Cattle Manure Fermented with Biochar and Humic Substances Improve the Crop Biomass, Microbiological Properties and Nutrient Status of Soil
Abstract
:1. Introduction
2. Materials and Methods
2.1. Fermentation Experiment
2.2. Sampling of Biosolids, Chemical and Microbiological Properties
2.3. Pot Experiment and Design
2.4. Soil Sampling, Physico-Chemical, and Enzymatic Analyses
2.5. Statistical Analyses
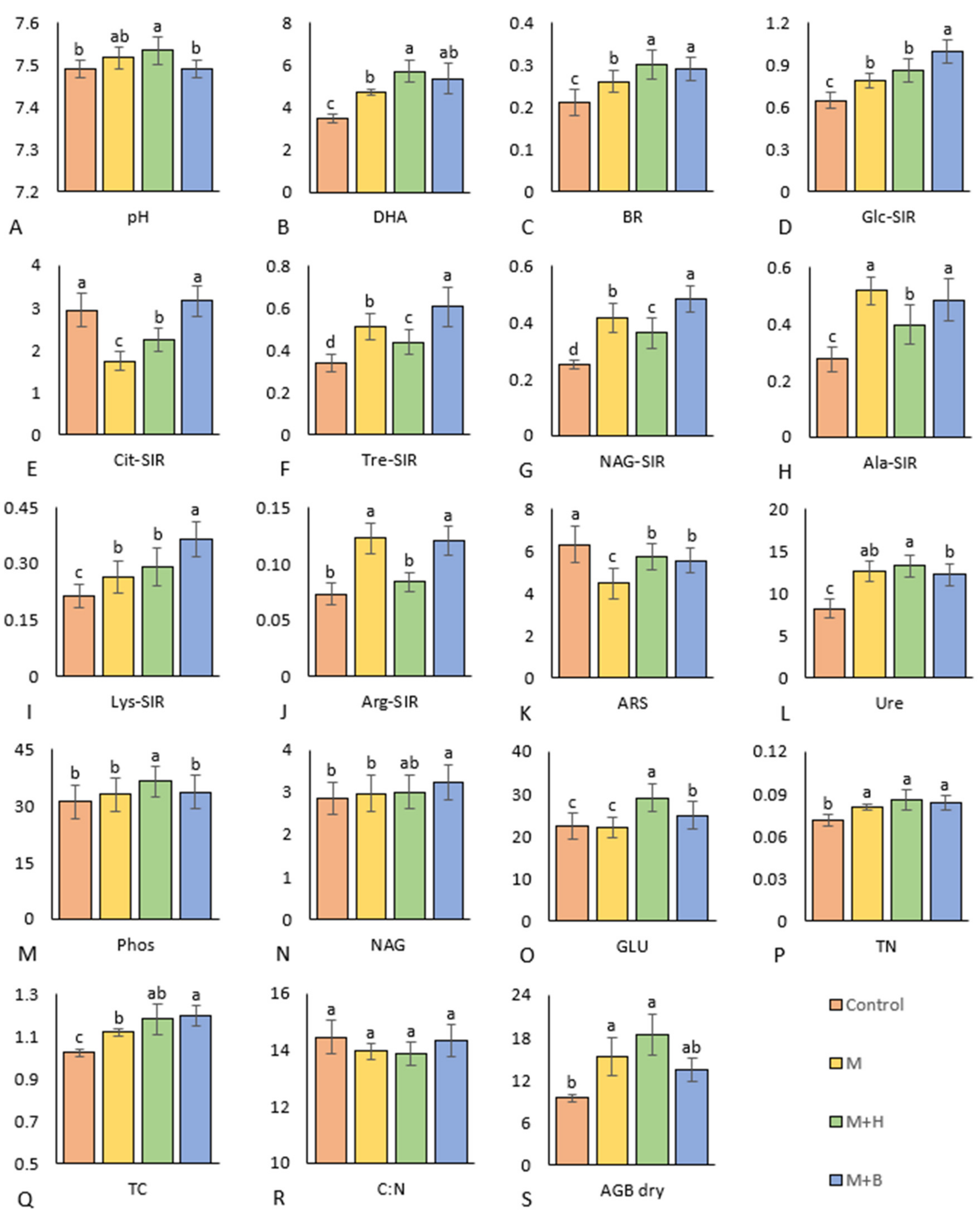
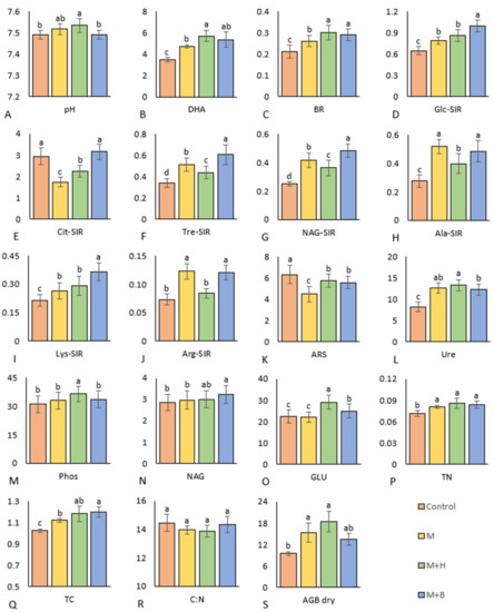
3. Results
3.1. Effect of Amendments on Manure Maturation
3.2. Effect of Manure and Amendments on Soil Respiration
3.3. Effect of Manure and Amendments on Soil Nutrient Cycling and or Enzymatic Activities
3.4. Effect of Manure and Amendments on Soil Physico-Chemical Properties and Plant Biomass
4. Discussion
4.1. Effect of Amendments on Manure Maturation
4.2. Effect of Manure and Amendments on Soil Respiration
4.3. Effect of Manure and Amendments on Soil Nutrient Cycling and or Enzymatic Activities
4.4. Effect of Manure and Amendments on Physico-Chemical Properties of Soil and Plant Biomass
5. Conclusions
Author Contributions
Funding
Data Availability Statement
Conflicts of Interest
References
- McBratney, A.; Field, D.J.; Koch, A. The dimensions of soil security. Geoderma 2014, 213, 203–213. [Google Scholar] [CrossRef] [Green Version]
- Ghani, A.; Dexter, M.; Perrott, K.W. Hot-water extractable carbon in soils: A sensitive measurement for determining impacts of fertilisation, grazing and cultivation. Soil Biol. Biochem. 2003, 35, 1231–1243. [Google Scholar] [CrossRef]
- Hammerschmiedt, T.; Holatko, J.; Pecina, V.; Huska, D.; Latal, O.; Kintl, A.; Radziemska, M.; Muhammad, S.; Gusiatin, Z.M.; Kolackova, M.; et al. Assessing the potential of biochar aged by humic substances to enhance plant growth and soil biological activity. Chem. Biol. Technol. Agric. 2021, 8, 46. [Google Scholar] [CrossRef]
- Mustafa, A.; Minggang, X.; Shah, S.A.; Abrar, M.M.; Nan, S.; Baoren, W.; Zejiang, C.; Saeed, Q.; Naveed, M.; Mehmood, K.; et al. Soil aggregation and soil aggregate stability regulate organic carbon and nitrogen storage in a red soil of southern China. J. Environ. Manag. 2020, 270, 110894. [Google Scholar] [CrossRef] [PubMed]
