Optimizing Weed Management for the New Super-Forage Moringa oleifera
Abstract
1. Introduction
2. Materials and Methods
2.1. Plant Material and Experimental Site
2.2. Experimental Design
2.3. Chemical Weed Control Treatments
2.4. Non-Chemical Weed Control
2.5. Plants Evaluation
2.6. Statistical Analyses
3. Results
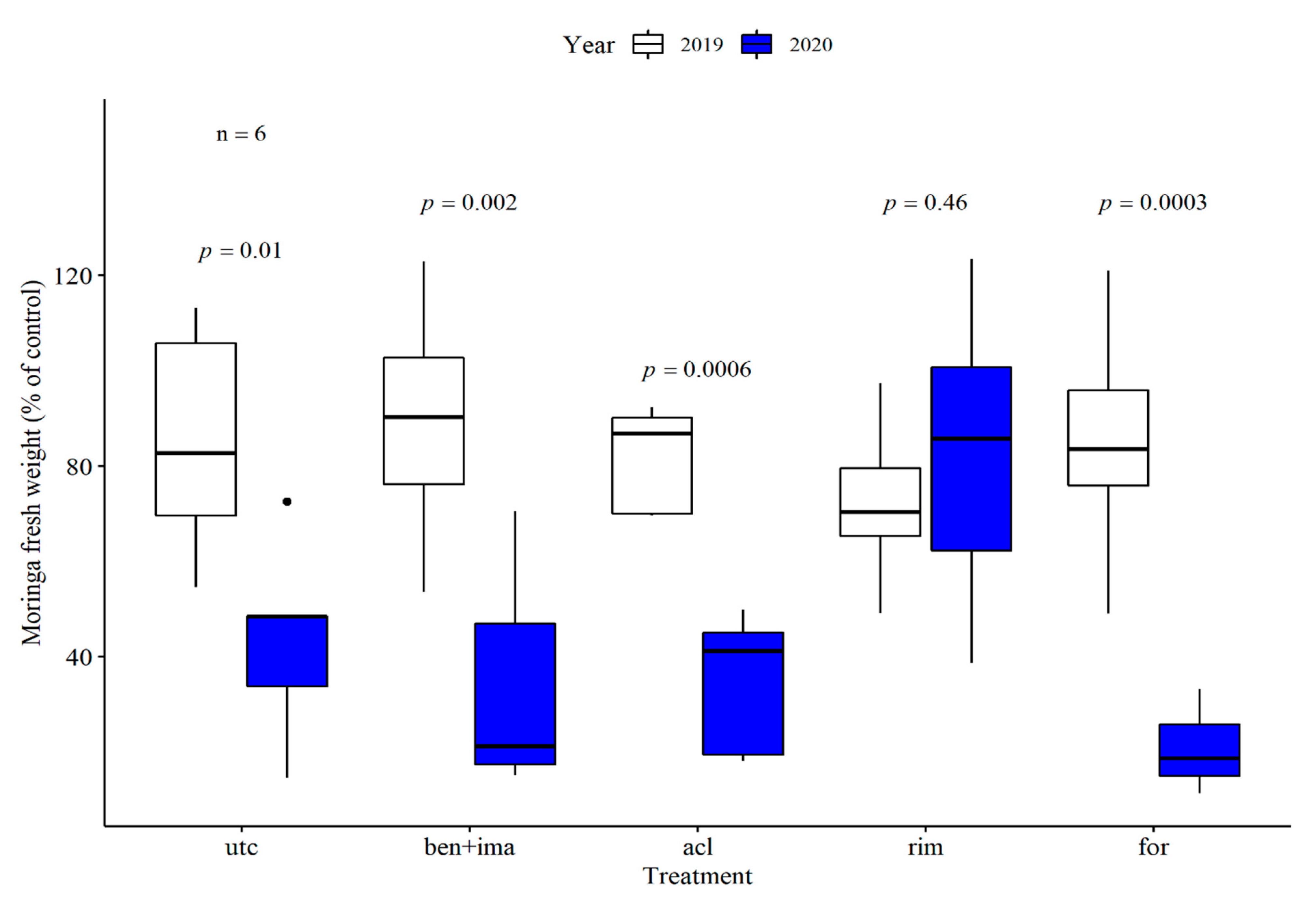
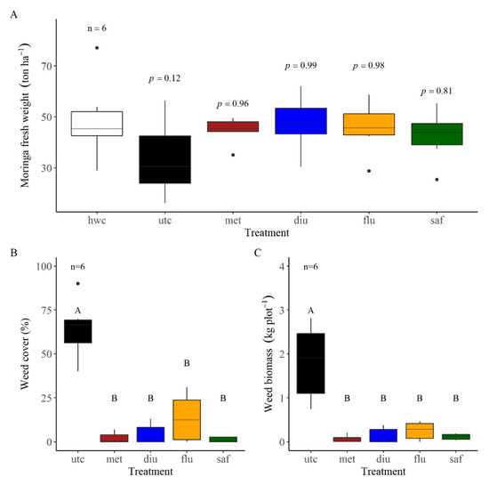
3.1. Pre-Emergence Herbicides
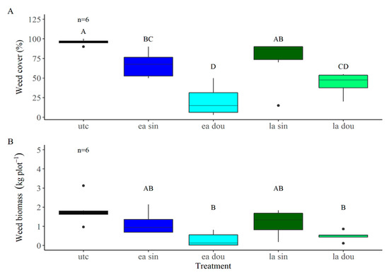
3.2. Post-Emergence Herbicides
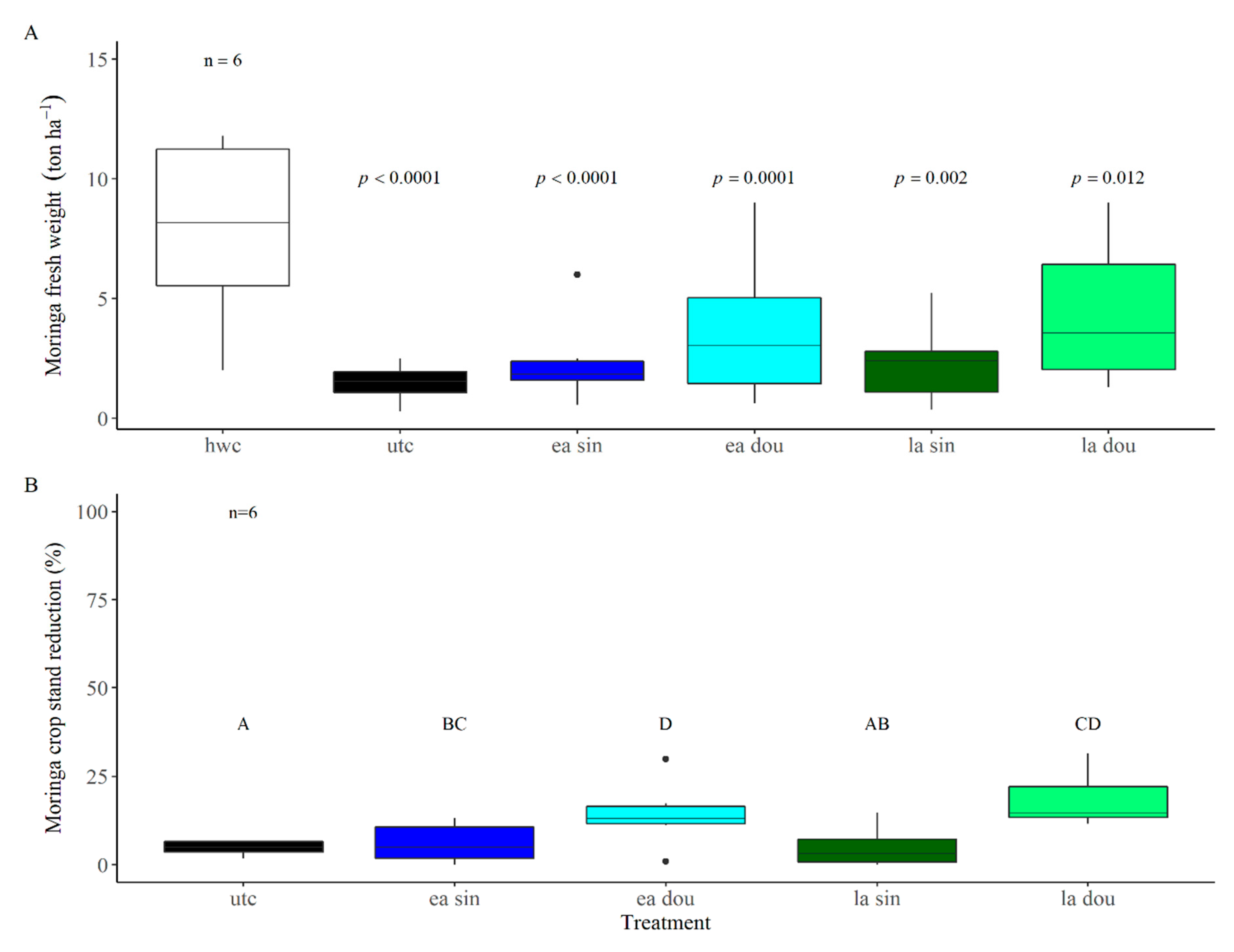
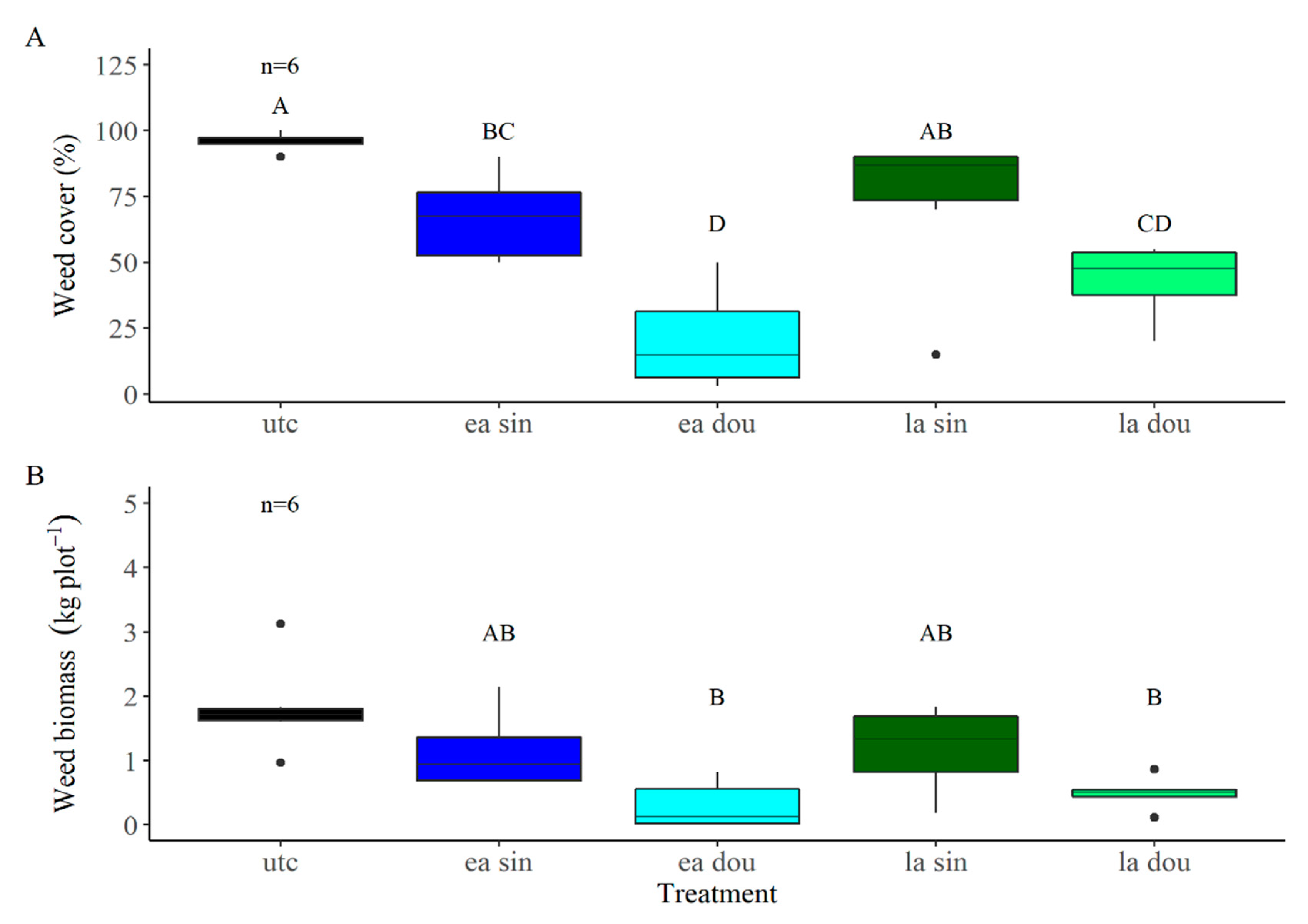
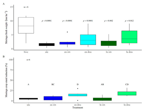
3.3. Cultivation
4. Discussion
5. Conclusions and Future Perspective
Supplementary Materials
Author Contributions
Funding
Institutional Review Board Statement
Informed Consent Statement
Data Availability Statement
Acknowledgments
Conflicts of Interest
References
- Jahn, S. Using moringa seeds as coagulants in developing countries. Am. Water Work. Assoc. 1988, 80, 43–50. [Google Scholar] [CrossRef]
- Olson, M.E.; Carlquist, S. Stem and root anatomical correlations with life form diversity, ecology, and systematics in Moringa (Moringaceae). Bot. J. Linn. Soc. 2001, 135, 315–348. [Google Scholar] [CrossRef]
- Camacho, P.F.; Sousa, S.V.; Bergamasco, R.; Teixeirs, R.M. The use of Moringa oleifera as a natural coagulant in surface water treatment. Chem. Eng. J. 2017, 313, 222–237. [Google Scholar] [CrossRef]
- Falowo, A.B.; Mukumbo, F.E.; Idamokoro, E.M.; Lorenzo, J.M.; Afolayan, A.J.; Muchenje, V. Multi-functional application of Moringa oleifera Lam. in nutrition and animal food products: A review. Food Res. Int. 2018, 106, 317–334. [Google Scholar] [CrossRef] [PubMed]
