Parameterization and Calibration of Wild Blueberry Machine Learning Models to Predict Fruit-Set in the Northeast China Bog Blueberry Agroecosystem
Abstract
1. Introduction
2. Materials and Methods
2.1. Overview
2.1.1. Study Area
2.1.2. Datasets and Simulation Data
2.1.3. Empirical Data
2.1.4. Feature Selection
2.2. Model Development
2.2.1. Multiple Linear Regression (MLR)
2.2.2. Support Vector Regression (SVR)
2.2.3. K-Nearest Neighbor (K-NN)
2.2.4. Decision Trees (DT)
2.2.5. Random Forest (RF)
2.2.6. Adaptive Boosting (AdaBoost)
2.2.7. Gradient Boosting Decision Tree (GBDT)
2.2.8. Artificial Neural Networks (ANN)
2.2.9. eXtreme Gradient Boosting (XGBoost)
2.3. Model Evaluation and Selection
2.4. Model Calibration and Validation
2.5. Prediction Applications
2.5.1. Bog Blueberry Fruit-Set in Various Weather Conditions during Bloom
2.5.2. Geographical Pattern of Bog Blueberry Fruit-Set Change
2.5.3. Bee Density Enhancement for Compensating Bog Blueberry Fruit-Set Decline
3. Results
3.1. Metamodel Formulation and Selection
3.2. Metamodel Calibration and Validation
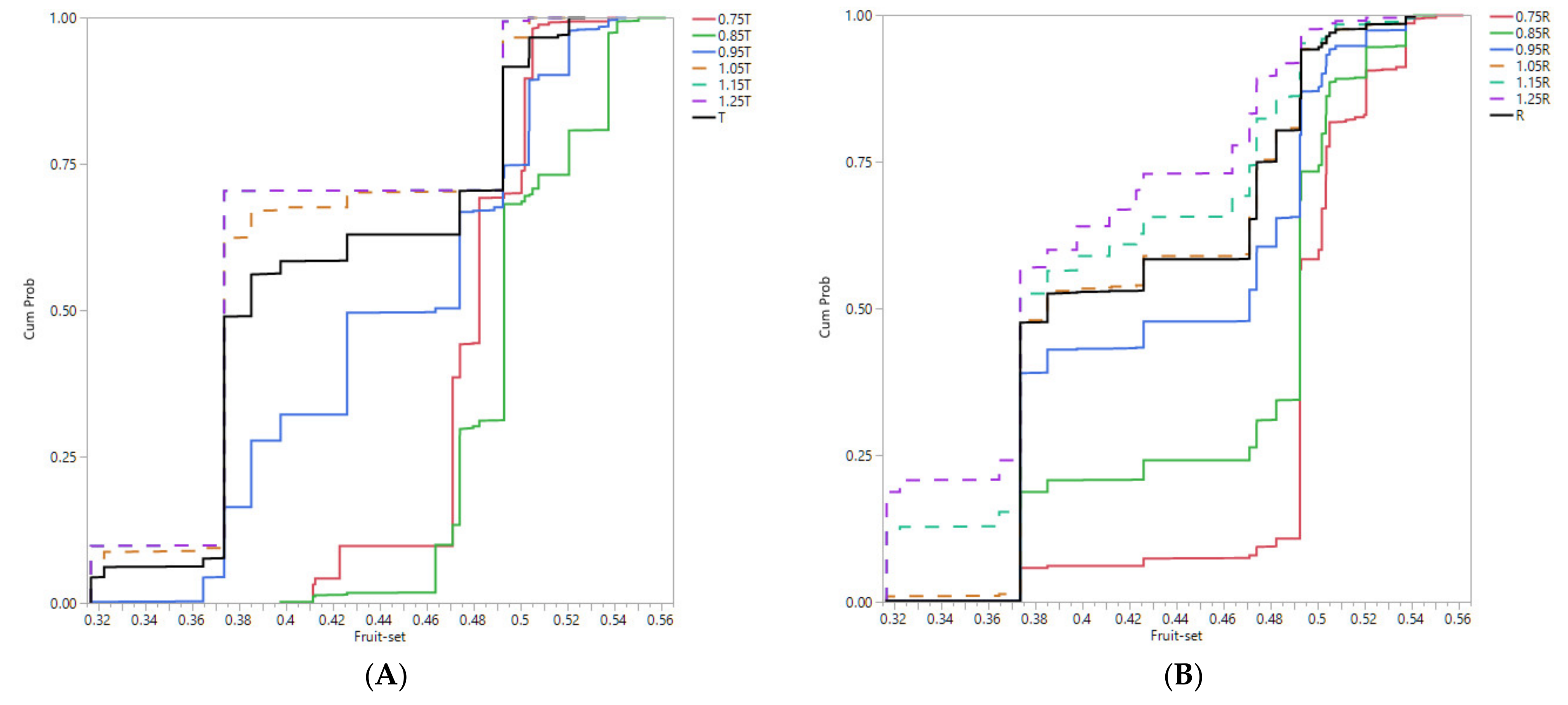
3.3. Bog Blueberry Fruit-Set Predictions
4. Discussion
4.1. Modelling Approach and Interpretation
4.2. Practical Implications of Model Prediction
5. Conclusions
