Improving Nitrogen Availability and Ananas comosus L. Merr var. Moris Productivity in a Tropical Peat Soil Using Clinoptilolite Zeolite
Abstract
1. Introduction
2. Materials and Methods
2.1. Experimental Site Description
2.2. Characterization of Physical and Chemical Properties of Peat Soil
2.3. Characterization of Clinoptilolite Zeolite
2.4. Laboratory Leaching Experiment
2.5. Field Experimental Design and Nutrient Measurements in a Peat Soil Grown with Pineapples
2.6. Growth Performance, Nutrient Uptake and Use Efficiency, Pineapple Fresh Yield, and Fruit Quality
2.7. Statistical Analysis
3. Results
3.1. Peat Soil Physical and Chemical Characteristics
3.2. Characteristics of Clinoptilolite Zeolite
3.3. Laboratory Soil Leaching Experiment
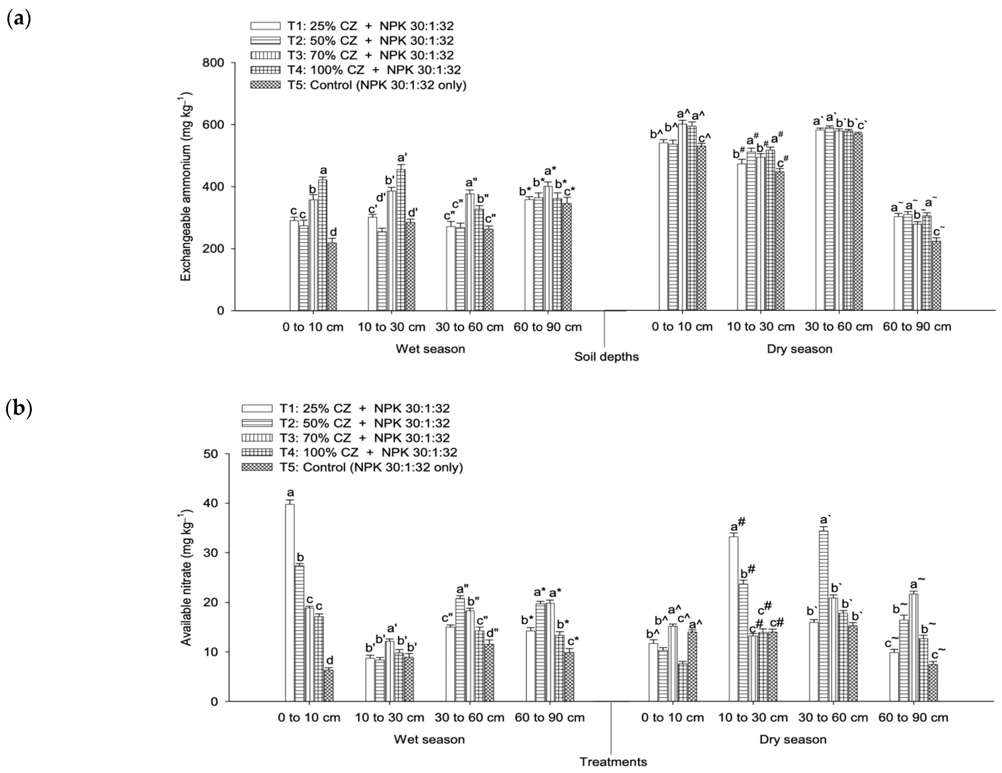
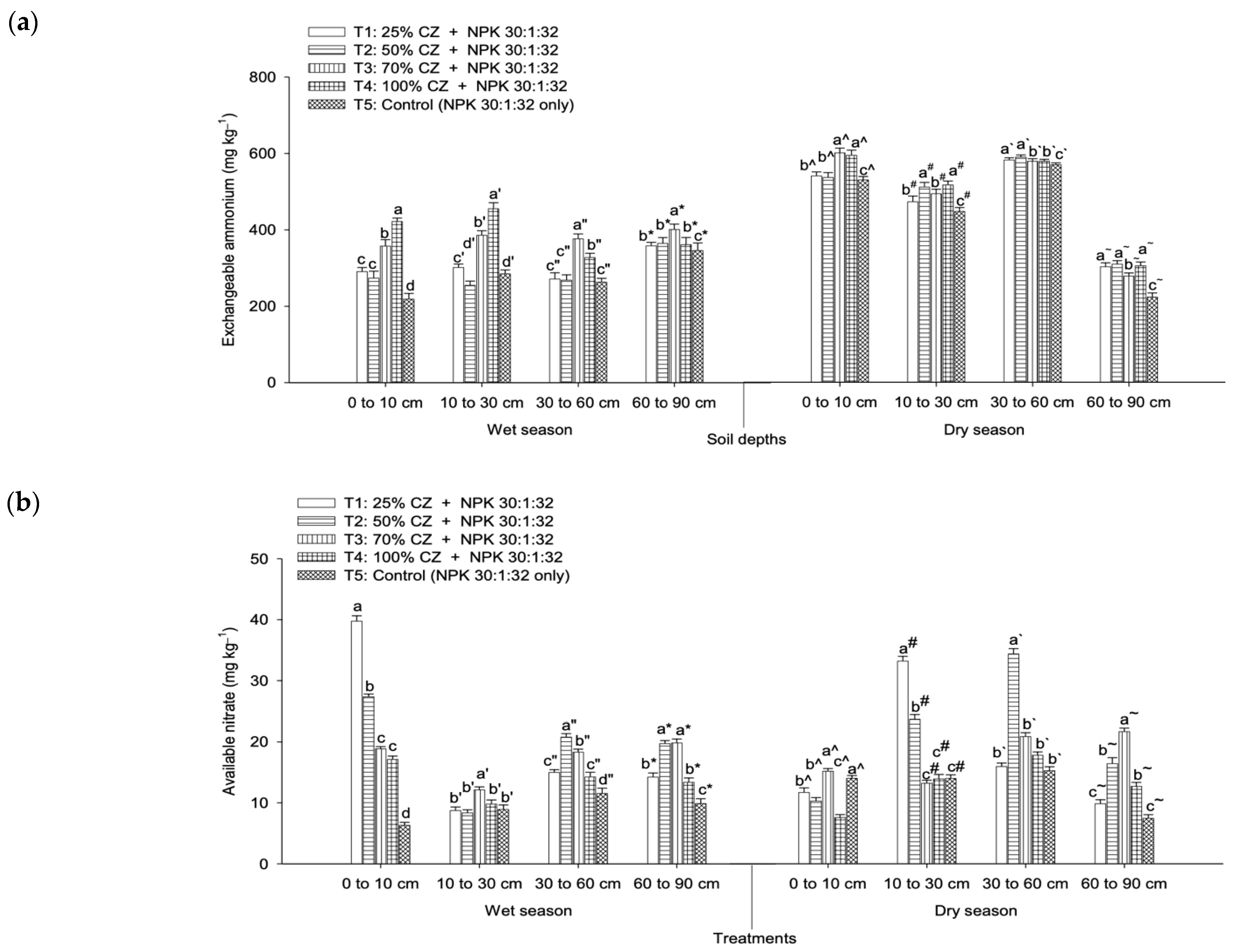
3.4. Availability of Ammonium and Nitrate in a Tropical Peat Soil Cultivated with Pineapple
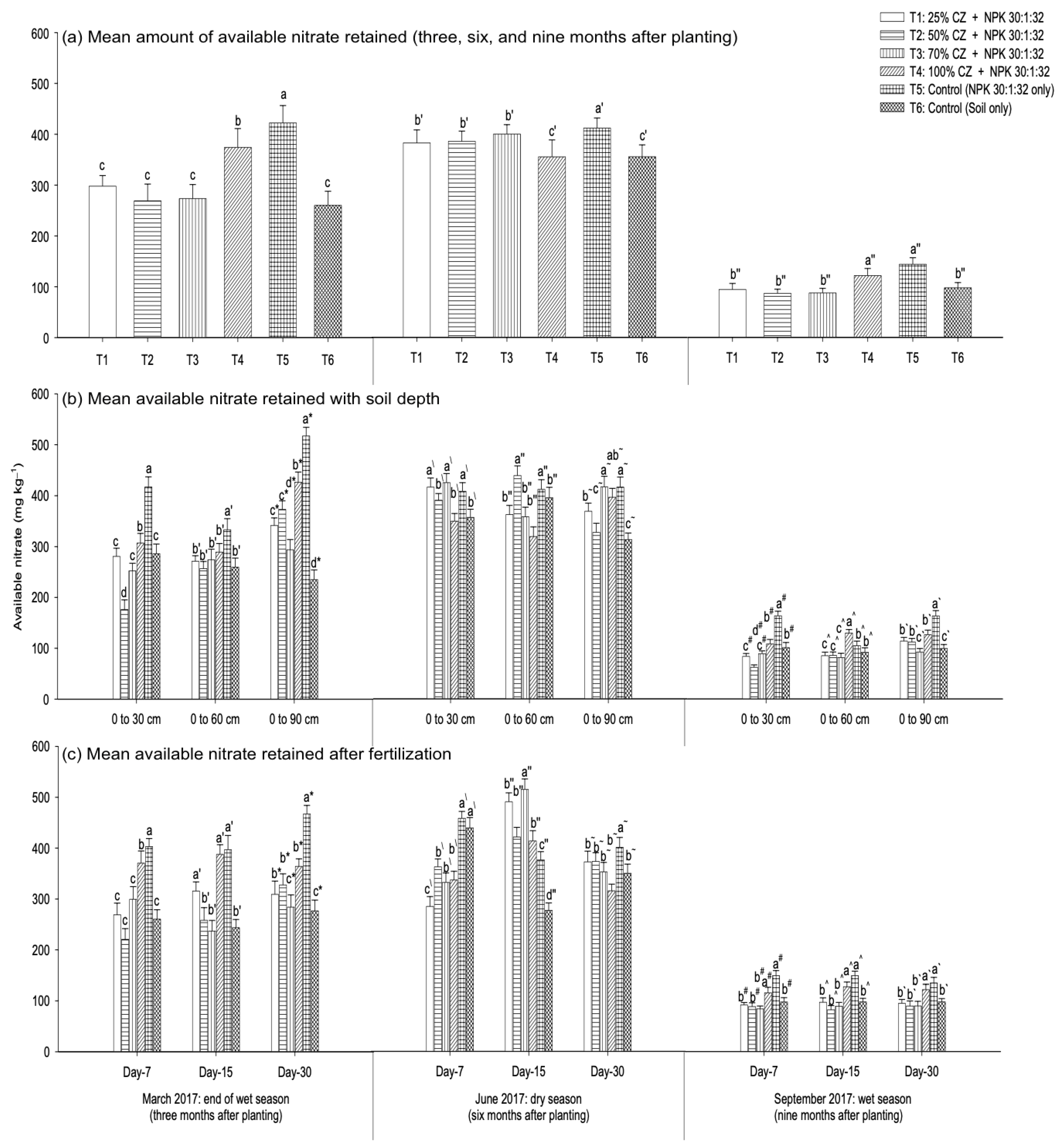
3.5. Retention of Soil Exchangeable Ammonium and Available Nitrate in a Tropical Peat Soil Cultivated with Pineapple
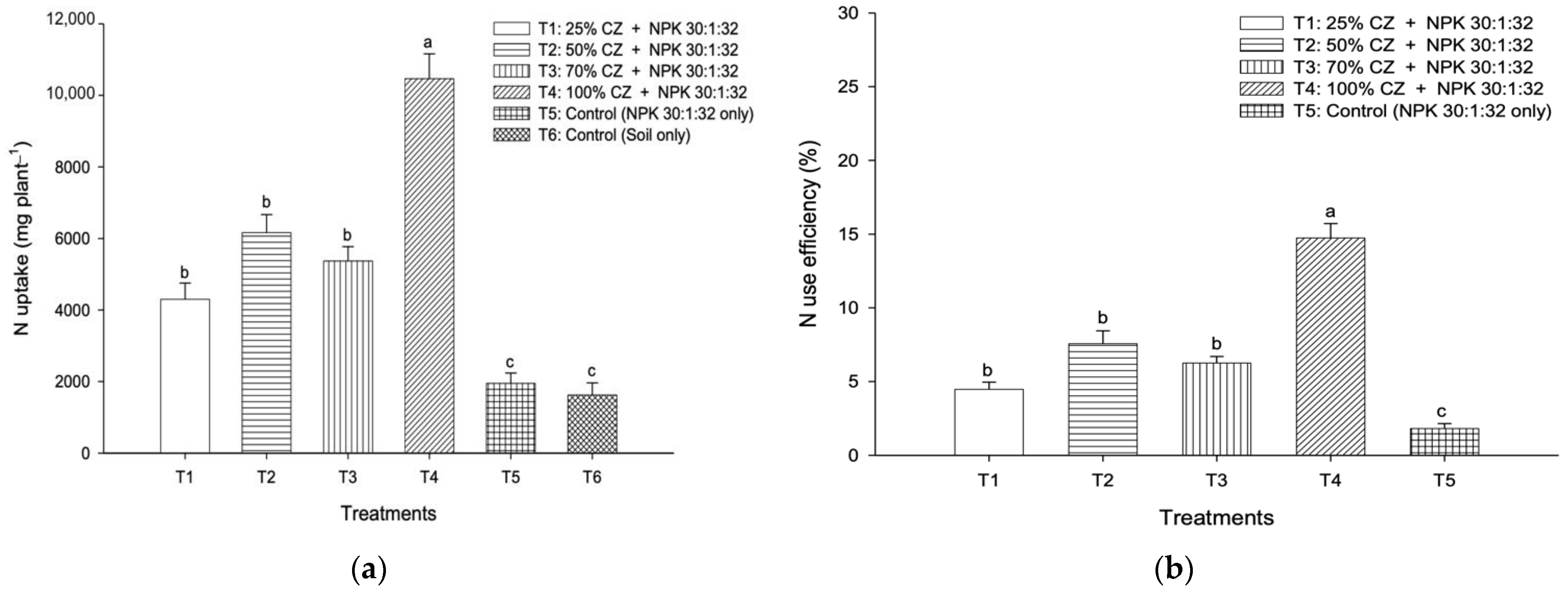
3.6. Growth, Nutrient Uptake and Use Efficiency, Yield, and Fruit Quality of Ananas Comosus L. Merr var. Moris
4. Discussion
4.1. Peat Soil Physical and Chemical Properties
4.2. Characteristics of Clinoptilolite Zeolite
4.3. Laboratory Soil Leaching Experiment
4.4. Improving Soil Nitrogen Availability and Pineapple Productivity in a Drained Tropical Peat Soil Using Clinoptilolite Zeolite
5. Conclusions
Author Contributions
Funding
Data Availability Statement
Acknowledgments