- Vaknin, Y.; Mishal, A. The potential of the tropical “miracle tree” Moringa oleifera and its desert relative Moringa peregrina as edible seed-oil and protein crops under Mediterranean conditions. Sci. Hortic. 2017, 225, 431–437. [Google Scholar] [CrossRef]
- Mridha, M.A.U. Prospects of moringa cultivation in Saudi Arabia. J. Appl. Environ. Biol. Sci. 2015, 5, 39–46. [Google Scholar]
- Gopalakrishnan, L.; Doriya, K.; Santhosh, D. Moringa oleifera: A review on nutritive importance and its medicinal application. Food Sci. Hum. Wellness 2016, 5, 49–56. [Google Scholar] [CrossRef]
- Makin, D.; Solowey, E.M. Observations on the adaptability of some species of moringa in Israel. Acta Hortic. 2017, 1158, 33–44. [Google Scholar] [CrossRef]
- Cohen-zinder, M.; Weinberg, Z.; Leibovich, H.; Chen, Y.; Rosen, M.; Sagi, G.; Orlov, A.; Agmon, R.; Yishay, M.; Miron, J.; et al. Ensiled Moringa oleifera: An antioxidant-rich feed that improves dairy cattle performance. J. Agric. Sci. 2017, 155, 1174–1186. [Google Scholar] [CrossRef]
- Cohen-zinder, M.; Orlov, A.; Tro, O.; Agmon, R.; Kabiya, R.; Shor-shimoni, E.; Wagner, E.K.; Hussey, K.; Leibovich, H.; Miron, J.; et al. Dietary supplementation of Moringa oleifera silage increases meat tenderness of Assaf lambs. Small Rumin. Res. 2017, 151, 110–116. [Google Scholar] [CrossRef]
- Cohen-Zinder, M.; Leibovich, H.; Vaknin, Y.; Sagi, G.; Shabtay, A.; Ben-Meir, Y.; Nikbachat, M.; Portnik, Y.; Yishay, M.; Miron, J. Effect of feeding lactating cows with ensiled mixture of Moringa oleifera, wheat hay and molasses, on digestibility and efficiency of milk production. Anim. Feed Sci. Technol. 2016, 211, 75–83. [Google Scholar] [CrossRef]