Supplementary Materials
Author Contributions
Funding
Institutional Review Board Statement
Informed Consent Statement
Data Availability Statement
Acknowledgments
Conflicts of Interest
Appendix A

| 0.75T + R | 0.85T + R | 0.95T + R | Baseline (T + R) | 1.05T + R | 1.15T + R | 1.25T + R | |
|---|---|---|---|---|---|---|---|
| Latitude | 0.211 (p = 0.009) | 0.046 (p = 0.579) | 0.233 (p = 0.004) | 0.344 (p <0.001) | 0.348 (p <0.001) | 0.245 (p = 0.003) | 0.245 (p = 0.003) |
| Longitude | −0.244 (p = 0.003) | 0.005 (p = 0.947) | −0.101 (p = 0.219) | −0.274 (p = 0.001) | −0.217 (p = 0.007) | −0.190 (p = 0.020) | −0.190 (p = 0.020) |
| T + 0.75R | T + 0.85R | T + 0.95R | Baseline (T + R) | T + 1.05R | T + 1.15R | T + 1.25R | |
|---|---|---|---|---|---|---|---|
| Latitude | 0.089 (p = 0.279) | 0.139 (p = 0.088) | 0.193 (p = 0.018) | 0.344 (p < 0.001) | 0.324 (p < 0.001) | 0.303 (p < 0.001) | 0.374 (p < 0.001) |
| Longitude | −0.103 (p = 0.208) | −0.393 (p < 0.001) | −0.376 (p < 0.001) | −0.274 (p = 0.001) | −0.263 (p < 0.001) | −0.260 (p < 0.001) | −0.488 (p < 0.001) |
References
- Holloway, P.S. Managing Wild Bog Blueberry, Lingonberry, Cloudberry and Crowberry Stands in Alaska. Scholarworks. 2006. Available online: http://hdl.handle.net/11122/2828 (accessed on 25 August 2021).