Conflicts of Interest
References
- Ismail, A.B.; Jamaludin, J. Land clearing techniques employed at MARDI Peat Research Station, Sessang, Sarawak and their immediate impacts. In A Case Study at MARDI Peat Research Station, Sessang, Sarawak, Malaysia; Ismail, A.B., Ong, H.K., Mohamad Hanif, M.J., Umi Kalsom, M.S., Eds.; MARDI: Serdang, Malaysia, 2007; pp. 1–8. [Google Scholar]
- Dolmat, M.T. Technology for Planting Oil Palm on Peat; Malaysian Palm Oil Board: Selangor, Malaysia, 2005; pp. 1–76. [Google Scholar]
- Kang, S.; Post, W.F.; Nichols, J.A.; Wang, D.; West, T.O.; Bandaru, V.; Izaurralde, R. Marginal lands: Concept, assessment and management. J. Agric. Sci. 2013, 5, 129–139. [Google Scholar] [CrossRef]
- Ahmed, O.H.; Ahmad Husni, M.H.; Rahim, A.A.; Mohd Hanafi, M. Sustainable Production of Pineapples on Tropical Peat Soils; Universiti Putra Malaysia Press: Serdang, Malaysia, 2013; pp. 1–141. [Google Scholar]
- Bakar, I.A. Strategies for Mitigation of Carbon Emission in Peatland; MARDI Press: Serdang, Malaysia, 2010; pp. 1–35. [Google Scholar]
- IUSS. World Reference Base for Soil Resources 2014, Update 2015 International Soil Classification System for Naming Soils and Creating Legends for Soil Maps, World Soil Reports No. 106; International Union of Soil Sciences: Vienna, Austria; FAO: Rome, Italy, 2015. [Google Scholar]
- Couwenberg, J. Greenhouse gas emissions from managed peat soils: Is the IPCC reporting guidance realistic? Mires Peat 2011, 8, 2. Available online: http://www.mires-and-peat.net/pages/volumes/map08/map0802.php (accessed on 31 August 2014).
