Effect of Nitrogen Application on Root and Yield Traits of Chinese Spring Wheat (Triticum aestivum L.) under Drip Irrigation
Abstract
1. Introduction
2. Materials and Methods
2.1. Experiment Station and Experimental Design
2.2. Sampling and Measurement
2.3. Statistical Analysis
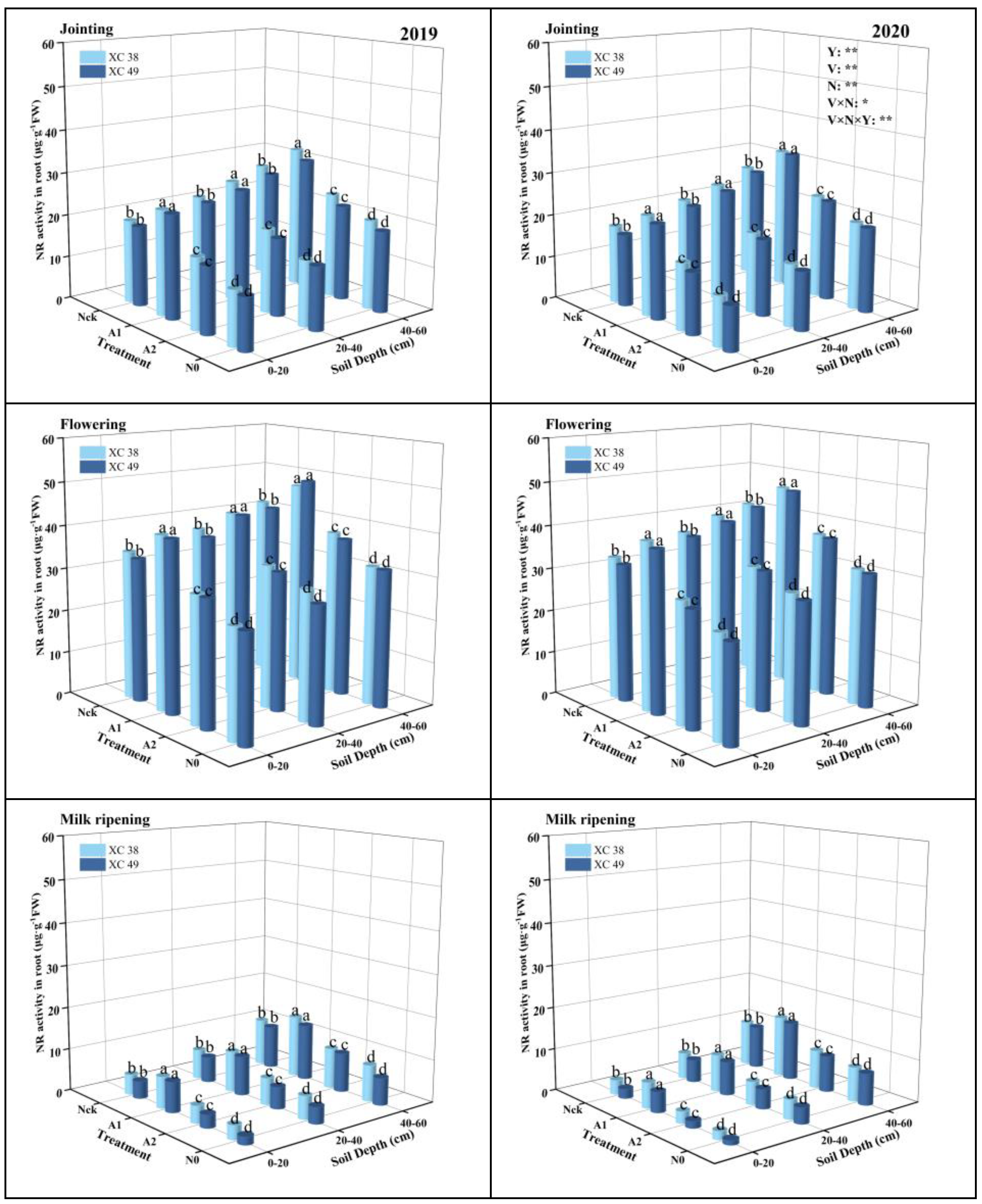
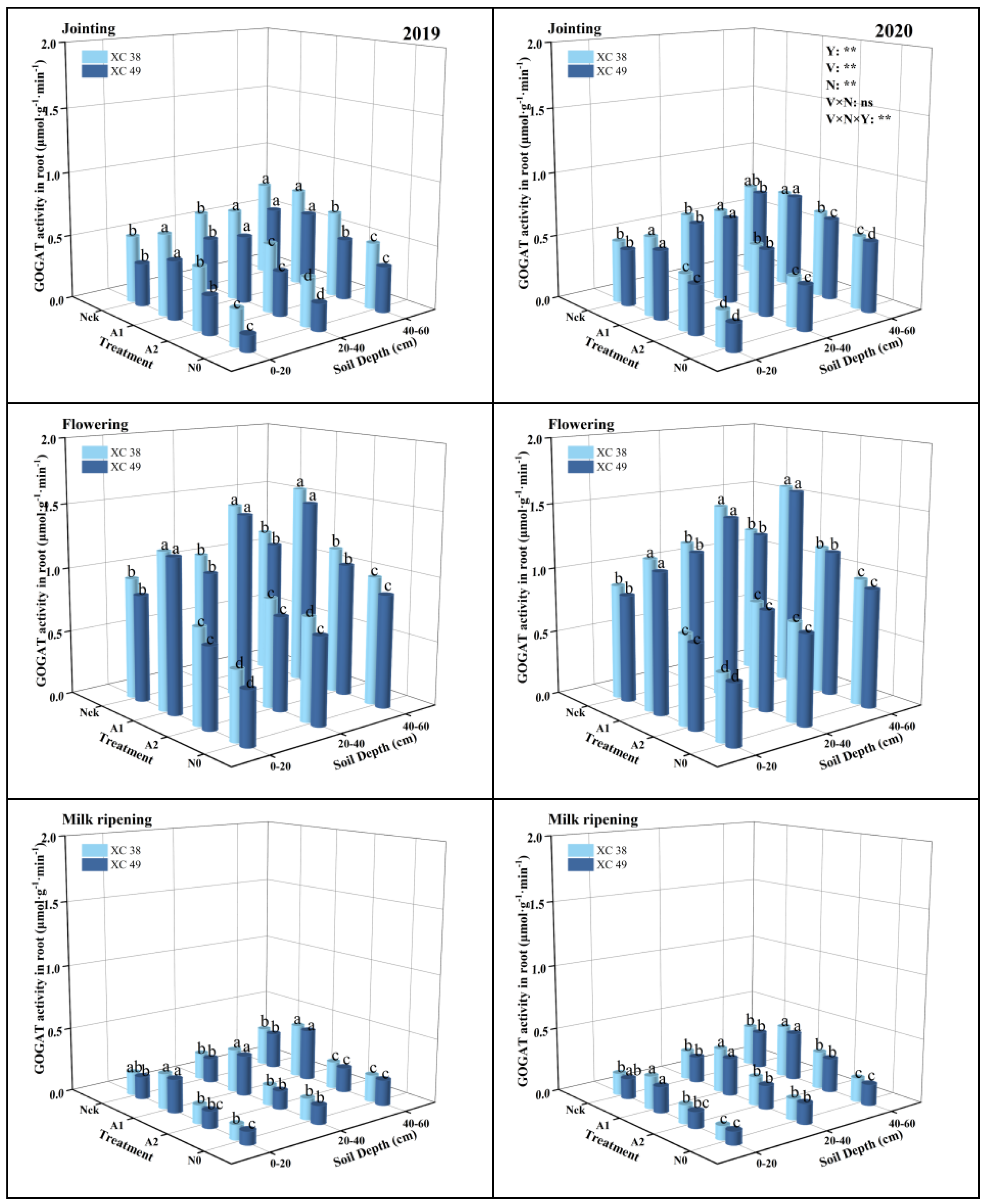
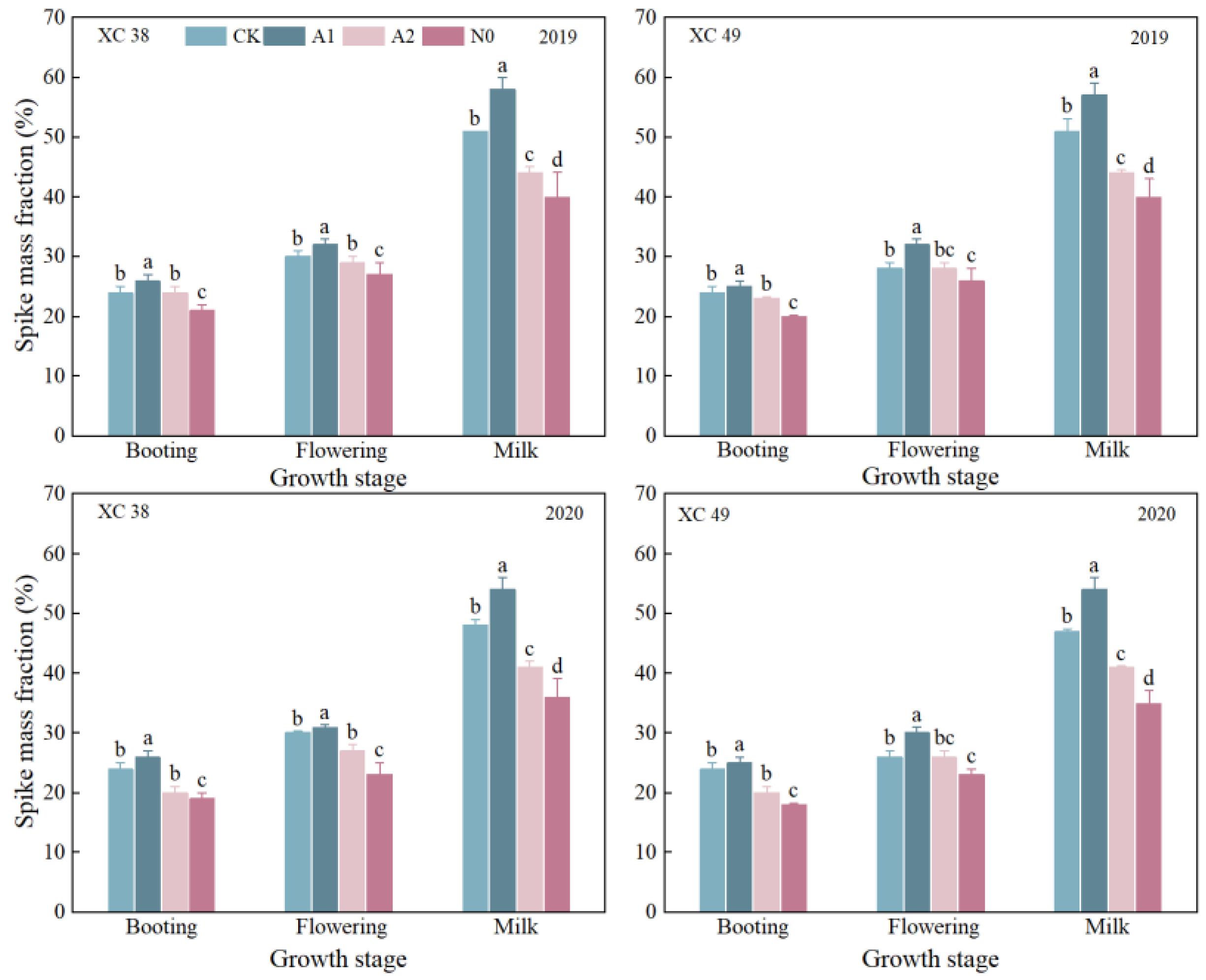
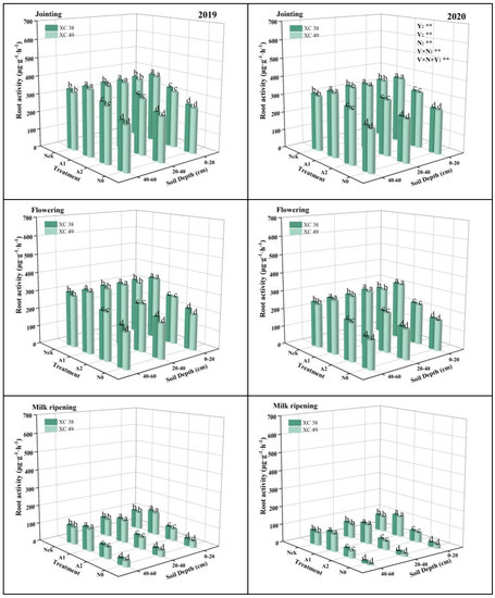
3. Results and Analysis
3.1. Root Morphological Characteristics
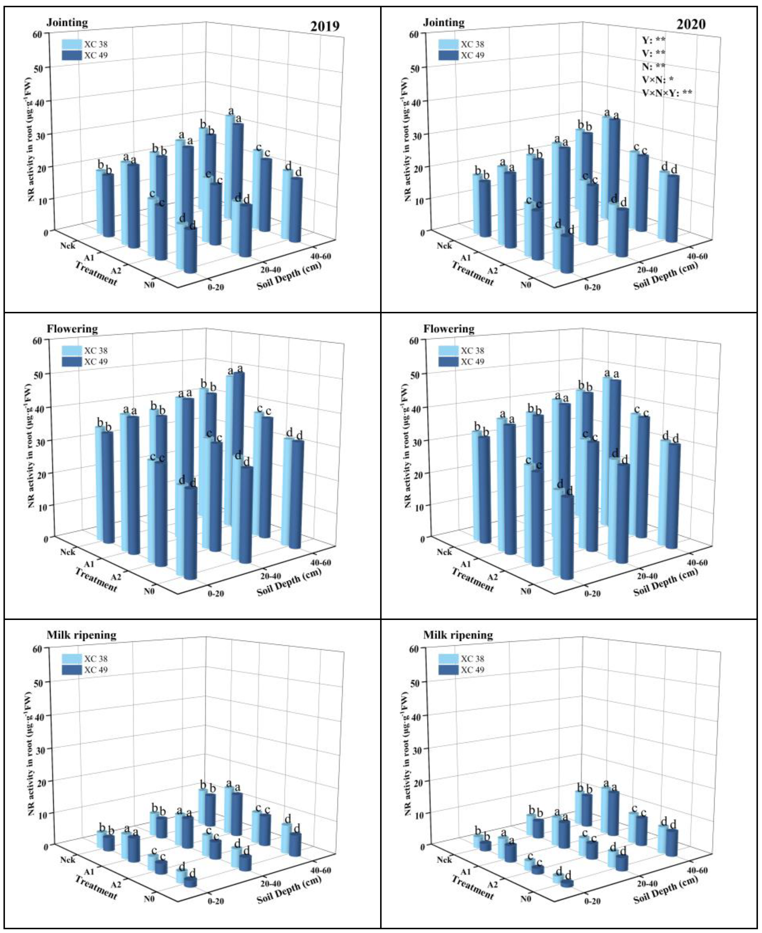
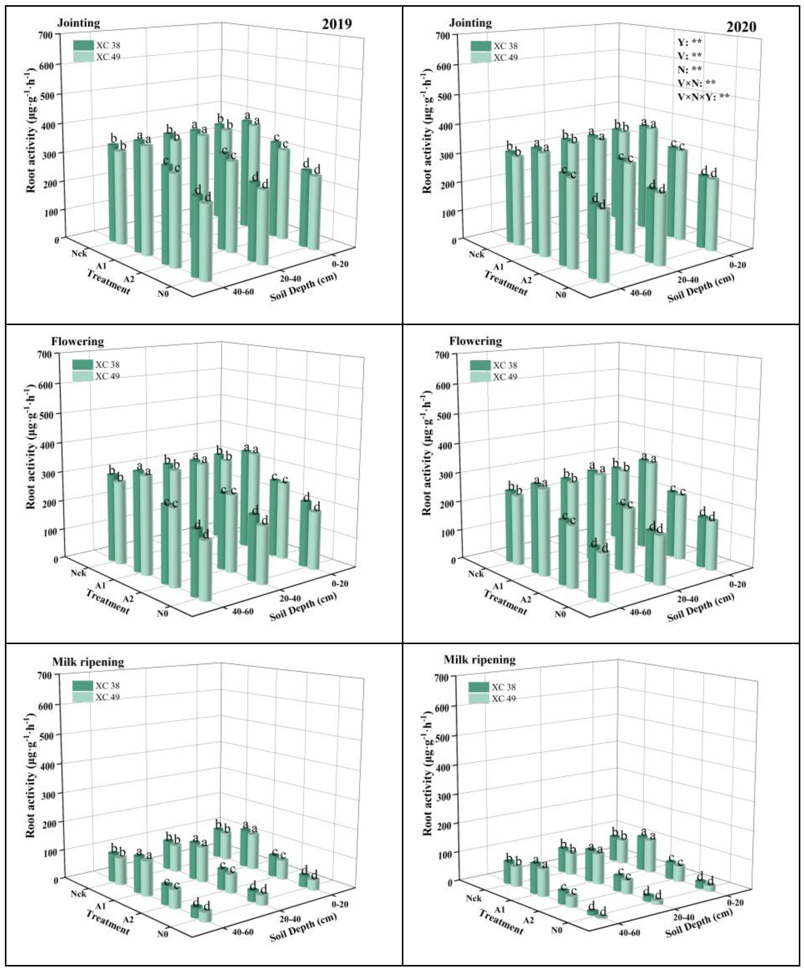
3.2. Root Physiological Characteristics
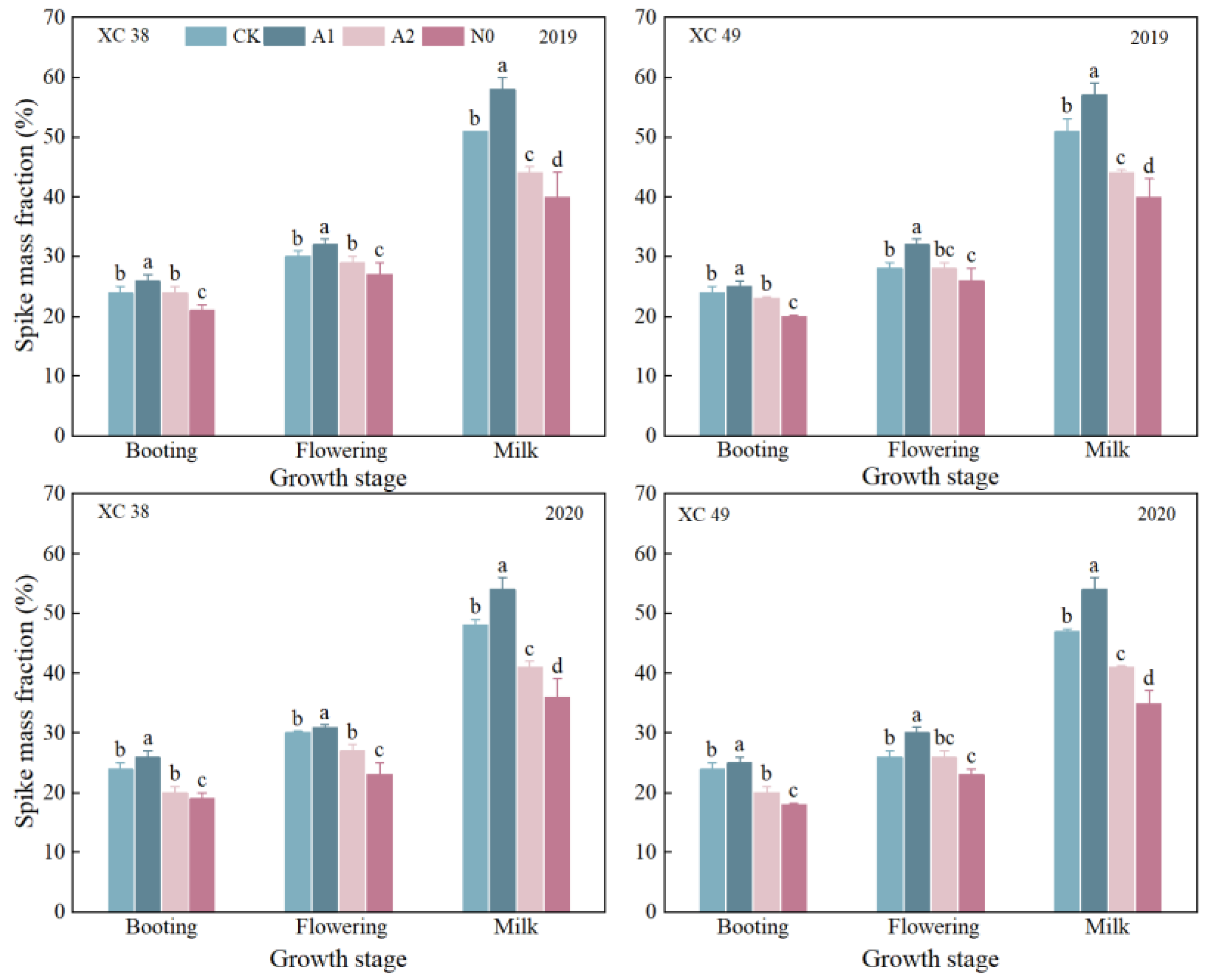
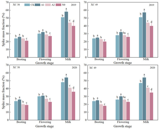
3.3. Dry Matter and Yield
3.4. Correlation between Wheat Root Traits
3.5. Regression Analysis of Root Morphology and Physiological Traits
4. Discussion
4.1. Effect of Nitrogen Application on the Morphological Characteristics of the Root
4.2. Effect of Nitrogen Application on the Physiological Characteristics of the Root
4.3. Effect of Nitrogen Application on Dry Matter Accumulation, Transport, and Yield of Wheat
5. Conclusions
Supplementary Materials
Author Contributions
Funding
Data Availability Statement
Acknowledgments
Conflicts of Interest
References
- Ferreira, I.E.P.; Zocchi, S.S.; Baron, D. Reconciling the mitscherlich’s law of diminishing returns with liebig’s law of the minimum. some results on crop modeling. Math. Biosci. 2017, 293, 29–37. [Google Scholar] [CrossRef] [PubMed]
- Liang, X.; He, J.Z.; Zhang, F.S.; Shen, Q.R.; Wu, J.S. Healthy soils for sustainable food production and environmental quality. Front. Agric. Sci. Eng. 2020, 7, 347–355. [Google Scholar] [CrossRef]
- Jin, S.Q.; Zhou, F. Zero growth of chemical fertilizer and pesticide use: China’s objectives, progress and challenges. J. Resour. Ecol. 2018, 9, 50–58. [Google Scholar]
- Qi, W.Z.; Liu, H.H.; Liu, P.; Dong, S.T.; Zhao, B.Q.; So, H.B.; Li, G.; Liu, H.D.; Zhang, J.W.; Zhao, B. Morphological and physiological characteristics of corn (Zea mays L.) roots from cultivars with different yield potentials. Eur. J. Agron. 2012, 38, 54–63. [Google Scholar] [CrossRef]
- Wang, J.T.; Du, G.F.; Tian, J.S.; Jiang, C.D.; Zhang, Y.L.; Zhang, W.F. Mulched drip irrigation increases cotton yield and water use efficiency via improving fine root plasticity. Agric. Water Manag. 2021, 255, 106992. [Google Scholar] [CrossRef]
- Eghball, B.; Maranville, J.W. Root development and nitrogen influx of corn genotypes grown under combined drought and nitrogen stresses. Agron. J. 1993, 85, 147–152. [Google Scholar] [CrossRef]
- Středa, T.; Dostál, V.; Horáková, V.; Chloupek, O. Effective use of water by wheat varieties with different root system sizes in rain-fed experiments in Central Europe. Agric. Water Manag. 2012, 104, 203–209. [Google Scholar] [CrossRef]
- Chloupek, O.; Dostál, V.; Středa, T.; Psota, V.; Dvořáčková, O. Drought tolerance of barley varieties in relation to their root system size. Plant Breed. 2010, 129, 630–636. [Google Scholar] [CrossRef]
- Herrera, J.M.; Noulas, C.; Feil, B.; Stamp, P.; Liedgens, M. Nitrogen and genotype effects on root growth and root survivorship of spring wheat. J. Plant Nutr. Soil Sci. 2013, 176, 561–571. [Google Scholar] [CrossRef]
- Xue, Y.F.; Zhang, W.; Liu, D.Y.; Yue, S.C.; Cui, Z.L.; Chen, X.P.; Zou, C.Q. Effects of nitrogen management on root morphology and zinc translocation from root to shoot of winter wheat in the field. Field Crops Res. 2014, 161, 38–45. [Google Scholar] [CrossRef]
- Wang, F.; Gao, J.; Liu, Y.; Tian, Z.; Muhammad, A.; Zhang, Y.X.; Jiang, D.; Cao, W.X.; Dai, T.B. Higher ammonium transamination capacity can alleviate glutamate inhibition on winter wheat (Triticum aestivum L.) root growth under high ammonium stress. PLoS ONE 2016, 11, e0160997. [Google Scholar] [CrossRef] [PubMed]