- Mustafa, A.; Hu, X.; Abrar, M.M.; Shah, S.A.A.; Nan, S.; Saeed, Q.; Kamran, M.; Naveed, M.; Conde-Cid, M.; Hongjun, G.; et al. Long-term fertilization enhanced carbon mineralization and maize biomass through physical protection of organic carbon in fractions under continuous maize cropping. Appl. Soil Ecol. 2021, 165, 103971. [Google Scholar] [CrossRef]
- Szogi, A.A.; Takata, V.H.; Shumaker, P.D. Chemical extraction of phosphorus from dairy manure and utilization of recovered manure solids. Agronomy 2020, 10, 15. [Google Scholar] [CrossRef]
- Lendelová, J.; Žitňák, M.; Bošanský, M.; Simko, M.; Piterka, P. Testing of property changes in recycled bedding for dairy cows. Res. Agric. Eng. 2016, 62, S44–S52. [Google Scholar] [CrossRef] [Green Version]
- Banik, C.; Koziel, J.A.; De, M.; Bonds, D.; Chen, B.; Singh, A.; Licht, M.A. Biochar-Swine Manure Impact on Soil Nutrients and Carbon Under Controlled Leaching Experiment Using a Midwestern Mollisols. Front. Environ. Sci. 2021, 9, 609621. [Google Scholar] [CrossRef]
- Lima, J.R.; Goes, M.D.; Hammecker, C.; Antonino, A.C.; Medeiros, É.V.; Sampaio, E.V.; Leite, M.C.; Silva, V.P.; de Souza, E.S.; Souza, R. Effects of Poultry Manure and Biochar on Acrisol Soil Properties and Yield of Common Bean. A Short-Term Field Experiment. Agriculture 2021, 11, 290. [Google Scholar] [CrossRef]
- Lehmann, J.; Gaunt, J.; Rondon, M. Bio-char sequestration in terrestrial ecosystems—A review. Mitig. Adapt. Strat. Glob. Chang. 2006, 11, 403–427. [Google Scholar] [CrossRef]
- Kizito, S.; Wu, S.; Kirui, W.K.; Lei, M.; Lu, Q.; Bah, H.; Dong, R. Evaluation of slow pyrolyzed wood and rice husks biochar for adsorption of ammonium nitrogen from piggery manure anaerobic digestate slurry. Sci. Total Environ. 2015, 505, 102–112. [Google Scholar] [CrossRef] [PubMed]
- Lehmann, J.; Rillig, M.C.; Thies, J.; Masiello, C.A.; Hockaday, W.C.; Crowley, D. Biochar effects on soil biota–a review. Soil Biol. Biochem. 2011, 43, 1812–1836. [Google Scholar] [CrossRef]
- Wei, Z.; Wang, J.J.; Fultz, L.M.; White, P.; Jeong, C. Application of biochar in estrogen hormone-contaminated and manure-affected soils: Impact on soil respiration, microbial community and enzyme activity. Chemosphere 2021, 270, 128625. [Google Scholar] [CrossRef] [PubMed]