- Huat, B.B.K. State of an art review of peat: General perspective. Int. J. Phys. Sci. 2011, 6, 1988–1996. [Google Scholar]
- Adon, R.; Bakar, I.; Wijeyesekera, D.C.; Zainorabidin, A. Overview of the sustainable uses of peat soil in Malaysia with some relevant geotechnical assessments. Int. J. Integr. Eng. 2012, 4, 38–46. Available online: https://publisher.uthm.edu.my/ojs/index.php/ijje/article/view/584 (accessed on 31 August 2014).
- Yuwati, T.W.; Rachmanadi, D.; Santosa, P.B.; Rusamana. Response of tropical peat swamp forest tree species seedlings to macro nutriens. J. Wetl. Environ. Manag. 2015, 3, 63–71. Available online: http://ijwem.unlam.ac.id/index/php/ijwem (accessed on 31 August 2014).
- Mutert, E.; Fairhurst, T.H.; von Uexküll, H.R. Agronomic management of oil palms on deep peat. Better Crops Int. 1999, 13, 22–27. [Google Scholar]
- Safford, L.; Maltby, E. Guidelines for Integrated Planning and Management of Tropical Lowland Peatlands with Special Reference to Southeast Asia; IUCN: Gland, Switzerland; Cambridge, UK, 1998; p. xvi-66. [Google Scholar]
- Mutalib, A.A.; Lim, J.S.; Wong, M.H.; Koonvai, L. Characterization, distribution, and utilization of peat in Malaysia. In Proceedings of the International Symposium on Tropical Peatland, Kuching, Malaysia, 6–10 May 1991; pp. 7–16. [Google Scholar]
- Funakawa, S.; Yonebayashi, K.; Shoon, J.F.; Khun, E.C.O. Nutritional environment of tropical peat soils in Sarawak, Malaysia based on soil solution composition. Soil Sci. Plant Nutr. 1996, 42, 833–843. [Google Scholar] [CrossRef]
- Balasundram, S.K.; Chong, Y.M.; Husni, M.H.A. Monitoring potassium levels in peat-grown pineapple using selected spectral ratios. In Proceedings of the 14th International Conference on Precision Agriculture, Montreal, QC, Canada, 24–27 June 2018. [Google Scholar]
- Könönen, M.; Jauhiainen, J.; Laiho, R.; Kusin, K.; Vasander, H. Physical and chemical properties of tropical peat under stabilized land uses. Mires Peat 2015, 16, 8. Available online: http://www.mires-and-peat.net/pages/volumes/map16/map1608.php (accessed on 16 September 2016).
- Mohd Shukri, M.A.; Bastmasi, M.S.; Abdul Rahman, M.H.; Choo, L.N.L.K. Greenhouse gas emissions from agricultural sector in Malaysia. In Proceedings of the Greenhouse Gas Emissions from Peatland in Relation to Malaysia’s Commitment under the Paris Agreement on Climate Change, International Greentech and Ecoproducts Exchibition and Conference Malaysia, Kuala Lumpur, Malaysia, 30 September 2021. [Google Scholar]
- DOA. Crop Statistics Booklet (Food Crop Sub-Sector); Department of Agriculture Malaysia: Putrajaya, Malaysia, 2018; p. 49.
- Zainuddin, M.F.; Shamsudin, R.; Mokhtar, M.N.; Ismail, D. Physicochemical properties of pineapple plant waste fibres from the leaves and stems of different varieties. BioResources 2014, 9, 5311–5324. [Google Scholar] [CrossRef]
- DOA. Crop Statistics Booklet (Food Crop Sub-Sector); Department of Agriculture Malaysia: Putrajaya, Malaysia, 2021; p. 108.
- Salim, S. Transforming the Malaysian pineapple industry. In Proceedings of the 5th International Plantation Industry Conference and Exhibition, Johor, Malaysia, 2–4 November 2016. [Google Scholar]
- Lin, R.M.; Rahman, A.A. Status and impact of pineapple technology on mineral soil. Econ. Technol. Manag. Rev. 2010, 5, 11–19. [Google Scholar]
- Nik Masdek, N.H. Paratylenchus sp. associated with pineapple yield decline. J. Trop. Agric. Food Sci. 2007, 35, 191–199. [Google Scholar]
- Suhaimi, N.H.M.; Fatah, F.A. Profitability of pineapple production (Ananas comosus) among smallholders in Malaysia. Int. J. Recent Technol. Eng. 2019, 8, 4201–4207. [Google Scholar]
- FAOSTAT. Pineapple World Production 2020, Crops and Livestock Products Statistics; Food and Agriculture Organization of the United Nations: Rome, Italy, 2020; Available online: https://www.fao.org/faostat (accessed on 30 September 2021).
- Souza, L.F.S.; Reinhardt, D.H. Pineapple. In Fertilizing for High Yield and Quality Tropical Fruits of Brazil; IPI Bulletin 18; International Potash Institute: Zug, Switzerland, 2007; pp. 179–201. [Google Scholar]
- Malézieux, E.; Bartholomew, D.P. Plant nutrition. In The Pineapple: Botany, Production and Uses; Bartholomew, D.P., Paull, R.E., Rohrbach, K.G., Eds.; CABI Publishing: Wallingford, UK, 2003; pp. 143–165. [Google Scholar]
- Mohammed Selamat, M.; Abdul Rahman, H. Amalan kultur. In Penanaman Nanas—Nanas Makan Segar dan Nanas Kaleng; Mohammed Selamat, M., Ed.; MARDI: Serdang, Malaysia, 1996; pp. 22–34. [Google Scholar]
- Murtedza, M.; Padmanabhan, E.; Mei, B.L.H.; Siong, W.B. The Peat Soils of Sarawak, STRAPEAT Status Report; UNIMAS: Sarawak, Malaysia, 2002; pp. 1–16. [Google Scholar]
- Blodau, C.; Basiliko, N.; Mayer, B.; Moore, T.R. The fate of experimentally deposited nitrogen in mesocosms from two Canadian peatlands. Sci. Total Environ. 2006, 364, 215–228. [Google Scholar] [CrossRef]
- Maftu’ah, E.; Ma’as, A.; Purwanto, B.H. N, P and K storage efficiency on degraded peat soil through ameliorant application. J. Degrad. Min. Lands Manag. 2014, 1, 187–196. [Google Scholar] [CrossRef]
- Lappalainen, M.; Kukkonen, J.K.; Piirainen, S.; Sarjala, T.; Setälä, H.; Koivusalo, H.; Finér, L.; Laurén, A. Nitrogen release in decomposition of boreal mor and peat as affected by enchytraeid worms. Boreal Environ. Res. 2013, 18, 181–194. [Google Scholar]
- Lamb, J.A.; Fernandex, F.G.; Kaiser, D.E. Understanding Nitrogen in Soils (AG-FO-3770-B), University of Minnesota, USA. Available online: https://extension.umn.edu/nitrogen/understanding-nitrogen-soils (accessed on 20 July 2020).