- Ahanger, M.A.; Qin, C.; Begum, N.; Qi, M.; Dong, X.X.; El-Esawi, M.; El-Sheikh, M.A.; Alatar, A.A.; Zhang, L.X. Nitrogen availability prevents oxidative effects of salinity on wheat growth and photosynthesis by up-regulating the antioxidants and osmolytes metabolism, and secondary metabolite accumulation. BMC Plant Biol. 2019, 19, 479. [Google Scholar] [CrossRef] [PubMed]
- Xu, G.W.; Wang, H.Z.; Zhai, Z.H.; Sun, M.; Li, Y.J. Effect of water and nitrogen coupling on root morphology and physiology, yield and nutrition utilization for rice. Trans. Chin. Soc. Agric. Eng. 2015, 31, 132–141. (In Chinese) [Google Scholar] [CrossRef]
- Wang, J.Z.; Huang, G.B.; Zhang, C.N.; Yang, Y.J.; Zhao, H.J.; Zhu, X.Y.; Ma, P.F. Influence of nitrogen fertilizer rate on carbon-nitrogen metabolism and nitrogen use efficiency of summer maize under high and medium yield levels. Acta Ecol. Sin. 2009, 29, 2045–2052. (In Chinese) [Google Scholar] [CrossRef]
- Xu, G.W.; Lu, D.K.; Wang, H.Z.; Li, Y.J. Morphological and physiological traits of rice roots and their relationships to yield and nitrogen utilization as influenced by irrigation regime and nitrogen rate. Agric. Water Manag. 2018, 203, 385–394. [Google Scholar] [CrossRef]
- Liao, Z.Q.; Zeng, H.L.; Fan, J.L.; Lai, Z.L.; Zhang, C.; Zhang, F.C.; Wang, H.D.; Cheng, M.H.; Guo, J.J.; Li, Z.J.; et al. Effects of plant density, nitrogen rate and supplemental irrigation on photosynthesis, root growth, seed yield and water-nitrogen use efficiency of soybean under ridge-furrow plastic mulching. Agric. Water Manag. 2022, 268, 107688. [Google Scholar] [CrossRef]
- Ahmad, I.; Kamran, M.; Yang, X.N.; Meng, X.P.; Ali, S.; Ahmad, S.; Zhang, X.D.; Bilegjargal, B.; Ahmad, B.; Liu, T.N.; et al. Effects of applying uniconazole alone or combined with manganese on the photosynthetic efficiency, antioxidant defense system, and yield in wheat in semiarid regions. Agric. Water Manag. 2019, 216, 400–414. [Google Scholar] [CrossRef]
- Ahmad, I.; Zhu, G.L.; Zhou, G.S.; Song, X.D.; Ibrahim, M.E.H.; Salih, E.G.I. Effect of N on growth, antioxidant capacity, and chlorophyll content of sorghum. Agronomy 2022, 12, 501. [Google Scholar] [CrossRef]
- Xu, S.J.; Wang, L.; De, M.Q.G.; Wang, J.B.; Qi, H.Y.; Zhu, G.L. Responses of antioxidant enzyme activities, yield, and oil content to nitrogen fertilizer in dwarf castor hybrids in the Xiliaohe Plain. Soil Fertil. Sci. China 2021, 4, 192–202. (In Chinese) [Google Scholar] [CrossRef]
- Chu, G.; Xu, R.; Chen, S.; Xu, C.M.; Liu, Y.H.; Abliz, B.; Zhang, X.F.; Wang, D.Y. Root morphological-physiological traits for japonica/indicahybrid rice with better yield performance under low N conditions. Food Energy Secur. 2022, 2, 355. [Google Scholar] [CrossRef]
- Zheng, X.J.; Yu, Z.; Zhang, Y.W.; Zhang, Y.L.; Shi, Y. Effect of nitrogen rates on wheat photosynthesis, anatomical parameters and photoassimilate partitioning in North China. Int. J. Plant Prod. 2021, 15, 161–172. [Google Scholar] [CrossRef]
- Si, Z.Y.; Zain, M.; Mehmood, F.; Wang, G.S.; Gao, Y.; Duan, A. Effects of nitrogen application rate and irrigation regime on growth, yield, and water-nitrogen use efficiency of drip-irrigated winter wheat in the north china plain. Agric. Water Manag. 2020, 231, 106002. [Google Scholar] [CrossRef]
- Dunbabin, V.M.; Postma, J.A.; Schnepf, A.; Pagès, L.; Javaux, M.; Wu, L.H.; Leitner, D.; Chen, Y.L.; Rengel, Z.; Diggle, A.J. Modelling root-soil interactions using three-dimensional models of root growth, architecture and function. Plant Soil 2013, 372, 93–124. [Google Scholar] [CrossRef]
- Huo, L.Q.; Guo, Z.J.; Wang, Q.; Cheng, L.; Jia, X.; Wang, P.; Gong, X.Q.; Li, C.Y.; Ma, F.W. Enhanced autophagic activity improved the root growth and nitrogen utilization ability of apple plants under nitrogen starvation. Int. J. Mol. Sci. 2021, 22, 8085. [Google Scholar] [CrossRef] [PubMed]