- Oerke, E.C. Crop losses to pests. J. Agric. Sci. 2006, 144, 31–43. [Google Scholar] [CrossRef]
- Puschner, B. Problem weeds in hay and forages for lifestock. In Proceedings of the 35th California Alfalfa & Forage Symposium, Visalia, CA, USA, 12–14 December 2005; pp. 12–14. [Google Scholar]
- Casida, J.E.; Bryant, R.J. The ABCs of pesticide toxicology: Amounts, biology, and chemistry. Toxicol. Res. 2017, 6, 755–763. [Google Scholar] [CrossRef]
- Monaco, T.J.; Weller, S.C.; Ashton, F.M. Weed Science: Principles and Practices; John Wiley & Sons: New York, NY, USA, 2002. [Google Scholar]
- Hernández, A.F.; Parrón, T.; Tsatsakis, A.M.; Requena, M.; Alarcón, R.; López-guarnido, O. Toxic effects of pesticide mixtures at a molecular level: Their relevance to human health. Toxicology 2013, 307, 136–145. [Google Scholar] [CrossRef] [PubMed]
- Peruzzi, A.; Martelloni, L.; Frasconi, C.; Fontanelli, M.; Pirchio, M.; Raffaelli, M. Machines for non-chemical intra-row weed control in narrow and wide-row crops: A review. J. Agric. Eng. 2017, 583, 57–70. [Google Scholar] [CrossRef]
- Pannacci, E.; Lattanzi, B.; Tei, F. Non-chemical weed management strategies in minor crops: A review. Crop Prot. 2017, 96, 44–58. [Google Scholar] [CrossRef]
- Ascard, J.; Fogelberg, F. Mechanical in-row weed control in transplanted and direct-sown bulb onions. Biol. Agric. Hortic. 2008, 25, 235–251. [Google Scholar] [CrossRef]
- Van der Weide, R.; Bleeker, P.; Achten, V.; Lotz, L. Innovation in mechanical weed control in crop rows. Weed Res. 2008, 48, 215–224. [Google Scholar] [CrossRef]
