Sustainability of the Soil Resource in Intensive Production with Organic Contributions
Abstract
:1. Introduction
2. Materials and Methods
2.1. Study Area
2.2. Collection of Soil Samples
2.3. Analysis of Poultry Manure, Water and Biofertilizer (Not Commercial)
2.4. Treatments with Organic Contributions (Solid and Liquid)
2.5. Soil and Plant Temperature and Normalized Differentiated Vegetation Index
2.6. Plant Sampling and Statical Analysis
3. Results
3.1. Soil Classification of Natural and Agricultural Soil
3.2. Natural and Agricultural Soil Analysis of Fertility
3.3. Organic Fertilizer (Poultry Manure)
3.4. Poultry Manure Leachate
3.5. Analysis of Irrigation Water (Deep Well)
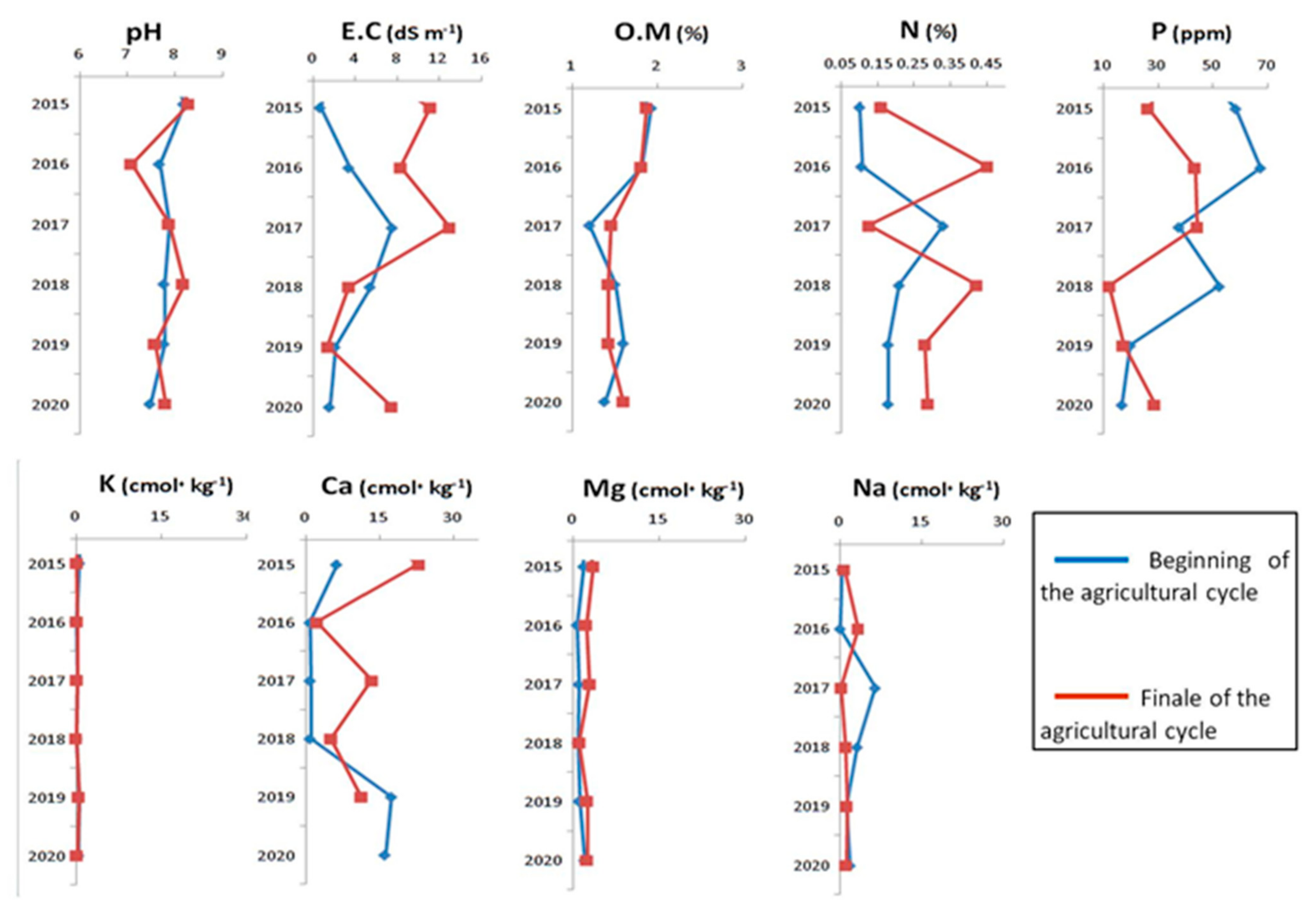
3.6. Chemical Analysis of Composite Samples of Soil
3.7. Normalized Differential Vegetation Index (NDVI) and Temperatures
3.8. Statistical Analysis
4. Discussion
5. Conclusions
Author Contributions
Funding
Institutional Review Board Statement
Informed Consent Statement
Data Availability Statement
Acknowledgments
Conflicts of Interest
References
- Fanigliulo, R.; Pochi, D.; Servadio, P. Conventional and conservation seedbed preparation systems for wheat planting in silty-clay soil. Sustainability 2021, 13, 6506. [Google Scholar] [CrossRef]
- IUSS Working Group WRB. Un Marco Conceptual para Clasificación, Correlación y Comunicación Internacional; World Reference Base for Soil Resources 2007, update 2008; Informes mundiales sobre recursos del suelo No. 103; FAO: Roma, Italy, 2008. [Google Scholar]
- Instituto Nacional de Estadística Geografía e Informática. Carta Edafológica Apodaca. Escala 1: 50,000; Clave G14C16; Entidad: Monterrey, Mexico, 1977.
