The Effects of Different Tillage Techniques and N Fertilizer Rates on Nitrogen and Phosphorus in Dry Land Agriculture
Abstract
1. Introduction
2. Material and Methods
2.1. Site
2.2. Laboratory Analyses
2.2.1. N Pools
2.2.2. P Pools
2.2.3. Soil Organic C/Soil Organic Matter
2.3. Statistical Analyses
3. Results
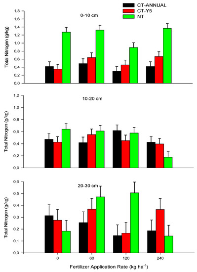
3.1. Total N Contents
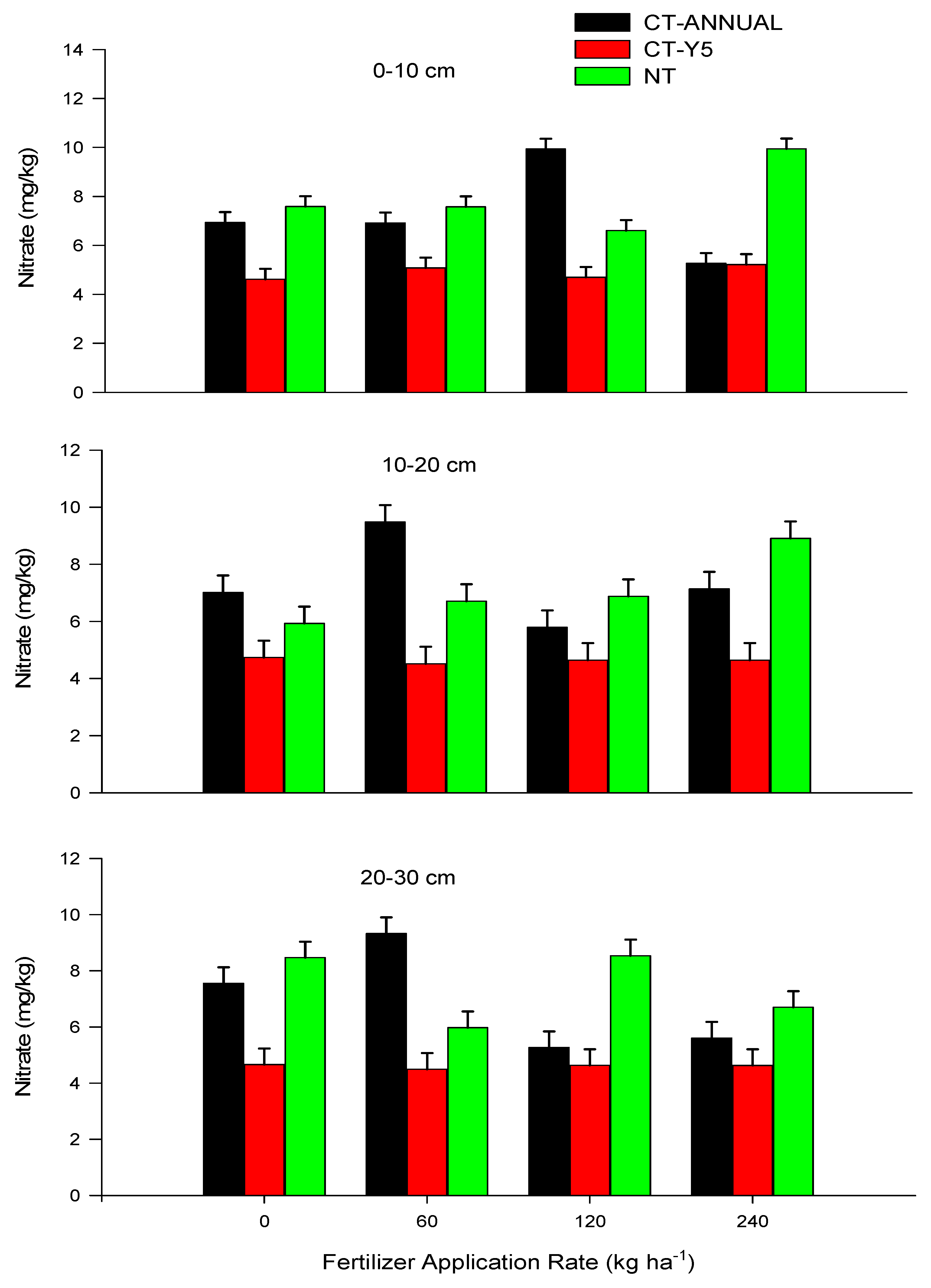
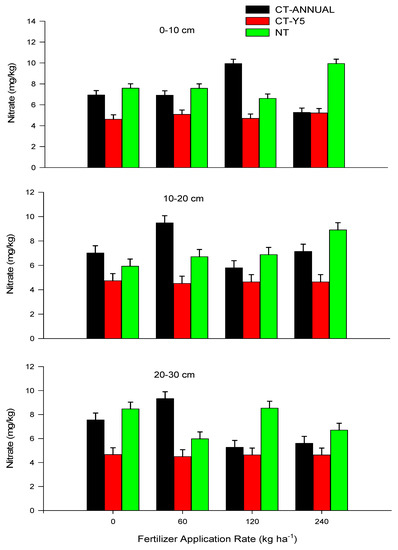
3.2. Nitrate Contents
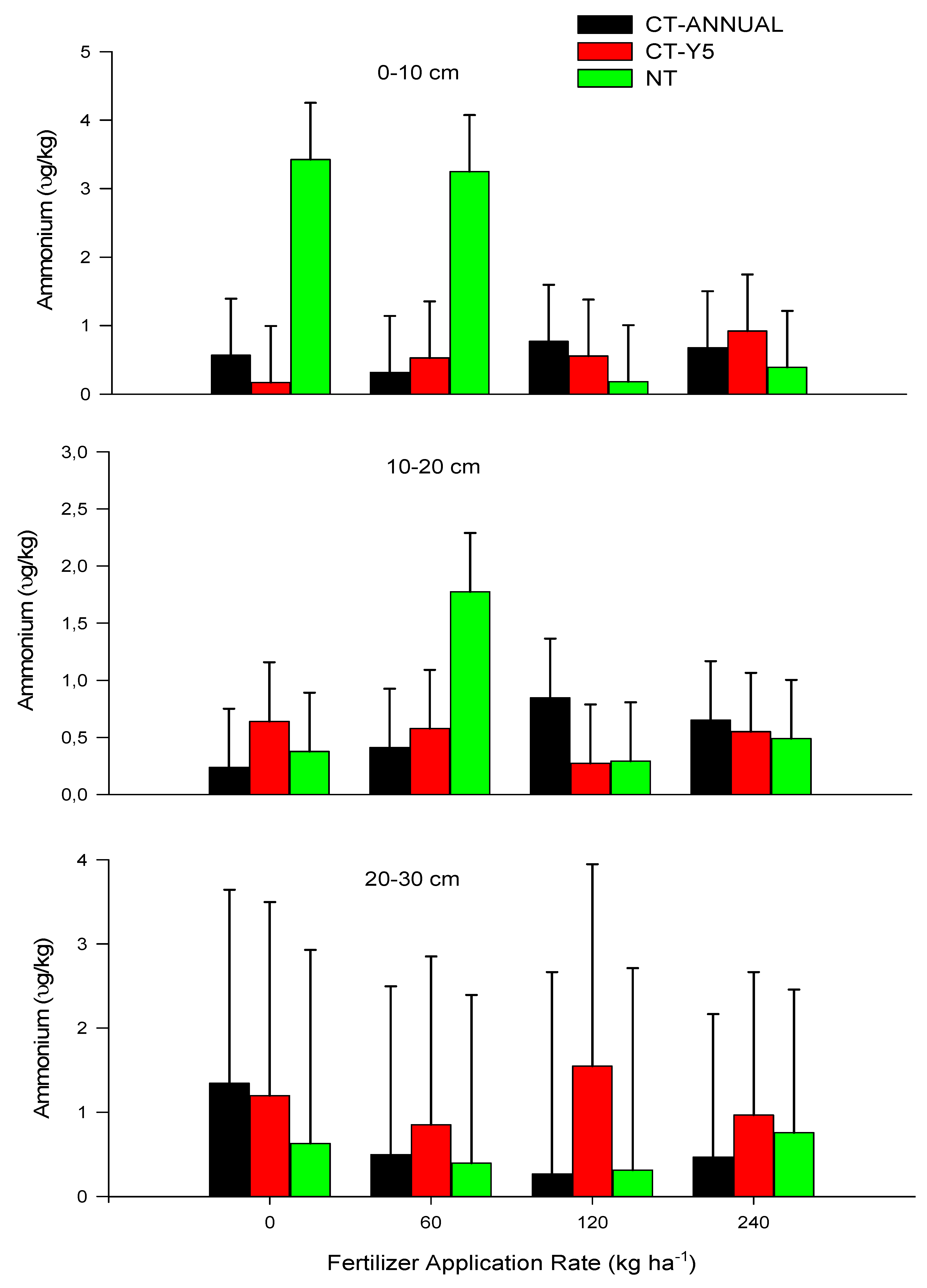
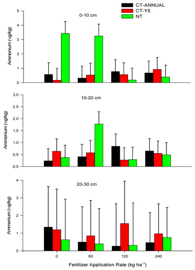
3.3. Ammonium Contents
3.4. N Mineralisation
3.5. Total P Contents
3.6. Organic P Contents
3.7. Extractable Phosphorous Contents
3.8. Soil Organic C
4. Discussion
5. Conclusions
Author Contributions
Funding
Institutional Review Board Statement
Informed Consent Statement
Data Availability Statement
Acknowledgments
Conflicts of Interest
References
- Khan, M.A.; Ding, X.; Khan, S.; Brusseau, M.L.; Khan, A.; Nawab, J. The influence of various organic amendments on the bioavailability and plant uptake of cadmium present in mine-degraded soil. Sci. Total Environ. 2018, 636, 810–817. [Google Scholar] [CrossRef] [PubMed]
- Sharifi, M.; Zebarth, B.J.; Burton, D.L.; Grant, C.A.; Bittman, S.; Drury, C.F.; Ziadi, N. Response of potentially mineralizable soil nitrogen and indices of nitrogen availability to tillage system. Soil Sci. Soc. Am. J. 2008, 72, 1124–1131. [Google Scholar] [CrossRef]
- Balota, E.L.; Colozzi Filho, A.; Andrade, D.S.; Dick, R.P. Long-term tillage and crop rotation effects on microbial biomass and C and N mineralization in a Brazilian Oxisol. Soil Tillage Res. 2004, 77, 137–145. [Google Scholar] [CrossRef]
- Franzluebbers, A.J.; Hons, F.M.; Zuberer, D.A. Long-term changes in soil carbon and nitrogen pools in wheat management systems. Soil Sci. Soc. Am. J. 1994, 58, 1639–1645. [Google Scholar] [CrossRef]
- Sharifi, M.; Zebarth, B.J.; Burton, D.L.; Drury, C.F.; Grant, C.A. Mineralization of Carbon-14-Labeled Plant Residues in Conventional Tillage and No-Till Systems. Soil Sci. Soc. Am. J. 2013, 77, 123–132. [Google Scholar] [CrossRef]