- Ju, C.X.; Zhu, Y.W.; Liu, T.; Sun, C.M. The effect of nitrogen reduction at different stages on grain yield and nitrogen use efficiency for nitrogen efficient rice varieties. Agronomy 2021, 11, 462. [Google Scholar] [CrossRef]
- Gwenzi, W.; Veneklaas, E.J.; Holmes, K.W.; Bleby, T.M.; Philips, I.R.; Hinz, C. Spatial analysis of fine root distribution on a recently constructed ecosystem in a water-limited environment. Plant Soil 2011, 344, 255–272. [Google Scholar] [CrossRef]
- Mehrabi, F.; Sepaskhah, A.R.; Ahmadi, S.H. Winter wheat root distribution with irrigation, planting methods, and nitrogen application. Nutr. Cycl. Agroecosyst. 2021, 119, 231–245. [Google Scholar] [CrossRef]
- Cruz, C.; Bio, A.F.M.; Domínguez-Valdivia, M.D.; Aparicio-Tejo, P.M.; Lamsfus, C.; Martins-Loução, M.A. How does glutamine synthetase activity determine plant tolerance to ammonium? Planta 2006, 223, 1068–1080. [Google Scholar] [CrossRef]
- Singh, R.P.; Srivastava, H.S. Increase in glutamate synthase (NADH) activity in maize seedlings in response to nitrate and ammonium nitrogen. Physiol. Plant. 1986, 66, 413–416. [Google Scholar] [CrossRef]
- Baars, J.J.P.; Op den Camp, H.J.M.; Hermans, J.M.H.; Mikes, V.; Drift, C.; Van Griensven, L.J.L.D.; Vogels, G.D. Nitrogen assimilating enzymes in the white button mushroom Agaricus bisporus. Microbiology 1994, 140, 1161–1168. [Google Scholar] [CrossRef]
- Guo, Z.J.; Shi, Y.; Yu, Z.W.; Zhang, Y.L. Supplemental irrigation affected flag leaves senescence post-anthesis and grain yield of winter wheat in the Huang-Huai-Hai Plain of China. Field Crops Res. 2015, 180, 100–109. [Google Scholar] [CrossRef]
- Man, J.G.; Shi, Y.; Yu, Z.W.; Zhang, Y.L. Root growth, soil water variation, and grain yield response of winter wheat to supplemental irrigation. Plant Prod. Sci. 2016, 19, 193–205. [Google Scholar] [CrossRef]
- Xin, W.; Liu, H.L.; Zhao, H.W.; Wang, J.G.; Zheng, H.L.; Jia, Y.; Yang, L.M.; Wang, X.P.; Li, J.M.; Li, X.W.; et al. The response of grain yield and root morphological and physiological traits to nitrogen levels in paddy rice. Front. Plant Sci. 2021, 12, 713814. [Google Scholar] [CrossRef] [PubMed]
- Meng, T.Y.; Wei, H.H.; Li, X.Y.; Dai, Q.G.; Huo, Z.Y. A better root morpho-physiology after heading contributing to yield superiority of japonica/indica hybrid rice. Field Crops Res. 2018, 228, 135–146. [Google Scholar] [CrossRef]
- Zhu, K.Y.; Zhou, Q.; Shen, Y.; Yan, J.Q.; Xu, Y.J.; Wang, Z.Q.; Yang, J.C. Agronomic and physiological performance of an indica-japonica rice variety with a high yield and high nitrogen use efficiency. Crop Sci. 2020, 60, 1556–1568. [Google Scholar] [CrossRef]
- Chandna, R.; Hakeem, K.R.; Khan, F.; Ahmad, A.; Iqbal, M. Variability of nitrogen uptake and assimilation among N-efficient and N-inefficient wheat (Triticum aestivum L.) genotypes. J. Plant Interact. 2012, 7, 367–375. [Google Scholar] [CrossRef]
- Hao, Z.; Xue, Y.G.; Wang, Z.Q.; Yang, J.C.; Zhang, J.H. Morphological and physiological traits of roots and their relationships with shoot growth in “super” rice. Field Crops Res. 2009, 113, 31–40. [Google Scholar] [CrossRef]
- Wang, J.T.; Du, G.F.; Tian, J.S.; Zhang, Y.L.; Jiang, C.D.; Zhang, W.F. Effect of irrigation methods on root growth, root-shoot ratio and yield components of cotton by regulating the growth redundancy of root and shoot. Agric. Water Manag. 2020, 234, 106120. [Google Scholar] [CrossRef]
- Gan, Y.T.; Campbell, C.A.; Janzen, H.H.; Lemke, R.L.; Basnyat, P.; McDonald, C.L. Nitrogen accumulation in plant tissues and roots and N mineralization under oilseeds, pulses, and spring wheat. Plant Soil 2010, 332, 451–461. [Google Scholar] [CrossRef]
- Pang, J.Y.; Palta, J.A.; Rebetzke, G.J.; Milroy, S.P. Wheat genotypes with high early vigour accumulate more nitrogen and have higher photosynthetic nitrogen use efficiency during early growth. Funct. Plant Biol. 2013, 41, 215–222. [Google Scholar] [CrossRef]