- Gutiérrez-Castorena, E.V.; Gutiérrez-Castorena, M.C.; Ortiz-Solorio, C.A. Carbon capture and pedogenetic provesses by change of moisture regime and conventional tillage in Aridisols. Soil Tillage Res. 2015, 150, 114–123. [Google Scholar] [CrossRef]
- Jalali, M.; Jalali, M. Relation between various soil phosphorus extraction methods and sorption parameters in calcareous soils with different texture. Sci. Total Environ. 2016, 566–567, 1080–1093. [Google Scholar] [CrossRef] [PubMed]
- Machado, R.M.A.; Serralheiro, R.P. Soil Salinity: Effect on vegetable crop growth. Management practices to prevent and mitigate soil salinization. Horticulturae 2017, 3, 30. [Google Scholar] [CrossRef]
- Blaće, A.; Čuka, A.; Šiljković, Ž. How dynamic is organic? Spatial analysis of adopting new trends in Croatian agriculture. Land Use Policy 2020, 99, 105036. [Google Scholar] [CrossRef]
- Naveed, M.; Ditta, A.; Ahmad, M.; Mustafa, A.; Ahmad, Z.; Conde-Cid, M.; Tahir, S.; Ali-Shah, S.A.; Mohsin-Abrar, M.; Fahad, S. Processed animal manure improves morpho-physiological and biochemical characteristics of Brassica napus L. under nickel and salinity stress. Environ. Sci. Pollut. Res. 2021, 28, 45629–45645. [Google Scholar] [CrossRef]
- Ma, Q.; Wen, Y.; Ma, J.; Macdonald, A.; Hill, P.W.; Chadwick, D.R.; Wu, L.; Jones, D.L. Long-term farmyard manure application affects soil organics phosphorus cycling: A combined metagenomic and 33P/14C labell: Study. Soil Biol. Biochem. 2020, 149, 107959. [Google Scholar] [CrossRef]
- Ozores, M.H. Developing a Vegetable Fertility Program Using Organic Amendments and Inorganic Fertilizers. HortTechnology 2012, 22, 743–750. [Google Scholar] [CrossRef] [Green Version]
- Monsalve, C.O.I.; Gutiérrez, D.J.S.; Cardona, W.A. Factors involved in the process of nitrogen mineralization when organic amendments are added to a soil. A review. Rev. Colomb. Cienc. Agric. 2017, 11, 200–209. [Google Scholar] [CrossRef] [Green Version]
- Adekiya, A.O.; Agbede, T.M. Effect of methods and time of poultry manure application n soil and leaf nutrient concentrations, growth and fruit yield of tomato (Lycopersicon esculentum Mill). J. Saudi Soc. Agric. 2017, 16, 383–388. [Google Scholar] [CrossRef] [Green Version]
- Agbede, T.M.; Adekiya, A.O.; Eifediyi, E.K. Impact of poultry manure and N.P.K. fertilizer on soil physical properties and growth and yield of carrot. J. Hortic. Res. 2017, 25, 81–88. [Google Scholar] [CrossRef] [Green Version]
- Adekiya, A.O.; Agbede, T.M.; Aboyeji, C.M.; Dunsin, O.; Simeon, V.T. Effects of biochar and poultry manure on soil characteristics and the yield of radish. Sci. Hortic. 2019, 243, 457–463. [Google Scholar] [CrossRef] [Green Version]
- Arias-Hernández, A. Centro de Estudios para el Desarrollo Rural Sustentable y la Soberanía Alimentaria. CEDRSSA. Producción Orgánica en México. Dirección de Estudios Sobre Soberanía Alimentaria y Nueva Ruralidad. 2015, pp. 37–40. Available online: http://www.cedrssa.gob.mx/files/10/97Productos%20org%C3%A1nicos%20en%20M%C3%A9xico.pdf (accessed on 21 November 2021).