- Parkinson, L.V.; Mulder, C.P. Patterns of pollen and resource limitation of fruit production in Vaccinium uliginosum and V. vitis-idaea in Interior Alaska. PLoS ONE 2020, 15, e0224056. [Google Scholar] [CrossRef]
- Su, S.; Wang, L.; Wu, J.; Li, B.; Wang, W.; Wang, L. Chemical compositions and functions of Vaccinium uliginosum. Chin. J. Bot. 2016, 51, 691. [Google Scholar]
- Li, Y.; Yu, H. The current status and future of the blueberry industry in China. Acta Hortic. 2009, 810, 445–456. [Google Scholar]
- Jiafeng, J.; Jiguang, W.; Hong, Y.; Shan’an, H. The developing blueberry industry in China. In Modern Fruit Industry; IntechOpen: London, UK, 2019. [Google Scholar]
- Aras, P.; De Oliveira, D.; Savoie, L. Effect of a honey bee (Hymenoptera: Apidae) gradient on the pollination and yield of lowbush blueberry. J. Econ. Entomol. 1996, 89, 1080–1083. [Google Scholar] [CrossRef]
- Asare, E.; Hoshide, A.K.; Drummond, F.A.; Criner, G.K.; Chen, X. Economic risk of bee pollination in Maine wild blueberry, Vaccinium angustifolium. J. Econ. Entomol. 2017, 110, 1980–1992. [Google Scholar] [CrossRef]
- Bushmann, S.L.; Drummond, F.A. Analysis of Pollination Services Provided by Wild and Managed Bees (Apoidea) in Wild Blueberry (Vaccinium angustifolium Aiton) Production in Maine, USA, with a Literature Review. J. Agron. 2020, 10, 1413. [Google Scholar] [CrossRef]
- Drummond, F.A. Behavior of bees associated with the wild blueberry agro-ecosystem in the USA. Int. J. Entomol. Nematol. 2016, 2, 21–26. [Google Scholar]
- Javorek, S.K.; Mackenzie, K.E.; Vander Kloet, S. Comparative pollination effectiveness among bees (Hymenoptera: Apoidea) on lowbush blueberry (Ericaceae: Vaccinium angustifolium). Ann. Entomol. Soc. Am. 2002, 95, 345–351. [Google Scholar] [CrossRef]
- Urbanowicz, C.; Virginia, R.A.; Irwin, R.E. Pollen limitation and reproduction of three plant species across a temperature gradient in western Greenland. Arct. Antarct. Alp. Res. 2018, 50, S100022. [Google Scholar] [CrossRef]
- White, S.N.; Boyd, N.S.; Van Acker, R.C. Growing degree-day models for predicting lowbush blueberry (Vaccinium angustifolium Ait.) ramet emergence, tip dieback, and flowering in Nova Scotia, Canada. HortScience 2012, 47, 1014–1021. [Google Scholar] [CrossRef]
- Tasnim, R.; Drummond, F.; Zhang, Y.-J. Climate Change Patterns of Wild Blueberry Fields in Downeast, Maine over the Past 40 Years. Water 2021, 13, 594. [Google Scholar] [CrossRef]
- Russell, J.C.; Lecomte, V.; Dumont, Y.; Le Corre, M. Intraguild predation and mesopredator release effect on long-lived prey. Ecol. Model. 2009, 220, 1098–1104. [Google Scholar] [CrossRef]
- Qu, H.; Drummond, F. Simulation-based modeling of wild blueberry pollination. Comput. Electron. Agric. 2018, 144, 94–101. [Google Scholar] [CrossRef]
- Eaton, L.J.; Nams, V.O. Honey bee stocking numbers and wild blueberry production in Nova Scotia. Can. J. Plant Sci. 2012, 92, 1305–1310. [Google Scholar] [CrossRef]
- Kirk, A.K.; Isaacs, R. Predicting flower phenology and viability of highbush blueberry. HortScience 2012, 47, 1291–1296. [Google Scholar] [CrossRef]