- Ma, G.; Liu, W.X.; Li, S.S.; Zhang, P.P.; Wang, C.Y.; Lu, H.F.; Wang, L.F.; Xie, Y.X.; Ma, D.Y.; Kang, G.Z. Determining the Optimal N input to improve grain yield and quality in winter wheat with reduced apparent N loss in the North China Plain. Front. Plant Sci. 2019, 10, 181. [Google Scholar] [CrossRef] [PubMed]
- Forde, B.; Lorenzo, H. The nutritional control of root development. Plant Soil 2001, 232, 51–68. [Google Scholar] [CrossRef]
- Ju, C.X.; Liu, T.; Sun, C.M. Panicle nitrogen strategies for nitrogen-efficient rice varieties at a moderate nitrogen application rate in the lower reaches of the Yangtze River, China. Agronomy 2021, 11, 192. [Google Scholar] [CrossRef]
- Echarte, L.; Rothstein, S.; Tollenaar, M. The response of leaf photosynthesis and dry Matter accumulation to nitrogen supply in an older and a newer maize hybrid. Crop Sci. 2008, 48, 656–665. [Google Scholar] [CrossRef]
- Liu, R.X.; Zhou, Z.G.; Guo, W.Q.; Chen, B.L.; Oosterhuis, D.M. Effects of Nfertilization on root development and activity of water-stressed cotton (Gossypium hirsutum L.) plants. Agric. Water Manag. 2008, 95, 1261–1270. [Google Scholar] [CrossRef]
- Iqbal, A.; Dong, Q.; Wang, X.R.; Gui, H.P.; Zhang, H.H.; Zhang, X.L.; Song, M.Z. High nitrogen enhance drought tolerance in cotton through antioxidant enzymatic activities, nitrogen metabolism and osmotic adjustment. Plants 2020, 9, 178. [Google Scholar] [CrossRef]
- Yousuf, P.Y.; Abd_Allah, E.F.; Nauman, M.; Asif, A.; Hashem, A.; Alqarawi, A.A.; Ahmad, A. Responsive proteins in wheat cultivars with contrasting nitrogen efficiencies under the combined stress of high temperature and low nitrogen. Genes 2017, 8, 356. [Google Scholar] [CrossRef] [PubMed]
- Li, G.H.; Fu, P.X.; Cheng, G.G.; Lu, W.P.; Lu, D.L. Delaying application time of slow-release fertilizer increases soil rhizosphere nitrogen content, root activity, and grain yield of spring maize. Crop J. 2022, in press. [CrossRef]
- Chen, R.; Xiong, X.P.; Cheng, W.H. Root characteristics of spring wheat under drip irrigation and their relationship with aboveground biomass and yield. Sci. Rep. 2021, 11, 4913. [Google Scholar] [CrossRef]
- Shi, Z.L.; Jing, Q.; Cai, J.; Jiang, D.; Cao, W.X.; Dai, T.B. The fates of 15N fertilizer in relation to root distributions of winter wheat under different N splits. Eur. J. Agron. 2012, 40, 86–93. [Google Scholar] [CrossRef]
- Duan, J.Z.; Wu, Y.P.; Zhou, Y.; Ren, X.X.; Shao, Y.H.; Feng, W.; Zhu, Y.J.; Wang, Y.H.; Guo, T.C. Grain number responses to pre-anthesis dry matter and nitrogen in improving wheat yield in the Huang-Huai Plain. Sci. Rep. 2018, 8, 7126. [Google Scholar] [CrossRef] [PubMed]
- Xu, G.W.; Song, K.J.; Lu, D.K.; Wang, H.Z.; Chen, M.C. Influence of water management and nitrogen application on rice root and shoot traits. Agron. J. 2019, 111, 2232–2244. [Google Scholar] [CrossRef]
- Zhang, X.T.; Huang, Y.F.; Ma, X.J.; Ye, Y.L. Effects of seeding rate and nitrogen level on dry matter accumulation, translocation and grain yield in two genotypes of winter wheat (Triticum aestivum). Plant Physiol. J. 2017, 53, 1067–1076. (In Chinese) [Google Scholar] [CrossRef]








| Variety | Depth | Nitrogen | RLD | RVD | RMD | ||||||
|---|---|---|---|---|---|---|---|---|---|---|---|
| Jointing | Flowering | Milk Ripening | Jointing | Flowering | Milk Ripening | Jointing | Flowering | Milk Ripening | |||
| XC 38 | 0–20 | Nck | 4.25 a | 6.8 b | 4.79 a | 8.12 b | 9.36 b | 4.14 b | 3.69 b | 6.43 b | 3.94 b |
| A1 | 4.40 a | 7.46 a | 4.92 a | 8.68 a | 10.28 a | 4.65 a | 4.57 a | 7.53 a | 4.89 a | ||
| A2 | 3.70 b | 5.17 c | 4.39 b | 7.90 b | 8.97 c | 3.81 c | 2.52 c | 4.87 c | 2.51 c | ||
| N0 | 2.48 c | 3.92 d | 3.57 c | 4.90 c | 5.31 d | 2.31 d | 1.08 d | 2.96 d | 1.35 d | ||
| 20–40 | Nck | 2.60 a | 4.09 b | 2.02 b | 5.23 b | 7.27 b | 1.40 b | 1.07 b | 3.04 b | 1.22 b | |
