Agro-Industrial and Urban Compost as an Alternative of Inorganic Fertilizers in Traditional Rainfed Olive Grove under Mediterranean Conditions
Abstract
1. Introduction
2. Materials and Methods
2.1. Experimental Area and Experimental Design
2.2. Soil Sampling and Chemical Analysis
2.3. Soil Physical Properties
2.4. Plant Development, Nutrition and Productivity
2.5. Statistical Analysis
3. Results
3.1. Changes in Soil Properties
3.1.1. Changes in Soil Organic Matter
3.1.2. Changes in Soil Fertility and Trace Element Contents
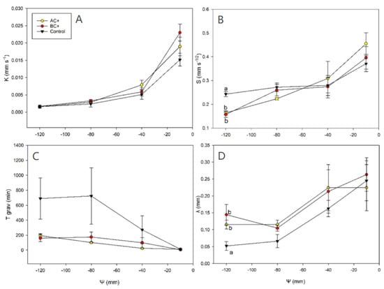
3.1.3. Changes in Soil Hydraulic and Physical Properties
3.2. Changes in Crop
3.2.1. Changes in Crop Development and Nutritional Status in Leaves
3.2.2. Changes in Crop Productivity and Harvest Quality
4. Discussion
4.1. Potential Positive and Neutral Effects of Compost Addition
4.2. Potential Negative Effects of Compost Addition
5. Conclusions
Supplementary Materials
Author Contributions
Funding
Institutional Review Board Statement
Informed Consent Statement
Data Availability Statement
Acknowledgments
Conflicts of Interest
References
- García Martín, J.F.; Cuevas, M.; Feng, C.H.; Mateos, P.Á.; García, M.T.; Sánchez, S. Energetic valorisation of olive biomass: Olive-tree pruning, olive stones and pomaces. Processes 2020, 8, 511. [Google Scholar] [CrossRef]
- Connor, D.J.; Fereres, E. The Physiology of Adaptation and Yield Expression in Olive. In Horticultural Reviews; Wiley: Hoboken, NJ, USA, 2005; Volume 31, pp. 155–229. ISBN 9780470650882. [Google Scholar]
- Unesco Representative List of the Intangible Cultural Heritage of Humanity. Available online: https://ich.unesco.org/doc/src/17331-EN.pdf (accessed on 5 June 2021).
- de Brogniez, D.; Ballabio, C.; Stevens, A.; Jones RJ, A.; Montanarella, L.; van Wesemael, B. A map of the topsoil organic carbon content of Europe generated by a generalized additive model. Eur. J. Soil Sci. 2015, 66, 121–134. [Google Scholar] [CrossRef]
- Beniaich, A.; Silva, M.L.N.; Guimarães, D.V.; Bispo, D.F.A.; Avanzi, J.C.; Curi, N.; Pio, R.; Dondeyne, S. Assessment of soil erosion in olive orchards (Olea Europaea L.) Under cover crops management systems in the tropical region of Brazil. Rev. Bras. Cienc. Do Solo 2020, 44. [Google Scholar] [CrossRef]
- Xiloyannis, C.; Martinez Raya, A.; Kosmas, C.; Favia, M. Semi-intensive olive orchards on sloping land: Requiring good land husbandry for future development. J. Environ. Manag. 2008, 89, 110–119. [Google Scholar] [CrossRef]
- Food and Agriculture Organization of the United Nations (FAO). “Climate-Smart” Agriculture: Policies, Practices and Financing for Food Security, Adaptation and Mitigation; FAO: Rome, Italy, 2010. [Google Scholar]
