You are currently viewing a new version of our website. To view the old version click .
Agronomy
  • Article
  • Open Access

9 November 2022

Validation of Propidium Monoazide-qPCR for Assessing Treatment Effectiveness against ‘Candidatus Liberibacter asiaticus’ in Citrus

and
Citrus Center, Texas A&M University-Kingsville, Weslaco, TX 78599, USA
*
Author to whom correspondence should be addressed.
This article belongs to the Special Issue Citrus Bacterial Diseases Spread and Control Strategies in the World: Management and Molecular Approaches

Abstract

Huanglongbing (HLB) is an important citrus disease associated with the phloem-limited, uncultured bacterium ‘Candidatus Liberibacter asiaticus’(CLas). Effective treatments against CLas have to be validated in the field, however, methods for the field assessment of treatment effectiveness are time-consuming, in part because DNA-based assays, including quantitative PCR (qPCR), cannot differentiate between live and dead bacterial DNA. The aim of this study was to develop a method for rapid the evaluation of HLB therapies in field experiments. To this aim, a DNA extraction method from citrus leaf tissues with propidum monoazide (PMA), a dye that binds covalently to dsDNA making it unavailable for amplification in subsequent qPCR reactions, was optimized. The results indicated that the efficacy of PMA-qPCR was highly dependent on the primer set used. Primers targeting the 16S region of CLas showed a clear distinction between qPCR from PMA-treated and non-treated samples, while the RNR and LJ900 primers did not show significant differences between the DNA extraction methods. The PMA-qPCR viability analysis of CLas from citrus cuttings treated with different ampicillin (Amp) concentrations showed that all concentrations reduced CLas titers significantly starting 4 days after the initial treatment, unlike the water treatment, which did not show any change. This method was used for assessing the antibacterial activity of Amp, Streptomycin, Oxytetracycline (OTC), and a water control in field tests. The PMA-qPCR results indicated that Amp and OTC displayed significant antibacterial activity against CLas by 8 days post-injection, which was not detected in the non-PMA qPCR analysis. This method could allow the rapid validation of treatments against CLas in field experiments and facilitate the implementation of effective management strategies against HLB.

1. Introduction

Citrus Huanglongbing (HLB), also known as citrus greening, is a disease affecting citrus industries worldwide. HLB was first reported in Guangdong, China in 1919 [1], and it remains an important citrus disease in this country [2]. HLB was also described in Brazil in 2004 but may have been there since early 1990s [3,4]. In the United States, HLB was first found in Florida in 2005 and has since rapidly spread to Texas, Louisiana, South Carolina, Georgia, and California [5,6]. Since 2005, Florida has experienced a severe reduction in citrus acreage and production due to HLB of 38% and 74%, respectively [7]. Sweet orange production dropped from 150 million boxes in 2005–2006 to 72 million boxes in 2018–2019 [8]. Thus, efforts are underway to develop effective strategies to manage HLB and maintain crop productivity [9,10,11].
HLB is associated with three species of uncultured, phloem-restricted proteobacteria, namely ‘Candidatus Liberibacter asiaticus’ (CLas), ‘Candidatus Liberibacter americanus’ (CLam), and ‘Candidatus Liberibacter africanus’ (CLaf) [3,12,13]. CLas is a heat-tolerant bacterium and can thrive under high-temperature conditions extending to 35 °C [14]. This species is the most prevalent HLB-associated Liberibacter sp, in the world [3], and it is also the only one found in the United States [15]. Several studies have demonstrated that heat treatment and antibiotic use, such as ampicillin and tetracycline, can eliminate or suppress CLas presence in citrus plants under controlled conditions [16,17,18,19,20,21,22,23]. Although many HLB detection methods have been developed [24,25,26,27], the rapid assessment of treatment effectiveness in the field is challenging, mainly because of the limited strategies to assess pathogen concentrations. Due to the inability to isolate and culture CLas on growth medium from HLB-affected citrus, DNA-based methods, most commonly quantitative polymerase chain reaction (qPCR) [3], are usually applied for HLB detection. However, because CLas DNA is detectable for 5 months after bacterial death [28], the use of DNA-based molecular methods for evaluating therapies is limited, because they cannot differentiate between live and dead bacterial cells. For instance, a reduction in CLas titers after heat or antibiotic treatments was not detected using the qPCR method from more than 5 months after initial treatment [16,19,20]. Moreover, some chemical screening systems, including a periwinkle regeneration system [29] and grafted-based assays [21,30,31], also need a long period (2 to 6 months) for the evaluation of antibacterial activity of chemical compounds against CLas via qPCR. Therefore, qPCR assays may overestimate live CLas populations, resulting in long wait periods for evaluating effective treatments.
Several attempts have been made to quantify only live CLas cells based on qPCR assays. RNA-based RT-qPCR assays have been used for assessing the cell viability of bacterial pathogens, including CLas [32,33,34]. Although the short half-life of RNA should represent the live bacterial population more accurately, the rapid degradation of RNA in samples may lead to false negative results [35]. Moreover, the need to flash freeze the samples with liquid nitrogen to maintain RNA integrity may limit its applicability for field studies. Another option is to remove background DNA (including naked DNA or DNA from dead cells) to only detect DNA from living cells. Ethidium monoazide (EMA) has been used during DNA extraction to block the DNA from dead cells and, thus, only detect the DNA extracted from live cells in the consequent qPCR reactions [36]. However, EMA has poor selectivity, and it can also penetrate into live cells during the pretreatment step and, thus, cause DNA loss from live cells [37,38]. A novel DNA-binding dye, propidium monoazide (PMA), can overcome this limitation. PMA is added to samples, and it strongly binds DNA. When activated through light excitation, the dyes form a covalent crosslink with the DNA and render it unavailable as a PCR template. PMA is highly selective and does not penetrate intact cell membranes; DNA from live bacterial cells is unaffected. Only DNA from dead bacterial cells with compromised cell membranes will be bound by the treatment [39]. Recently, a procedure was developed to detect live CLas in citrus using PMA in conjunction with qPCR [40]. This method was used to study the seasonal effects on CLas growth in different hosts [41]. In addition, an in vitro protocol for screening chemical compounds against CLas in psyllid using PMA-qPCR was developed [42]. However, this method has not been used for the assessment of treatments against HLB. Therefore, validating the PMA-qPCR for the evaluation of field treatments for HLB management can accelerate the validation and release of effective treatments to citrus growers.
Currently, it has been reported that three primer sets, designed based on the 16S rRNA gene (HLBas/HLBr) [43], nrdB, β-subunit of ribonucleotide reductase (RNRf/RNRr) [44], and hyvI/hyvII of prophage (LJ900f/LJ900r) [45], are suitable for detecting CLas by quantitative PCR. However, it is not known whether these genes are stable in response to stress, including antibiotics and heat. In this study, PMA-qPCR was optimized by evaluating three primer sets under antibiotic and heat treatments using HLB-affected citrus cuttings. Subsequently, the optimized PMA-qPCR assay was validated by assessing live CLas in HLB-affected citrus trees after antimicrobial treatments to evaluate their effectiveness in the field.