| A1 | 2.78 a | 4.97 a | 2.28 a | 5.80 a | 8.36 a | 1.79 a | 1.33 a | 3.32 a | 1.54 a | ||
| A2 | 1.56 b | 3.19 c | 1.85 c | 4.91 c | 6.73 c | 1.12 c | 0.81 c | 2.61 c | 1.03 b | ||
| N0 | 0.96 c | 1.51 d | 1.23 d | 2.18 d | 2.8 d | 0.91 d | 0.56 d | 1.15 d | 0.75 c | ||
| 40–60 | Nck | 1.07 a | 1.89 b | 1.56 b | 1.19 b | 1.47 b | 0.95 b | 0.57 b | 1.12 b | 0.64 ab | |
| A1 | 1.17 a | 2.47 a | 1.69 a | 1.46 a | 1.86 a | 1.17 a | 0.65 a | 1.40 a | 0.78 a | ||
| A2 | 0.87 b | 1.54 c | 1.24 c | 1.07 c | 1.37 c | 0.77 c | 0.47 c | 1.01 c | 0.61 b | ||
| N0 | 0.59 c | 1.17 d | 0.97 d | 1.07 c | 1.28 d | 0.67 d | 0.30 d | 0.85 d | 0.52 b | ||
| XC 49 | 0–20 | Nck | 3.87 a | 6.66 b | 4.43 a | 7.87 b | 9.09 b | 3.84 b | 3.31 b | 6.37 b | 3.24 b |
| A1 | 4.04 a | 7.23 a | 4.53 a | 8.31 a | 9.95 a | 4.38 a | 4.02 a | 7.30 a | 4.11 a | ||
| A2 | 3.28 b | 4.74 c | 4.08 b | 7.67 c | 8.67 c | 3.51 c | 1.99 c | 4.41 c | 2.36 c | ||
| N0 | 2.25 c | 3.10 d | 2.61 c | 4.59 d | 5.04 d | 2.02 d | 0.95 d | 2.77 d | 1.11 d | ||
| 20–40 | Nck | 2.20 a | 3.76 b | 1.64 b | 4.91 b | 6.90 b | 1.09 b | 0.99 b | 2.76 b | 1.05 b | |
| A1 | 2.26 a | 4.61 a | 1.87 a | 5.46 a | 8.05 a | 1.52 a | 1.21 a | 3.20 a | 1.39 a | ||
| A2 | 1.24 b | 2.60 c | 1.58 b | 4.61 c | 6.44 c | 0.80 c | 0.71 c | 2.44 c | 0.95 b | ||
| N0 | 0.81 c | 1.16 d | 0.91 c | 1.81 d | 2.50 d | 0.60 d | 0.54 d | 1.31 d | 0.73 c | ||
| 40–60 | Nck | 0.82 b | 1.24 b | 1.14 b | 0.89 b | 1.17 b | 0.76 b | 0.55 a | 1.00 b | 0.50 b | |
| A1 | 0.98 a | 1.93 a | 1.28 a | 1.17 a | 1.57 a | 0.89 a | 0.60 a | 1.24 a | 0.71 a | ||
| A2 | 0.51 c | 1.19 bc | 0.94 c | 0.78 c | 1.06 c | 0.74 b | 0.40 b | 0.80 c | 0.45 b | ||
| N0 | 0.57 c | 1.08 c | 0.64 d | 0.78 c | 0.97 d | 0.61 c | 0.25 c | 0.71 c | 0.51 b | ||
| F-value | V | ** | ** | ** | ** | ** | ** | ** | ** | ** | |
| N | ** | ** | ** | ** | ** | ** | ** | ** | ** | ||
| V*N | ** | ns | ** | ns | ns | ns | ** | ns | ns | ||
| Variety | Depth | Nitrogen | RLD | RVD | RMD | ||||||
|---|---|---|---|---|---|---|---|---|---|---|---|
| Jointing | Flowering | Milk Ripening | Jointing | Flowering | Milk Ripening | Jointing | Flowering | Milk Ripening | |||
| XC 38 | 0–20 | Nck | 3.76 b | 6.07 b | 3.85 b | 4.90 b | 8.54 b | 3.29 b | 2.91 b | 6.15 b | 3.1 a |
| A1 | 3.97 a | 6.91 a | 4.13 a | 5.46 a | 9.44 a | 3.68 a | 3.59 a | 6.99 a | 3.27 a | ||
| A2 | 2.91 c | 4.58 c | 3.33 c | 4.25 c | 8.13 b | 2.76 c | 2.28 c | 4.58 c | 2.17 b | ||
| N0 | 1.69 d | 3.13 d | 2.78 d | 1.73 d | 4.45 c | 1.47 d | 1.21 d | 2.15 d | 1.04 c | ||
| 20–40 | Nck | 1.86 b | 3.56 b | 1.23 b | 2.19 b | 6.58 b | 1.07 b | 1.16 a | 2.88 b | 1.32 a | |
| A1 | 2.15 a | 4.24 a | 1.46 a | 2.73 a | 7.82 a | 1.38 a | 1.25 a | 3.19 a | 1.46 a | ||
| A2 | 1.16 c | 2.56 c | 1.09 b | 1.85 c | 6.03 c | 0.98 b | 0.80 b | 2.47 c | 0.95 b | ||
| N0 | 0.98 d | 1.71 d | 0.69 c | 1.05 d | 2.13 d | 0.69 c | 0.54 c | 1.00 d | 0.71 c | ||
| 40–60 | Nck | 0.93 b | 1.73 b | 0.83 ab | 0.96 b | 1.35 b | 0.74 b | 0.55 ab | 1.02 b | 0.71 ab | |
| A1 | 1.06 a | 1.91 a | 1.00 a | 1.31 a | 1.62 a | 0.96 a | 0.65 a | 1.34 a | 0.79 a | ||
| A2 | 0.71 c | 1.47 c | 0.68 bc | 0.86 bc | 1.13 c | 0.59 c | 0.51 b | 0.93 b | 0.62 bc | ||
| N0 | 0.69 c | 1.01 d | 0.56 c | 0.68 c | 1.06 c | 0.49 c | 0.26 c | 0.78 c | 0.52 c | ||
| XC 49 | 0–20 | Nck | 3.31 a | 5.81 b | 3.24 b | 4.57 b | 8.23 b | 2.94 b | 2.78 b | 6.00 b | 2.93 a |
| A1 | 3.57 a | 6.66 a | 3.52 a | 5.13 a | 9.08 a | 3.47 a | 3.44 a | 6.82 a | 3.11 a | ||
| A2 | 2.47 b | 3.77 c | 2.72 c | 3.92 c | 8.21 b | 2.29 c | 2.12 c | 4.37 c | 2.01 b | ||
| N0 | 1.34 c | 2.51 d | 2.17 d | 1.4 d | 4.15 c | 1.33 d | 1.05 d | 2.00 d | 0.98 c | ||
| 20–40 | Nck | 1.58 b | 3.22 b | 0.88 b | 1.89 b | 6.22 b | 0.90 b | 1.04 b | 2.77 b | 1.19 a | |
| A1 | 1.84 a | 3.83 a | 1.11 a | 2.39 a | 7.53 a | 1.19 a | 1.13 a | 3.07 a | 1.36 a | ||