- Fisk, M.C.; Fahey, T.J. Microbial biomass and nitrogen cycling responses to fertilization and litter removal in young northern hardwood forests. Biogeochemistry 2001, 53, 201–223. [Google Scholar] [CrossRef]
- Salinas-Garcia, J.R.; Hons, F.M.; Matocha, J.E.; Zuberer, D.A. Soil carbon and nitrogen dynamics as affected by long-term tillage and nitrogen fertilization. Biol. Fertil. Soils 1997, 25, 182–188. [Google Scholar] [CrossRef]
- Li, S.; Tan, D.; Wu, X.; Degré, A.; Long, H.; Zhang, S.; Liang, G. Negative pressure irrigation increases vegetable water productivity and nitrogen use efficiency by improving soil water and NO3−N distributions. Agric. Water Manag. 2021, 251, 106853. [Google Scholar] [CrossRef]
- Nziguheba, G.; Zingore, S.; Kihara, J.; Merckx, R.; Njoroge, S.; Otinga, A.; Vanlauwe, B. Phosphorus in smallholder farming systems of sub-Saharan Africa: Implications for agricultural intensification. Nutr. Cycl. Agroecosyst. 2016, 104, 321–340. [Google Scholar] [CrossRef]
- Unger, P.W. Organic matter, nutrient, and pH distribution in no-and conventional-tillage semiarid soils. Agron. J. 1991, 83, 186–189. [Google Scholar] [CrossRef]
- Singh, J.; Brar, B.S.; Sekhon, B.S.; Mavi, M.S.; Singh, G.; Kaur, G. Impact of long-term phosphorous fertilization on Olsen-P and grain yields in maize–wheat cropping sequence. Nutr. Cycl. Agroecosyst. 2016, 106, 157–168. [Google Scholar] [CrossRef]
- Blake, L.; Mercik, S.; Koerschens, M.; Moskal, S.; Poulton, P.R.; Goulding, K.W.T.; Powlson, D.S. Phosphorus content in soil, uptake by plants and balance in three European long-term field experiments. Nutr. Cycl. Agroecosyst. 2000, 56, 263–275. [Google Scholar] [CrossRef]
- Hinsinger, P. Bioavailability of soil inorganic P in the rhizosphere as affected by root-induced chemical changes: A review. Plant Soil 2001, 237, 173–195. [Google Scholar] [CrossRef]
- Bolan, N.S.; Hedley, M.J. Role of carbon, nitrogen, and sulfur cycles in soil acidification. In Handbook of Soil Acidity; CRC Press: Boca Raton, FL, USA, 2003; pp. 43–70. [Google Scholar]