- Walworth, J. Nitrogen in Soil and the Environment, University of Arizona, USA. Available online: https://extension.arizona.edu/sites/extension.arizona.edu/files/pubs/az1591.pdf (accessed on 20 July 2020).
- Tiemeyer, B.; Kahle, P. Nitrogen and dissolved organic carbon (DOC) losses from an artificially drained grassland on organic soils. Biogeosciences 2014, 11, 4123–4137. [Google Scholar] [CrossRef]
- Darnaudery, M.; Fournier, P.; Lechaudel, M. Low-input pineapple crops with high quality fruit: Promising impacts of locally integrated and organic fertilization compared to chemical fertilisers. Exp. Agric. 2018, 54, 286–302. [Google Scholar] [CrossRef]
- Tewodros, M.; Mesfin, S.; Getachew, W.; Ashenafi, A.; Neim, S. Effect of inorganic N and P fertilizers on fruit yield and yield components of pineapple (Ananas comosus Merr L. Var. Smooth cayenne) at Jimma, Southwest Ethiopia. Agrotechnology 2018, 7, 178. [Google Scholar] [CrossRef]
- Fangueiro, D.; Kidd, P.S.; Alvarenga, P.; Beesley, L. Chapter 10—Strategies for soil protection and remediation. In Soil Pollution from Monitoring to Remediation; Duarte, A.C., Cachada, A., Rocha-Santos, T., Eds.; Elsevier Incorporated: Amsterdam, The Netherlands, 2017; pp. 251–281. [Google Scholar]
- Ramesh, K.; Reddy, K.S.; Rashmi, I.; Biswas, A.K.; Islam, K.R. Does particle size of clinoptilolite zeolite have a role in textural properties? Insight through differential pore-volume distribution of Barret, Joyner and Halenda model. Commun. Soil Sci. Plant Anal. 2015, 46, 2070–2078. [Google Scholar] [CrossRef]
- Gholamhoseini, M.; Ghavaland, A.; Khodaei-Joghan, A.; Dolatabadian, A.; Zakikhani, H.; Farmanbar, E. Zeolite-amended cattle manure effects on sunflower yield, seed quality, water use efficiency and nutrient leaching. Soil Tillage Res. 2013, 126, 193–202. [Google Scholar] [CrossRef]
- Belviso, C. Zeolite for potential toxic metal uptake from contaminated soil: A brief review. Processes 2020, 8, 820. [Google Scholar] [CrossRef]
- Kurniawan, T.; Nuryoto, N.; Firdaus, M.A. Zeolite for agriculture intensification and catalyst in agroindustry. World Chem. Eng. 2019, 3, 14–23. [Google Scholar]
- Jakkula, V.S.; Wani, S.P. Zeolites: Potential soil amendments for improving nutrient and water use efficiency and agriculture productivity. Sci. Rev. Chem. Commun. 2018, 8, 1–15. [Google Scholar]
- Nur Aainaa, H.; Haruna Ahmed, O.; Ab Majid, N.M. Effects of clinoptilolite zeolite on phosphorus dynamics and yield of Zea Mays L. cultivated on an acid soil. PLoS ONE 2018, 13, e0204401. [Google Scholar] [CrossRef]
- Latifah, O.; Ahmed, O.H.; Majid, N.M.A. Enhancing nitrogen availability from urea using clinoptilolite zeolite. Geoderma 2017, 306, 152–159. [Google Scholar] [CrossRef]
- Sangeetha, C.; Baskar, P. Zeolites and its potential uses in agriculture: A critical review. Agric. Rev. 2016, 37, 101–108. [Google Scholar] [CrossRef]
- Rabai, K.A.; Ahmed, O.H.; Kasim, S. Use of formulated nitrogen, phosphorus and potassium compound fertilizer using clinoptilolite zeolite in maize (Zea mays L.). Emir. J. Food Agric. 2013, 25, 712–722. [Google Scholar] [CrossRef]
- Abdi, G.H.; Khui, M.K.; Eshgi, S. Effects of natural zeolite on growth and flowering of strawberry (Fragaria x ananassa Duch.). Int. J. Agric. 2010, 5, 799–804. [Google Scholar]
- Kavoosi, M. Effects of zeolite application on rice yield, nitrogen recovery and nitrogen use efficiency. Commun. Soil Sci. Plant Anal. 2007, 38, 69–76. [Google Scholar] [CrossRef]
- Turk, M.; Bayram, G.; Budakli, E.; Celik, N. A study on effects of different mixtures of zeolite with soil rates on some yield parameters of Alfafa (Medicago sativa). J. Agron. 2006, 5, 118–121. [Google Scholar] [CrossRef][Green Version]
- Hernández-Espinosa, M.A.; Quiroz-Estrada, K.; Petranovskii, V.; Rojas, F.; Portillo, R.; Salgado, M.A.; Marcelo, M.; Efraín, R.; Felipe, C. Adsorption of N2, N2O and CO2 on epistilbite natural zeolite from Jalisco, Mexico after acid-treatment. Mineral 2018, 8, 196. [Google Scholar] [CrossRef]
- Ramesh, K.; Reddy, D.D. Chapter 4—Zeolites and their potential uses in agriculture. In Advances in Agronomy; Sparks, D.L., Ed.; Academic Press: San Diego, CA, USA, 2011; Volume 113, pp. 219–241. [Google Scholar]
- Zwingmann, N.; Mackinnon, I.D.R.; Gilkes, R.J. Use of zeolite synthesized from alkali treated kaolin as K fertilizer: Glasshouse experiments on leaching and uptake of K by wheat plants in sandy soil. Appl. Clay Sci. 2011, 53, 684–690. [Google Scholar] [CrossRef]
- Millán, G.; Agosto, F.; Vázquez, M.; Botto, L.; Lombardi, L.; Juan, L. Use of clinoptilolite zeolite as a carrier for nitrogen fertilizers in soils of the Pampean regions of Argentina. Cienc. Investig. Agrar. 2008, 35, 245–254. [Google Scholar]
- Palanivell, P.; Ahmed, O.H.; Ab Majid, N.M. Minimizing ammonia volatilization from urea, improving lowland rice (cv. MR219) seed germination, plant growth variables, nutrient uptake, and nutrient recovery using clinoptilolite zeolite. Arch. Agron. Soil Sci. 2016, 62, 708–724. [Google Scholar] [CrossRef]
- Omar, L.; Ahmed, O.H.; Jalloh, M.B.; Muhamad, A.M.N. Soil nitrogen fractions, nitrogen use efficiency and yield of Zea mays L. grown on a tropical acid soil treated with composts and clinoptilolite zeolite. Appl. Sci. 2020, 10, 4139. [Google Scholar] [CrossRef]