- Zhang, Y.L.; Chen, L.J.; Zhang, Y.G.; Wu, Z.J.; Ma, X.Z.; Yang, X.Z. Examining the effects of biochar application on soil phosphorus levels and phosphatase activities with visible and fluorescence spectroscopy. Guang Pu Xue Yu Guang Pu Fen Xi 2016, 36, 2325–2329. [Google Scholar]
- Hagemann, N.; Subdiaga, E.; Orsetti, S.; de la Rosa, J.M.; Knicker, H.; Schmidt, H.-P.; Kappler, A.; Behrens, S. Effect of biochar amendment on compost organic matter composition following aerobic composting of manure. Sci. Total Environ. 2018, 613–614, 20–29. [Google Scholar] [CrossRef]
- Czekała, W.; Malińska, K.; Cáceres, R.; Janczak, D.; Dach, J.; Lewicki, A. Co-composting of poultry manure mixtures amended with biochar–The effect of biochar on temperature and C-CO2 emission. Bioresour. Technol. 2016, 200, 921–927. [Google Scholar] [CrossRef]
- He, X.; Yin, H.; Sun, X.; Han, L.; Huang, G. Effect of different particle-size biochar on methane emissions during pig manure/wheat straw aerobic composting: Insights into pore characterization and microbial mechanisms. Bioresour. Technol. 2018, 268, 633–637. [Google Scholar] [CrossRef]
- Brtnicky, M.; Datta, R.; Holatko, J.; Bielska, L.; Gusiatin, Z.M.; Kucerik, J.; Hammerschmiedt, T.; Danish, S.; Radziemska, M.; Mravcova, L.; et al. A critical review of the possible adverse effects of biochar in the soil environment. Sci. Total Environ. 2021, 796, 148756. [Google Scholar] [CrossRef]
- Nardi, S.; Schiavon, M.; Francioso, O. Chemical Structure and Biological Activity of Humic Substances Define Their Role as Plant Growth Promoters. Molecules 2021, 26, 2256. [Google Scholar] [CrossRef]
- Peña-Méndez, E.M.; Havel, J.; Patočka, J. Humic substances-compounds of still unknown structure: Applications in agriculture, industry, environment, and biomedicine. J. Appl. Biomed. 2005, 3, 13–24. [Google Scholar] [CrossRef] [Green Version]
- Sootahar, M.K.; Zeng, X.; Wang, Y.; Su, S.; Soothar, P.; Bai, L.; Kumar, M.; Zhang, Y.; Mustafa, A.; Ye, N. The Short-Term Effects of Mineral-and Plant-Derived Fulvic Acids on Some Selected Soil Properties: Improvement in the Growth, Yield, and Mineral Nutritional Status of Wheat (Triticum aestivum L.) under Soils of Contrasting Textures. Plants 2020, 9, 205. [Google Scholar] [CrossRef] [PubMed] [Green Version]