- Bastida, F.; García, C.; Fierer, N.; Eldridge, D.J.; Bowker, M.A.; Abades, S.; Alfaro, F.D.; Berhe, A.A.; Cutler, N.A.; Gallardo, A.; et al. Global ecological predictors of the soil priming effect. Nat. Commun. 2019, 10, 1–9. [Google Scholar] [CrossRef]
- Foley, B.J.; Cooperband, L.R. Paper Mill Residuals and Compost Effects on Soil Carbon and Physical Properties. J. Environ. Qual. 2002, 31, 2086–2095. [Google Scholar] [CrossRef]
- Madejón, P.; Domínguez, M.T.; Fernández-Boy, E.; Paneque, P.; Girón, I.; Madejón, E. Soil hydraulic properties as the main driver in the establishment of biomass crops in contaminated soils. J. Environ. Manag. 2019, 233, 812–822. [Google Scholar] [CrossRef] [PubMed]
- Jurado, E.B.; Moral, A.M.; Uclés, D.F.; Viruel, M.J.M. Determining factors for economic efficiency in the organic olive oil sector. Sustainability 2017, 9, 784. [Google Scholar] [CrossRef]
- Hernández, T.; Chocano, C.; Moreno, J.L.; García, C. Use of compost as an alternative to conventional inorganic fertilizers in intensive lettuce (Lactuca sativa L.) crops-Effects on soil and plant. Soil Tillage Res. 2016, 160. [Google Scholar] [CrossRef]
- Lal, R. Restoring soil quality to mitigate soil degradation. Sustainability 2015, 7, 5875. [Google Scholar] [CrossRef]
- Kurzemann, F.R.; Plieger, U.; Probst, M.; Spiegel, H.; Sandén, T.; Ros, M.; Insam, H. Long-Term fertilization affects soil microbiota, improves yield and benefits soil. Agronomy 2020, 10, 1664. [Google Scholar] [CrossRef]
- Griffiths, B.S.; Philippot, L. Insights into the resistance and resilience of the soil microbial community. FEMS Microbiol. Rev. 2013, 112–129. [Google Scholar] [CrossRef]
- Martínez-Blanco, J.; Lazcano, C.; Christensen, T.H.; Muñoz, P.; Rieradevall, J.; Møller, J.; Antón, A.; Boldrin, A.; Martínez-Blanco, J.; Rieradevall, J.; et al. Compost benefits for agriculture evaluated by life cycle assessment. A review. Agron. Sustain. Dev. 2013, 33, 721–732. [Google Scholar] [CrossRef]
- Madejón, P.; Alaejos, J.; García-Álbala, J.; Fernández, M.; Madejón, E. Three-year study of fast-growing trees in degraded soils amended with composts: Effects on soil fertility and productivity. J. Environ. Manag. 2016, 169. [Google Scholar] [CrossRef]
- Zipori, I.; Erel, R.; Yermiyahu, U.; Bengal, A.; Dag, A. Sustainable management of olive orchard nutrition: A review. Agriculture 2020, 10, 11. [Google Scholar] [CrossRef]
- Hesse, P. A Textbook of Soil Chemical Analysis; John Murray: London, UK, 1971. [Google Scholar]
- Walkley, A.; Black, I.A. An examination of the degtjareff method for determining soil organic matter, and a proposed modification of the chromic acid titration method. Soil Sci. 1934, 37, 29–38. [Google Scholar] [CrossRef]
- Olsen, S.R.; Cole, C.V.; Watandbe, F.; Dean, L. Estimation of Available Phosphorus in Soil by Extraction with sodium Bicarbonate. J. Chem. Inf. Model. 1954, 53, 1689–1699. [Google Scholar]