- Gómez Cruz, M.A.; Schwentesius Rindermann, R.; Ortigoza Rufino, J.; Gómez Tovar, L. Agricultura, Apicultura y Ganadería Orgánica en México 2009: Estado Actual-Retos-Tendencia. 2da edición. Universidad Autónoma de Chapingo. Consejo Nacional de Ciencia y Tecnología. México. 2010, pp. 21–35. Available online: https://docplayer.es/47930282-Agricultura-apicultura-y-ganaderia-organicas-de-mexico-estado-actual-retos-tendencias.html (accessed on 21 November 2021).
- Servicio de Información Agroalimentaria y Pesquera. Situación Actual y Perspectivas del Maíz en México 1996–2012; SIAP: Ciudad de México, Mexico, 2010; pp. 12–13.
- García, F.O. Criterios para el Manejo de la Fertilización del Cultivo de Maíz. INPOFOS. Jornada Maíz 2005. Capacitación Agropecuaria. Córdoba, 1 July 2005. Available online: https://www.profertil.com.ar/wp-content/uploads/2020/08/nutricion-en-el-cultivo-de-maiz-ipni-f-garcia-2005.pdf (accessed on 21 November 2021).
- Borck, C.; Jackson-Smith, D.; Kumarappan, S.; Culman, S.; Herms, C.; Doohan, D. Organic corn production practices and profitability in the Eastern, U.S. corn belt. Sustainability 2021, 13, 8682. [Google Scholar] [CrossRef]
- Jones, C.N.; Weckler, P.R.; Maness, N.O.; Jayasekara, R.; Stone, M.L.; Chrz, D. Remote sensing to estimate chlorophyll concentration in spinach using multi-spectral plant reflectance. Trans. ASABE 2007, 50, 2267–2273. [Google Scholar] [CrossRef]
- Ali, A.M.; Thind, H.S.; Singh, V.; Singh, B. A framework for refining nitrogen management in dry direct-seeded rice using GreenSeekerTM optical sensor. Comput. Electron. Agric. 2015, 110, 114–120. [Google Scholar] [CrossRef]
- Maresma, A.; Chamberlaiin, L.; Tagarakis, A.; Kharel, T.; Godwin, G.; Czymmek, K.J.; Shelds, E.; Ketterings, Q.M. Accuracy of NDVI-derived corn yield predictions is impacted by time of sensing. Comput. Electron. Agric. 2020, 169, 105236. [Google Scholar] [CrossRef]
- Chuvieco, E. Fundamentos de Teledetección Espacial, 3rd ed.; Ediciones Rialp: Madrid, Spain, 1996; pp. 339–340. [Google Scholar]
- Awad, M.M. An innovative intelligent system based on remote sensing and mathematical models for improving crop yield estimation. Inf. Process. Agric. 2019, 6, 316–325. [Google Scholar] [CrossRef]
- Karantzalos, K.; Karmas, A.; Tzotsos, A. Monitoring crop growth and key agronomic parameters through multitemporal observations and time series analysis from remote sensing big data. Adv. Anim. Biosci. 2017, 8, 394–399. [Google Scholar] [CrossRef]
- Wang, J.; Rich, P.M.; Price, K.P. Temporal responses of N.D.V.I. to precipitation and temperature in the central Great Plains, EE.UU. Int. J. Remote Sens. 2003, 24, 2345–2364. [Google Scholar] [CrossRef]
- Van Reeuwijk, L.P. Procedures for Soil Analysis, 6th ed.; International Soil Reference and Information: Wageningen, The Netherlands, 2002; No. 9. [Google Scholar]
- Schoeneberger, P.J.; Wysocki, D.A.; Benham, E.C.; Broderson, W.D. Field Book for Describing and Sampling Soils, Version 2.0; Natural Resources Conservation Service, National Soil Survey Center: Lincoln, NE, USA, 2002; pp. 13–141.