- Omar, L.; Ahmed, O.H.; Majid, N.M.A. Shot term enhancement of nutrients availability in Zea mays L. cultivation on an acid soil using compost and clinoptilolite zeolite. Compost Sci. Util. 2017, 25, 22–35. [Google Scholar] [CrossRef]
- Omar, L.; Ahmed, O.H.; Majid, M.M.A. Enhancing nutrient use efficiency of maize (Zea mays L.) from mixing urea with zeolite and peat soil water. Int. J. Phys. Sci. 2011, 6, 3330–3335. [Google Scholar]
- Aainaa, H.N.; Ahmed, O.H.; Kasim, S.; Majid, N.M. Reducing Eqypt rock phosphate use in zea mays cultivation on an acid soil using clinoptilolite zeolite. Sustain. Agric. Res. 2015, 4, 56–66. [Google Scholar] [CrossRef][Green Version]
- Ahmed, O.H.; Aainaa, H.N.; Majid, N.M.A. Zeolites to Unlock Phosphorus Fixation in Agriculture; Universiti Putra Malaysia Press: Serdang, Malaysia, 2017; pp. 1–188. [Google Scholar]
- Siti Rashima, R.; Wan Nur Hafzan, W.M.; Hazzeman, H. Physicochemical properties and sensory acceptability of pineapples of different varieties and stages of maturity. Food Res. 2019, 3, 491–500. [Google Scholar] [CrossRef]
- Lim, E.T. Peat Soils of Sarawak and the Analytical Methods; Department of Agriculture Sarawak: Kuching, Malaysia, 1991; pp. 25–28. [Google Scholar]
- Dugan, E.; Verhoef, A.; Robinson, S.; Saran, S. Bio-char from sawdust, maize stover and charcoal: Impact on water holding capacitites (WHC) from three soils from Ghana. In Proceedings of the 19th World Congress of Soil Science, Brisbane, Australia, 1–6 August 2010. [Google Scholar]
- Ismail, A.B.; Asing, J.; Zulkefli, M. Residual impact of various land clearing techniques on peat chemical characteristics. In A Case Study at MARDI Peat Research Station, Sessang, Sarawak, Malaysia; Ismail, A.B., Ong, H.K., Mohamad Hanif, M.J., Umi Kalsom, M.S., Eds.; MARDI: Serdang, Malaysia, 2007; pp. 33–61. [Google Scholar]
- Harada, Y.; Inoko, A. The measurement of the cation exchange capacity of composts for the estimation of the degree of maturity. Soil Sci. Plant Nutr. 1980, 26, 127–134. [Google Scholar] [CrossRef]
- Nelson, D.W.; Sommers, L.E. Total carbon, organic carbon and organic matter. In Methods of Soil Analysis, Part 2. Chemical and Microbiological Properties, 2nd ed.; Page, A.L., Baker, D.E., Ellis, R., Jr., Keeney, D.R., Miller, R.H., Rhoades, J.D., Eds.; ASA-SSSA: Madison, WI, USA, 1982; pp. 539–579. [Google Scholar]
- Bremner, J.M.; Mulvaney, C.S. Nitrogen-total. In Methods of Soil Analysis, Part 2. Chemical and Microbiological Properties, 2nd ed.; Page, A.L., Baker, D.E., Ellis, R., Jr., Keeney, D.R., Miller, R.H., Rhoades, J.D., Eds.; ASA-SSSA: Madison, WI, USA, 1982; pp. 595–624. [Google Scholar]
- Bremner, J.M.; Keeney, D.R. Determination and isotope-ratio analysis of different forms of nitrogen in soils: 3. Exchangeable ammonium, nitrate and nitrite by extraction-distillation methods. Soil Sci. Soc. Am. J. 1966, 30, 577–582. [Google Scholar] [CrossRef]
- Olsen, S.R.; Sommers, L.E. Phosphorus. In Methods of Soil Analysis, Part 2. Chemical and Microbiological Properties, 2nd ed.; Page, A.L., Baker, D.E., Ellis, R., Jr., Keeney, D.R., Miller, R.H., Rhoades, J.D., Eds.; ASA-SSSA: Madison, WI, USA, 1982; pp. 403–430. [Google Scholar]
- Knudsen, D.; Peterson, G.A.; Pratt, P.F. Lithium, sodium and potassium. In Methods of soil Analysis, Part 2. Chemical and Microbiological Properties, 2nd ed.; Page, A.L., Baker, D.E., Ellis, R., Jr., Keeney, D.R., Miller, R.H., Rhoades, J.D., Eds.; ASA-SSSA: Madison, WI, USA, 1982; pp. 225–246. [Google Scholar]
- Omar, L.; Ahmed, O.H.; Majid, N.M. Improving ammonium and nitrate release from urea using clinoptilolite zeolite and compost produced from agricultural wastes. Sci. World J. 2015, 2015, 574201. [Google Scholar] [CrossRef] [PubMed]
- Owens, D.S.; Johnson, G.V. Fertilizer nutrient leaching and nutrient mobility. J. Nat. Resour. Life Sci. Educ. 1996, 25, 128–131. [Google Scholar] [CrossRef]
- Keeney, D.R.; Nelson, D.W. Nitrogen-inorganic forms. In Methods of Soil Analysis, Part 2. Chemical and Microbiological Properties, 2nd ed.; Page, A.L., Baker, D.E., Ellis, R., Jr., Keeney, D.R., Miller, R.H., Rhoades, J.D., Eds.; ASA-SSSA: Madison, WI, USA, 1982; pp. 643–693. [Google Scholar]
- Lehmann, J.; Kaiser, K.; Peter, I. Exchange resin cores for the estimation of nutrient fluxes in highly permeable tropical soil. J. Plant Nutr. Soil Sci. 2001, 164, 57–64. [Google Scholar] [CrossRef]
- Skogley, E.O.; Dobermann, A. Synthetic ion-exchange resins: Soil and environmental studies. J. Environ. Qual. 1996, 25, 13–24. [Google Scholar] [CrossRef]
- Chaudhary, P.; Godara, S.; Cheeran, A.N.; Chaudhari, A.K. Fast and accurate method for leaf area measurement. Int. J. Comput. Appl. 2012, 49, 22–25. [Google Scholar] [CrossRef]
- Malézieux, E.; Côte, F.; Bartholomew, D.P. Crop environment. In The Pineapple: Botany, Production and Uses; Bartholomew, D.P., Paull, R.E., Rohrbach, K.G., Eds.; CABI Publishing: Wallingford, UK, 2003; pp. 69–108. [Google Scholar]
- Horneck, D.A.; Miller, R.O. Determination of total nitrogen in plant tissue. In Handbook of Reference Method for Plant Analysis; Soil and Plant Analysis Council; Kalra, Y.P., Ed.; CRC Press: Boca Raton, FL, USA, 1998; pp. 75–84. [Google Scholar]
- Pomares-Garcia, F.; Pratt, P.F. Recovery of 15N-labelled fertilizer from manured and sludged-amended soils. Soil Sci. Soc. Am. J. 1978, 42, 717–720. [Google Scholar] [CrossRef]