- Albiach, R.; Canet, R.; Pomares, F.; Ingelmo, F. Organic matter components and aggregate stability after the application of different amendments to a horticultural soil. Bioresour. Technol. 2001, 76, 125–129. [Google Scholar] [CrossRef]
- Dubey, R.K.; Dubey, P.K.; Abhilash, P. Sustainable soil amendments for improving the soil quality, yield and nutrient content of Brassica juncea (L.) grown in different agroecological zones of eastern Uttar Pradesh, India. Soil Tillage Res. 2019, 195, 11. [Google Scholar] [CrossRef]
- Wang, C.; Tu, Q.; Dong, D.; Strong, P.J.; Wang, H.; Sun, B.; Wu, W. Spectroscopic evidence for biochar amendment promoting humic acid synthesis and intensifying humification during composting. J. Hazard. Mater. 2014, 280, 409–416. [Google Scholar] [CrossRef] [PubMed]
- Romero, C.M.; Li, C.; Owens, J.; Ribeiro, G.O.; Mcallister, T.A.; Okine, E.; Hao, X. Nutrient cycling and greenhouse gas emissions from soil amended with biochar-manure mixtures. Pedosphere 2021, 31, 289–302. [Google Scholar] [CrossRef]
- Arif, M.; Ali, K.; Jan, M.; Shah, Z.; Jones, D.; Quilliam, R. Integration of biochar with animal manure and nitrogen for improving maize yields and soil properties in calcareous semi-arid agroecosystems. Field Crops Res. 2016, 195, 28–35. [Google Scholar] [CrossRef] [Green Version]
- Foster, E.J.; Hansen, N.; Wallenstein, M.; Cotrufo, M.F. Biochar and manure amendments impact soil nutrients and microbial enzymatic activities in a semi-arid irrigated maize cropping system. Agric. Ecosyst. Environ. 2016, 233, 404–414. [Google Scholar] [CrossRef] [Green Version]
- Kanwal, S.; Batool, A.; Ghufran, M.A.; Khalid, A. Effect of dairy manure derived biochar on microbial biomass carbon, soil carbon and Vitis vinifera under water stress conditions. Pak. J. Bot. 2018, 50, 1713–1718. [Google Scholar]
- ISO 7150-1; Water Quality—Determination of Ammonium—Part 1: Manual Spectrometric Method. International Organization for Standardization: Geneva, Switzerland, 1984.
- ISO 10390; Soil Quality—Determination of pH. International Organization for Standardization: Geneva, Switzerland, 2005.
- ISO 10694; Soil Quality—Determination of Organic and Total Carbon after Dry Combustion (Elemental Analysis). International Organization for Standardization: Geneva, Switzerland, 1995.