2. Materials and Methods

2.1. Plant Materials

CLas-infected citrus cuttings displaying typical HLB symptoms were collected from HLB-affected grapefruit trees in May 2020, at the Texas A&M university Kingsville citrus center south farm (E97°57″, N26°7), in Weslaco, TX, USA.

2.2. Evaluations of Primer Sets for Live CLas Detection

Three primer sets (HLBas/HLBr, RNRf/RNRr, and LJ900f/LJ900r) were evaluated for detecting live CLas via PMA-qPCR after heat and Amp (Ampicillin sodium salt, Sigma-Aldrich) treatments (Table 1). Six HLB-affected citrus cuttings (15–18 cm) were sampled and exposed to temperature treatments with three cuttings incubated at 60 °C and three cuttings at room temperature (23 ± 0.2 °C). Two to three leaves per cutting were collected before treatment and 24 h after treatment. In a separate assay, three HLB-infected citrus cuttings were soaked in Amp (3000 ppm) solution and three cuttings were soaked in water as described below. Two to three leaves per cutting were collected before treatment and 16 days after treatment. All samples were prepared for DNA extraction with and without PMA and subjected to qPCR as described below. Three independent experiments were performed, and all treatments were conducted using three biological replicates.
Table 1. Sequence of qPCR primer.

2.3. DNA Extraction

DNA was extracted from 0.1 g (fresh weight) of leaf tissue following Hu’s protocol with minor changes as follows [40]. Briefly, 120 mg of finely chopped midribs were pulverized with liquid nitrogen to make a homogenized tissue pool and divided into two portions of 50 mg tissue each. One portion was mixed with 1mL of PMA solution (PMAxx™, Biotium, Fremont, CA, USA) (final concentration of 25 μg/mL) and incubated in the dark for 10 min with occasional mixing by vortex. Samples were then exposed to light using a PMA--Lite LED Photolysis Device (Biotium, Fremont, CA, USA) for 15 min and mixing by vortex every 5 min to ensure all parts of the sample were exposed to light. The other 50 mg portion of tissue received the same treatments but without PMA added. After 5 min of centrifugation at 13,200 rpm, 800 μL of the supernatant was discarded from each tube and the remaining pellets were used for DNA extraction. DNA was extracted using the cetyltrimethylammonium bromide (CTAB) extraction method as follows. A total of 400 µL of extraction buffer (3% CTAB, 100 mM Tris-HCl, 20 mM EDTA, 1.4 M NaCl, 5% polyvinyl pyrrolidone, pH 8.0) were added to the pellets and disrupted in a Mini-Bead Beater (Biospec products, Bartlesville, OK, USA) at max speed for 4 min. Samples were then incubated at 65 °C for 30 min, and 200µL of 5M Potassium Acetate/Acetic Acid was added to each tube, mixed by vortex, and incubated on ice. Samples were centrifuged for 5 min at 15,000 rpm and the supernatant was transferred to a new tube and gently mixed with 900 µL of isopropanol. The solution was transferred to a spin-column (Genessee Scientific, San Diego, CA, USA) and centrifuged at 8000 rpm for 60s. The spin column was then washed twice with 70% ethanol, and DNA was eluted by adding 50 µL of AE buffer (10 mM Tris-Cl, 0.5 mM EDTA, pH 9). The DNA was stored in a −20 °C freezer.

2.4. qPCR Evaluation

The qPCR was conducted with the primer sets listed in Table 1 using the QuantStudio 3 Real-Time PCR System (Applied Biosystems, Waltham, MA, USA) in a 20 μL reaction volume consisting of 300 nM (each) target primer (Table 1), 150 nM target probe, and 1 × TaqMan qPCR Mix (Applied Biosystems) [43]. The amplification protocol was 95 °C for 20 s followed by 40 cycles at 95 °C for 3 s and 60 °C for 30 s. All reactions were conducted in triplicate and each run contained one negative (DNA from healthy plant) and one positive (DNA from CLas-infected plant) control. Data were analyzed using the QuantStudio 3 Real-Time PCR System with SDS software (version 2.4).
The resulting Ct values were converted to estimated CLas bacterial titers using the general regression equation Y = 13.82–0.2866X, which calculates the estimated bacterial population based on a previously standardized 16S copy number curve using HLBas/HLBr primers, where Y is the estimated log concentration of cells and X is the Ct value obtained from the qPCR [46].

2.5. Citrus Cuttings Assays

Heat treatment: Nine HLB-infected citrus cuttings were exposed to three temperature regimes, consisting of 50 °C, 55 °C, or 60 °C, for 30 min in an imperial II incubator (Lab-line instruments, Inc, Melrose park, IL, USA), and three cuttings were kept at room temperature (RT, 23 ± 0.2 °C) as untreated controls. DNA extraction was performed on 2–3 leaves per citrus cutting that were collected immediately before and 24 h after treatment. All the leaf samples were prepared for DNA extraction with and without PMA for CLas quantification. All treatments were conducted using three biological replicates (three cuttings per treatment), and the experiment was performed three times.
Antimicrobial treatment: Three HLB-infected citrus cuttings per treatment were soaked in 100 mL Amp solution at different concentrations of 0 (control), 1000 ppm, 2000 ppm, and 3000 ppm for 24 h at room temperature (23 ± 0.2 °C). Then, the solution was replaced with double-distilled sterile water and kept at room temperature. Two to three leaves from each cutting were collected at day 0 (before treatment), and 4, 8, 12, and 16 days after treatment for DNA extraction with and without PMA for CLas quantification.
In a separate experiment, three HLB-infected citrus cuttings per treatment were soaked in 100 mL ampicillin sodium (Amp, 3000 ppm), oxytetracycline hydrochloride (OTC) 3000 ppm (FIRELINE™ 17 WP, Agrosource, Cranford, NJ, USA), streptomycin sulfate (Strep) 3000 ppm (FireWall™ 50 WP, Agrosource, Cranford, NJ, USA), and double-distilled water control (CK). Two leaf samples from each cutting were collected at 0 and 8 days after treatment for DNA extraction and live CLas quantification. All treatments were performed using three biological replicates and three independent experiments.