- Liu, C.H.; Liu, Y.; Fan, C.; Kuang, S.Z. The effects of composted pineapple residue return on soil properties and the growth and yield of pineapple. J. Soil Sci. Plant Nutr. 2013, 13, 433–444. [Google Scholar] [CrossRef]
- Hajar, N.; Zainal, S.; Nadzirah, K.Z.; Siti Roha, A.M.; Atikah, O.; Tengku Elida, T.Z.M. Physicochemical properties analysis of three indexes pineapple (Ananas comosus) peel extract variety N36. APCBEE Procedia 2012, 4, 115–121. [Google Scholar] [CrossRef]
- Othman, H.; Darus, F.M.; Mohammed, A.T. Experiences in peat development for oil palm planting in the MPOB Research Station at Sessang, Saratok. Oil Palm Bull. 2009, 58, 1–13. [Google Scholar]
- Abat, M.; McLaughlin, M.J.; Kriby, J.; Stacey, S.P. Adsorption and desorption of copper and zinc in tropical peat soils of Sarawak, Malaysia. Geoderma 2012, 175, 58–63. [Google Scholar] [CrossRef]
- Sim, A.K.F.; Ishak, C.F.; Hanif, A.H.M.; Melling, L. Effect of N fertilization on N2O emission from a tropical peat soil: A laboratory incubation study. In Proceedings of the 14th International Peat Congress: Peatlands in Balance, Stockholm, Sweden, 3–8 June 2012; p. 7. [Google Scholar]
- MARDI. Master Plan for Malaysian Agricultural Research and Development Institute Sessang Peat Research Station; MARDI: Serdang, Malaysia, 1996; pp. 16–22. [Google Scholar]
- Andriesse, J.P. Nature and Management of Tropical Peat Soils; FAO Soils Bulletin 59; FAO: Rome, Italy, 1988. [Google Scholar]
- Hashim, S.A.; Teh, C.B.S.; Ahmed, O.H. Influence of water table depths, nutrient leaching losses, subsidence of tropical peat soil and oil palm (Elaeis guineensis Jacq.) seedling growth. Malays. J. Soil Sci. 2019, 23, 13–30. [Google Scholar]
- Reeza, A.A.; Hussin, A.; Hanif, A.H.M.; Sukari, M.A.M. Effect of liming and fertilizer application in hemic and sapric of tropical peat: Phosphorus mineralization, infra-red spectroscopy and microscopy. Am. J. Agric. Biol. Sci. 2014, 9, 321–333. [Google Scholar] [CrossRef][Green Version]
- Ahmed, O.H.; Omar, L.; Majid, N.M.A. Enhancing Nitrogen Availability Using Compost and Clinoptilolite Zeolite; Universiti Putra Malaysia Press: Serdang, Malaysia, 2017; pp. 1–257. [Google Scholar]
- Idrus, A.; Titisari, A.D.; Sudiyo, R.; Soekrisno, R. Geology, characterization, quality improvement and recommended utilitzation of natural zeolite (zeolitic tuff) deposits from Gunung Kidul, Yogyakarta Special Territory, Indonesia. In Proceedings of the 2nd IASME/WSEAS International Conference on Geology and Seismology (GES’08), Cambridge, UK, 23–25 February 2008. [Google Scholar]
- Wahono, S.K.; Prasetyo, D.J.; Jatmiko, T.H.; Suwanto, A.; Pratiwi, D.; Hernawan; Vasilev, K. Transformation of modernite-clinoptilolite natural zeolite at different calcination temperatures. IOP Conf. Ser. Earth Environ. Sci. 2019, 251, 012009. [Google Scholar] [CrossRef]
- Hernawan; Wahono, S.K.; Maryana, R.; Pratiwi, D. Modification of Gunungkidul natural zeolite as bioethanol dehydrating agents. Energy Procedia 2015, 65, 116–120. [Google Scholar] [CrossRef][Green Version]
- Lambert, K.; Vanderdeelen, J. Iron interaction in a peat soil from West-Kalimantan. In Proceedings of the International Symposium on Tropical Peatland, Kuching, Malaysia, 6–10 May 1991; pp. 144–150. [Google Scholar]
- Liu, H.; Lennartz, B. Hydraulic functions of peat soils and ecosystem service. Front. Environ. Sci. 2019, 7, 92. [Google Scholar] [CrossRef]
- Tajuddin, S.A.M.; Rahman, J.A.; Rahim, N.H.A.; Mohamed, R.M.S.R.; Algheethi, A.A.S.A. Influence of potassium on sapric peat under different environmental conditions. IOP Conf. Ser. Earth Environ. Sci. 2018, 140, 012073. [Google Scholar] [CrossRef]
- Montalvo, S.; Guerrero, L.; Borja, R.; Sánchez, E.; Milán, Z.; Cortés, I.; de la la Rubia, M.A. Application of natural zeolites in anaerobic digestion process: A review. Appl. Clay Sci. 2012, 58, 125–133. [Google Scholar] [CrossRef]
- Colella, C. Natural zeolites. In Studies in Surface Science and Catalysis; Čejka, J., Bekkum, H.V., Eds.; Elsevier: Amsterdam, The Netherlands, 2005; Volume 157, pp. 13–40. [Google Scholar]
- Król, M. Natural vs. synthethic zeolites. Crystals 2020, 10, 622. [Google Scholar] [CrossRef]
- Kragović, M.; Pašalić, S.; Marković, M.; Petrović, M.; Nedeljković, B.; Momčilović, M.; Stojmenović, M. Natural and modified zeolite—Alginate composites. Application for removal of heavy metal cations from contaminated water solutions. Minerals 2018, 8, 11. [Google Scholar] [CrossRef]
- Natpinit, P.; Chantrawongphaisal, B.; Anuwattana, R.; Ditkaew, T.; Kongsomboon, C.; Thapnui, P.; Hongcharoensri, P. Reduction of greenhouse emissions using zeolite 4A under different fertilizer usages in rice cultivation. Appl. Environ. Res. 2019, 4, 70–82. [Google Scholar] [CrossRef]
- Ferretti, G.; Keiblinger, K.M.; Zimmermann, M.; Giuseppe, D.D.; Faccini, B.; Colombani, N.; Mentler, A.; Zechmeister-Boltenstren, S.; Coltorti, M.; Mastrocicco, M. High resolution short-term investigation of soil CO2, N2O, NOx, and NH3 emissions after different chabazite zeolite amendments. Appl. Soil Ecol. 2017, 119, 138–144. [Google Scholar] [CrossRef]
- Murkani, M.; Nasrollahi, M.; Ravanbakhsh, M.; Bahrami, P.; Jaafarzadeh, N.; Fard, H. Evaluation of natural zeolite clinoptilolite efficiency for the removal of ammonium and nitrate from aquatic solutions. Environ. Health Eng. Manag. 2015, 2, 17–22. [Google Scholar]