- Freitas, F.; Dewis, J. Métodos físicos y químicos de análisis de suelos y aguas. Boletín Suelos 1970, 10. [Google Scholar]
- Smettem, K.R.J.; Clothier, B.E. Measuring unsaturated sorptivity and hydraulic conductivity using multiple disc permeameters. J. Soil Sci. 1989, 40, 563–568. [Google Scholar] [CrossRef]
- Blozan, W. Tree measuring guidelines of the eastern native tree society. East. Nativ. Tree Soc. 2006, 1, 3–10. [Google Scholar]
- Szychowski, P.J.; Frutos, M.J.; Burló, F.; Pérez-López, A.J.; Carbonell-Barrachina, Á.A.; Hernández, F. Instrumental and sensory texture attributes of pomegranate arils and seeds as affected by cultivar. LWT Food Sci. Technol. 2015, 60. [Google Scholar] [CrossRef]
- Hermoso, M.; Uceda, M.; Frias, L.B.G. El Cultivo del Olivo; Barranco, D., Fernandez-Escobar, R., Rallo, R., Eds.; Mundi-Prensa: Madrid, Spain, 1997; pp. 137–153. [Google Scholar]
- Roman, K.; Roman, M.; Szadkowska, D.; Szadkowski, J.; Grzegorzewska, E. Evaluation of Physical and Chemical Parameters According to Energetic Willow (Salix viminalis L.) Cultivation. Energies 2021, 14, 2968. [Google Scholar] [CrossRef]
- Fernández-Escobar, R. Fertilización. In El Cultivo Del Olivo; Barranco, D., Fernández-Escobar, R., Rallo, L., Eds.; Mundi-Prensa: Madrid, Spain, 2004; pp. 287–319. [Google Scholar]
- Chapman, H.D. Diagnostic Criteria for Plants & Soils. Soil Sci. 1966, 102, 287. [Google Scholar] [CrossRef]
- Childers, N.F. Fruit Nutrition. Soil Sci. 1954, 78, 243. [Google Scholar] [CrossRef]
- Beutel, J.; Uriu, K.; Lilleland, O. Leaf analysis for California deciduous fruits. In Soil and Plant Tissue Testing in California; Reisenauer, H.M., Ed.; University of California: Berkeley, CA, USA, 1983. [Google Scholar]
- Coker, C.S. Compost utilization in ornamental and nursery crop production. In Compost Utilization in Production of Horticultural Crops; CRC Press: Boca Raton, FL, USA, 2021; pp. 77–84. [Google Scholar]
- Martínez-Blanco, J.; Lazcano, C.; Boldrin, A.; Muñoz, P.; Rieradevall, J.; Møller, J.; Antón, A.; Christensen, T.H. Assessing the Environmental Benefits of Compost Use-on-Land through an LCA Perspective: A Review. Sustainable Agriculture Reviews; Springer: Dordrecht, The Netherlands, 2013; Volume 12, pp. 255–318. [Google Scholar]
- Fernández-Hernández, A.; Roig, A.; Serramiá, N.; Civantos, C.G.O.; Sánchez-Monedero, M.A. Application of compost of two-phase olive mill waste on olive grove: Effects on soil, olive fruit and olive oil quality. Waste Manag. 2014, 34. [Google Scholar] [CrossRef]
- Bolan, N.S.; Kunhikrishnan, A.; Naidu, R. Carbon storage in a heavy clay soil landfill site after biosolid application. Sci. Total Environ. 2013, 465. [Google Scholar] [CrossRef]