- IUSS Working Group WRB. International Soil Classification System for Naming Soils and Creating Legends for Soil Maps; World Reference Base for Soil Resources 2014; World Soil Resources Reports No. 106; FAO: Rome, Italy, 2015. [Google Scholar]
- Van Wambeke, A.R. The Newhall Simulation Model for Estimating Soil Moisture and Temperature Regimes; Department of Crop Sciences, Cornell University: Ithaca, NY, USA, 2000. [Google Scholar]
- Ayers, R.S.; Westcot, D.W. Water Quality for Agriculture; FAO Irrigation and Drainage Paper. 29. Rev. 1; FAO: Roma, Italy, 1994. [Google Scholar]
- Díaz García-Cervigón, J.J. Estudio de Índices de Vegetación a Partir de Imágenes Aéreas Tomadas desde UAS/RPAS y Aplicaciones de Estos a la Agricultura de Precisión. Máster’s Thesis, Universidad Complutense de Madrid, Facultad de Geografía e Historia, Madrid, Spain, June 2015; pp. 42–43. [Google Scholar]
- Pérez de Azpeitia, F.I.P. La termografía infrarroja: Un sorprendente recurso para la enseñanza de la física y la química. Rev. Eureka Enseñ. Divulg. Cienc. 2016, 13, 617–627. [Google Scholar] [CrossRef]
- Memon, S.A.; Hou, X.; Wang, L.J. Morphological analysis of salt stress response of pack Choi Electron. J. Environ. Agric. Food Sci. 2010, 9, 248–254. [Google Scholar]
- Richards, L.A. Diagnosis and Improvement of Saline and Alkaline Soils; Handbook No. 60; U.S.D.A.: Washington, DC, USA, 1954. [Google Scholar]
- Charman, P.E.V.; Murphy, B.W. Soils. Their Properties and Management, 3rd ed.; Oxford University Press: Melbourne, Australia, 2007; pp. 276–285. [Google Scholar]
- Bruce, R.C.; Rayment, G.E. Analytical Methods and Interpretations Used by the Agricultural Chemistry Branch for Soil and Land Use Surveys; Queensland Department of Primary Industries: Brisbane, Australia, 1982.
- Holford, I.C.R.; Cullis, B.R. Effects of phosphate buffer capacity on yield response curvature and fertilizer requirements of wheat in relation to soil phosphate test. Aust. J. Soil Res. 1985, 23, 417–427. [Google Scholar] [CrossRef]
- Metson, A.J. Methods of Chemical Analysis for Soil Survey Samples; Soil Burear Bulletin No. 12; New Zealand Department of Scientific and Industrial Research, Government Printer: Wellington, New Zealand, 1961; p. 171.
- Rayne, N.; Aula, L. Livestock manure and the impacts on soil health: A review. Soil Syst. 2020, 4, 64. [Google Scholar] [CrossRef]
- Cruz-Hernández, J.; Acevedo-Alcalá, P.; Cruz-López, V.; Báez-Cruz, C.G. Preselección de fertilizantes orgánicos líquidos para agricultura ecológica por baja fitoxicidad. In Proceedings of the XI Congreso de la Sociedad Española de Agricultura Ecológica, Agricultura Ecológica Familia, Vitoria-Gasteiz, Spain, 4 October 2014. [Google Scholar]
- Lin, Y.; Watts, D.B.; Van-Santen, E.; Cao, G. Influence of poultry litter on crop productivity under different field conditions: A meta-analysis. Agron. J. 2018, 110, 807–818. [Google Scholar] [CrossRef]
- Watts, D.B.; Torbert, H.A.; Prior, S.A.; Huluka, G. Long-Term Tillage and Poultry litter impacts soil carbon and nitrogen mineralization and fertility. Soil Sci. Soc. Am. J. 2010, 74, 1239–1247. [Google Scholar] [CrossRef] [Green Version]