- Zbiral, J. Determination of phosphorus in calcareous soils by Mehlich 3, Mehlich 2, CAL and Egner extractants. Commun. Soil Sci. Plant Anal. 2000, 31, 3037–3048. [Google Scholar] [CrossRef]
- ISO 14869-3; Soil Quality—Dissolution for the Determination of Total Element Content. International Organization for Standardization: Geneva, Switzerland, 2017.
- ISO 19822; Fertilizers and Soil Conditioners—Determination of Humic and Hydrophobic Fulvic Acids Concentrations in Fertilizer Materials. International Organization for Standardization: Geneva, Switzerland, 2018.
- Rotthauwe, J.H.; Witzel, K.P.; Liesack, W. The ammonia monooxygenase structural gene amoA as a functional marker: Molecular fine-scale analysis of natural ammonia-oxidizing populations. Appl. Environ. Microbiol. 1997, 63, 4704–4712. [Google Scholar] [CrossRef] [Green Version]
- Kandeler, E.; Deiglmayr, K.; Tscherko, D.; Bru, D.; Philippot, L. Abundance of narG, nirS, nirK, and nosZ genes of denitrifying bacteria during primary successions of a glacier foreland. Appl. Environ. Microbiol. 2006, 72, 5957–5962. [Google Scholar] [CrossRef] [PubMed] [Green Version]
- Food and Agriculture Organization of the United Nations. World Reference Base for Soil Resources; FAO (Food and Agriculture Organization of the United Nations): Rome, Italy, 2014. [Google Scholar]
- ISO 13878; Soil Quality—Determination of Total Nitrogen Content by Dry Combustion (Elemental Analysis). International Organization for Standardization: Geneva, Switzerland, 1998.
- ISO 20130; Soil Quality—Measurement of Enzyme Activity Patterns in Soil Samples Using Colorimetric Substrates in Micro-Well Plates. International Organization for Standardization: Geneva, Switzerland, 2018.
- Casida, L.E., Jr.; Klein, D.A.; Santoro, T. Soil dehydrogenase activity. Soil Sci. Annu. 1964, 98, 371–378. [Google Scholar] [CrossRef]
- Campbell, C.; Chapman, S.J.; Cameron, C.M.; Davidson, M.S.; Potts, J.M. A rapid microtiter plate method to measure carbon dioxide evolved from carbon substrate amendments so as to determine the physiological profiles of soil microbial communities by using whole soil. Appl. Environ. Microbiol. 2003, 69, 3593–3599. [Google Scholar] [CrossRef] [PubMed] [Green Version]
- Hinkle, D.E.; Wiersma, W.; Jurs, S.G. Applied Statistics for the Behavioral Sciences; Houghton Mifflin: Boston, MA, USA, 2003. [Google Scholar]
- Jiang, T.; Schuchardt, F.; Li, G.; Guo, R.; Zhao, Y. Effect of C/N ratio, aeration rate and moisture content on ammonia and greenhouse gas emission during the composting. J. Environ. Sci. 2011, 23, 1754–1760. [Google Scholar] [CrossRef]
- Burt, C.D.; Cabrera, M.L.; Rothrock, M.J., Jr.; Kissel, D.E. Urea Hydrolysis and Calcium Carbonate Precipitation in Gypsum-Amended Broiler Litter. J. Environ. Qual. 2018, 47, 162–169. [Google Scholar] [CrossRef] [PubMed] [Green Version]
- Zhang, J.; Lü, F.; Shao, L.; He, P. The use of biochar-amended composting to improve the humification and degradation of sewage sludge. Bioresour. Technol. 2014, 168, 252–258. [Google Scholar] [CrossRef] [PubMed]