- Hazelton, P.; Murphy, B. Interpreting Soil Test Results: What do all the Numbers mean? Eur. J. Soil Sci. 2007, 58, 1219–1220. [Google Scholar] [CrossRef]
- Montanaro, G.; Xiloyannis, C.; Nuzzo, V.; Dichio, B. Orchard management, soil organic carbon and ecosystem services in Mediterranean fruit tree crops. Sci. Hortic. (Amsterdam) 2017, 217, 92–101. [Google Scholar] [CrossRef]
- Weil, R.; Magdoff, F. Significance of Soil Organic Matter to Soil Quality and Health. In Soil Organic Matter in Sustainable Agriculture; CRC Press: Boca Raton, FL, USA, 2004; pp. 1–43. [Google Scholar]
- Tiefenbacher, A.; Sandén, T.; Haslmayr, H.-P.; Miloczki, J.; Wenzel, W.; Spiegel, H. Optimizing Carbon Sequestration in Croplands: A Synthesis. Agronomy 2021, 11, 882. [Google Scholar] [CrossRef]
- Tortosa, G.; Alburquerque, J.A.; Ait-Baddi, G.; Cegarra, J. The production of commercial organic amendments and fertilisers by composting of two-phase olive mill waste (“alperujo”). J. Clean. Prod. 2012, 26, 48–55. [Google Scholar] [CrossRef]
- Jindo, K.; Chocano, C.; Melgares de Aguilar, J.; González, D.; Hernandez, T.; García, C. Impact of Compost Application during 5 Years on Crop Production, Soil Microbial Activity, Carbon Fraction, and Humification Process. Commun. Soil Sci. Plant Anal. 2016, 47, 1907–1919. [Google Scholar] [CrossRef]
- Adriano, D.C. Trace Elements in the Terrestrial Environment; Springer Science & Business Media: Amsterdam, The Netherlands, 2013. [Google Scholar] [CrossRef]
- Ciadamidaro, L.; Madejón, P.; Camacho, F.; Boy, E.F.; Madejón, E. Organic compost to improve contaminated soil quality and plant fertility. Soil Sci. 2016, 181. [Google Scholar] [CrossRef]
- Gascó, G.; Lobo, M.C. Composition of a Spanish sewage sludge and effects on treated soil and olive trees. Waste Manag. 2007, 27. [Google Scholar] [CrossRef]
- Marguí, E.; Iglesias, M.; Camps, F.; Sala, L.; Hidalgo, M. Long-term use of biosolids as organic fertilizers in agricultural soils: Potentially toxic elements occurrence and mobility. Environ. Sci. Pollut. Res. 2016, 23, 4454–4464. [Google Scholar] [CrossRef]
- Butler, T.A.; Sikora, L.J.; Steinhilber, P.M.; Douglass, L.W. Compost Age and Sample Storage Effects on Maturity Indicators of Biosolids Compost. J. Environ. Qual. 2001, 30, 2141–2148. [Google Scholar] [CrossRef]
- Tsadilas, C.D.; Mitsios, I.K.; Golia, E. Influence of biosolids application on some soil physical properties. Commun. Soil Sci. Plant Anal. 2005, 36, 709–716. [Google Scholar] [CrossRef]
- Khaliq, A.; Kaleem Abbasi, M. Improvements in the physical and chemical characteristics of degraded soils supplemented with organic-inorganic amendments in the Himalayan region of Kashmir, Pakistan. Catena 2015, 126, 209–219. [Google Scholar] [CrossRef]
- Lim, T.J.; Spokas, K.A.; Feyereisen, G.; Novak, J.M. Predicting the impact of biochar additions on soil hydraulic properties. Chemosphere 2016, 142. [Google Scholar] [CrossRef]