- Pannacci, E.; Tei, F. Effects of mechanical and chemical methods on weed control, weed seed rain and crop yield in maize, sunflower and soyabean. Crop Prot. 2014, 64, 51–59. [Google Scholar] [CrossRef]
- Pérez-Ruíz, M.; Slaughter, D.C.; Fathallah, F.A.; Gliever, C.J.; Miller, B.J. Co-robotic intra-row weed control system. Biosyst. Eng. 2014, 126, 45–55. [Google Scholar] [CrossRef]
- Melander, B.; Lattanzi, B.; Pannacci, E. Intelligent versus non-intelligent mechanical intra-row weed control in transplanted onion and cabbage. Crop Prot. 2015, 72, 1–8. [Google Scholar] [CrossRef]
- Znova, L.; Melander, B.; Lisowski, A.; Klonowski, J.; Edwards, G.T.C.; Nielsen, S.K.; Green, O. A new hoe share design for weed control: Measurements of soil movement and draught forces during operation. Acta Agric. Scand. Sect. B Soil Plant Sci. 2018, 68, 139–148. [Google Scholar] [CrossRef]
- Buhler, D.D.; Gunsolus, J.J.; Ralston, D.F. Integrated weed management techniques to reduce herbicide inputs in soybean. Agron. J. 1992, 84, 973–978. [Google Scholar] [CrossRef]
- Swanton, C.J.; Weise, S.F. Integrated Weed Management: The rationale and approach. Weed Res. 1991, 5, 657–663. [Google Scholar] [CrossRef]
- Buhler, D.D. 50th Anniversary-Invited Article: Challenges and opportunities for integrated weed management. Weed Sci. 2002, 50, 273–280. [Google Scholar] [CrossRef]
- Sokal, R.R.; Rohlf, F.J. Biometry: The Principles and Practice of Statistics in Biological Research, 3rd ed.; W.H. Freeman and Company: New York, NY, USA, 1997; pp. 419–422. [Google Scholar]