- Yarborough, D.E. Factors Contributing to the Increase in Productivity in the Wild Blueberry Industry. Small Fruits Rev. 2004, 3, 33–43. [Google Scholar] [CrossRef]
- Qu, H.; Seifan, T.; Tielbörger, K.; Seifan, M. A spatially explicit agent-based simulation platform for investigating effects of shared pollination service on ecological communities. Simul. Model Pract. Theory 2013, 37, 107–124. [Google Scholar] [CrossRef]
- Koirala, A.; Walsh, K.B.; Wang, Z.; McCarthy, C. Deep learning–Method overview and review of use for fruit detection and yield estimation. Comput. Electron. Agric. 2019, 162, 219–234. [Google Scholar] [CrossRef]
- Sirsat, M.S.; Mendes-Moreira, J.; Ferreira, C.; Cunha, M. Machine Learning predictive model of grapevine yield based on agroclimatic patterns. Eng. Agric. Environ. Food 2019, 12, 443–450. [Google Scholar] [CrossRef]
- Chlingaryan, A.; Sukkarieh, S.; Whelan, B. Machine learning approaches for crop yield prediction and nitrogen status estimation in precision agriculture: A review. Comput. Electron. Agric. 2018, 151, 61–69. [Google Scholar] [CrossRef]
- Zhou, Z.-H. Learnware: On the future of machine learning. Front. Comput. Sci. 2016, 10, 589–590. [Google Scholar] [CrossRef]
- Shahhosseini, M.; Martinez-Feria, R.A.; Hu, G.; Archontoulis, S.V. Maize yield and nitrate loss prediction with machine learning algorithms. Environ. Res. Lett. 2019, 14, 124026. [Google Scholar] [CrossRef]
- Sun, B. Territory and Natural Resources Study. Territ. Nat. Resour. Stud. 2019, 1, 83–87. [Google Scholar]
- Yarborough, D.; Drummond, F.; Annis, S.; D’Appollonio, J. In Maine wild blueberry systems analysis. In Proceedings of the XI International Vaccinium Symposium 1180, Orlando, FL, USA, 10–14 April 2016; pp. 151–160. [Google Scholar]
- Yarborough, D. In Improving Northern bilberry (Vaccinium uliginosum) production. In Proceedings of the X International Symposium on Vaccinium and Other Superfruits 1017, Maastricht, The Netherlands, 17–22 June 2012; pp. 223–229. [Google Scholar]
- Bell, D.J.; Rowland, L.J.; Stommel, J.; Drummond, F.A. Yield variation among clones of lowbush blueberry as a function of genetic similarity and self-compatibility. J. Am. Soc. Hortic. 2010, 135, 259–270. [Google Scholar] [CrossRef]
- Alsos, I.G.; Engelskjøn, T.; Brochmann, C. Conservation genetics and population history of Betula nana, Vaccinium uliginosum, and Campanula rotundifolia in the arctic archipelago of Svalbard. Arct. Antarct. Alp. 2002, 34, 408–418. [Google Scholar] [CrossRef]
- Obsie, E.Y.; Qu, H.; Drummond, F. Wild blueberry yield prediction using a combination of computer simulation and machine learning algorithms. Comput. Electron. Agric. 2020, 178, 105778. [Google Scholar] [CrossRef]
- Harteveld, D.O.; Grant, M.R.; Pscheidt, J.W.; Peever, T.L. Predicting Ascospore release of Monilinia vaccinii-corymbosi of blueberry with machine learning. Phytopathology 2017, 107, 1364–1371. [Google Scholar] [CrossRef] [PubMed]
- Abdel-Sattar, M.; Aboukarima, A.M.; Alnahdi, B.M. Application of artificial neural network and support vector regression in predicting mass of berry fruits (Ziziphus mauritiana Lamk.) based on fruit axial dimensions. PLoS ONE 2021, 16, e0245228. [Google Scholar] [CrossRef]