- Onzález, P.G.; Ordoñez, R.; Giráldez, J.V.; Aguilar, M.A.; Miralles de Imperial, R.; Bigeriego, M.; Gascó, G. Utilización de lodos de depuradoras en la conservación del suelo de los olivares y como enmienda orgánica. Jorna das Técnicas del Aceite de Oliva. In Difusión de Resultados de Investigación Programa de Investigación de Mejora de la Calidad de la Producción del Aceite de Oliva; Ministerio de Ciencia y Tecnología Secretaría de Política Científica y Tecnológica INIA: Madrid, Spain, 2002. [Google Scholar]
- Alburquerque, J.A.; Gonzálvez, J.; García, D.; Cegarra, J. Effects of a compost made from the solid by-product (“alperujo”) of the two-phase centrifugation system for olive oil extraction and cotton gin waste on growth and nutrient content of ryegrass (Lolium perenne L.). Bioresour. Technol. 2007, 98. [Google Scholar] [CrossRef]
- Jha, P.; Ram, M.; Khan, M.A.; Kiran, U.; Mahmooduzzafar; Abdin, M.Z. Impact of organic manure and chemical fertilizers on artemisinin content and yield in Artemisia annua L. Ind. Crops Prod. 2011, 33. [Google Scholar] [CrossRef]
- Gravel, V.; Blok, W.; Hallmann, E.; Carmona-Torres, C.; Wang, H.; Van De Peppel, A.; Cóndor Golec, A.F.; Dorais, M.; Van Meeteren, U.; Heuvelink, E.; et al. Differences in N uptake and fruit quality between organically and conventionally grown greenhouse tomatoes. Agron. Sustain. Dev. 2010, 30. [Google Scholar] [CrossRef]
- Baldi, E.; Toselli, M.; Marcolini, G.; Marangoni, B. Effect of mineral and organic fertilization on soil chemical, biological and physical fertility in a commercial peach orchard. In Proceedings of the V International Symposium on Mineral Nutrition of Fruit Plants, Faro, Portugal, 19–21 May 2008; Volume 721. [Google Scholar]
- Ben Abdallah, S.; Elfkih, S.; Suárez-Rey, E.M.; Parra-López, C.; Romero-Gámez, M. Evaluation of the environmental sustainability in the olive growing systems in Tunisia. J. Clean. Prod. 2021, 282. [Google Scholar] [CrossRef]
- Pattara, C.; Salomone, R.; Cichelli, A. Carbon footprint of extra virgin olive oil: A comparative and driver analysis of different production processes in Centre Italy. J. Clean. Prod. 2016, 127, 533–547. [Google Scholar] [CrossRef]
- Guarino, F.; Falcone, G.; Stillitano, T.; De Luca, A.I.; Gulisano, G.; Mistretta, M.; Strano, A. Life cycle assessment of olive oil: A case study in southern Italy. J. Environ. Manag. 2019, 238, 396–407. [Google Scholar] [CrossRef]
- López-Piñeiro, A.; Albarrán, A.; Nunes, J.M.R.; Barreto, C. Short and medium-term effects of two-phase olive mill waste application on olive grove production and soil properties under semiarid mediterranean conditions. Bioresour. Technol. 2008, 99. [Google Scholar] [CrossRef]