2.6. Validiation of PMA-qPCR for Evaluation of Antimicrobials agaisnt CLas in the Field

The field evaluation was performed in 8-year-old HLB-affected grapefruit trees located at Texas A&M university Kingsville citrus center main farm (E97°57″, N26°9′). A total of 20 mL Amp (10,000 ppm), OTC (10,000 ppm (FIRELINE™ 17 WP, Agrosource), Strep (10,000 ppm (FireWall™ 50 WP, Agrosource) solution, and double-distilled water treatment (CK), were applied to HLB-affected grapefruit trees by trunk injection in August, 2021, using Chemjet® Injectors (Chemjet Trading, Queensland, Australia) in the field. Two injection ports were made per tree by drilling 25 mm deep holes with a 4.2 mm drill bit (11/64) at opposite sides of the trunk positioned 15 cm above the bud union. Two branches displaying typical HLB symptoms located at opposite side of the tree trunk were tagged for monitoring live CLas titers for each treatment. Samples of mature leaves (2–3 leaves) from the tagged symptomatic branches were collected at 0, 2, 4, and 8 days after treatment. Collected leaf samples were placed in a plastic bag and kept in an ice box, out of direct sunlight, until being transported back to the laboratory. Then, all the samples were frozen in liquid nitrogen and stored at −80 °C for future DNA extraction and live CLas quantification. Three trees were selected for each treatment.

2.7. Statistical Analysis

The data were analyzed as a generalized linear mixed model using the SAS procedure GLIMMIX 8.1. Differences among different treatments were assessed by Duncan’s multiple range tests at p < 0.01.

3. Results

3.1. Evaluation of Primer Sets

The analysis of variance showed a significant effect of PMA use prior to DNA extraction in terms of the Ct values for all the primer sets (HLBas/HLBr p = 0.0001, RNRf/RNRr p = 0.0002, LJ900f/LJ900r p = 0.0001; Table S1). Without PMA treatment, differences in Ct value after heat treatment at 60 °C were not detected with the HLBas/HLBr (p = 0.0568) and LJ900f/LJ900r (p = 0.0630) primer sets, while it detected a significant decrease in the Ct value with the RNR primers (p = 0.0023) (Figure 1A). In addition, the Ct value was significantly increased after heat treatment when using the PMA and HLBas/HLBr primer set (Figure 1A) (p= 0.0003). In contrast, a significant decrease in the Ct value after heat treatment was detected with the primer sets RNRf/RNRr (p = 0.0055) and LJ900f/LJ900r (p = 0.0004) (Figure 1A). The analysis of the room temperature controls showed no change in the Ct values without PMA in any of the three primer sets, although with PMA, the primer sets HLBas/HLBr (p = 0.0001) and RNRf/RNRr (p = 0.0076) show a significant decrease, respectively (Figure 1A).
Figure 1. Ct value in HLB-affected citrus cuttings treated with heat and chemical treatment via PMA-qPCR using three different primer sets. (A) Heat treatment at temperature 60 °C; (B) Amp treatment (3000 ppm). Significant differences between different time points are indicated by * p ≤ 0.05 and ** p ≤ 0.01. Standard error of the mean is indicated by a vertical line. HLB-16S, RNR, and LJ900 indicate primer sets HLBas/HLBr, RNRf/RNRr and LJ900f/LJ900r, respectively.
In the antimicrobial treatment (Amp), the analysis of variance indicated that there were significant differences in the Ct values between the PMA-treated and untreated DNA with the HLBas/HLBr (p = 0.0001), RNRf/RNRr (p = 0.0082), and LJ900f/LJ900r (p = 0.0044) primer sets (Table S2). Sixteen days after Amp treatment, the Ct values detected by HLBas/HLBr were significantly increased (Figure 1B), whereas the Ct values were significantly reduced when using the RNRf/RNRr and LJ900f/LJ900r primer sets, under both PMA and without PMA treatments (Figure 1B). In the water control, the Ct values did not change significantly between 0 and 16 days after treatment irrespective of the PMA treatment of DNA, except for LJ900f/LJ900r, which showed a significant decrease in the Ct values after treatment (Figure 1B).
Together, these results indicated that the Ct value changes observed in the Amp and heat treatments were the result of the treatment applied and not the time point used for assessment. Moreover, based on these results, HLBas/HLBr was the best primer set for detecting live CLas by PMA-qPCR after heat or chemical treatments and was used for the rest of the study.

3.2. Evaluation of PMA Effect on CLas after Heat Treatment

In this study, the variance analysis indicated that there were significant differences in CLas titers between the samples pre-treated with PMA and the untreated samples (p = 0.0015). The comparison of the different temperatures used indicated that there were significant differences in the CLas titers between the temperature treatments (p = 0.0001). In the PMA treatment, the CLas titers were significantly reduced after exposure to 60 °C for 24 h as compared to the pre-treatment level (p = 0.0165) (Figure 2), while no significant differences were detected after exposure for 24 h at room temperature (23 ± 0.2 °C), 50 °C, and 55 °C treatments. Without PMA treatment, there were no significant differences in the CLas titers at all the temperature treatments after 24 h exposure (Figure 2), including treatment at 60 °C, which showed a small reduction in titers although it was not significant (p = 0.1274).
Figure 2. CLas titer detected by PMA-qPCR in HLB-affected citrus cuttings under heat treatment at various temperatures. Significant differences between different time points are indicated by * p ≤ 0.05. Standard error of the mean is indicated by a vertical line.