- Kipton, H.; Powell, J.; Town, R.M. Solubility and fractionation of humic acid; effect of pH and ionic medium. Anal. Chim. Acta 1992, 267, 47–54. [Google Scholar] [CrossRef]
- Swift, R.; Posner, A. Autoxidation of humic acid under alkaline conditions. J. Soil Sci. 2006, 23, 381–393. [Google Scholar] [CrossRef]
- Bi, Z.; Takekawa, M.; Park, G.; Soda, S.; Zhou, J.; Qiao, S.; Ike, M. Effects of the c/n ratio and bacterial populations on nitrogen removal in the simultaneous anammox and heterotrophic denitrification process: Mathematic modeling and batch experiments. Chem. Eng. J. 2015, 280, 606–613. [Google Scholar] [CrossRef]
- Paul, J.W.; Beauchamp, E.G. Effect of carbon constituents in manure on denitrification in soil. Can. J. Soil Sci. 1989, 69, 49–61. [Google Scholar] [CrossRef] [Green Version]
- Dlamini, J.C.; Chadwick, D.; Hawkins, J.M.B.; Martinez, J.; Scholefield, D.; Ma, Y.; Cárdenas, L.M. Evaluating the potential of different carbon sources to promote denitrification. J. Agric. Sci. 2020, 158, 194–205. [Google Scholar] [CrossRef]
- Sarkhot, D.V.; Berhe, A.A.; Ghezzehei, T.A. Impact of biochar enriched with dairy manure effluent on carbon and nitrogen dynamics. J. Environ. Qual. 2012, 41, 1107–1114. [Google Scholar] [CrossRef] [PubMed] [Green Version]
- Agyarko-Mintah, E.; Cowie, A.; Singh, B.P.; Joseph, S.; Van Zwieten, L.; Cowie, A.; Harden, S.; Smillie, R. Biochar increases nitrogen retention and lowers greenhouse gas emissions when added to composting poultry litter. Waste Manag. 2017, 61, 138–149. [Google Scholar] [CrossRef] [PubMed]
- Violante, A.; Pigna, M.; Ricciardella, M.; Gianfreda, L. Adsorption of phosphate on variable charge minerals and soils as affected by organic and inorganic ligands. In Soil Mineral-Organic Matter-Microorganism Interactions and Ecosystem Health; Vol 28A: Dynamics, Mobility and Transformation of Pollutants and Nutrients; Violante, A., Huang, P.M., Bollag, J.M., Gianfreda, L., Eds.; Elsevier Science BV: Amsterdam, The Netherlands, 2002; Volume 28A, pp. 279–295. [Google Scholar]
- Luo, Y.; Xie, K.; Zhang, K.; Shen, S.; Wang, F. Research progress on removal of phosphate from aqueous solution by biochar and its metal modified materials. Huanjing Huaxue-Environ. Chem. 2020, 39, 2175–2186. [Google Scholar] [CrossRef]
- Liu, L.; Ji, M.; Wang, F.; Tian, Z.; Wang, T.; Wang, S.; Wang, S.; Yan, Z. Insight into the short-term effect of fulvic acid on nitrogen removal performance and N-acylated-L-homoserine lactones (AHLs) release in the anammox system. Sci. Total Environ. 2020, 704, 7. [Google Scholar] [CrossRef]
- Chakraborty, A.; Chakrabarti, K.; Chakraborty, A.; Ghosh, S. Effect of long-term fertilizers and manure application on microbial biomass and microbial activity of a tropical agricultural soil. Biol. Fertil. Soils 2011, 47, 227–233. [Google Scholar] [CrossRef]
- Holatko, J.; Hammerschmiedt, T.; Datta, R.; Baltazar, T.; Kintl, A.; Latal, O.; Pecina, V.; Sarec, P.; Novak, P.; Balakova, L.; et al. Humic Acid Mitigates the Negative Effects of High Rates of Biochar Application on Microbial Activity. Sustainability 2020, 12, 9524. [Google Scholar] [CrossRef]