- Hargreaves, J.C.; Adl, M.S.; Warman, P.R. A review of the use of composted municipal solid waste in agriculture. Agric. Ecosyst. Environ. 2008, 123, 1–14. [Google Scholar] [CrossRef]
- Chaney, R.L. Toxic Element Accumulation in Soils and Crops: Protecting Soil Fertility and Agricultural Food-Chains. In Inorganic Contaminants in the Vadose Zone; Springer: Berlin, Germany, 1989; pp. 140–158. [Google Scholar]



| Parameter | AC (February 2018) | BC (February 2018) | AC (December 2019) | BC (December 2019) |
|---|---|---|---|---|
| Moisture | 23.4 ± 1.10 | 32.4 ± 1.31 | 18.1 ± 0.36 | 37.1 ± 1.23 |
| pH | 10.4 ± 0.06 | 6.82 ± 0.08 | 10.1 ± 0.07 | 6.41 ± 0.16 |
| CE (mS cm−1) | 16.1 ± 0.55 | 7.03 ± 0.59 | 14.3 ± 0.47 | 7.82 ± 0.65 |
| OM (%) | 31.3 ± 0.75 | 32.8 ± 0.70 | 29.1 ± 0.45 | 31.1 ± 0.35 |
| N (%) | 0.68 ± 0.03 | 2.20 ± 0.003 | 0.63 ± 0.01 | 1.92 ± 0.01 |
| P2O5 (%) | 1.91 ± 0.05 | 3.12 ± 0.23 | 2.66 ± 0.09 | 2.84 ± 0.10 |
| K2O (%) | 4.87 ± 0.10 | 0.91 ± 0.006 | 9.58 ± 0.03 | 0.80 ± 0.01 |
| CaO (%) | 12.9 ± 0.32 | 7.12 ± 0.123 | 13.8 ± 0.32 | 4.50 ± 0.26 |
| Mg O (%) | 3.42 ± 0.05 | 1.97 ± 0.134 | 4.41 ± 0.22 | 2.21 ± 0.05 |
| Na (%) | 0.59 ± 0.03 | 0.51 ± 0.11 | 0.46 ± 0.02 | 0.55 ± 0.01 |
| SO3 (%) | 0.55 ± 0.02 | 4.89 ± 0.14 | 0.66 ± 0.02 | 5.29 ± 0.16 |
| Fe (%) | 0.90 ± 0.03 | 1.71 ± 0.03 | 1.16 ± 0.02 | 3.33 ± 0.07 |
| Mn (mg kg−1) | 254 ± 9.54 | 765 ± 51 | 312 ± 6.12 | 352 ± 12 |
| Cu (mg kg−1) | 93.5 ± 3.80 | 210 ± 1.20 | 135 ± 3.76 | 153 ± 2.01 |
| Zn (mg kg−1) | 69.0 ± 4.10 | 621 ± 5.9 | 78.0 ± 1.76 | 385 ± 12.3 |
| B (mg kg−1) | 62.9 ± 3.76 | 39.9 ± 0.04 | 88.0 ± 2.40 | 20.0 ± 0.35 |
| As (mg kg−1) | 1.72 ± 0.10 | 6.28 ± 0.73 | 0.91 ± 0.02 | 7.23 ± 3.68 |
| Cd (mg kg−1) | 0.13 ± 0.00 | 0.74 ± 0.01 | 0.15 ± 0.02 | 1.08 ± 0.04 |
| Co (mg kg−1) | 5.60 ± 0.23 | 31.4 ± 0.04 | 6.48 ± 0.42 | 7.90 ± 0.40 |
| Cr (mg kg−1) | 42.7 ± 1.22 | 71.7 ± 0.06 | 55.8 ± 1.14 | 38.9 ± 1.48 |
| Ni (mg kg−1) | 38.4 ± 1.70 | 33.8 ± 1.05 | 42.0 ± 2.03 | 20.8 ± 0.06 |
| Pb (mg kg−1) | 13.7 ± 0.49 | 60.9 ± 0.41 | 9.23 ± 0.95 | 31.3 ± 2.76 |
| AC | AC+ | BC | BC+ | Control | ||
|---|---|---|---|---|---|---|
| GWC (%) | March 2018 | 14.4 ± 0.50 | 14.5 ± 0.76 | 14.1 ± 0.57 | 15.8 ± 0.72 | 14.0 ± 0.48 |
| October 2018 | 11.5 ± 0.68 | 11.8 ± 0.07 | 12.4 ± 0.60 | 13.7 ± 0.73 | 12.3 ± 0.30 | |
| October 2019 | 2.45 ± 0.66 | 1.91 ± 0.76 | 2.69 ± 0.93 | 1.73 ± 0.17 | 2.96 ± 0.31 | |
| May 2020 | 5.47 ± 0.39 | 3.67 ± 0.54 | 4.67 ± 0.68 | 4.16 ± 0.50 | 3.44 ± 0.70 | |
| pH | March 2018 | 7.81 ± 0.09 | 7.59 ± 0.06 | 7.60 ± 0.11 | 7.50 ± 0.07 | 7.51 ± 0.09 |
| October 2018 | 7.89 ± 0.09 | 7.66 ± 0.06 | 7.68 ± 0.11 | 7.57 ± 0.07 | 7.59 ± 0.09 | |
| October 2019 | 7.32 ± 0.03 | 7.33 ± 0.06 | 7.44 ± 0.05 | 7.31 ± 0.04 | 7.37 ± 0.05 | |