- Kushwa, V.; Hati, K.M.; Sinha, N.K.; Singh, R.K.; Mohanty, M.; Somasundaram, J.; Patra, A.K. Long-term conservation tillage effect on soil organic carbon and available phosphorous content in vertisols of central India. Agric. Res. 2016, 5, 353–361. [Google Scholar] [CrossRef]
- Wang, R.; Guo, S.; Li, N.; Li, R.; Zhang, Y.; Jiang, J.; Zhao, M. Phosphorus accumulation and sorption in calcareous soil under long-term fertilization. PLoS ONE 2015, 10, 0135160. [Google Scholar] [CrossRef] [PubMed]
- Franzluebbers, A.J.; Hons, F.M. Soil-profile distribution of primary and secondary plant-available nutrients under conventional and no tillage. Soil Tillage Res. 1996, 39, 229–239. [Google Scholar] [CrossRef]
- Margenot, A.J.; Sommer, R.; Mukalama, J.; Parikh, S.J. Biological P cycling is influenced by the form of P fertilizer in an Oxisol. Biol. Fertil. Soils 2017, 53, 899–909. [Google Scholar] [CrossRef]
- Dotaniya, M.L.; Datta, S.C. Impact of bagasse and press mud on availability and fixation capacity of phosphorus in an Inceptisol of north India. Sugar Tech 2014, 16, 109–112. [Google Scholar] [CrossRef]
- Soil Classification Working Group. Soil Classification: A Taxonomic System for South Africa; Department of Agricultural Development: Pretoria, South Africa, 1991. [Google Scholar]
- Vilakazi, B.S. Indigenous Knowledge Systems Available to Physico-Chemical Properties on Selected Smallholder Farms of KwaZulu-Natal. Master’s Thesis, Soil Science School of Agricultural, Earth and Environmental Sciences, University of KwaZulu Natal, Pietermaritzburg, South Africa, 2017. [Google Scholar]
- LECO Corporation. TruMac CNS/NS Determinators; LECO Corporation: St Joseph, MI, USA, 2012. [Google Scholar]
- Freney, J.R.; Wetselaar, R. The Determination of Mineral Nitrogen in Soil with Particular Reference to Nitrate; Commonwealth Scientific and Industrial Research Organization: Melbourne, Australia, 1967; p. 19. [Google Scholar]