- Gamarra-Lezcano, C.C.; Díaz-Lezcano, M.I.; Vera-Ortiz, M.; Pilar-Galeano, M.; Cabrera-Cardúa, A.J. Relación carbono-nitrógeno en suelos sistemas silvopastoriles del Chaco paraguayo. Rev. Mex. Cienc. For. 2018, 9, 4–26. [Google Scholar] [CrossRef]
- Tejada, M.; Benitez, C.; Gonzalez, J.L. Nitrogen mineralization in soil with conventional and Organo mineral fertilization practices. Commun. Soil Sci. Planta Anal. 2002, 33, 3679–3702. [Google Scholar] [CrossRef]
- Dalias, P.; Christou, A. Nitrogen supplying capacity of animal manures to the sol in relation to the length of their storage. Nitrogen 2020, 1, 52–66. [Google Scholar] [CrossRef]
- Alcántar-González, G.; Tejo-Téllez, L.I.; Gómez-Merino, F.C. Nutrición de Cultivos, 2nd ed.; Editorial del Colegio de Postgraduados: Texcoco, México, 2016. [Google Scholar]
- Hoover, N.L.; Law, J.Y.M.; Long, L.A.; Kanwar, R.S.; Soupir, M.L. Long-term impact of poultry manure on crop yield, soil and water quality, and crop revenue. J. Environ. Manag. 2019, 252, 109582. [Google Scholar] [CrossRef]
- Pla Sentís, I. Overview of salt-affected areas in latin america: Physical, social and economic perspectives. In Saline and Alkaline Soils in Latin America; Springer International Publishing: Cham, Switzerland, 2020; pp. 3–36. [Google Scholar] [CrossRef]
- Chamak, S.; Tahgvaeian, S.; Zhang, H.; Warren, J.G. Soil salinity variations in an irrigation scheme during a period of extreme dry and wet cycles. Soil Syst. 2019, 3, 35. [Google Scholar] [CrossRef] [Green Version]
- Alvarez, S.; Sánchez-Blanco, M.J. Long-term effect of salinity on plant quality, water relations, photosynthetic parameters and on distribution in Callistemon citrus. Plant Biol. 2013, 16, 757–764. [Google Scholar] [CrossRef] [PubMed] [Green Version]
- Maiti, R.K.; Satya, P. Research advances in major cereal crops for adaptation to abiotic stresses. Biotechnol. Agric. Food Chan. 2014, 5, 259–279. [Google Scholar] [CrossRef] [PubMed] [Green Version]
- Steiner, C.; Teixeira, W.G.; Lehmann, J.; Nehls, T.; Vasconcelos, J.L.; Blum, W.E.H.; Zech, W. Long term effects of manure, charcoal and mineral fertilization on crop production and fertility on a highly weathered central amazonian upland soil. Plant Soil 2007, 291, 275–290. [Google Scholar] [CrossRef] [Green Version]
- Reche-Mármol, J. Agua, Suelo y Fertiirrigación de Cultivos Hortícolas en Invernadero; Ministerio de Medio Ambiente y Medio Rural y Marino: Madrid, Spain, 2008; pp. 168–171.
- Poblete-Grant, P.; Biron, P.; Barac, T.; Cartes, P.; Luz-Mora, M.; Rumpel, C. Synergistic and antagonistic effects of poultry manure and phosphate rock on soil P availability, ryegrass production, and P uptake. Agronomy 2019, 9, 191. [Google Scholar] [CrossRef] [Green Version]
- Inal, A.; Gunes, A.; Sahin, O.M.; Taskin, M.B.; Kaya, E.C. Impacts of biochar and processed poultry manure, applied to a calcareous soil, on the growth of bean and maize. Soil Use Manag. 2015, 31, 106–113. [Google Scholar] [CrossRef]
- Yeoman, S.; Stephenson, T.; Lester, J.; Lester, J.N.; Perry, R. The removal of phosphorus during waste treatment: A review. Environ. Pollut. 1998, 49, 183–233. [Google Scholar] [CrossRef]
- Tunesi, S.; Poggi, V.; Gessa, C. Phosphate adsorption and precipitation n calcareous soil: The role calcium ions in solution and carbonate minerals. Nutr. Cycl. Agroecosyst. 1999, 53, 219–227. [Google Scholar] [CrossRef]