| May 2020 | 8.62 ± 0.04 a | 8.59 ± 0.04 a | 7.28 ± 0.27 b | 7.33 ± 0.17 b | 7.18 ± 0.42 b | |
| EC (mS cm−1) | March 2018 | 208 ± 37 | 139 ± 26 | 118 ± 25 | 137 ± 22 | 128 ± 22 |
| October 2018 | 199 ± 35 | 133 ± 25 | 112 ± 24 | 131 ± 21 | 122 ± 21 | |
| October 2019 | 64 ± 6.1 | 58 ± 7.7 | 54 ± 8.0 | 59 ± 4.5 | 51 ± 9.7 | |
| May 2020 | 194 ± 20 | 203 ± 13 | 145 ± 35 | 137 ± 17 | 116 ± 21 | |
| Kjeldalh-N (g kg−1) | March 2018 | 0.88 ± 0.03 | 0.94 ± 0.07 | 0.95 ± 0.03 | 0.94 ± 0.01 | 0.85 ± 0.02 |
| October 2018 | 0.89 ± 0.05 | 1.06 ± 0.13 | 1.03 ± 0.04 | 0.86 ± 0.04 | 0.97 ± 0.03 | |
| October 2019 | 1.04 ± 0.10 | 0.95 ± 0.08 | 0.93 ± 0.09 | 1.19 ± 0.10 | 0.91 ± 0.12 | |
| May 2020 | 1.04 ± 0.09 | 1.04 ± 0.06 | 1.10 ± 0.11 | 1.35 ± 0.15 | 1.05 ± 0.08 | |
| Olsen-P (mg kg−1) | March 2018 | 10.4 ± 0.74 | 15.7 ± 1.59 | 13.7 ± 1.37 | 12.7 ± 2.15 | 10.2 ± 1.48 |
| October 2018 | 10.0 ± 0.79 | 16.2 ± 1.60 | 14.9 ± 2.83 | 13.2 ± 1.31 | 11.7 ± 1.04 | |
| October 2019 | 15.7 ± 2.28 a,b | 14.0 ± 1.78 b | 16.2 ± 1.86 a,b | 22.2 ± 1.69 a | 12.6 ± 1.02 b | |
| May 2020 | 26.7 ± 3.12 b | 25.6 ± 0.93 b | 33.8 ± 2.14 b | 47.6 ± 4.88 a | 23.5 ± 1.25 b | |
| Available-K (mg kg−1) | March 2018 | 278 ± 7.4 | 325 ± 45 | 275 ± 58 | 283 ± 40 | 208 ± 9.4 |
| October 2018 | 269 ± 34 a,b | 448 ± 79 a | 305 ± 19 a,b | 333 ± 55 a,b | 230 ± 13 b | |
| October 2019 | 267 ± 19 a,b | 302 ± 18 a | 167 ± 20 c | 209 ± 15 b,c | 157 ± 26 c | |
| May 2020 | 840 ± 132 a | 893 ± 94 a | 245 ± 27 b | 383 ± 46 b | 296 ± 28 b | |
| AC | AC+ | BC | BC+ | Control | ||
|---|---|---|---|---|---|---|
| N (%) | 2018 | 1.12 ± 0.06 | 1.09 ± 0.05 | 1.04 ± 0.05 | 1.16 ± 0.04 | 1.17 ± 0.04 |
| 2019 | 0.86 ± 0.04 | 0.87 ± 0.03 | 0.79 ± 0.05 | 0.87 ± 0.09 | 0.93 ± 0.07 | |
| 2020 | 1.23 ± 0.02 | 1.26 ± 0.02 | 1.24 ± 0.03 | 1.3 ± 0.04 | 1.32 ± 0.05 | |
| P (%) | 2018 | 0.10 ± 0.005 | 0.10 ± 0.004 | 0.09 ± 0.003 | 0.10 ± 0.004 | 0.10 ± 0.005 |
| 2019 | 0.07 ± 0.01 | 0.06 ± 0.002 | 0.05 ± 0.004 | 0.06 ± 0.01 | 0.07 ± 0.004 | |
| 2020 | 0.14 ± 0.01 | 0.13 ± 0.003 | 0.12 ± 0.01 | 0.14 ± 0.001 | 0.13 ± 0.01 | |
| Available-K (%) | 2018 | 0.96 ± 0.02 | 0.94 ± 0.01 | 0.91 ± 0.02 | 0.94 ± 0.04 | 0.92 ± 0.02 |
| 2019 | 0.53 ± 0.05 | 0.55 ± 0.05 | 0.47 ± 0.05 | 0.52 ± 0.09 | 0.48 ± 0.04 | |
| 2020 | 1.12 ± 0.06 | 1.16 ± 0.02 | 1.02 ± 0.01 | 1.03 ± 0.05 | 1.02 ± 0.02 | |
| Ca (%) | 2018 | 0.71 ± 0.05 | 0.71 ± 0.05 | 0.71 ± 0.02 | 0.74 ± 0.04 | 0.76 ± 0.01 |
| 2019 | 1.75 ± 0.15 | 1.69 ± 0.11 | 1.56 ± 0.19 | 1.53 ± 0.14 | 1.73 ± 0.09 | |
| 2020 | 1.12 ± 0.10 | 1.01 ± 0.06 | 1.15 ± 0.21 | 1.21 ± 0.13 | 1.06 ± 0.08 | |
| Mg (%) | 2018 | 0.08 ± 0.004 | 0.08 ± 0.01 | 0.07 ± 0.01 | 0.08 ± 0.002 | 0.08 ± 0.004 |
| 2019 | 0.10 ± 0.01 | 0.09 ± 0.01 | 0.09 ± 0.01 | 0.09 ± 0.01 | 0.10 ± 0.005 | |
| 2020 | 0.08 ± 0.01 | 0.07 ± 0.004 | 0.07 ± 0.01 | 0.08 ± 0.01 | 0.08 ± 0.004 | |