3.3. Evaluation of PMA Effect on CLas after Amp Treatment

Our results indicated that in the qPCR performed on DNA pre-treated with PMA, the CLas titer at different concentrations (0, 1000 ppm, 2000 ppm, and 3000 ppm) were significantly lower, compared to without PMA treatment (Figure 3, Table S3). For the PMA-treated and untreated samples, both the Amp concentration (p = 0.0001) and time point (p = 0.0001) had a significant effect on the CLas titers. In the PMA treatment, the CLas titer was significantly reduced by Amp at 1000 ppm, 2000 ppm, and 3000 ppm from 4 days after initial treatment (Figure 3). In contrast, there were no significant differences in the CLas titer between the different time points under water treatment. In the three ampicillin concentrations used, the CLas titers were reduced starting at 4 days and reaching a maximum reduction at 8 days after initial treatment. Therefore, 8 days after chemical treatment was the optimal time point for assessing the CLas titers using PMA-qPCR.
Figure 3. CLas titer detected by PMA-qPCR in HLB-affected citrus cuttings under Amp treatment at different concentrations (0 (control), 1000 ppm, 2000 ppm, and 3000 ppm). Results of experimental treatments denoted with the same upper-case letter were not significantly different according to Duncan’s multiple range test at p ≤ 0.01. Standard error of the mean is indicated by a vertical line.

3.4. Validation of Antibacterial Activity of Chemical Compounds against CLas via Optimized PMA-qPCR Assay

In the HLB-affected citrus cuttings, the CLas titers were significantly reduced by Amp and OTC, in both the PMA (Amp p = 0.0015, OTC p = 0.0261) and without PMA treatments (Amp p = 0.0036, OTC p = 0.0211) (Figure 4 and Table S4). In contrast, there were no significant differences in the CLas titers after Strep treatment, as well as after the water control treatments (Figure 4).
Figure 4. Assessing antibacterial activity of chemical compounds (Amp, OTC, Strep, and water control) against CLas via PMA-qPCR in HLB-affected citrus cutting assays. Significant differences between time points are indicated by * p ≤ 0.05 and ** p ≤ 0.01. Standard error of the mean is indicated by a vertical line.
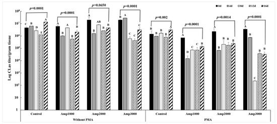
The same antimicrobial compounds were applied to the HLB-affected citrus trees by trunk injection in the field. The results indicated that, when assessed by PMA-qPCR, the CLas titers in the HLB-affected citrus trees started to decrease 2 days post-application in the OTC treatment, with a significant reduction by days 4 and 8 (Table S5). In Amp treatment, the reduction was detected at 8 days after the initial treatment (Figure 5), while there were no significant differences at all time points without PMA treatment. In addition, treatment with Strep displayed no antimicrobial activity against CLas in both the PMA and without PMA treatments, similarly to the water treatment (Figure 5). In addition, we did not observe any phytotoxicity effects on the treated trees in the field.
Figure 5. Assessing antibacterial activity of chemical compounds (Amp, OTC, Strep, and water control) against CLas via PMA-qPCR in-field test. Results of experimental treatments denoted with the same upper-case letter were not significantly different according to Duncan’s multiple range test at p ≤ 0.05. Standard error of the mean is indicated by a vertical line.