- Deytieux, V.; Nemecek, T.; Freiermuth, R.; Gaillard, G.; Munier-jolain, N.M. Is Integrated Weed Management efficient for reducing environmental impacts of cropping systems ? A case study based on life cycle assessment. Eur. J. Agron. 2012, 36, 55–65. [Google Scholar] [CrossRef]
- Liebman, M.; Gallandt, E.R. Many little hammers: Ecological management of crop-weed interactions. In Ecology in Agriculture; Academic Press: San Diego, CA, USA, 1997; pp. 291–343. [Google Scholar]
- Patel, J.B.; Bhatiya, V.J.; Babariya, C.A.; Sondarva, J. Effect of seed size on seedling vigour, plant growth, seed yield and its parameters: A review. Res. Environ. Life Sci. 2016, 9, 859–864. [Google Scholar]
- Muhl, Q.E.; Du Toit, E.S.; Robbertse, P.J. Temperature effect on seed germination and seedling growth of Moringa oleifera Lam. Seed Sci. Technol. 2011, 39, 208–213. [Google Scholar] [CrossRef]
- Fakayode, O.A.; Akpan, D.E.; Ojoawo, O.O. Size characterization of moringa (Moringa oleifera) seeds and optimization of the dehulling process. J. Food Process Eng. 2019, 42, 1–17. [Google Scholar] [CrossRef]
- Eshel, Y. Tolerance of cotton to diuron, fluometuron, norea, and prometryne. Weed Sci. 1969, 17, 492–496. [Google Scholar] [CrossRef]
- Kleifeld, Y.; Rubin, B.; Blumenfeld, T.; Herzlinger, G.; Buxbaum, H.; Golan, S. Soil-incorporated trifluralin protects cotton (Gossypium hirsutum) from root-absorbed herbicides. Weed Res. 1994, 34, 461–469. [Google Scholar] [CrossRef]
- Cole, D.J. Detoxification and activation of agrochemicals in plants. Pestic. Sci. 1994, 42, 209–222. [Google Scholar] [CrossRef]
- Altland, J.E. Efficacy of preemergence herbicides over time. J. Environ. Hortic. 2019, 37, 55–62. [Google Scholar] [CrossRef]