| A2 | 1.07 c | 1.86 c | 0.75 bc | 1.52 c | 5.71 c | 0.82 b | 0.69 c | 2.34 c | 0.87 b | ||
| N0 | 0.83 d | 1.37 d | 0.59 c | 0.76 d | 1.67 d | 0.63 c | 0.50 d | 0.91 d | 0.68 b | ||
| 40–60 | Nck | 0.82 b | 0.95 b | 0.62 b | 0.64 b | 1.03 b | 0.58 b | 0.53 ab | 1.02 b | 0.68 ab | |
| A1 | 1.02 a | 1.53 a | 0.75 a | 0.99 a | 1.30 a | 0.88 a | 0.62 a | 1.30 a | 0.76 a | ||
| A2 | 0.70 c | 0.86 b | 0.54 c | 0.57 b | 1.00 b | 0.53 b | 0.48 b | 0.91 b | 0.60 b | ||
| N0 | 0.65 c | 0.83 b | 0.50 c | 0.42 c | 0.79 c | 0.47 b | 0.25 c | 0.76 c | 0.49 c | ||
| F-value | V | ** | ** | ** | ** | ** | ** | ** | ** | ** | |
| N | ** | ** | ** | ** | ** | ** | ** | ** | ** | ||
| V*N | ns | ** | * | ns | ns | ** | ns | ns | ns | ||
| Variety | Depth | Nitrogen | SOD | POD | MDA | ||||||
|---|---|---|---|---|---|---|---|---|---|---|---|
| Jointing | Flowering | Milk Ripening | Jointing | Flowering | Milk Ripening | Jointing | Flowering | Milk Ripening | |||
| XC 38 | 0–20 | Nck | 166.50 b | 319.42 b | 111.31 b | 73.48 b | 180.72 b | 33.83 b | 2.36 c | 9.75 c | 12.95 b |
| A1 | 186.08 a | 347.53 a | 134.08 a | 84.37 a | 185.21 a | 43.13 a | 1.65 d | 9.08 d | 12.11 c | ||
| A2 | 152.87 c | 307.53 c | 96.95 c | 61.22 c | 166.71 c | 29.54 c | 2.81 b | 10.36 b | 13.33 b | ||
| N0 | 120.63 d | 288.99 d | 83.71 d | 53.28 d | 149.47 d | 25.81 d | 3.55 a | 11.44 a | 14.46 a | ||
| 20–40 | Nck | 174.85 b | 327.72 b | 128.03 b | 75.49 b | 184.14 b | 38.16 b | 2.65 c | 10.01 c | 13.33 b | |
| A1 | 194.04 a | 357.41 a | 142.38 a | 87.40 a | 192.36 a | 46.60 a | 2.03 d | 9.12 d | 12.43 c | ||
| A2 | 167.32 c | 312.33 c | 104.80 c | 64.16 c | 170.24 c | 34.13 c | 2.97 b | 10.61 b | 13.62 b | ||
| N0 | 127.53 d | 292.35 d | 89.73 d | 56.86 d | 154.06 d | 31.35 d | 3.85 a | 11.86 a | 14.76 a | ||
| 40–60 | Nck | 188.41 b | 343.97 b | 133.67 b | 83.05 b | 186.13 b | 40.99 b | 2.86 c | 10.30 bc | 13.74 b | |
| A1 | 203.91 a | 363.38 a | 157.33 a | 89.26 a | 195.77 a | 48.11 a | 2.32 d | 9.37 c | 12.68 c | ||
| A2 | 182.98 c | 325.89 c | 117.04 c | 68.76 c | 174.72 c | 36.17 c | 3.33 b | 11.57 b | 14.35 b | ||
| N0 | 133.34 d | 299.31 d | 95.81 d | 60.81 d | 159.67 d | 33.18 d | 4.01 a | 14.00 a | 15.53 a | ||
| XC 49 | 0–20 | Nck | 138.42 b | 293.11 b | 86.59 b | 59.62 b | 169.71 b | 31.44 b | 2.69 c | 10.15 c | 13.16 b |
| A1 | 160.76 a | 323.20 a | 107.60 a | 78.77 a | 185.50 a | 39.32 a | 2.12 d | 9.40 d | 12.62 b | ||
| A2 | 127.80 c | 282.09 c | 70.88 c | 45.51 c | 163.71 c | 28.39 c | 3.19 b | 10.78 b | 13.27 b | ||
| N0 | 98.36 d | 265.61 d | 56.61 d | 33.88 d | 138.27 d | 19.56 d | 3.95 a | 12.00 a | 14.85 a | ||
| 20–40 | Nck | 146.77 b | 302.31 b | 101.37 b | 65.25 b | 172.44 b | 33.09 b | 3.03 c | 10.43 c | 13.58 b | |
| A1 | 168.63 a | 331.30 a | 117.05 a | 80.83 a | 188.71 a | 41.41 a | 2.40 d | 9.50 d | 13.03 c | ||
| A2 | 141.57 b | 286.58 c | 80.01 c | 47.22 c | 167.56 c | 29.68 c | 3.37 b | 11.02 b | 13.59 b | ||
| N0 | 103.51 c | 267.98 d | 62.70 d | 35.28 d | 142.71 d | 20.18 d | 4.26 a | 12.62 a | 15.17 a | ||
| 40–60 | Nck | 161.90 b | 319.63 b | 108.09 b | 64.40 b | 176.23 b | 34.06 b | 3.35 c | 10.51 c | 13.91 b | |
| A1 | 177.80 a | 336.97 a | 132.80 a | 83.17 a | 193.73 a | 42.06 a | 2.72 d | 9.77 d | 13.27 c | ||
| A2 | 159.24 b | 298.72 c | 91.26 c | 48.36 c | 171.50 c | 30.14 c | 3.73 b | 11.95 b | 14.14 b | ||
| N0 | 108.50 c | 274.90 d | 69.41 d | 36.19 d | 146.08 d | 21.34 d | 4.40 a | 14.80 a | 15.54 a | ||
| F-value | V | ** | ** | ** | ** | ** | ** | ** | ** | ** | |
| N | ** | ** | ** | ** | ** | ** | ** | ** | ** | ||
| V*N | ns | ns | ns | ** | ** | ** | ns | ns | ns | ||
| Variety | Depth | Nitrogen | SOD | POD | MDA | ||||||
|---|---|---|---|---|---|---|---|---|---|---|---|
| Jointing | Flowering | Milk Ripening | Jointing | Flowering | Milk Ripening | Jointing | Flowering | Milk Ripening | |||
| XC 38 | 0–20 | Nck | 162.24 b | 315.12 b | 107.06 b | 67.48 b | 175.52 b | 28.39 b | 2.70 c | 9.90 c | 13.35 b |