- Hoover, N.L.; Kanwar, R.; Soupir, M.L.; Pederson, C. Effects of poultry manure application on phosphorus in soil and tile drain water under a corn-soybean rotation. Water Air Soil Pollut. 2015, 226, 138. [Google Scholar] [CrossRef] [Green Version]
- Taiwo, A.A.; Adetunji, M.T.; Azeez, J.O.; Elemo, K.O. Kinetics of potassium release and fixation on some soils on Ogun Stat, Southwestern, Nigeria as influenced by organic manure. Int. J. Recycl. Org. Waste Agric. 2018, 7, 251–259. [Google Scholar] [CrossRef] [Green Version]
- Rahem-Bader, B.; Kadhim-Taban, S.; Hasan-Fahmi, A.; Ali-Abood, M.; Jaafar-Hamdi, G. Potassium availability in soil amended with organic matter and phosphorous fertilizer under water stress during maize (Zea mays L.) growth. J. Saudi Soc. Agric. Sci. 2021, 20, 390–394. [Google Scholar] [CrossRef]
- Hassan, S.M.; Ashour, M.; Sakai, N.; Zhang, L.; Hassanien, H.A.; Gaber, A.; Ammar, G. Impact of seaweed liquid extract biostimulant of growth, yield, and chemical composition of cucumber (cucumis sativus). Agriculture 2021, 11, 320. [Google Scholar] [CrossRef]
- Ali, M.M.W.; Petropoulos, S.A.; Selim, D.A.F.H.; Elbagory, M.; Othman, M.M.; Omara, A.E.D.; Mohamed, M.H. Plant growth, yield and quality of potato crop in relation to potassium fertilization. Agronomy 2021, 11, 675. [Google Scholar] [CrossRef]
- De la Casa, A.; Ovando, G. Integración del Índice de la Diferencia normalizada (NDVI) y del ciclo fenológico del maíz para estimar el rendimiento a escala departamental en Córdoba, Argentina. Agric. Tec. 2007, 67, 362–371. [Google Scholar] [CrossRef] [Green Version]
- Korner, C. Alpine Plant Life: Functional Plant Ecology of High Mountain Ecosystems, 2nd ed.; Springer: Berlin/Heidelberg, Germany, 2003. [Google Scholar]
- Fischer, G.; Torres-Carvajal, F.; Torres-Bazurto, J. Efecto de la temperatura del suelo sobre la planta: Crecimiento y desarrollo. Rev. Comalfi 1996, 24, 78–92. [Google Scholar]
- Shahzad, H.; Ullah, S.; Iqbal, M.; Bilal, H.M.; Ahmad, S.; Zakr, A.; Ditta, A.; Farooqi, M.A.; Ahmad, I. Salinity types and level-base effects on the growth, physiology and nutrient contents of maize (Zea mays). Ital. J. Agron. 2019, 14, 199–207. [Google Scholar] [CrossRef] [Green Version]
- Knapp, A.K.; Carte, G.A. Variability in leaf optical properties among 26 species from a broad range of habitats. Am. J. Bot. 1998, 85, 941–946. [Google Scholar] [CrossRef] [Green Version]
- Fabbri, C.; Napoli, M.; Verdi, L.; Mancini, M.; Orlandini, S.; Marta, A.D. A sustainability Assessment of the Greenseeker N management tool: A lysimetric experiment Barley. Sustainability 2020, 12, 7303. [Google Scholar] [CrossRef]
- Sharma, L.K.; Bu, H.; Denton, A.; Franzen, D.W. Active-Optical Sensors Using Red N.D.V.I. Compared to Red Edge NDV for Prediction of Corn Grain Yield in North Dakota, U.S.A. Sensors 2015, 15, 27832–27853. [Google Scholar] [CrossRef]
- Zhang, J.; Liu, X.; Liang, Y.; Cao, Q.; Tian, Y.; Zhu, Y.; Cao, W.; Liu, X. Using a portable active sensor to monitor growth parameters and predict grain yield of winter wheat. Sensors 2019, 19, 1108. [Google Scholar] [CrossRef] [Green Version]
