c | 71.44c | 14.68c |
| L30 | 8246.76b | 1.19b | 34.36b | 73.82b | 17.20b | |
| L40 | 8762.44a | 1.27a | 36.51a | 75.13a | 18.05a | |
| L50 | 8689.07a | 1.22b | 36.20a | 72.96b | 17.36b |
Publisher’s Note: MDPI stays neutral with regard to jurisdictional claims in published maps and institutional affiliations. |
© 2022 by the authors. Licensee MDPI, Basel, Switzerland. This article is an open access article distributed under the terms and conditions of the Creative Commons Attribution (CC BY) license (https://creativecommons.org/licenses/by/4.0/).
Share and Cite
Yan, F.; Shi, Y.; Yu, Z. Optimized Border Irrigation Improved Nitrogen Accumulation, Translocation of Winter Wheat and Reduce Soil Nitrate Nitrogen Residue. Agronomy 2022, 12, 433. https://doi.org/10.3390/agronomy12020433
Yan F, Shi Y, Yu Z. Optimized Border Irrigation Improved Nitrogen Accumulation, Translocation of Winter Wheat and Reduce Soil Nitrate Nitrogen Residue. Agronomy. 2022; 12(2):433. https://doi.org/10.3390/agronomy12020433
Chicago/Turabian StyleYan, Feilong, Yu Shi, and Zhenwen Yu. 2022. "Optimized Border Irrigation Improved Nitrogen Accumulation, Translocation of Winter Wheat and Reduce Soil Nitrate Nitrogen Residue" Agronomy 12, no. 2: 433. https://doi.org/10.3390/agronomy12020433
APA StyleYan, F., Shi, Y., & Yu, Z. (2022). Optimized Border Irrigation Improved Nitrogen Accumulation, Translocation of Winter Wheat and Reduce Soil Nitrate Nitrogen Residue. Agronomy, 12(2), 433. https://doi.org/10.3390/agronomy12020433