- Ros, M.; Klammer, S.; Knapp, B.; Aichberger, K.; Insam, H. Long-term effects of compost amendment of soil on functional and structural diversity and microbial activity. Soil Use Manag. 2006, 22, 209–218. [Google Scholar] [CrossRef]
- Brtnicky, M.; Dokulilova, T.; Holatko, J.; Pecina, V.; Kintl, A.; Latal, O.; Vyhnanek, T.; Prichystalova, J.; Datta, R. Long-term effects of biochar-based organic amendments on soil microbial parameters. Agronomy 2019, 9, 747. [Google Scholar] [CrossRef] [Green Version]
- Zhang, L.; Sun, X.-Y.; Tian, Y.; Gong, X.-Q. Biochar and humic acid amendments improve the quality of composted green waste as a growth medium for the ornamental plant Calathea insignis. Sci. Hortic. 2014, 176, 70–78. [Google Scholar] [CrossRef]
- Salgado, M.M.M.; Blu, R.O.; Janssens, M.; Fincheira, P. Grape pomace compost as a source of organic matter: Evolution of quality parameters to evaluate maturity and stability. J. Clean. Prod. 2019, 216, 56–63. [Google Scholar] [CrossRef]
- Zhang, X.; Dong, W.; Dai, X.; Schaeffer, S.; Yang, F.; Radosevich, M.; Xu, L.; Liu, X.; Sun, X. Responses of absolute and specific soil enzyme activities to long term additions of organic and mineral fertilizer. Sci. Total Environ. 2015, 536, 59–67. [Google Scholar] [CrossRef] [PubMed]
- Albiach, R.; Canet, R.; Pomares, F.; Ingelmo, F. Microbial biomass content and enzymatic activities after the application of organic amendments to a horticultural soil. Bioresour. Technol. 2000, 75, 43–48. [Google Scholar] [CrossRef]
- Jin, Y.; Liang, X.; He, M.; Liu, Y.; Tian, G.; Shi, J. Manure biochar influence upon soil properties, phosphorus distribution and phosphatase activities: A microcosm incubation study. Chemosphere 2015, 142, 128–135. [Google Scholar] [CrossRef] [PubMed]
- Busato, J.G.; Papa, G.; Canellas, L.P.; Adani, F.; de Oliveira, A.L.; Leão, T.P. Phosphatase activity and its relationship with physical and chemical parameters during vermicomposting of filter cake and cattle manure. J. Sci. Food Agric. 2016, 96, 1223–1230. [Google Scholar] [CrossRef]
- Wang, W.J.; Dalal, R.C.; Moody, P.W.; Smith, C.J. Relationships of soil respiration to microbial biomass, substrate availability and clay content. Soil Biol. Biochem. 2003, 35, 273–284. [Google Scholar] [CrossRef]
- Troy, S.M.; Lawlor, P.G.; Flynn, C.J.O.; Healy, M.G. Impact of biochar addition to soil on greenhouse gas emissions following pig manure application. Soil Biol. Biochem. 2013, 60, 173–181. [Google Scholar] [CrossRef] [Green Version]
- Ippolito, J.A.; Stromberger, M.E.; Lentz, R.D.; Dungan, R.S. Hardwood biochar and manure co-application to a calcareous soil. Chemosphere 2016, 142, 84–91. [Google Scholar] [CrossRef]
- Cao, Y.; Bai, M.; Han, B.; Impraim, R.; Butterly, C.; Hu, H.; He, J.; Chen, D. Enhanced nitrogen retention by lignite during poultry litter composting. J. Clean. Prod. 2020, 277, 10. [Google Scholar] [CrossRef]



| Variant | Manure [t·ha−1] | Biochar [t·ha−1] | Humac [t·ha−1] | Manure [kg·Barrel−1] | Biochar [kg·Barrel−1] | Humac [kg·Barrel−1] |
|---|---|---|---|---|---|---|
| Control | 50 | 0 | 0 | 10 | 0 | 0 |