- Cortes, C. Support-vector network. Mach. Learn. 1995, 20, 273–297. [Google Scholar] [CrossRef]
- Drucker, H.; Burges, C.J.; Kaufman, L.; Smola, A.; Vapnik, V. Support vector regression machines. Adv. Neural Inf. Process. Syst. 1997, 9, 155–161. [Google Scholar]
- Smola, A.; Schölkopf, B. A tutorial on support vector regression. Stat. Comput. 2004, 14, 199–222. [Google Scholar] [CrossRef]
- Aha, D.W.; Kibler, D.; Albert, M.K. Instance-based learning algorithms. Mach. Learn. 1991, 6, 37–66. [Google Scholar] [CrossRef]
- Appelhans, T.; Mwangomo, E.; Hardy, D.R.; Hemp, A.; Nauss, T. Evaluating machine learning approaches for the interpolation of monthly air temperature at Mt. Kilimanjaro, Tanzania. Spat. Stat. 2015, 14, 91–113. [Google Scholar] [CrossRef]
- Chen, G.H.; Shah, D. Explaining the Success of Nearest Neighbor Methods in Prediction; Now Publishers: Boston, MA, USA, 2018. [Google Scholar]
- Song, Y.; Lu, Y. Decision tree methods: Applications for classification and prediction. Shanghai Arch. Psychiatr. 2015, 27, 130–135. [Google Scholar]
- Quinlan, J.R.J. Ross Quinlan_C4. 5_ Programs for Machine Learning. pdf. Morgan Kaufmann 1993, 5, 302. [Google Scholar]
- Breiman, L. Random forests. Mach. Learn. 2001, 45, 5–32. [Google Scholar] [CrossRef]
- Cao, J.; Zhang, Z.; Tao, F.; Zhang, L.; Luo, Y.; Han, J.; Li, Z. Identifying the contributions of multi-source data for winter wheat yield prediction in China. Remote Sens. 2020, 12, 750. [Google Scholar] [CrossRef]
- Breiman, L. Bagging predictors. Mach. Learn. 1996, 24, 123–140. [Google Scholar] [CrossRef]
- Konduri, V.S.; Vandal, T.J.; Ganguly, S.; Ganguly, A.R. Data science for weather impacts on crop yield. Front. Sustain. Food Syst. 2020, 4, 52. [Google Scholar] [CrossRef]
- Freund, Y.; Schapire, R.E. A decision-theoretic generalization of on-line learning and an application to boosting. J. Comput. Syst. Sci. 1997, 55, 119–139. [Google Scholar] [CrossRef]
- Pedregosa, F.; Varoquaux, G.; Gramfort, A.; Michel, V.; Thirion, B.; Grisel, O.; Blondel, M.; Prettenhofer, P.; Weiss, R.; Dubourg, V. Scikit-learn: Machine learning in Python. J. Mach. Learn. Res. 2011, 12, 2825–2830. [Google Scholar]
- Friedman, J. Greedy function approximation: A gradient boosting machine. Ann. Statist. 2001, 29, 1189–1232. [Google Scholar] [CrossRef]
- Kaul, M.; Hill, R.L.; Walthall, C. Artificial neural networks for corn and soybean yield prediction. Agric. Syst. 2005, 85, 1–18. [Google Scholar] [CrossRef]
- Brown, M.E.; Lary, D.J.; Vrieling, A.; Stathakis, D.; Mussa, H. Neural networks as a tool for constructing continuous NDVI time series from AVHRR and MODIS. Int. J. Remote Sens. 2008, 29, 7141–7158. [Google Scholar] [CrossRef]
- Hu, Q.; Weng, X. Estimating impervious surfaces from medium spatial resolution imagery using the self-organizing map and multi-layer perceptron neural networks. Remote Sens. 2009, 113, 2089–2102. [Google Scholar] [CrossRef]
- Chen, T.; He, T.; Benesty, M.; Khotilovich, V.; Tang, Y.; Cho, H. Xgboost: Extreme gradient boosting. Available online: https://cran.r-project.org/web/packages/xgboost/index.html (accessed on 25 August 2021).