- Mumpton, F. La roca magica: Uses of natural zeolites in agriculture and industry. Proc. Natl. Acad. Sci. USA 1999, 96, 33463–33470. [Google Scholar] [CrossRef] [PubMed]
- Jha, V.K.; Hayashi, S. Modification on natural clinoptilolite zeolite for its NH4+ retention capacity. J. Hazard. Mater. 2009, 169, 29–35. [Google Scholar] [CrossRef] [PubMed]
- Jauhiainen, J.; Silvennoinen, H.; Hämäläinen, R.; Limin, S.; Raison, R.J.; Vasander, H. Nitrous oxide fluxes from tropical peat with different disturbance history and management. Biogeosciences 2012, 9, 1337–1350. [Google Scholar] [CrossRef]
- Masebinu, S.O.; Akinlabi, E.T.; Muzenda, E.; Aboyade, A.O. A review of biochar properties and their roles in mitigating challenges with anaerobic digestion. Renew. Sustain. Energy Rev. 2019, 103, 291–307. [Google Scholar] [CrossRef]
- Sapek, A.; Sapek, B.; Chrzanowski, S.; Jaszczyński, J. Mobilization of substances in peat soils and their transfer within the groundwater and into surface water. Agron. Res. 2007, 5, 155–163. [Google Scholar]
- Hussain, A.; Saiyudi, N.K.W.M. Introduction to Surface and Colloid Chemistry; Universiti Teknologi Malaysia Press: Johor, Malaysia, 2005; pp. 1–195. [Google Scholar]
- Ahmad, M.; Rajapaksha, A.U.; Lim, J.E.; Zhang, M.; Bolan, N.; Mohan, D.; Vithanage, M.; Lee, S.S.; Ok, Y.S. Biochar as a sorbent for contaminant management in soil and water: A review. Chemosphere 2014, 99, 19–33. [Google Scholar] [CrossRef]
- Bonenfant, D.; Kharoune, M.; Niquette, P.; Mimeault, M.; Hausler, R. Advances in principal factors influencing carbon dioxide adsorption on zeolites. Sci. Technol. Adv. Mater. 2008, 9, 013007. [Google Scholar] [CrossRef]
- Dotaniya, M.L.; Meena, V.D. Rhizosphere effect on nutrient availability in soil and its uptake by plants: A review. Proc. Natl. Acad. Sci. India Sect. B Biol. Sci. 2015, 85, 1–12. [Google Scholar] [CrossRef]
- Xiong, Q.; Hu, J.; Wei, H.; Zhang, H.; Zhu, J. Relationship between plant roots, rhizosphere microorganisms, and nitrogen, and its special focus on rice. Agriculture 2021, 11, 234. [Google Scholar] [CrossRef]
- Goss, M.J.; Miller, M.H.; Bailey, L.D.; Grant, C.A. Root growth and distribution in relation to nutrient availability and uptake. Eur. J. Agron. 1993, 2, 56–67. [Google Scholar] [CrossRef]
- McNear, D.H., Jr. The rhizosphere—Roots, soil, and everything in between. Nat. Educ. Know. 2013, 4, 1. [Google Scholar]
- Ramadhani, W.S.; Nuraini, Y. The use of pineapple liquid waste and cow dung compost to improve the availability of soil N, P, and K growth of pineapple plant in an ultisol of Central Lampung. J. Degrad. Min. Lands Manag. 2018, 6, 1457–1465. [Google Scholar] [CrossRef]
- Pegoraro, R.F.; de Souza, B.A.M.; Maia, V.M.M.; da Silva, D.F.; Medeiros, A.C.; Sampaio, R.A. Macronutrient uptake, accumulation and export by the irrigated ‘VICTORIA’ pineapple plant. Rev. Bras. Cienc. Solo 2014, 38, 896–904. [Google Scholar] [CrossRef]
- Hepton, A.; Hodgson, A.S. Processing. In The Pineapple: Botany, Production and Uses; Bartholomew, D.P., Paull, R.E., Rohrbach, K.G., Eds.; CABI Publishing: Wallingford, UK, 2003; pp. 281–290. [Google Scholar]
- Zubir, M.N.; Sam, N.S.M.; Ghani, N.S.A.; Ismail, A.A. Growth performance of pineapple (Ananas comosus var. MD2) with different application of granular fertilizer on tropical peat soil. Int. J. Agric. For. Plant 2020, 10, 89–95. [Google Scholar]













| Fertilization Treatments | Application Rate | |
|---|---|---|
| T1 | 25% CZ + compound NPK fertilizer | 5.0 g of CZ + 20 g of NPK fertilizer 30:1:32 |
| T2 | 50% CZ + compound NPK fertilizer | 10.0 g of CZ + 20 g of NPK fertilizer 30:1:32 |
| T3 | 70% CZ + compound NPK fertilizer | 14.0 g of CZ + 20 g of NPK fertilizer 30:1:32 |
| T4 | 100% CZ + compound NPK fertilizer | 20.0 g of CZ + 20 g of NPK fertilizer 30:1:32 |
| T5 | Control: compound NPK fertilizer only | 20 g of NPK fertilizer 30:1:32 |
| T6 | Control: peat soil alone (without fertilizer) | Nil |
| Variable | Value Obtained per Soil Depth (cm) | Reported Range | ||
|---|---|---|---|---|
| 0 to 20 cm | 20 to 40 cm | 40 to 60 cm | ||
| Bulk density (g cm−3) | 0.14 a ± 0.003 | 0.13 a ± 0.002 | 0.13 a ± 0.002 | 0.1–0.2 [8] 0.12–0.20 [16] 0.09–0.16 [82] |
| Water-holding capacity (%) | 40.1 a ± 0.6 | 39.8 a ± 0.5 | 39.4 a ± 0.5 | 272–322 [83] |
| Moisture (%) | 81.2 c ± 0.5 | 85.6 b ± 0.4 | 89.3 a ± 0.3 | 90–95 [29] 75.45 [84] |
| pH | 3.9 a ± 0.1 | 3.9 a ± 0.1 | 3.9 a ± 0.1 | 3.0–4.5 [8] 3.59–3.90 [14] |
| Electrical conductivity (μS cm−1) | 177.4 a ± 2.3 | 176.1 a ± 1.5 | 173.2 a ± 1.7 | 159.8–358 [14] <200 [85] |
| Cation-exchange capacity (cmol(+) kg−1) | 143.2 a ± 11.1 | 135.5 a ± 10.2 | 139.5 a ± 14.4 | 145 [85] 200 [86] 161.1 [87] |
| Total organic carbon (%) | 41.8 a ± 0.5 | 41.1 a ± 0.3 | 40.7 a ± 0.4 | 12–60 [86] 24.86 [82] 62.2 [88] |
| Total N (%) | 1.39 a ± 0.02 | 1.13 b ± 0.01 | 1.11 b ± 0.02 | 1.10–1.67 [29] 1.21–2.98 [82] 1.34 [88] |
| Ammonium-N (mg kg−1) | 1098.3 a ± 15.6 | 1081.4 a ± 14.7 | 738.2 b ± 11.3 | 642.1 [84] |
| Nitrate-N (mg kg−1) | 549.1 a ± 9.8 | 445.3 b ± 10.6 | 322.9 c ± 14.1 | 174.42 [84] |
| Available P (mg kg−1) | 27.0 a ± 0.23 | 22.4 a ± 0.18 | 19.6 a ± 0.36 | 8.0–133.0 [14] |
| Exchangeable K (mg kg−1) | 136.9 a ± 0.83 | 73.9 b ± 0.67 | 61.4 b ± 0.55 | 23.4–335.4 [14] |
| Properties | Values | Reported Values |
|---|---|---|
| pH | 8.77 (±0.03) | 8.54 [60] |
| Cation-exchange capacity (cmol(+) kg−1) | 103.8 (±0.21) | 100.3 [89] |