| A1 | 182.00 a | 343.20 a | 130.09 a | 79.54 a | 180.49 a | 38.27 a | 1.98 d | 9.24 d | 12.53 c | ||
| A2 | 148.80 c | 303.40 c | 92.84 c | 56.76 c | 162.74 c | 25.98 b | 3.59 b | 10.75 b | 13.67 b | ||
| N0 | 116.76 d | 284.86 d | 79.61 d | 47.16 d | 141.84 d | 21.12 c | 3.91 a | 12.02 a | 14.79 a | ||
| 20–40 | Nck | 171.70 b | 324.12 b | 124.70 b | 70.98 | 179.87 | 34.67 | 3.46 c | 10.23 c | 13.72 b | |
| A1 | 190.46 a | 353.95 a | 138.94 a | 82.48 | 188.24 | 43.32 | 2.35 d | 9.53 d | 12.78 c | ||
| A2 | 163.52 c | 308.77 c | 100.91 c | 61.14 | 165.94 | 27.20 | 4.16 b | 11.23 b | 13.99 b | ||
| N0 | 123.84 d | 288.84 d | 86.26 d | 50.89 | 148.54 | 25.77 | 4.67 a | 12.81 a | 15.12 a | ||
| 40–60 | Nck | 185.58 b | 341.02 b | 130.73 b | 79.40 | 181.78 | 36.97 | 3.81 c | 10.85 c | 14.41 b | |
| A1 | 200.97 a | 360.32 a | 154.50 a | 84.24 | 192.12 | 47.85 | 2.77 d | 9.94 d | 13.12 c | ||
| A2 | 180.14 c | 322.97 c | 114.14 c | 65.11 | 168.84 | 32.95 | 4.88 b | 11.92 b | 14.78 b | ||
| N0 | 130.75 d | 296.34 d | 92.75 d | 54.98 | 152.83 | 28.69 | 5.47 a | 13.50 a | 16.06 a | ||
| XC 49 | 0–20 | Nck | 139.44 b | 292.40 b | 84.41 b | 62.51 | 160.83 | 22.25 | 2.93 c | 10.14 c | 13.59 b |
| A1 | 159.18 a | 320.16 a | 107.26 a | 72.66 | 164.11 | 26.58 | 2.25 d | 9.49 d | 12.73 c | ||
| A2 | 126.18 c | 280.73 c | 70.01 c | 53.63 | 152.90 | 17.44 | 3.81 b | 10.99 b | 13.87 b | ||
| N0 | 93.81 d | 262.08 d | 57.06 d | 44.58 | 125.74 | 15.10 | 4.13 a | 12.23 a | 15.01 a | ||
| 20–40 | Nck | 149.47 b | 301.92 b | 102.52 b | 64.14 | 167.06 | 25.93 | 3.75 c | 10.55 c | 14.03 b | |
| A1 | 168.44 a | 331.86 a | 116.83 a | 73.46 | 174.17 | 33.39 | 2.63 d | 9.82 d | 13.06 c | ||
| A2 | 141.53 c | 286.54 c | 78.75 c | 56.07 | 159.10 | 20.33 | 4.36 b | 11.52 b | 14.30 b | ||
| N0 | 101.41 d | 266.58 d | 64.07 d | 45.98 | 136.02 | 17.97 | 4.95 a | 13.18 a | 15.42 a | ||
| 40–60 | Nck | 163.86 b | 319.33 b | 109.00 b | 72.57 | 171.76 | 28.11 | 4.21 c | 11.16 c | 14.80 b | |
| A1 | 179.39 a | 338.58 a | 132.76 a | 74.82 | 179.99 | 39.31 | 3.39 d | 10.26 d | 13.45 c | ||
| A2 | 158.46 c | 301.27 c | 92.30 c | 61.22 | 163.89 | 28.07 | 5.22 b | 12.24 b | 15.11 b | ||
| N0 | 108.68 d | 274.85 d | 71.31 d | 47.09 | 142.28 | 22.93 | 5.80 a | 13.79 a | 16.75 a | ||
| F-value | V | ** | ** | ** | ** | ** | ** | ** | ** | ** | |
| N | ** | ** | ** | ** | ** | ** | ** | ** | ** | ||
| V*N | ns | ns | ns | ** | ** | ns | ns | ns | ns | ||
| Variety | Treatments | 2019 | 2020 | ||||||||||||||
|---|---|---|---|---|---|---|---|---|---|---|---|---|---|---|---|---|---|
| Shoot Dry Matter (kg·ha−1) | Spike Dry Matter (kg·ha−1) | Yield (kg·ha−1) | Shoot Dry Matter (kg·ha−1) | Spike Dry Matter (kg·ha−1) | Yield (kg·ha−1) | ||||||||||||
| Jointing | Booting | Flowering | Milking | Booting | Flowering | Milking | Jointing | Booting | Flowering | Milking | Booting | Heading | Milking | ||||
| XC 38 | Nck | 2398.96 c | 10,021.96 c | 12,098.04 c | 19,641.29 c | 2391.90 c | 3582.85 c | 10,071.08 c | 7136.02 c | 2382.74 c | 9720.88 c | 11,900.39 c | 19,673.49 c | 2320.21 c | 3577.19 c | 9347.35 c | 7124.28 c |
| A1 | 2812.62 a | 112,29.68 a | 13,996.89 a | 22,503.29 a | 2879.93 a | 4486.03 a | 12,937.59 a | 7429.53 a | 2797.83 a | 10,793.56 a | 14,101.35 a | 22,286.97 a | 2822.18 a | 4358.39 a | 12,083.63 a | 7321.43 a | |
| A2 | 2229.57 d | 8572.28 d | 10,101.99 d | 17,851.03 d | 2015.10 d | 2956.32 d | 7904.27 d | 7082.12 c | 2216.55 d | 8569.79 d | 10,191.33 d | 17,686.55 d | 1752.79 d | 2780.75 d | 7271.85 d | 7066.79 d | |
| N0 | 1694.86 e | 6769.77 e | 8519.62 e | 12,852.19 e | 1443.07 e | 2265.65 e | 5160.74 e | 5276.78 d | 1396.03 e | 6420.24 e | 8965.18 e | 12,922.63 e | 1227.60 e | 2103.84 e | 4615.12 e | 5265.23 e | |