- Romeiko, X.X.; Guo, Z.; Pang, Y.; Lee, E.K.; Zhang, X. Comparing Machine Learning Approaches for Predicting Spatially Explicit Life Cycle Global Warming and Eutrophication Impacts from Corn Production. Sustainability 2020, 12, 1481. [Google Scholar] [CrossRef]
- Montgomery, D.C.; Peck, E.A.; Vining, G.G. Introduction to Linear Regression Analysis; John Wiley & Sons: Hoboken, NJ, USA, 2021. [Google Scholar]
- Qu, H.; Yin, L.; Tang, X. An automatic clustering method using multi-objective genetic algorithm with gene rearrangement and cluster merging. Appl. Soft Comput. 2021, 99, 106929. [Google Scholar] [CrossRef]
- Scott, L.; Janikas, M. Spatial statistics in ArcGIS. In Handbook of Applied Spatial Analysis; Springer: Berlin, Germany, 2010. [Google Scholar]
- Puntel, L.A.; Sawyer, J.E.; Barker, D.W.; Thorburn, P.J.; Castellano, M.J.; Moore, K.J.; VanLoocke, A.; Heaton, E.A.; Archontoulis, S.V. A systems modeling approach to forecast corn economic optimum nitrogen rate. Front. Plant Sci. 2018, 9, 436. [Google Scholar] [CrossRef] [PubMed]
- Pan, S.J.; Yang, Q. A survey on transfer learning. IEEE Trans. Knowl. Data Eng. 2009, 22, 1345–1359. [Google Scholar] [CrossRef]
- Coulibaly, S.; Kamsu-Foguem, B.; Kamissoko, D.; Traore, D. Deep neural networks with transfer learning in millet crop images. Comput. Ind. 2019, 108, 115–120. [Google Scholar] [CrossRef]
- Rangarajan Aravind, K.; Raja, P. Automated disease classification in (Selected) agricultural crops using transfer learning. Automatika 2020, 61, 260–272. [Google Scholar] [CrossRef]
- Sun, X.; Wei, J. In Identification of maize disease based on transfer learning. J. Phys. Conf. Ser. 2020, 1437, 012080. [Google Scholar] [CrossRef]
- Mendes, A.; Togelius, J.; Coelho, L.d.S. Multi-Stage Transfer Learning with an Application to Selection Process. arXiv 2020, arXiv:2006.01276. [Google Scholar]
- Lee, C.-K.; Lu, C.; Yu, Y.; Sun, Q.; Hsieh, C.-Y.; Zhang, S.; Liu, Q.; Shi, L. Transfer learning with graph neural networks for optoelectronic properties of conjugated oligomers. J. Chem. Phys. 2021, 154, 024906. [Google Scholar] [CrossRef]
- Storm, H.; Baylis, K.; Heckelei, T. Machine learning in agricultural and applied economics. Eur. Rev. Agric. Econ. 2020, 47, 849–892. [Google Scholar] [CrossRef]
- Drummond, F.A.; Rowland, L.J. The ecology of autogamy in wild blueberry (Vaccinium angustifolium Aiton): Does the early clone get the bee? J. Agron. 2020, 10, 1153. [Google Scholar]
- Moon, T.; Son, J.E. Knowledge transfer for adapting pre-trained deep neural models to predict different greenhouse environments based on a low quantity of data. Comput. Electron. Agric. 2021, 185, 106136. [Google Scholar] [CrossRef]
- Jacquemart, A.-L. Biological flora of the British Isles, no. 193. Vaccinium uliginosum L. J. Ecol. 1996, 84, 771–785. [Google Scholar] [CrossRef]