- Medina-Litardo, R.C.; García-Bendezú, S.J.; Carrillo-Zenteno, M.D.; Pérez-Almeida, I.B.; Parismoreno, L.L.; Lombeida García, E.D. Effect of mineral and organic amendments on rice growth and yield in saline soils. J. Saudi Soc. Agric. Sci. 2021; in press. [Google Scholar] [CrossRef]
- Calderon-Paniagua, N.; Estrada-Luna, A.A.; Martínez Hernández, J.J. Efecto de la salinidad en el crecimiento y absorción nutrimental de plantas micropropagadas de nopal (Opuntia spp.). Rev. Chapingo Ser. Cienc. For. Ambient. 2001, 7, 127–132. [Google Scholar]












| Nomenclature | Area Experimental (m2) /9 Replications (m 2) | Organic Application at Sowing | + | Organic Contribution during Growing Season | + | Foliar Application with AP® |
|---|---|---|---|---|---|---|
| TA/Fd0 | 93/160 | 4 t ha−1 of PM | 160 L 80 m2 OML | NA | ||
| TA/Fd1 | 46.67/420 | 1.4 L ha−1 | ||||
| TA/Fd2 | 46.67/420 | 2.9 L ha−1 | ||||
| TB/Fd0 | 93/160 | 6.0 L ha−1 de AS® | NA | |||
| TB/Fd1 | 46.67/420 | 1.4 L ha−1 | ||||
| TB/Fd2 | 46.67/420 | 2.9 L ha−1 | ||||
| TC/Fd0 | 93/160 | 4 t ha−1 de PM | NA | |||
| TC/Fd1 | 46.67/420 | 1.4 L ha−1 | ||||
| TC/Fd2 | 46.67/420 | 2.9 L ha−1 | ||||
| TD/Fd0C | 93/160 | NA | NA | |||
| TD/Fd1 | 46.67/420 | 1.4 L ha−1 | ||||
| TD/Fd2 | 46.67/420 | 2.9 L ha−1 |
| Horizon | Depth | Soil Texture | Soil Textural Classes | Bulk Density | Munsell Color | pH | N | ||||
| Sand | Silt | Clay | H2O | ||||||||
| (cm) | (%) | (g cm−3) | Dry | Moist | 2:1 | (ppm) | |||||
| A | 0–8 | 9.7 | 73.6 | 16.8 | Silt loam | 0.82 | 7.5YR4/3 | 10YR3/3 | 6.9 | 1.123 | |
| 2Bk1 2Bk2 | 8–60 | 4.6 | 62.8 | 32.6 | Silty clay loam | 1.40 | 10YR 5/3 | 10YR3/3 | 7.7 | 0.116 | |
| Horizon | OC | OM | CaCO3 | P | CEC | Exchangeable Cations | PBS | ||||
| Olsen | NH4Oc, 1N−7 | (cmol(+) kg−1) | |||||||||
| (%) | (Mg/kg−1) | (cmol(+) kg−1) | Ca++ | Mg++ | K+ | Na+ | % | ||||
| A | 10.45 | 18.02 | 16.4 | 130 | 32.26 | 11.43 | 2.72 | 1.14 | 0.46 | 48.82 | |
| 2Bk1 2Bk2 | 0.75 | 1.29 | 20.7 | 38.5 | 17.66 | 3.75 | 1.01 | 0.83 | 0.39 | 33.86 | |
| Horizon | Depth (cm) | Soil Texture | Soil Textural Classes | Bulk Density (g-cm−3) | Munsell Color | pH H2O 2:01 | N (ppm) | |||
| Sand | Silt | Clay | ||||||||
| (%) | Dry | Moist | ||||||||
| Ap | 0—20 | 9 | 65.3 | 25.8 | Silt loam | 1.47 | 2.5Y6/2 | 10YR5/4 | 8.2 | 0.102 |
| Bwk | 20–38/44 | 10.2 | 65.6 | 23.9 | Silt loam | 1.43 | 2.5Y6/3 | 10YR4/4 | 8.2 | 0.082 |
| Bk1 | 38/44–89 | 7.6 | 67.8 | 24.5 | Silt loam | 1.39 | 2.5Y7/3 | 10YR5/4 | 8.1 | 0.054 |
| Bk2 | 89–120 | 28.6 | 47.4 | 23.9 | Loam | 1.53 | 2.5Y7/3 | 10YR5/4 | 8 | 0.034 |
| Horizon | OC | OM | CaCO3 | P | CEC | Exchangeable Cations | PBS | |||
| Olsen | NH4Oc, 1N−7 | (cmol(+) kg−1) | ||||||||
| (%) | (mg/kg−1) | (cmol(+) kg−1) | Ca++ | Mg++ | K+ | Na+ | (%) | |||
| Ap | 1.12 | 1.93 | 18.1 | 58.5 | 13.44 | 6.54 | 1.94 | 0.67 | 0.44 | 71.35 |
| Bwk | 0.75 | 7.29 | 16.4 | 51.7 | 8.64 | 4.61 | 1.06 | 0.66 | 0.44 | 78.36 |
| Bk1 | 0.52 | 0.9 | 16.2 | 16.5 | 12.1 | 3.17 | 1.38 | 0.35 | 0.42 | 43.97 |
| Bk2 | 0.6 | 1.03 | 16.2 | 13.7 | 9.6 | 4.64 | 1.01 | 0.35 | 0.5 | 67.71 |
| Soil | Depth | pH | EC | O.M. | N | P | K+ | Ca2+ | Mg2+ | Na+ |
|---|---|---|---|---|---|---|---|---|---|---|