- Bremner, J.M.; Keeney, D.R. Steam distillation methods for determination of ammonium, nitrate and nitrite. Anal. Chim. Acta 1965, 32, 485–495. [Google Scholar] [CrossRef]
- Okalebo, J.R.; Gathua, K.W.; Woomer, P.L. Laboratory Methods of Soil and Plant Analysis: A Working Manual; KARI: Nairobi, Kenya, 1993. [Google Scholar]
- Anderson, J.M.; Ingram, J.S.I. A handbook of methods. CAB Int. Wallingford Oxfs. 1993, 221, 62–65. [Google Scholar]
- Novozamsky, I.; Houba, V.J.G.; Van Eck, R.; Van Vark, W. A novel digestion technique for multi-element plant analysis. Commun. Soil Sci. Plant Anal. 1983, 14, 239–248. [Google Scholar] [CrossRef]
- Kuo, S.; Sparks, D.L.; Page, A.L.; Helmke, P.A.; Loeppert, R.H.; Soltanpour, P.N.; Summer, M.E. Methods of soil analysis: Chemical methods. Part 3. Phosphorus. In Nitrogen Efficiency in Agricultural Soils; Sparks, D.L., Page, A.L., Helmke, P.A., Loeppert, R.H., Soltanpour, P.N., Tabatabai, M.A., Johnston, C.T., Sumner, M.E., Eds.; American Society of Agronomy-Soil Science Society of America: Madison, WI, USA, 1996; pp. 869–919. [Google Scholar]
- Bowman, R.A. A sequential extraction procedure with concentrated sulfuric acid and dilute base for soil organic phosphorus. Soil Sci. Soc. Am. J. 1989, 53, 362–366. [Google Scholar] [CrossRef]
- Watanabe, F.S.; Olsen, S.R. Test of an ascorbic acid method for determining phosphorus in water and NaHCO3 extracts from soil. Soil Sci. Soc. Am. J. 1965, 29, 677–678. [Google Scholar] [CrossRef]
- Van Reeuwijk, L.P. Procedures for Soil Analysis; International Soil Reference and Information Centre (ISRIC): Wageningen, The Netherlands, 2002. [Google Scholar]
- VSN International. Genstat for Windows; VSN International: Hemel Hempstead, UK, 2011. [Google Scholar]
- Wershaw, R. Model for humus in soils and sediments. Environ. Sci. Technol. 1993, 27, 814–816. [Google Scholar] [CrossRef]
- Beare, M.H.; Hendrix, P.F.; Cabrera, M.L.; Coleman, D.C. Aggregate-protected and unprotected organic matter pools in conventional-and no-tillage soils. Soil Sci. Soc. Am. J. 1994, 58, 787–795. [Google Scholar] [CrossRef]