- Kong, W.-S.; Kim, K.; Lee, S.; Park, H.; Cho, S.-H. Distribution of high mountain plants and species vulnerability against climate change. J. Environ. Impact Assess. 2014, 23, 119–136. [Google Scholar] [CrossRef][Green Version]
- Drummond, F. Reproductive biology of wild blueberry (Vaccinium angustifolium Aiton). Agriculture 2019, 9, 69. [Google Scholar] [CrossRef]
- Graae, B.J.; Alsos, I.G.; Ejrnaes, R. The impact of temperature regimes on development, dormancy breaking and germination of dwarf shrub seeds from arctic, alpine and boreal sites. Plant Ecol. 2008, 198, 275–284. [Google Scholar] [CrossRef]
- Aerts, R.; Cornelissen, J.; Van Logtestijn, R.; Callaghan, T. Climate change has only a minor impact on nutrient resorption parameters in a high-latitude peatland. Oecologia 2007, 151, 132–139. [Google Scholar] [CrossRef] [PubMed]
- Jones, J.W.; Antle, J.M.; Basso, B.; Boote, K.J.; Conant, R.T.; Foster, I.; Godfray, H.C.J.; Herrero, M.; Howitt, R.E.; Janssen, S. Toward a new generation of agricultural system data, models, and knowledge products: State of agricultural systems science. Agric. Syst. 2017, 155, 269–288. [Google Scholar] [CrossRef] [PubMed]
- McNunn, G.; Heaton, E.; Archontoulis, S.; Licht, M.; VanLoocke, A. Using a crop modeling framework for precision cost-benefit analysis of variable seeding and nitrogen application rates. Front. Sustain. Food Syst. 2019, 3, 108. [Google Scholar] [CrossRef]













| Parameter (Feature) | Number of Records | Unit | Range | Mean |
|---|---|---|---|---|
| Clone size (CS) | 777 | m2 | 10~40 | 18.768 |
| Honeybee (HB) | 777 | bees/m2/min | 0~18.43 | 0.417 |
| Bumble bee (BB) | 777 | bees/m2/min | 0~0.585 | 0.282 |
| Andrena (AD) | 777 | bees/m2/min | 0~0.75 | 0.469 |
| Osmia (OS) | 777 | bees/m2/min | 0~0.75 | 0.562 |
| MaxOfUpperTRange (MaxUTR) | 777 | °C | 20.9~34.8 | 27.9 |
| MinOfUpperTRange (MinUTR) | 777 | °C | 3.9~14 | 9.8 |
| AverageOfUpperTRange (AvUTR) | 777 | °C | 14.6~26.1 | 20.4 |
| MaxOfLowerTRange (MaxLTR) | 777 | °C | 10.1~20.1 | 15.2 |
| MinOfLowerTRange (MinLTR) | 777 | °C | −4.3~0.6 | −1.8 |
| AverageOfLowerTRange (AvLTR) | 777 | °C | 5.1~13.3 | 9.2 |
| RainDays (RD) | 777 | day | 1~34 | 18.309 |
| AverageRainDays (AvRD) | 777 | day | 0.06~0.56 | 0.32 |
| Model | Evaluation Metrics | |||
|---|---|---|---|---|
| MAE | MAPE | RMSE | R 2 | |
| SVM | 0.044 | 9.025% | 0.053 | 0.553 |
| MLR | 0.034 | 7.282% | 0.042 | 0.721 |
| AdaBoost | 0.030 | 6.398% | 0.038 | 0.773 |
| DT | 0.013 | 3.093% | 0.03 | 0.845 |
| ANN | 0.022 | 4.720% | 0.029 | 0.861 |
| KNN | 0.014 | 3.152% | 0.024 | 0.912 |
| RF | 0.011 1 | 2.520% | 0.022 | 0.922 |
| GBDT | 0.011 1 | 2.483% 1 | 0.0211 | 0.927 |
| XGBoost | 0.011 1 | 2.489% | 0.0211 | 0.9322 |
| Parameter | Unit | Mean | 95% CI (Upper) | 95% CI (Lower) |
|---|---|---|---|---|
| Clone size (CS) | m2 | 15.32 | 15.945 | 14.694 |
| Honeybee (HB) | bees/m2/min | 1.026 | 1.068 | 0.984 |
| Bumble bee (BB) | bees/m2/min | 0.232 | 0.241 | 0.223 |