- Muhl, Q.E.; du Toit, E.S.; Robbertse, P.J. Adaptability of Moringa oleifera Lam. (Horseradish) tree seedlings to three temperature regimes. Am. J. Plant Sci. 2011, 2, 776–780. [Google Scholar] [CrossRef]
- Matzrafi, M.; Seiwert, B.; Reemtsma, T.; Rubin, B.; Peleg, Z. Climate change increases the risk of herbicide-resistant weeds due to enhanced detoxification. Planta 2016, 244, 1217–1227. [Google Scholar] [CrossRef]
- Baucom, R.S. Evolutionary and ecological insights from herbicide-resistant weeds: What have we learned about plant adaptation, and what is left to uncover? New Phytol. 2019, 223, 68–82. [Google Scholar] [CrossRef] [PubMed]
- Ziska, L.H. Climate change and the herbicide paradigm: Visiting the future. Agronomy 2020, 10, 1953. [Google Scholar] [CrossRef]
- Asaf, E. Mechanical weed control for row crop using finger weeder. Ph.D. Thesis, The Hebrew University of Jerusalem, Jerusalem, Israel, 2021. [Google Scholar]
- Melander, B.; Rasmussen, I.A.; Bàrberi, P. Integrating physical and cultural methods of weed control—Examples from European research symposium integrating physical and cultural methods of weed control. Weed Sci. 2005, 53, 369–381. [Google Scholar] [CrossRef]
- Rask, A.M.; Larsen, S.U.; Andreasen, C.; Kristoffersen, P. Determining treatment frequency for controlling weeds on traffic islands using chemical and non-chemical weed control. Weed Res. 2013, 53, 249–258. [Google Scholar] [CrossRef]
- Cirujeda, A.; Aibar, J.; Moreno, M.; Zaragoza, C. Effective mechanical weed control in processing tomato: Seven years of results. Renew. Agric. Food Syst. 2013, 30, 223–232. [Google Scholar] [CrossRef]