- Zibilske, L.M.; Bradford, J.M.; Smart, J.R. Conservation tillage induced changes in organic carbon, total nitrogen and available phosphorus in a semi-arid alkaline subtropical soil. Soil Tillage Res. 2002, 66, 153–163. [Google Scholar] [CrossRef]
- Ghidey, F.; Alberts, E.E. Residue type and placement effects on decomposition: Field study and model evaluation. Trans. ASAE 1993, 36, 1611–1617. [Google Scholar] [CrossRef]
- Awale, R.; Emeson, M.A.; Machado, S. Soil organic carbon pools as early indicators for soil organic matter stock changes under different tillage practices in Inland Pacific Northwest. Front. Ecol. Evol. 2017, 5, 96. [Google Scholar] [CrossRef]
- Silgram, M.; Shepherd, M.A. The effects of cultivation on soil nitrogen mineralization. Adv. Agron. 1999, 65, 267–311. [Google Scholar]
- Wright, A.L.; Hons, F.M.; Matocha, J.E., Jr. Tillage impacts on microbial biomass and soil carbon and nitrogen dynamics of corn and cotton rotations. Appl. Soil Ecol. 2005, 29, 85–92. [Google Scholar] [CrossRef]
- Cameira, M.C.; Magalhaes, M.C.; Pato, R.L. Nitrogen dynamics on a soil with different tillage systems. In Progress in Nitrogen Cycling Studies; Springer: Dordrecht, The Netherlands, 1996; pp. 31–35. [Google Scholar]
- Jahangir, M.M.R.; Begum, R.; Jahiruddin, M.; Dawar, K.; Zaman, M.; Bell, R.W.; Müller, C. Reduced tillage with residue retention and nitrogen application rate increase N2O fluxes from irrigated wheat in a subtropical floodplain soil. Agric. Ecosyst. Environ. 2021, 306, 107194. [Google Scholar] [CrossRef]
- Goss, M.J.; Howse, K.R.; Lane, P.W.; Christian, D.G.; Harris, G.L. Losses of nitrate-nitrogen in water draining from under autumn-sown crops established by direct drilling or mouldboard ploughing. J. Soil Sci. 1993, 44, 35–48. [Google Scholar] [CrossRef]
- Goss, M.J.; Colbourn, P.; Harris, G.L.; Howse, K.R. Leaching of nitrogen under autumn-sown crops and the effects of tillage. In Nitrogen Efficiency in Agricultural Soils; Jenkenson, D.S., Smith, K.A., Eds.; Elsevier: Chichester, UK, 1988; pp. 269–282. [Google Scholar]