| Andrena bee (AD) | bees/m2/min | 0.435 | 0.453 | 0.417 |
| Osmia bee (OS) | bees/m2/min | 0.637 | 0.663 | 0.611 |
| Field Site | Year of Observation | Field Fruit-Set Mean | Field Fruit-Set 95% CI (Upper) | Field Fruit-Set 95% CI (Lower) | Predicted Fruit-Set | df | p-Value |
|---|---|---|---|---|---|---|---|
| CBS | 2017 | 0.494 | 0.519 | 0.468 | 0.498 | 163 | 0.724 |
| CBS | 2018 | 0.520 | 0.537 | 0.504 | 0.482 | 287 | <0.001 |
| CBS | 2019 | 0.560 | 0.576 | 0.543 | 0.570 | 272 | 0.220 |
| GHS | 2017 | 0.452 | 0.491 | 0.413 | 0.466 | 67 | 0.475 |
| GHS | 2018 | 0.554 | 0.592 | 0.516 | 0.576 | 58 | 0.257 |
| GHS | 2019 | 0.520 | 0.549 | 0.491 | 0.504 | 145 | 0.283 |
| JMS | 2017 | 0.456 | 0.487 | 0.429 | 0.458 | 111 | 0.872 |
| JMS | 2018 | 0.567 | 0.587 | 0.548 | 0.576 | 205 | 0.382 |
| JMS | 2019 | 0.495 | 0.533 | 0.458 | 0.481 | 75 | 0.446 |
| MH | 2017 | 0.462 | 0.504 | 0.420 | 0.466 | 71 | 0.829 |
| MH | 2018 | 0.534 | 0.559 | 0.509 | 0.504 | 128 | 0.020 |
| MH | 2019 | 0.545 | 0.570 | 0.521 | 0.524 | 102 | 0.089 |
| TH | 2017 | 0.471 | 0.502 | 0.440 | 0.461 | 125 | 0.525 |
| TH | 2018 | 0.541 | 0.567 | 0.514 | 0.546 | 102 | 0.697 |
| TH | 2019 | 0.509 | 0.537 | 0.481 | 0.564 | 122 | <0.001 |
| YC | 2017 | 0.582 | 0.603 | 0.560 | 0.544 | 113 | <0.001 |
| YC | 2018 | 0.564 | 0.592 | 0.536 | 0.556 | 99 | 0.564 |
| YC | 2019 | 0.487 | 0.519 | 0.455 | 0.510 | 95 | 0.154 |
Publisher’s Note: MDPI stays neutral with regard to jurisdictional claims in published maps and institutional affiliations. |
© 2021 by the authors. Licensee MDPI, Basel, Switzerland. This article is an open access article distributed under the terms and conditions of the Creative Commons Attribution (CC BY) license (https://creativecommons.org/licenses/by/4.0/).
Share and Cite
Qu, H.; Xiang, R.; Obsie, E.Y.; Wei, D.; Drummond, F. Parameterization and Calibration of Wild Blueberry Machine Learning Models to Predict Fruit-Set in the Northeast China Bog Blueberry Agroecosystem. Agronomy 2021, 11, 1736. https://doi.org/10.3390/agronomy11091736
Qu H, Xiang R, Obsie EY, Wei D, Drummond F. Parameterization and Calibration of Wild Blueberry Machine Learning Models to Predict Fruit-Set in the Northeast China Bog Blueberry Agroecosystem. Agronomy. 2021; 11(9):1736. https://doi.org/10.3390/agronomy11091736
Chicago/Turabian StyleQu, Hongchun, Rui Xiang, Efrem Yohannes Obsie, Dianwen Wei, and Francis Drummond. 2021. "Parameterization and Calibration of Wild Blueberry Machine Learning Models to Predict Fruit-Set in the Northeast China Bog Blueberry Agroecosystem" Agronomy 11, no. 9: 1736. https://doi.org/10.3390/agronomy11091736
APA StyleQu, H., Xiang, R., Obsie, E. Y., Wei, D., & Drummond, F. (2021). Parameterization and Calibration of Wild Blueberry Machine Learning Models to Predict Fruit-Set in the Northeast China Bog Blueberry Agroecosystem. Agronomy, 11(9), 1736. https://doi.org/10.3390/agronomy11091736