| Treatment | Crop Initial Stand (Plants Per Plot) | CV (%) |
|---|---|---|
| Hand-weeded | 84.5 | 6.9 |
| Untreated | 78.6 (p = 0.34) | 8.6 |
| S-metolachlor | 84.5 (p = 1) | 5.0 |
| Diuron | 90.0 (p = 0.39) | 9.0 |
| Flurochloridone | 86.8 (p = 0.94) | 3.6 |
| Saflufencil | 87.3 (p = 0.88) | 5.8 |
Publisher’s Note: MDPI stays neutral with regard to jurisdictional claims in published maps and institutional affiliations. |
© 2021 by the authors. Licensee MDPI, Basel, Switzerland. This article is an open access article distributed under the terms and conditions of the Creative Commons Attribution (CC BY) license (https://creativecommons.org/licenses/by/4.0/).
Share and Cite
Shulner, I.; Asaf, E.; Ben-Simhon, Z.; Cohen-Zinder, M.; Shabtay, A.; Peleg, Z.; Lati, R.N. Optimizing Weed Management for the New Super-Forage Moringa oleifera. Agronomy 2021, 11, 1055. https://doi.org/10.3390/agronomy11061055
Shulner I, Asaf E, Ben-Simhon Z, Cohen-Zinder M, Shabtay A, Peleg Z, Lati RN. Optimizing Weed Management for the New Super-Forage Moringa oleifera. Agronomy. 2021; 11(6):1055. https://doi.org/10.3390/agronomy11061055
Chicago/Turabian StyleShulner, Itai, Evyatar Asaf, Zohar Ben-Simhon, Miri Cohen-Zinder, Ariel Shabtay, Zvi Peleg, and Ran Nisim Lati. 2021. "Optimizing Weed Management for the New Super-Forage Moringa oleifera" Agronomy 11, no. 6: 1055. https://doi.org/10.3390/agronomy11061055
APA StyleShulner, I., Asaf, E., Ben-Simhon, Z., Cohen-Zinder, M., Shabtay, A., Peleg, Z., & Lati, R. N. (2021). Optimizing Weed Management for the New Super-Forage Moringa oleifera. Agronomy, 11(6), 1055. https://doi.org/10.3390/agronomy11061055