4. Discussion

A common method for quantifying populations of a bacterium is the number of colony-forming units (CFUs), which assesses the live bacteria present in a sample. For uncultured bacteria, this method is not suitable, and they require indirect means to characterize their populations, such as DNA transcription/translation activity, metabolic activity, and the maintenance of intact cell membranes [47]. This work optimized a PMA-qPCR method for the assessment of antimicrobial treatments against uncultured CLas bacterium in the field. Due to CLas DNA persistence in tree phloem for up to five months after bacterial cell death [28], excluding CLas DNA from dead bacteria is critical for the assessment of viable treatments against the pathogen. In several studies, HLB-affected citrus samples treated with heat or Amp were collected for qPCR detection 6 months or more after initial treatment [16,19], i.e., when the CLas DNA from dead cells is assumed to be completely degraded. However, waiting for so long to assess CLas cell death can lead to erroneous conclusions. For instance, re-inoculation of CLas by citrus psyllids can hinder the real effect of treatments in the field.
The assessment of cell membrane integrity has been conducted via several methods, mostly involving preferential exclusion or the uptake of dyes or markers. PMA is reported to be more likely to underestimate cell disruption, suggesting that the bacterial populations obtained should be considered the maximum potential number of viable cells and that quantification protocols should focus on maximizing the suppression of signals from dead cells [43]. In this study, the antimicrobial activity of heat and Amp treatments was assessed at 24 h and 8 days after initial treatment, respectively. Under controlled conditions, heat treatment is an effective strategy for reducing CLas titers in HLB-affected citrus. In general, the effect of heat on bacterial cells alters the stability of the inner membrane, the nucleoid, RNA, ribosomes, and diverse enzyme activity [48]. The major mechanism of beta-lactam antibiotics, such as ampicillin, is to inhibit the growth of sensitive bacteria by inactivating enzymes located in the bacterial cell membrane, known as penicillin-binding proteins, which are involved in cell wall synthesis [49]. Therefore, heat and Amp treatment may destroy the cell membrane integrity of CLas, and subsequently, PMA can strongly bind DNA from dead CLas bacterial cells for rapidly detecting alive CLas by qPCR.
Previous studies indicated that LJ900f/LJ900r and RNRf/RNRr primer sets are more sensitive for CLas detection compared to HLBas/HLBr primer sets [43,44]. Our study also found that LJ900f/LJ900r and RNRf/RNRr primer sets could increase the detection sensitivity as the Ct values in response to heat or Amp treatment decreased in these primer sets. With PMA treatment, CLas quantification was only reduced when using the HLBas/HLBr primers, but it increased using LJ900f/LJ900r and RNRf/RNRr after heat and Amp treatments (Figure 1A,B). Our results differed from a study by Louzada et al. (2022), which reported a Ct value increase when using LJ900f/LJ900r in response to heat treatment [50]. However, their study only compared the Ct values from heat-treated samples versus a control sample group (no-heat) but did not assess the Ct values in the same samples before and after treatment. Thus, this previous study cannot confirm LJ900f/LJ900r gene stability in CLas under heat stress. LJ900f/LJ900r was derived from multi-copy prophages in the CLas genome [45] and the relative copy number of prophages in the CLas genome can increase significantly in response to heat and chemical treatment [51]. The induction of CLas prophages causes the lysis of CLas bacteria, reducing the CLas population and mitigating HLB symptoms in citrus trees [51]. Therefore, the detection of genes from CLas prophages would show an increase in Clas after heat or antimicrobial treatments when using LJ900f/LJ900r for quantification. Similarly, RNRf/RNRr was designed based on CLas nrdB, which has five copies in CLas [44]. The presence of RNR, including nrdB, has been reported in a wide range of phages [52,53]. In this study, under the heat and Amp treatments, the live CLas titers showed an increase using RNRf/RNRr as well as LJ900f/LJ900r. Whether some copies of nrdB were located in the prophage still needs to be verified. Therefore, LJ900f/LJ900r and RNRf/RNRr were not reliable or accurate for detecting live CLas in response to stressors including heat and antibiotics. The sequences of the 16S rDNA were highly conserved and had three copies in the bacteria, and the HLBas/HLBr primer set was demonstrated to be specific to CLas [43]. A reduction in the live CLas titer was detected using the HLBas/HLBr primers in the heat and Amp treatments but not in the control samples. Moreover, the primers Las606/LSS, which target the 16s rDNA gene, were shown to be effective in distinguishing live from dead CLas cells when used in PMA-treated DNA samples in SYBR Green qPCR quantification [50]. Therefore, 16S rDNA is stable in response to stress, and this is the best primer set for assessing antimicrobial activity against CLas via PMA-qPCR detection.
Furthermore, this method is useful for assessing the antibacterial activity of different chemical compounds against CLas. In this study, we validated the use of PMA-qPCR for the assessment of the antibacterial activity of three chemical compounds (Amp, OTC, Strep) in citrus cuttings and in the field. The results obtained by PMA-qPCR in the field indicated that the Amp and OTC treatments displayed high antibacterial activity against CLas, while there were no significant changes in the CLas titers detected by qPCR under these treatments. In addition, the CLas titers could not be reduced by Strep, as compared to the control treatments, at 8 days after initial treatment (Figure 4). Our results were in agreement with a grafted-based assay method [21] that was also applied for assessing the antibacterial activity of chemical compounds (including Amp, OTC, and Strep) against CLas, although the latter method needs 2 to 6 months for the evaluation.
In the field, trunk injection is considered to be the most effective method to deliver chemical compounds into citrus [54,55]. Several field studies indicate that CLas titers in HLB-affected citrus are significantly reduced by the β-lactam antibiotic penicillin when injected to the trunk at 30 days after treatment [56,57]. OTC application by trunk injection in the field has also shown a reduction in CLas titers from 14 to 60 days post-application [58]. Other studies have shown that Strep can reduce CLas titers in 3-year-old citrus by trunk injection when applied in the spring and that the in-planta minimum effective concentration of Strep required to reduce the CLas titer to an undetectable level (Ct ≥ 36.0) was 1.92 µg/g fresh weight [59]. However, Strep did not reduce the CLas titers in this study and in a study by Zhang et al. [21]. The lack of an effect may be related to the final concentration achieved in the treated trees and to the developmental stage of the trees, as in our study the treatment was applied on mature bearing 8-year-old trees during the fall season. The difference in tree age and application time may affect the Strep distribution and concentration in the tree. In our PMA-qPCR detection assay, we were able to show a CLas titer reduction 4 and 8 days post antimicrobial treatments in the field, showing the potential for reducing the wait time for antimicrobial evaluation and validation after field treatments.
In this study, the PMA-qPCR method was validated for assessing the antimicrobial activity of field treatments against CLas, and HLBas/HLBr was best primer set for this method. Although this method could just detect a reduction in live CLas titers in a short period, the yield and quality of citrus trees in field still need a long-term evaluation. This method can be beneficial for accelerating the validation of effective treatments against HLB in the field for citrus growers. Novel antimicrobial compounds against CLas will be assessed by this rapid PMA-qPCR method in future studies.

Supplementary Materials

The following supporting information can be downloaded at: https://www.mdpi.com/article/10.3390/agronomy12112783/s1, Table S1. Analysis of variance of Ct values of HLB-affected citrus cuttings under heat treatment, PMA, at different time points and primer sets. Table S2. Analysis of variance of Ct values of HLB-affected citrus cuttings under chemical treatment, PMA, at different time points and primer sets. Table S3. Analysis of variance of Ct values of HLB-affected citrus cuttings using primers HLBas/HLBr, under PMA, at different chemical concentrations and different time points. Table S4. Analysis of variance of Ct values of HLB-affected citrus cuttings using primers HLBas/HLBr, under PMA, with different chemical compounds, at different time points. Table S5. Analysis of variance of Ct values of HLB-affected citrus trees in the field under PMA, with different chemical compounds, at different time points (using primers HLBas/HLBr).

Author Contributions

Conceived and designed the experiment: V.A. and C.Y. Performed the experiments: C.Y. Analyzed the data: C.Y. Contributed reagents/materials/analysis tools: V.A. Wrote and revised the manuscript: C.Y. and V.A. All authors have read and agreed to the published version of the manuscript.

Funding

This research was funded by USDA-NIFA-SCRI grants 2019-70016-29096 and 2018-70016-28198) to VA.

Data Availability Statement

The data that support the findings of this study are available from the corresponding author upon reasonable request.

Acknowledgments

We would like to thank David Laughlin, Fatta Gurung, and Cynthia Puente of the citrus pathology lab for assisting in tissue collections.

Conflicts of Interest

The authors declare no conflict of interest.