| XC 49 | Nck | 2218.26 c | 9747.31 b | 11,913.85 b | 19,320.73 b | 2309.24 c | 3351.62 c | 9835.48 c | 7015.79 b | 2150.38 c | 9389.63 c | 12,047.61 c | 18,992.53 c | 2290.22 c | 3184.48 c | 8994.47 c | 7024.40 c |
| A1 | 2624.98 a | 10,438.76 a | 13,281.42 a | 21,994.65 a | 2656.27 a | 4202.54 a | 12,483.42 a | 7164.36 a | 2527.10 a | 10,041.98 a | 13,236.18 a | 22,131.32 a | 2513.52 a | 3963.06 a | 11,852.22 a | 7116.33 a | |
| A2 | 2039.15 d | 8251.84 c | 9560.93 c | 17,033.87 c | 1899.13 d | 2667.82 d | 7525.14 d | 6952.57 b | 1824.39 d | 8047.37 d | 9533.27 d | 16,831.20 d | 1600.69 d | 2480.68 d | 6822.85 d | 6951.04 d | |
| N0 | 1513.11 e | 6545.93 d | 8178.75 d | 11,998.65 d | 1315.93 e | 2105.28 e | 4747.93 e | 4956.71 c | 1195.32 e | 6029.04 e | 7173.96 e | 11,794.99 e | 1088.39 e | 1659.81 e | 4092.18 e | 4943.66 e | |
| F value | V | ** | ** | ** | ** | ** | ** | ** | ** | ** | ** | ** | * | ** | ** | ** | ** |
| N | ** | ** | ** | ** | ** | ** | ** | ** | ** | ** | ** | ** | ** | ** | ** | ** | |
| N×V | ns | ns | ns | ns | ns | ns | ns | ** | ** | ns | ** | ns | ** | ns | * | ** | |
| Type of Traits | Selected Dependent Variable | Yield Regression Equation | Standardized Coefficient | R2 |
|---|---|---|---|---|
| RLD in each depth | RLD in 40–60 cm depth | y = 367.622x + 544.834 | 0.934 | 0.872 ** |
| RVD in each depth | RVD in 0–20 cm depth | y = 84.366x + 320.837 | 0.97 | 0.941 ** |
| RMD in each depth | RMD in 0–20 cm depth | y = 111.121x + 611.693 | 0.81 | 0.656 ** |
| Root activity in each depth | Root activity in 0–20 cm depth | y = 4.556x + 407.341 | 0.863 | 0.745 ** |
| NR in each depth | NR in 40–60 cm depth | y = 76.300x + 833.849 | 0.799 | 0.639 ** |
| GS in each depth | GS in 0–20 cm depth | y = 3559.664x + 699.413 | 0.712 | 0.507 ** |
| GOGAT in each depth | GOGAT in 0–20 cm depth | y = 3483.090x + 654.503 | 0.733 | 0.538 ** |
| GPT in each depth | GPT in 40–60 cm depth | y = 78.437x + 418.947 | 0.79 | 0.625 ** |
| SOD in each depth | SOD in 40–60 cm depth | y = 26.027x + 3708.543 | 0.789 | 0.622 ** |
| POD in each depth | POD in 0–20 cm depth | y = 24.721x + 814.491 | 0.83 | 0.690 ** |
| MDA in each depth | MDA in 0–20 cm depth | y = −971.090x + 19,573.986 | −0.949 | 0.901 ** |
| Root morphological and physiological properties in the whole profile | MDA in the whole profile | y = −941.963x + 1548.913 | −0.941 | 0.885 ** |
Publisher’s Note: MDPI stays neutral with regard to jurisdictional claims in published maps and institutional affiliations. |
© 2022 by the authors. Licensee MDPI, Basel, Switzerland. This article is an open access article distributed under the terms and conditions of the Creative Commons Attribution (CC BY) license (https://creativecommons.org/licenses/by/4.0/).
Share and Cite
Wang, R.; Wang, H.; Jiang, G.; Liu, J.; Yin, H.; Xie, B.; Che, Z.; Jiang, F.; Zhang, T. Effect of Nitrogen Application on Root and Yield Traits of Chinese Spring Wheat (Triticum aestivum L.) under Drip Irrigation. Agronomy 2022, 12, 2618. https://doi.org/10.3390/agronomy12112618
Wang R, Wang H, Jiang G, Liu J, Yin H, Xie B, Che Z, Jiang F, Zhang T. Effect of Nitrogen Application on Root and Yield Traits of Chinese Spring Wheat (Triticum aestivum L.) under Drip Irrigation. Agronomy. 2022; 12(11):2618. https://doi.org/10.3390/agronomy12112618
Chicago/Turabian StyleWang, Rongrong, Haiqi Wang, Guiying Jiang, Jianguo Liu, Haojie Yin, Bingying Xie, Ziqiang Che, Feng Jiang, and Ting Zhang. 2022. "Effect of Nitrogen Application on Root and Yield Traits of Chinese Spring Wheat (Triticum aestivum L.) under Drip Irrigation" Agronomy 12, no. 11: 2618. https://doi.org/10.3390/agronomy12112618
APA StyleWang, R., Wang, H., Jiang, G., Liu, J., Yin, H., Xie, B., Che, Z., Jiang, F., & Zhang, T. (2022). Effect of Nitrogen Application on Root and Yield Traits of Chinese Spring Wheat (Triticum aestivum L.) under Drip Irrigation. Agronomy, 12(11), 2618. https://doi.org/10.3390/agronomy12112618