| (cm) | (dS m−1) | (%) | (kg ha−1) | (cmol+ kg−1) | ||||||
| NS | 0–8 | 6.9 | 0.77 | 10.45 | 140 | 130 | 1.13 | 11.42 | 2.71 | 0.46 |
| 8–30 | 7.7 | 2.18 | 0.75 | 70 | 38.5 | 0.82 | 3.75 | 1.32 | 0.39 | |
| AOS | 0–21 | 8.2 | 0.79 | 1.12 | 62.9 | 58.5 | 0.66 | 6.53 | 1.93 | 0.44 |
| 21–43 | 8.2 | 0.85 | 0.75 | 51.5 | 51.7 | 0.64 | 4.60 | 1.05 | 0.44 | |
| 43–89 | 8.1 | 0.66 | 0.52 | 69 | 16.5 | 0.34 | 3.16 | 1.13 | 0.42 | |
| 89–120 | 8.0 | 1.20 | 0.60 | 32.2 | 13.7 | 0.34 | 4.63 | 1.00 | 0.50 | |
| pH | EC | N | P | K | Ca | Mg | Na | |
| Units | (dS m−1) | (%) | ||||||
| Dry | 6.9 | 19.0 | 4.4 | 2.4 | 2.8 | 8.5 | 1.5 | 0.7 |
| Processed | 7.3 ± 0.3 | 16.9 ± 1.2 | 2.1 ± 0.7 | 2.9 ± 0.4 | 3.6 ± 1.0 | 12.0 ± 1.6 | 1.5 ± 0.5 | 0.8 ± 0.1 |
| S | Fe | Mn | Zn | B | OM | OC | C/N | |
| Units | (ppm) | (%) | ||||||
| Dry | 1.60 | 2654 | 486 | 380 | 40.8 | 48.9 | 28.4 | 6.37 |
| Processed | 1.2 ± 0.3 | 4265.8 ± 1497.3 | 651.2 ± 92.2 | 0.8 ± 77.4 | 50.0 ± 10.9 | 40.9 ± 2.0 | 22.0 ± 3.6 | 9.2 ± 1.4 |
| Biofertilizers (Noncommercial) | N | P | K+ | Ca2+ | Mg2+ | Na+ |
|---|---|---|---|---|---|---|
| (%) | (ppm) | (me L−1) | ||||
| Activa-planta | 1.0 | 221.9 | 542.1 | 41.4 | 50.3 | 195.7 |
| Activa-suelo | 1.0 | 66.1 | 300.2 | 22.9 | 38.8 | 117.5 |
| Chemical Analysis | pH | E. C. | Anions | Cations | |||||||
|---|---|---|---|---|---|---|---|---|---|---|---|
| CaCO3 | HCO3− | Cl− | SO42− | Ca2+ | Mg2+ | Na+ | K+ | NO3− | |||
| (dS m−1) | (me L−1) | (me L−1) | |||||||||
| Results | 6.5 | 4.43 | 0.00 | 9.28 | 23.2 | 26.44 | 11.48 | 7.71 | 39.72 | 0.01 | 0.81 |
Publisher’s Note: MDPI stays neutral with regard to jurisdictional claims in published maps and institutional affiliations. |
© 2021 by the authors. Licensee MDPI, Basel, Switzerland. This article is an open access article distributed under the terms and conditions of the Creative Commons Attribution (CC BY) license (https://creativecommons.org/licenses/by/4.0/).
Share and Cite
Gaytán Martínez, F.D.; Gutiérrez Castorena, E.V.; Encinia Uribe, V.V.; Vázquez Alvarado, R.E.; Olivares Sáenz, E.; Gutiérrez Castorena, M.d.C. Sustainability of the Soil Resource in Intensive Production with Organic Contributions. Agronomy 2022, 12, 67. https://doi.org/10.3390/agronomy12010067
Gaytán Martínez FD, Gutiérrez Castorena EV, Encinia Uribe VV, Vázquez Alvarado RE, Olivares Sáenz E, Gutiérrez Castorena MdC. Sustainability of the Soil Resource in Intensive Production with Organic Contributions. Agronomy. 2022; 12(1):67. https://doi.org/10.3390/agronomy12010067
Chicago/Turabian StyleGaytán Martínez, Francia Deyanira, Edgar Vladimir Gutiérrez Castorena, Vicente Vidal Encinia Uribe, Rigoberto Eustacio Vázquez Alvarado, Emilio Olivares Sáenz, and Ma. del Carmen Gutiérrez Castorena. 2022. "Sustainability of the Soil Resource in Intensive Production with Organic Contributions" Agronomy 12, no. 1: 67. https://doi.org/10.3390/agronomy12010067
APA StyleGaytán Martínez, F. D., Gutiérrez Castorena, E. V., Encinia Uribe, V. V., Vázquez Alvarado, R. E., Olivares Sáenz, E., & Gutiérrez Castorena, M. d. C. (2022). Sustainability of the Soil Resource in Intensive Production with Organic Contributions. Agronomy, 12(1), 67. https://doi.org/10.3390/agronomy12010067