References

  1. Reinking, O.A. Diseases of economic plants in southern China. Philipp. Agric. 1919, 8, 109–134. [Google Scholar]
  2. Zhou, C. The status of citrus Huanglongbing in China. Trop. Plant Pathol. 2020, 45, 279–284. [Google Scholar] [CrossRef]
  3. Bové, J.M. Huanglongbing: A destructive, newly-emerging, century-old disease of citrus. J. Plant Pathol. 2006, 88, 7–37. [Google Scholar]
  4. Texeira, D.; Ayres, J.; Kitajima, E.; Danet, L.; Jagoueix-Eveillard, S.; Saillard, C.; Bové, J. First report of a huanglongbing-like disease of citrus in São Paulo State, Brazil and association of a new Liberibacter species,“Candidatus Liberibacter ameri-canus”, with the disease. Plant Dis. 2005, 89, 107. [Google Scholar] [CrossRef] [PubMed]
  5. da Graça, J.V.; Douhan, G.W.; Halbert, S.E.; Keremane, M.L.; Lee, R.F.; Vidalakis, G.; Zhao, H. Huanglongbing: An overview of a complex pathosystem ravaging the world’s citrus. J. Integr. Plant Biol. 2016, 58, 373–387. [Google Scholar] [CrossRef] [PubMed]
  6. Graham, J.; Gottwald, T.; Setamou, M. Status of huanglongbing (HLB) outbreaks in Florida, California and Texas. Trop. Plant Pathol. 2020, 45, 265–278. [Google Scholar] [CrossRef]
  7. Spreen, T.H.; Baldwin, J.-P. The Impact of Huanglongbing (HLB) on Citrus Tree Planting in Florida. In Proceedings of the Southern Agricultural Economics Association (SAEA) Annual Meeting, Orlando, FL, USA, 3–5 February 2013. [Google Scholar]
  8. Singerman, A.; Rogers, M.E. The economic challenges of dealing with citrus greening: The case of Florida. J. Integr. Pest Manag. 2020, 11, 3. [Google Scholar] [CrossRef]
  9. Ramadugu, C.; Keremane, M.L.; Halbert, S.E.; Duan, Y.P.; Roose, M.L.; Stover, E.; Lee, R.F. Long-term field evaluation reveals Huanglongbing resistance in Citrus relatives. Plant Dis. 2016, 100, 1858–1869. [Google Scholar] [CrossRef]
  10. Munir, S.; He, P.; Wu, Y.; He, P.; Khan, S.; Huang, M.; Cui, W.; He, P.; He, Y. Huanglongbing control: Perhaps the end of the beginning. Microb. Ecol. 2018, 76, 192–204. [Google Scholar] [CrossRef]
  11. Blaustein, R.A.; Lorca, G.L.; Teplitski, M. Challenges for managing Candidatus Liberibacter spp.(Huanglongbing disease pathogen): Current control measures and future directions. Phytopathology 2018, 108, 424–435. [Google Scholar] [CrossRef]
  12. Jagoueix, S.; Bove, J.-M.; Garnier, M. The phloem-limited bacterium of greening disease of citrus is a member of the α sub-division of the Proteobacteria. Int. J. Syst. Evol. Microbiol. 1994, 44, 379–386. [Google Scholar]
  13. Bove, J.M.; Ayres, A.J. Etiology of three recent diseases of citrus in Sao Paulo State: Sudden death, variegated chlorosis and huanglongbing. IUBMB Life 2007, 59, 346–354. [Google Scholar] [CrossRef] [PubMed]
  14. Lopes, S.; Frare, G.; Bertolini, E.; Cambra, M.; Fernandes, N.; Ayres, A.; Marin, D.; Bové, J. Liberibacters associated with citrus huanglongbing in Brazil: ‘Candidatus Liberibacter asiaticus’ is heat tolerant,‘Ca. L. americanus’ is heat sensitive. Plant Dis. 2009, 93, 257–262. [Google Scholar] [CrossRef] [PubMed]
  15. Gottwald, T.R. Current epidemiological understanding of citrus huanglongbing. Annu. Rev. Phytopathol. 2010, 48, 119–139. [Google Scholar] [CrossRef] [PubMed]
  16. Hoffman, M.T.; Doud, M.S.; Williams, L.; Zhang, M.-Q.; Ding, F.; Stover, E.; Hall, D.; Zhang, S.; Jones, L.; Gooch, M. Heat treatment eliminates ‘Candidatus Liberibacter asiaticus’ from infected citrus trees under controlled conditions. Phytopathology 2013, 103, 15–22. [Google Scholar] [CrossRef] [PubMed]
  17. Hu, J.; Jiang, J.; Wang, N. Control of citrus Huanglongbing via trunk injection of plant defense activators and antibiotics. Phytopathology 2018, 108, 186–195. [Google Scholar] [CrossRef]
  18. Hu, J.; Wang, N. Evaluation of the spatiotemporal dynamics of oxytetracycline and its control effect against citrus Huanglongbing via trunk injection. Phytopathology 2016, 106, 1495–1503. [Google Scholar] [CrossRef]
  19. Yang, C.; Powell, C.A.; Duan, Y.; Shatters, R.; Zhang, M. Antimicrobial nanoemulsion formulation with improved penetra-tion of foliar spray through citrus leaf cuticles to control citrus huanglongbing. PLoS ONE 2015, 10, e0133826. [Google Scholar]
  20. Yang, C.; Powell, C.A.; Duan, Y.; Shatters, R.G.; Lin, Y.; Zhang, M. Mitigating citrus huanglongbing via effective application of antimicrobial compounds and thermotherapy. Crop Prot. 2016, 84, 150–158. [Google Scholar] [CrossRef]
  21. Zhang, M.; Guo, Y.; Powell, C.A.; Doud, M.S.; Yang, C.; Duan, Y. Effective antibiotics against ‘Candidatus Liberibacter asiaticus’ in HLB-affected citrus plants identified via the graft-based evaluation. PLoS ONE 2014, 9, e111032. [Google Scholar] [CrossRef]
  22. Yang, C.; Powell, C.; Duan, Y.; Zhang, M. Characterization and antibacterial activity of oil-in-water Nano-emulsion formu-lation against Candidatus Liberibacter asiaticus. Plant Dis. 2016, 100, 2448–2454. [Google Scholar] [CrossRef] [PubMed]