- Rees, R.M.; McTaggart, I.P.; Smith, K.A. Potential nitrogen availability and fertiliser recommendations. In Progress in Nitrogen Cycling Studies; Springer: Dordrecht, The Netherlands, 1996; pp. 359–363. [Google Scholar]
- Singh, L.; Singh, J.S. Importance of short-lived components of a dry tropical forest for biomass production and nutrient cycling. J. Veg. Sci. 1993, 4, 681–686. [Google Scholar] [CrossRef]
- Stevens, W.B.; Hoeft, R.G.; Mulvaney, R.L. Fate of nitrogen-15 in a long-term rate study: II. Nitrogen uptake efficiency. Agron. J. 2005, 97, 1046–1053. [Google Scholar] [CrossRef]
- Soon, Y.K.; Clayton, G.W. Eight years of crop rotation and tillage effects on crop production and N fertilizer use. Can. J. Soil Sci. 2002, 82, 165–172. [Google Scholar] [CrossRef]
- Das, P.; Sa, J.H.; Kim, K.H.; Jeon, E.C. Effect of fertilizer application on ammonia emission and concentration levels of ammonium, nitrate, and nitrite ions in a rice field. Environ. Monit. Assess. 2009, 154, 275–282. [Google Scholar] [CrossRef]
- Singh, M.; Bhattacharya, A.K.; Nair, T.V.R.; Singh, A.K. Nitrogen loss through subsurface drainage effluent in coastal rice field from India. Agric. Water Manag. 2002, 52, 249–260. [Google Scholar] [CrossRef]
- Thomas, G.A.; Dalal, R.C.; Standley, J. No-till effects on organic matter, pH, cation exchange capacity and nutrient distribution in a Luvisol in the semi-arid subtropics. Soil Tillage Res. 2007, 94, 295–304. [Google Scholar] [CrossRef]
- Sarker, J.R.; Singh, B.P.; Fang, Y.; Cowie, A.L.; Dougherty, W.J.; Collins, D.; Singh, B.K. Tillage history and crop residue input enhanced native carbon mineralisation and nutrient supply in contrasting soils under long-term farming systems. Soil Tillage Res. 2019, 193, 71–84. [Google Scholar] [CrossRef]
- Małecka, I.; Blecharczyk, A.; Sawinska, Z.; Swędrzyńska, D.; Piechota, T. Winter Wheat Yield and Soil Properties Response to Long-term Non-inversion Tillage 2018. Available online: http://hdl.handle.net/123456789/3817 (accessed on 2 February 2018).