| Na (%) | 2018 | 0.02 ± 0.003 | 0.02 ± 0.01 | 0.04 ± 0.01 | 0.03 ± 0.01 | 0.02 ± 0.005 |
| 2019 | 0.14 ± 0.02 | 0.13 ± 0.01 | 0.17 ± 0.01 | 0.17 ± 0.03 | 0.16 ± 0.02 | |
| 2020 | 0.04 ± 0.01 | 0.03 ± 0.002 | 0.05 ± 0.01 | 0.05 ± 0.01 | 0.04 ± 0.003 |
| AC | AC+ | BC | BC+ | Control | ||
|---|---|---|---|---|---|---|
| MI | 2018 | 0.84 ± 0.06 | 1.15 ± 0.29 | 1.11 ± 0.18 | 1.38 ± 0.28 | 0.70 ± 0.11 |
| 2019 | 1.06 ± 0.27 | 0.81 ± 0.33 | 0.99 ± 0.31 | 1.13 ± 0.23 | 1.23 ± 0.29 | |
| 2020 | 1.64 ± 0.28 | 1.42 ± 0.13 | 1.38 ± 0.43 | 2.42 ± 0.32 | 1.63 ± 0.40 | |
| P/S f | 2018 | 4.22 ± 0.31 | 4.54 ± 0.38 | 4.36 ± 0.23 | 3.76 ± 0.47 | 4.38 ± 0.47 |
| 2019 | 6.46 ± 0.23 | 5.11 ± 0.47 | 6.04 ± 0.72 | 4.95 ± 0.50 | 5.42 ± 0.63 | |
| 2020 | 5.67 ± 0.63 | 5.71 ± 0.35 | 7.15 ± 0.31 | 6.68 ± 1.14 | 6.01 ± 1.02 | |
| P/S d | 2018 | 2.48 ± 0.11 | 2.55 ± 0.11 | 2.48 ± 0.11 | 2.07 ± 0.10 | 2.58 ± 0.21 |
| 2019 | 6.11 ± 0.51 | 5.03 ± 0.62 | 5.24 ± 0.34 | 4.54 ± 0.29 | 5.51 ± 0.58 | |
| 2020 | 4.10 ± 0.39 | 3.93 ± 0.35 | 4.34 ± 0.51 | 4.36 ± 0.20 | 4.21 ± 0.41 | |
| H | 2018 | 43.7 ± 1.07 | 44.1 ± 5.30 | 45.5 ± 3.19 | 40.8 ± 1.14 | 46.5 ± 1.46 |
| 2019 | 48.1 ± 2.25 | 49.1 ± 1.98 | 44.4 ± 2.83 | 48.3 ± 2.54 | 50.1 ± 1.27 | |
| 2020 | 54.6 ± 5.91 | 52.9 ± 1.48 | 50.6 ± 2.81 | 52.2 ± 2.62 | 52.1 ± 0.38 |
Publisher’s Note: MDPI stays neutral with regard to jurisdictional claims in published maps and institutional affiliations. |
© 2021 by the authors. Licensee MDPI, Basel, Switzerland. This article is an open access article distributed under the terms and conditions of the Creative Commons Attribution (CC BY) license (https://creativecommons.org/licenses/by/4.0/).
Share and Cite
L. de Sosa, L.; Benítez, E.; Girón, I.; Madejón, E. Agro-Industrial and Urban Compost as an Alternative of Inorganic Fertilizers in Traditional Rainfed Olive Grove under Mediterranean Conditions. Agronomy 2021, 11, 1223. https://doi.org/10.3390/agronomy11061223
L. de Sosa L, Benítez E, Girón I, Madejón E. Agro-Industrial and Urban Compost as an Alternative of Inorganic Fertilizers in Traditional Rainfed Olive Grove under Mediterranean Conditions. Agronomy. 2021; 11(6):1223. https://doi.org/10.3390/agronomy11061223
Chicago/Turabian StyleL. de Sosa, Laura, Emilio Benítez, Ignacio Girón, and Engracia Madejón. 2021. "Agro-Industrial and Urban Compost as an Alternative of Inorganic Fertilizers in Traditional Rainfed Olive Grove under Mediterranean Conditions" Agronomy 11, no. 6: 1223. https://doi.org/10.3390/agronomy11061223
APA StyleL. de Sosa, L., Benítez, E., Girón, I., & Madejón, E. (2021). Agro-Industrial and Urban Compost as an Alternative of Inorganic Fertilizers in Traditional Rainfed Olive Grove under Mediterranean Conditions. Agronomy, 11(6), 1223. https://doi.org/10.3390/agronomy11061223