  23. Fan, G.-C.; Xia, Y.-L.; Lin, X.-J.; Hu, H.-Q.; Wang, X.-D.; Ruan, C.-Q.; Lu, L.-M.; Bo, L. Evaluation of thermotherapy against Huanglongbing (citrus greening) in the greenhouse. J. Integr. Agric. 2016, 15, 111–119. [Google Scholar] [CrossRef]
  24. Gottwald, T.; Poole, G.; McCollum, T.; Hall, D.; Hartung, J.; Bai, J.; Luo, W.; Posny, D.; Duan, Y.-P.; Taylor, E. Canine ol-factory detection of a vectored phytobacterial pathogen, Liberibacter asiaticus, and integration with disease control. Proc. Natl. Acad. Sci. USA 2020, 117, 3492–3501. [Google Scholar] [CrossRef] [PubMed]
  25. Braswell, W.E.; Park, J.-W.; Stansly, P.A.; Kostyk, B.C.; Louzada, E.S.; da Graça, J.V.; Kunta, M. Root samples provide early and improved detection of Candidatus Liberibacter asiaticus in Citrus. Sci. Rep. 2020, 10, 16982. [Google Scholar] [CrossRef] [PubMed]
  26. Pandey, S.S.; Wang, N. Targeted early detection of citrus Huanglongbing causal agent ‘Candidatus Liberibacter asiaticus’ before symptom expression. Phytopathology 2019, 109, 952–959. [Google Scholar] [CrossRef] [PubMed]
  27. Ammar, E.-D.; Walter, A.J.; Hall, D.G. New excised-leaf assay method to test inoculativity of Asian citrus psyllid (Hemiptera: Psyllidae) with Candidatus Liberibacter asiaticus associated with citrus huanglongbing disease. J. Econ. Entomol. 2013, 106, 25–35. [Google Scholar] [CrossRef]
  28. Etxeberria, E.; Gonzalez, P.; Vincent, C.; Schumann, A. Extended persistence of Candidatus Liberibacter asiaticus (CLas) DNA in Huanglongbing-affected citrus tissue after bacterial death. Physiol. Mol. Plant Pathol. 2019, 106, 204–207. [Google Scholar] [CrossRef]
  29. Zhang, M.; Duan, Y.; Zhou, L.; Turechek, W.W.; Stover, E.; Powell, C.A. Screening molecules for control of citrus huanglongbing using an optimized regeneration system for ‘Candidatus Liberibacter asiaticus’-infected periwinkle (Catharanthus roseus) cuttings. Phytopathology 2010, 100, 239–245. [Google Scholar] [CrossRef]
  30. Zhang, M.; Powell, C.A.; Guo, Y.; Doud, M.S.; Duan, Y. A graft-based chemotherapy method for screening effective mole-cules and rescuing huanglongbing-affected citrus plants. Phytopathology 2012, 102, 567–574. [Google Scholar] [CrossRef][Green Version]
  31. Yang, C.; Zhong, Y.; Powell, C.A.; Doud, M.S.; Duan, Y.; Huang, Y.; Zhang, M. Antimicrobial compounds effective against Candidatus Liberibacter asiaticus discovered via graft-based assay in citrus. Sci. Rep. 2018, 8, 17288. [Google Scholar] [CrossRef]
  32. Keer, J.; Birch, L. Molecular methods for the assessment of bacterial viability. J. Microbiol. Methods 2003, 53, 175–183. [Google Scholar] [CrossRef]
  33. Van der Vliet, G.; Schepers, P.; Schukkink, R.; Van Gemen, B.; Klatser, P.R. Assessment of mycobacterial viability by RNA amplification. Antimicrob. Agents Chemother. 1994, 38, 1959–1965. [Google Scholar] [CrossRef] [PubMed]
  34. Thapa, N.; Danyluk, M.D.; Gerberich, K.M.; Johnson, E.G.; Dewdney, M.M. Assessment of the effect of thermotherapy on ‘Candidatus Liberibacter asiaticus’ viability in woody tissue of citrus via graft-based assays and RNA assays. Phytopathology 2021, 111, 808–818. [Google Scholar] [CrossRef] [PubMed]
  35. Xiao, L.; Zhang, L.; Wang, H.H. Critical issues in detecting viable Listeria monocytogenes cells by real-time reverse transcriptase PCR. J. Food Prot. 2012, 75, 512–517. [Google Scholar] [CrossRef] [PubMed]
  36. Trivedi, P.; Sagaram, U.S.; Kim, J.-S.; Brlansky, R.H.; Rogers, M.E.; Stelinski, L.L.; Oswalt, C.; Wang, N. Quantification of viable Candidatus Liberibacter asiaticus in hosts using quantitative PCR with the aid of ethidium monoazide (EMA). Eur. J. Plant Pathol. 2009, 124, 553–563. [Google Scholar] [CrossRef]
  37. Kobayashi, H.; Oethinger, M.; Tuohy, M.; Hall, G.; Bauer, T. Unsuitable distinction between viable and dead Staphylococcus aureus and Staphylococcus epidermidis by ethidium bromide monoazide. Lett. Appl. Microbiol. 2009, 48, 633–638. [Google Scholar] [CrossRef]
  38. Cawthorn, D.M.; Witthuhn, R. Selective PCR detection of viable Enterobacter sakazakii cells utilizing propidium monoazide or ethidium bromide monoazide. J. Appl. Microbiol. 2008, 105, 1178–1185. [Google Scholar] [CrossRef]
  39. Nocker, A.; Cheung, C.-Y.; Camper, A.K. Comparison of propidium monoazide with ethidium monoazide for differentiation of live vs. dead bacteria by selective removal of DNA Dead Cells. J. Microbiol. Methods 2006, 67, 310–320. [Google Scholar]
  40. Hu, H.; Davis, M.; Brlansky, R. Quantification of live ‘Candidatus Liberibacter asiaticus’ populations using real-time PCR and propidium monoazide. Plant Dis. 2013, 97, 1158–1167. [Google Scholar] [CrossRef]
  41. Hu, H.; Roy, A.; Brlansky, R. Live population dynamics of ‘Candidatus Liberibacter asiaticus’, the bacterial agent associated with citrus huanglongbing, in citrus and non-citrus hosts. Plant Dis. 2014, 98, 876–884. [Google Scholar] [CrossRef]