- Dimassi, B.; Cohan, J.P.; Labreuche, J.; Mary, B. Changes in soil carbon and nitrogen following tillage conversion in a long-term experiment in Northern France. Agric. Ecosyst. Environ. 2013, 169, 12–20. [Google Scholar] [CrossRef]
- Chamen, W.C.T.; Parkin, A.B. The Impact of Tillage Practices on the Soil and Its Linked Environment, with Particular Reference to Arable Cropping in United Kingdom, ADAS-SRI. Joint Contract Report No. CR/678/95/0209. 1995. [Google Scholar]
- Coûteaux, M.M.; Bottner, P.; Berg, B. Litter decomposition, climate and liter quality. Trends Ecol. Evol. 1995, 10, 63–66. [Google Scholar] [CrossRef]
- Bertol, O.J.; Rizzi, N.E.; Bertol, I.; Roloff, G. Perdas de solo e água e qualidade do escoamento superficial associadas à erosão entre sulcos em área cultivada sob semeadura direta e submetida às adubações mineral e orgânica. Rev. Bras. Ciência Solo 2007, 31, 781–792. [Google Scholar] [CrossRef]
- Condron, L.M.; Sinaj, S.; McDowell, R.W.; Dudler-Guela, J.; Scott, J.T.; Metherell, A.K. Influence of long-term irrigation on the distribution and availability of soil phosphorus under permanent pasture. Soil Res. 2006, 44, 127–133. [Google Scholar] [CrossRef]
- Redel, Y.D.; Rubio, R.; Rouanet, J.L.; Borie, F. Phosphorus bioavailability affected by tillage and crop rotation on a Chilean volcanic derived Ultisol. Geoderma 2007, 139, 388–396. [Google Scholar] [CrossRef]
- Guppy, C.N.; Menzies, N.W.; Blamey, F.P.C.; Moody, P.W. Do decomposing organic matter residues reduce phosphorus sorption in highly weathered soils? Soil Sci. Soc. Am. J. 2005, 69, 1405–1411. [Google Scholar] [CrossRef]
- Damon, P.M.; Bowden, B.; Rose, T.; Rengel, Z. Crop residue contributions to phosphorus pools in agricultural soils: A review. Soil Biol. Biochem. 2014, 74, 127–137. [Google Scholar] [CrossRef]
- Selles, F.; Kochhann, R.A.; Denardin, J.E.; Zentner, R.P.; Faganello, A. Distribution of phosphorus fractions in a Brazilian Oxisol under different tillage systems. Soil Tillage Res. 1997, 44, 23–34. [Google Scholar] [CrossRef]
- Arienzo, M.; Di Meo, V.; Adamo, P.; Violante, P. Investigation by electro-ultrafiltration on N and P distribution in rhizosphere and bulk soil of field-grown corn. Soil Res. 2004, 42, 49–57. [Google Scholar] [CrossRef]
- Frossard, E.; Brossard, M.; Hedley, M.J.; Metherell, A. Reactions Controlling the Cycling of P in Soils; Scope-Scientific Committee on Problems of the Environment International Council of Scientific Unions: Paris, France, 1995; Volume 54, pp. 107–138. [Google Scholar]
- Bünemann, E.K. Assessment of gross and net mineralization rates of soil organic phosphorus–A review. Soil Biol. Biochem. 2015, 89, 82–98. [Google Scholar] [CrossRef]
- Olsson, R.; Giesler, R.; Loring, J.S.; Persson, P. Enzymatic hydrolysis of organic phosphates adsorbed on mineral surfaces. Environ. Sci. Technol. 2012, 46, 85–291. [Google Scholar] [CrossRef] [PubMed]