| Humac (H) | 50 | 0 | 0.5 | 10 | 0 | 0.1 |
| Biochar (B) | 50 | 2 | 0 | 10 | 0.4 | 0 |
| pH | TN [%] | TC [%] | C:N | Nmin [mg·kg−1] | N-NO3 [mg·kg−1] | N-NH4 [mg·kg−1] |
| 7.29 | 0.16 | 1.40 | 8.77 | 62.84 | 56.80 | 6.04 |
| H [%] | S [%] | K [mg·kg−1] | Ca [mg·kg−1] | Mg [mg·kg−1] | P [mg·kg−1] | |
| 0.58 | 0.01 | 231 | 3259 | 236 | 97 |
| M | M + H | M + B | |
|---|---|---|---|
| Mean ± SD * | Mean ± SD * | Mean ± SD * | |
| DM [%] | 30.01 ± 0.02 c | 31.22 ± 0.02 b | 31.48 ± 0.02 a |
| pH [-] | 9.04 ± 0.01 b | 9.25 ± 0.01 a | 9.05 ± 0.01 b |
| Corg [%] | 13.50 ± 0.28 a | 12.45 ± 0.36 b | 13.01 ± 0.14 a |
| N [%] | 2.48 ± 0.05 a | 2.49 ± 0.05 a | 2.54 ± 0.03 a |
| N-NH4 [mg·kg−1] | 2.06 ± 0.02 a | 1.56 ± 0.04 b | 1.44 ± 0.08 c |
| P [%] | 4.22 ± 0.36 a | 3.58 ± 0.58 a | 3.45 ± 0.64 a |
| K [g·kg−1] | 84.36 ± 5.21 a | 87.57 ± 3.87 a | 67.03 ± 2.62 b |
| Mg [g·kg−1] | 9.61 ± 0.50 a | 9.30 ± 0.15 a | 7.34 ± 0.18 b |
| Ca [g·kg−1] | 20.93 ± 0.88 b | 22.68 ± 0.88 b | 32.95 ± 1.96 a |
| B [mg·kg−1] | 47.20 ± 1.11 a | 43.78 ± 2.49 a | 54.53 ± 9.35 a |
| HA:FA [-] | 0.79 ± 0.01 b | 1.20 ± 0.07 a | 0.69 ± 0.03 c |
| AOB [copies·g−1] | 2.11·108 ± 2.63·107 a | 1.01·108 ± 1.38·107 b | 2.09·108 ± 3.63·106 a |
| nirS [copies·g−1] | 1.07·109 ± 1.59·108 c | 1.87·109 ± 2.38·108 a | 1.40·109 ± 1.69·108 b |
Publisher’s Note: MDPI stays neutral with regard to jurisdictional claims in published maps and institutional affiliations. |
© 2022 by the authors. Licensee MDPI, Basel, Switzerland. This article is an open access article distributed under the terms and conditions of the Creative Commons Attribution (CC BY) license (https://creativecommons.org/licenses/by/4.0/).
Share and Cite
Holatko, J.; Bielska, L.; Hammerschmiedt, T.; Kucerik, J.; Mustafa, A.; Radziemska, M.; Kintl, A.; Baltazar, T.; Latal, O.; Brtnicky, M. Cattle Manure Fermented with Biochar and Humic Substances Improve the Crop Biomass, Microbiological Properties and Nutrient Status of Soil. Agronomy 2022, 12, 368. https://doi.org/10.3390/agronomy12020368
Holatko J, Bielska L, Hammerschmiedt T, Kucerik J, Mustafa A, Radziemska M, Kintl A, Baltazar T, Latal O, Brtnicky M. Cattle Manure Fermented with Biochar and Humic Substances Improve the Crop Biomass, Microbiological Properties and Nutrient Status of Soil. Agronomy. 2022; 12(2):368. https://doi.org/10.3390/agronomy12020368
Chicago/Turabian StyleHolatko, Jiri, Lucie Bielska, Tereza Hammerschmiedt, Jiri Kucerik, Adnan Mustafa, Maja Radziemska, Antonin Kintl, Tivadar Baltazar, Oldrich Latal, and Martin Brtnicky. 2022. "Cattle Manure Fermented with Biochar and Humic Substances Improve the Crop Biomass, Microbiological Properties and Nutrient Status of Soil" Agronomy 12, no. 2: 368. https://doi.org/10.3390/agronomy12020368
APA StyleHolatko, J., Bielska, L., Hammerschmiedt, T., Kucerik, J., Mustafa, A., Radziemska, M., Kintl, A., Baltazar, T., Latal, O., & Brtnicky, M. (2022). Cattle Manure Fermented with Biochar and Humic Substances Improve the Crop Biomass, Microbiological Properties and Nutrient Status of Soil. Agronomy, 12(2), 368. https://doi.org/10.3390/agronomy12020368