  42. Krystel, J.; Shi, Q.; Shaw, J.; Gupta, G.; Hall, D.; Stover, E. An in vitro protocol for rapidly assessing the effects of antimicrobial compounds on the unculturable bacterial plant pathogen, Candidatus Liberibacter asiaticus. Plant Methods 2019, 15, 1–11. [Google Scholar] [CrossRef] [PubMed]
  43. Li, W.; Hartung, J.S.; Levy, L. Quantitative real-time PCR for detection and identification of Candidatus Liberibacter species associated with citrus huanglongbing. J. Microbiol. Methods 2006, 66, 104–115. [Google Scholar] [CrossRef] [PubMed]
  44. Zheng, Z.; Xu, M.; Bao, M.; Wu, F.; Chen, J.; Deng, X. Unusual five copies and dual forms of nrdB in “Candidatus Liberi-bacter asiaticus”: Biological implications and PCR detection application. Sci. Rep. 2016, 6, 39020. [Google Scholar] [CrossRef] [PubMed]
  45. Morgan, J.K.; Zhou, L.; Li, W.; Shatters, R.G.; Keremane, M.; Duan, Y.-P. Improved real-time PCR detection of ‘Candidatus Liberibacter asiaticus’ from citrus and psyllid hosts by targeting the intragenic tandem-repeats of its prophage genes. Mol. Cell. Probes 2012, 26, 90–98. [Google Scholar] [CrossRef]
  46. Li, W.; Li, D.; Twieg, E.; Hartung, J.S.; Levy, L. Optimized quantification of unculturable Candidatus Liberibacter spp. in host plants using real-time PCR. Plant Dis. 2008, 92, 854–861. [Google Scholar] [CrossRef]
  47. Emerson, J.B.; Adams, R.I.; Román, C.M.B.; Brooks, B.; Coil, D.A.; Dahlhausen, K.; Ganz, H.H.; Hartmann, E.M.; Hsu, T.; Justice, N.B. Schrödinger’s microbes: Tools for distinguishing the living from the dead in microbial ecosystems. Microbiome 2017, 5, 1–23. [Google Scholar] [CrossRef]
  48. Cebrián, G.; Condón, S.; Mañas, P. Physiology of the inactivation of vegetative bacteria by thermal treatments: Mode of action, influence of environmental factors and inactivation kinetics. Foods 2017, 6, 107. [Google Scholar] [CrossRef]
  49. Spratt, B.G.; Cromie, K.D. Penicillin-binding proteins of gram-negative bacteria. Clin. Infect. Dis. 1988, 10, 699–711. [Google Scholar] [CrossRef]
  50. Louzada, E.; Vazquez, O.; Chavez, S.; Sétamou, M.; Kunta, M. Optimization of vqPCR for Reliable Detection of Viable Candidatus Liberibacter asiaticus in Citrus. HortScience 2022, 57, 692–697. [Google Scholar] [CrossRef]
  51. Ding, F.; Allen, V.; Luo, W.; Zhang, S.; Duan, Y. Molecular mechanisms underlying heat or tetracycline treatments for citrus HLB control. Hortic. Res. 2018, 5, 1–11. [Google Scholar] [CrossRef]
  52. Huang, S.; Wang, K.; Jiao, N.; Chen, F. Genome sequences of siphoviruses infecting marine Synechococcus unveil a diverse cyanophage group and extensive phage-host genetic exchanges. Environ. Microbiol. 2012, 14, 540–558. [Google Scholar] [CrossRef] [PubMed]
  53. Lohr, J.E.; Chen, F.; Hill, R.T. Genomic analysis of bacteriophage ΦJL001: Insights into its interaction with a sponge-associated alpha-proteobacterium. Appl. Environ. Microbiol. 2005, 71, 1598–1609. [Google Scholar] [CrossRef] [PubMed]
  54. Puttamuk, T.; Zhang, S.; Duan, Y.; Jantasorn, A.; Thaveechai, N. Effect of chemical treatments on ‘Candidatus Liberibacter asiaticus’ infected pomelo (Citrus maxima). Crop Prot. 2014, 65, 114–121. [Google Scholar] [CrossRef]
  55. Shin, K.; Ascunce, M.S.; Narouei-Khandan, H.A.; Sun, X.; Jones, D.; Kolawole, O.O.; Goss, E.M.; van Bruggen, A.H. Effects and side effects of penicillin injection in huanglongbing affected grapefruit trees. Crop Prot. 2016, 90, 106–116. [Google Scholar] [CrossRef]
  56. McVay, J.; Sun, X.; Jones, D.; Urbina, H.; Aldeek, F.; Cook, J.M.; Jeyaprakash, A.; Hodges, G.; Smith, T. Limited persistence of residues and metabolites in fruit and juice following penicillin trunk infusion in citrus affected by Huanglongbing. Crop Prot. 2019, 125, 104753. [Google Scholar] [CrossRef]
  57. Zhang, M.; Powell, C.A.; Zhou, L.; He, Z.; Stover, E.; Duan, Y. Chemical compounds effective against the citrus Huanglongbing bacterium ‘Candidatus Liberibacter asiaticus’ in planta. Phytopathology 2011, 101, 1097–1103. [Google Scholar] [CrossRef]
  58. Li, J.; Pang, Z.; Duan, S.; Lee, D.; Kolbasov, V.G.; Wang, N. The in planta effective concentration of oxytetracycline against ‘Candidatus Liberibacter asiaticus’ for suppression of citrus huanglongbing. Phytopathology 2019, 109, 2046–2054. [Google Scholar] [CrossRef]
  59. Li, J.; Kolbasov, V.G.; Lee, D.; Pang, Z.; Huang, Y.; Collins, N.; Wang, N. Residue dynamics of streptomycin in citrus delivered by foliar spray and trunk injection and effect on ‘Candidatus Liberibacter asiaticus’ titer. Phytopathology 2021, 111, 1095–1103. [Google Scholar] [CrossRef]
Publisher’s Note: MDPI stays neutral with regard to jurisdictional claims in published maps and institutional affiliations.

Article Metrics

Citations

Article Access Statistics

Multiple requests from the same IP address are counted as one view.