- Giles, C.D.; Richardson, A.E.; Druschel, G.K.; Hill, J.E. Organic anion–driven solubilization of precipitated and sorbed phytate improves hydrolysis by phytases and bioavailability to Nicotiana tabacum. Soil Sci. 2012, 177, 591–598. [Google Scholar] [CrossRef]
- Reed, S.C.; Townsend, A.R.; Taylor, P.G.; Cleveland, C.C. Phosphorus cycling in tropical forests growing on highly weathered soils. In Phosphorus in Action; Springer: Berlin/Heidelberg, Germany, 2011; pp. 339–369. [Google Scholar]
- Pavinato, P.S.; Dao, T.H.; Rosolem, C.A. Tillage and phosphorus management effects on enzyme-labile bioactive phosphorus availability in Cerrado Oxisols. Geoderma 2010, 156, 207–215. [Google Scholar] [CrossRef]
- Fink, J.R.; Inda, A.V.; Bavaresco, J.; Barrón, V.; Torrent, J.; Bayer, C. Adsorption and desorption of phosphorus in subtropical soils as affected by management system and mineralogy. Soil Tillage Res. 2016, 155, 62–68. [Google Scholar] [CrossRef]
- Shulan, Z.; Yanan, T.O.N.G.; Dongli, L. Nitrate-N movement in the soil profile as influenced by rate and timing of nitrogen application. Acta Pedol. Sin. 2004, 41, 277–283. [Google Scholar]
- Edwards, J.H.; Wood, C.W.; Thurlow, D.L.; Ruf, M.E. Tillage and crop rotation effects on fertility status of a Hapludult soil. Soil Sci. Soc. Am. J. 1992, 56, 1577–1582. [Google Scholar] [CrossRef]
- Rubæk, G.H.; Kristensen, K.; Olesen, S.E.; Østergaard, H.S.; Heckrath, G. Phosphorus accumulation and spatial distribution in agricultural soils in Denmark. Geoderma 2013, 209, 241–250. [Google Scholar] [CrossRef]







Publisher’s Note: MDPI stays neutral with regard to jurisdictional claims in published maps and institutional affiliations. |
© 2022 by the authors. Licensee MDPI, Basel, Switzerland. This article is an open access article distributed under the terms and conditions of the Creative Commons Attribution (CC BY) license (https://creativecommons.org/licenses/by/4.0/).
Share and Cite
Vilakazi, B.S.; Zengeni, R.; Mafongoya, P. The Effects of Different Tillage Techniques and N Fertilizer Rates on Nitrogen and Phosphorus in Dry Land Agriculture. Agronomy 2022, 12, 2389. https://doi.org/10.3390/agronomy12102389
Vilakazi BS, Zengeni R, Mafongoya P. The Effects of Different Tillage Techniques and N Fertilizer Rates on Nitrogen and Phosphorus in Dry Land Agriculture. Agronomy. 2022; 12(10):2389. https://doi.org/10.3390/agronomy12102389
Chicago/Turabian StyleVilakazi, Bonginkosi S., Rebecca Zengeni, and Paramu Mafongoya. 2022. "The Effects of Different Tillage Techniques and N Fertilizer Rates on Nitrogen and Phosphorus in Dry Land Agriculture" Agronomy 12, no. 10: 2389. https://doi.org/10.3390/agronomy12102389
APA StyleVilakazi, B. S., Zengeni, R., & Mafongoya, P. (2022). The Effects of Different Tillage Techniques and N Fertilizer Rates on Nitrogen and Phosphorus in Dry Land Agriculture. Agronomy, 12(10), 2389. https://doi.org/10.3390/agronomy12102389