| Chemical composition (weight %) | SiO2: 78.08 | 72.0 [90] |
| Al2O3: 7.03 | 9–11 [90] | |
| Fe2O3: 10.70 | 1.60 [90] | |
| K2O: 1.29 | 0.7–1.0 [90] | |
| CaO: 1.27 | 3.3–4.5 [90] | |
| MgO: 1.10 | 0.8–1.2 [90] | |
| Na2O: 0.53 | 1.1–1.5 [90] | |
| SiO2 to Al2O3 ratio | 11.1 | >10 [52] 4.6 [91] |
| Surface area (m2 g−1) | 23.19 | 25.95 [91] 21.50 [92] |
| Wet Season | |||||
|---|---|---|---|---|---|
| Treatments | Mean Soil pH | Soil Depth | |||
| 0 cm to 10 cm | 10 cm to 30 cm | 30 cm to 60 cm | 60 cm to 90 cm | ||
| T1 | 4.79 d ± 0.17 | 5.86 d ± 0.23 | 4.57 a ± 0.17 | 4.27 a ± 0.18 | 4.36 a ± 0.25 |
| T2 | 4.98 c ± 0.19 | 6.48 c ± 0.19 | 4.69 a ± 0.22 | 4.47 a ± 0.11 | 4.27 a ± 0.23 |
| T3 | 5.13 b ± 0.15 | 7.05 b ± 0.15 | 4.82 a ± 0.13 | 4.50 a ± 0.14 | 4.15 a ± 0.16 |
| T4 | 5.33 a ± 0.18 | 8.07 a ± 0.20 | 4.59 a ± 0.14 | 4.22 a ± 0.17 | 4.47 a ± 0.19 |
| T5 | 4.31 e ± 0.14 | 5.08 e ± 0.16 | 3.84 b ± 0.14 | 4.02 a ± 0.12 | 4.31 a ± 0.13 |
| Dry Season | |||||
| T1 | 4.63 c ± 0.18 | 7.64 b ± 0.13 | 3.66 b ± 0.22 | 3.45 b ± 0.21 | 3.77 b ± 0.18 |
| T2 | 4.87 b ± 0.16 | 5.73 d ± 0.18 | 4.79 a ± 0.14 | 4.56 a ± 0.17 | 4.39 a ± 0.16 |
| T3 | 4.93 b ± 0.17 | 6.12 c ± 0.16 | 4.71 a ± 0.17 | 4.51 a ± 0.20 | 4.39 a ± 0.17 |
| T4 | 5.16 a ± 0.18 | 8.04 a ± 0.17 | 4.81 a ± 0.19 | 3.99 b ± 0.15 | 3.79 b ± 0.18 |
| T5 | 3.68 d ± 0.10 | 4.17 e ± 0.09 | 3.65 b ± 0.10 | 3.18 b ± 0.11 | 3.73 b ± 0.08 |
| Treatments | Pineapple Plant Age | ||
|---|---|---|---|
| Three Months | Six Months | Nine Months | |
| Soil pH | |||
| T1 | 5.67 a ± 0.11 | 5.70 b ± 0.07 | 6.11 a ± 0.14 |
| T2 | 5.64 a ± 0.09 | 5.97 ab ± 0.11 | 6.32 a ± 0.12 |
| T3 | 5.55 a ± 0.13 | 5.95 ab ± 0.09 | 6.37 a ± 0.10 |
| T4 | 5.97 a ± 0.17 | 6.04 a ± 0.08 | 6.31 a ± 0.15 |
| T5 | 4.40 b ± 0.03 | 4.22 c ± 0.02 | 4.19 b ± 0.02 |
| T6 | 3.92 c ± 0.07 | 4.14 c ± 0.02 | 4.05 b ± 0.01 |
| Treatments | Growth Stages | ||
|---|---|---|---|
| Three Months Old | Six Months Old | Nine Months Old | |
| Plant Height (cm) | |||
| T1 | 70.0 a ± 0.032 | 89.0 a ± 0.016 | 95.0 a ± 0.034 |
| T2 | 65.0 b ± 0.026 | 82.3 b ± 0.019 | 90.7 b ± 0.018 |
| T3 | 61.0 b ± 0.017 | 78.7 c ± 0.024 | 84.3 c ± 0.027 |
| T4 | 64.0 b ± 0.028 | 75.3 c ± 0.017 | 85.3 c ± 0.031 |
| T5 | 65.0 b ± 0.019 | 84.3 b ± 0.031 | 90.3 b ± 0.023 |
| T6 | 55.7 c ± 0.024 | 80.3 b ± 0.025 | 86.0 c ± 0.020 |
| Leaf area (cm2) | |||
| T1 | 122.7 b ± 0.14 | 226.9 b ± 0.26 | 256.3 b ± 0.45 |
| T2 | 128.3 ab ± 0.22 | 231.3 b ± 0.17 | 269.7 b ± 0.27 |
| T3 | 128.7 ab ± 0.19 | 209.7 c ± 0.37 | 288.3 a ± 0.18 |
| T4 | 133.3 a ± 0.33 | 252.7 a ± 0.44 | 294.3 a ± 0.37 |
| T5 | 114.7 c ± 0.41 | 189.3 d ± 0.28 | 247.7 c ± 0.33 |
| T6 | 104.0 d ± 0.28 | 173.7 d ± 0.34 | 235.6 c ± 0.29 |
| Nitrogen concentration (%) | |||
| Leaves | Stems | Roots | |
| T1 | 0.42 c ± 0.17 | 16.13 b ± 1.11 | 1.53 b ± 0.26 |
| T2 | 1.52 b ± 0.29 | 21.57 b ± 0.78 | 2.28 a ± 0.17 |
| T3 | 3.20 a ± 0.15 | 21.23 b ± 0.85 | 2.63 a ± 0.19 |
| T4 | 3.08 a ± 0.24 | 29.90 a ± 1.05 | 2.86 a ± 0.21 |
| T5 | 1.07 b ± 0.11 | 4.03 c ± 0.37 | 1.23 b ± 0.27 |
| T6 | 0.41 c ± 0.04 | 7.51 c ± 1.08 | 0.67 c ± 0.04 |
| Treatments | Fruit Yield | Fruit Quality | |||
|---|---|---|---|---|---|
| Total Fruit Yield Per Plot (kg) | Fresh Fruit Weight (kg) | Fruit Sweetness (°Brix) | Titratable Acidity (% Citric Acid) | Fruit Juice pH | |
| T1 | 109.62 ab ± 2.63 | 2.03 a ± 0.03 | 13.32 a ± 0.04 | 0.43 ab ± 0.003 | 4.14 b ± 0.037 |
| T2 | 111.24 a ± 2.85 | 2.06 a ± 0.02 | 13.59 a ± 0.07 | 0.44 ab ± 0.004 | 4.16 ab ± 0.029 |
| T3 | 108.54 b ± 2.39 | 2.03 a ± 0.04 | 13.63 a ± 0.09 | 0.45 ab ± 0.002 | 4.18 ab ± 0.022 |
| T4 | 117.18 ab ± 3.14 | 2.17 a ± 0.04 | 13.75 a ± 0.05 | 0.47 a ± 0.003 | 4.20 a ± 0.031 |
| T5 | 92.88 c ± 1.74 | 1.72 b ± 0.04 | 12.82 b ± 0.05 | 0.40 b ± 0.002 | 4.08 c ± 0.025 |
| T6 | 86.94 c ± 2.43 | 1.61 b ± 0.01 | 12.65 b ± 0.09 | 0.39 b ± 0.002 | 3.97 d ± 0.003 |
Publisher’s Note: MDPI stays neutral with regard to jurisdictional claims in published maps and institutional affiliations. |
© 2022 by the authors. Licensee MDPI, Basel, Switzerland. This article is an open access article distributed under the terms and conditions of the Creative Commons Attribution (CC BY) license (https://creativecommons.org/licenses/by/4.0/).
Share and Cite
Choo, L.N.L.K.; Ahmed, O.H.; Razak, N.A.; Sekot, S. Improving Nitrogen Availability and Ananas comosus L. Merr var. Moris Productivity in a Tropical Peat Soil Using Clinoptilolite Zeolite. Agronomy 2022, 12, 2750. https://doi.org/10.3390/agronomy12112750
Choo LNLK, Ahmed OH, Razak NA, Sekot S. Improving Nitrogen Availability and Ananas comosus L. Merr var. Moris Productivity in a Tropical Peat Soil Using Clinoptilolite Zeolite. Agronomy. 2022; 12(11):2750. https://doi.org/10.3390/agronomy12112750
Chicago/Turabian StyleChoo, Liza Nuriati Lim Kim, Osumanu Haruna Ahmed, Norfarhah Abdul Razak, and Shamsiah Sekot. 2022. "Improving Nitrogen Availability and Ananas comosus L. Merr var. Moris Productivity in a Tropical Peat Soil Using Clinoptilolite Zeolite" Agronomy 12, no. 11: 2750. https://doi.org/10.3390/agronomy12112750
APA StyleChoo, L. N. L. K., Ahmed, O. H., Razak, N. A., & Sekot, S. (2022). Improving Nitrogen Availability and Ananas comosus L. Merr var. Moris Productivity in a Tropical Peat Soil Using Clinoptilolite Zeolite. Agronomy, 12(11), 2750. https://doi.org/10.3390/agronomy12112750

