Sustainability Estimation of Oat:Pea Intercrops from the Agricultural Life Cycle Assessment Perspective
Abstract
1. Introduction
2. Materials and Methods
2.1. Data Source and Life Cycle Inventory
2.2. Goal and Scope Definition
2.3. Software Data Inventorization
2.4. Determination of Field Emissions
2.5. Impact Assessment
3. Results and Data Interpretation
3.1. Unit of Production and the Sensitivity Analysis
3.2. Unit of the Area and the Sensitivity Analysis
3.3. Contribution Analysis Summarization
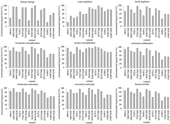
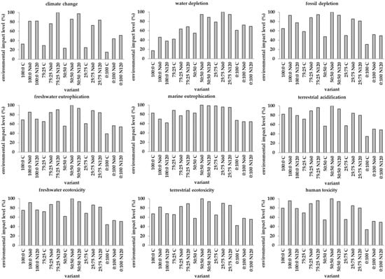
3.4. Trends of the Environmental Impacts (LCA Weighing)
4. Discussion
5. Conclusions and Prospects
- (1)
- To focus on intercropping systems, whose high diversity contrasts with the low rate of data available
- (2)
- The modelling of field emissions of nutrients based on combining parameters of soil, climate, biological fixation on nitrogen, and practices
- (3)
- The fate of pesticides in the environment and their environmental impact
Author Contributions
Funding
Institutional Review Board Statement
Informed Consent Statement
Data Availability Statement
Acknowledgments
Conflicts of Interest
Abbreviations
| CAN | calcium ammonium nitrate |
| CAP | The common agricultural policy |
| CO2 | carbon dioxide |
| C variant | control variant |
| EC | European Commission |
| eq | equivalent |
| FU | Functional unit |
| HI | Harvest index |
| IPCC | Intergovernmental Panel on Climate Change |
| ISO | International Organization for Standardization |
| LCA | the life cycle assessment |
| LCI | the life cycle inventory |
| LERN | land equivalent ratio of N yields |
| N | nitrogen |
| N2 | dinitrogen |
| NH3 | ammonia |
| NO | nitric oxide |
| N2O | nitrous oxide |
| NO3− | nitrate |
| NOx | nitrogen oxides |
| N60 variant | variant with the input of 60 kg N ha−1 |
| N120 variant | variant with the input of 120 kg N ha−1 |
| P | phosphorus |
| SO2 | sulfur dioxide |
| tkm | the tonne-kilometer |
| SOM | soil organic matter |
| WFLDB | World Food LCA Database |
| 1.4-DB | 1.4-dichlorobenzene |
References
- European Commission. Common Agricultural Policy (CAP). Sustainable Agriculture in the Common Agricultural Policy. 2021. Available online: https://ec.europa.eu/info/food-farming-fisheries/sustainability/sustainable-cap_en/ (accessed on 24 January 2021).
- European Commission (EC). From Farm to Fork: Our food, Our Health, Our Planet, Our Future. 2021. Available online: https://ec.europa.eu/info/strategy/priorities-2019–2024/european-green-deal/actions-being-taken-eu/farm-fork_en/ (accessed on 24 January 2021).
- Sanz-Cobena, A.; Lassaletta, L.; Aguilera, E.; del Prado, A.; Garnier, J.; Billen, G.; Iglesias, A.; Sánchez, B.; Guardia, G.; Abalos, D.; et al. Strategies for Greenhouse Gas Emissions Mitigation in Mediterranean Agriculture: A Review. Agric. Ecosyst. Environ. 2017, 238, 5–24. [Google Scholar] [CrossRef]
- Neugschwandtner, R.W.; Kaul, H.-P. Nitrogen Uptake, Use and Utilization Efficiency by Oat–Pea Intercrops. Field Crops Res. 2015, 179, 113–119. [Google Scholar] [CrossRef]
- Pelzer, E.; Bazot, M.; Makowski, D.; Corre-Hellou, G.; Naudin, C.; Al Rifaï, M.; Baranger, E.; Bedoussac, L.; Biarnès, V.; Boucheny, P.; et al. Pea–Wheat Intercrops in Low-Input Conditions Combine High Economic Performances and Low Environmental Impacts. Eur. J. Agron. 2012, 40, 39–53. [Google Scholar] [CrossRef]
- Moudrý, J.; Bernas, J.; Moudrý, J.; Konvalina, P.; Ujj, A.; Manolov, I.; Stoeva, A.; Rembialkowska, E.; Stalenga, J.; Toncea, I.; et al. Agroecology Development in Eastern Europe—Cases in Czech Republic, Bulgaria, Hungary, Poland, Romania, and Slovakia. Sustainability 2018, 10, 1311. [Google Scholar] [CrossRef]
- Ghaley, B.B.; Hauggaard-Nielsen, H.; Høgh-Jensen, H.; Jensen, E.S. Intercropping of Wheat and Pea as Influenced by Nitrogen Fertilization. Nutr. Cycl. Agroecosystems 2005, 73, 201–212. [Google Scholar] [CrossRef]
- Mohler, C.L.; Stoner, K.A. Guidelines for Intercropping. In Crop Rotation on Organic Farms: A Planning Manual, NRAES 177; Mohler, C.L., Johnson, S.E., Eds.; NRAES: New York, NY, USA, 2009; pp. 95–101. [Google Scholar]
- Neugschwandtner, R.W.; Kaul, H.-P. Sowing Ratio and N Fertilization Affect Yield and Yield Components of Oat and Pea in Intercrops. Field Crops Res. 2014, 155, 159–163. [Google Scholar] [CrossRef]
- Neugschwandtner, R.W.; Kaul, H.-P. Concentrations and Uptake of Macronutrients by Oat and Pea in Intercrops in Response to N Fertilization and Sowing Ratio. Arch. Agron. Soil Sci. 2016, 62, 1236–1249. [Google Scholar] [CrossRef]
- Neugschwandtner, R.W.; Kaul, H.-P. Concentrations and Uptake of Micronutrients by Oat and Pea in Intercrops in Response to N Fertilization and Sowing Ratio: Konzentrationen Und Aufnahme von Mikronährstoffen Durch Hafer Und Erbse in Gemengen in Abhängigkeit Der N-Düngung Und Des Mischungsverhältnisses. Die Bodenkult. J. Land Manag. Food Environ. 2016, 67, 1–15. [Google Scholar] [CrossRef]
- Neugschwandtner, R.W.; Kaul, H.-P.; Moitzi, G.; Klimek-Kopyra, A.; Lošák, T.; Wagentristl, H. A Low Nitrogen Fertiliser Rate in Oat–Pea Intercrops Does Not Impair N2 Fixation. Acta Agric. Scand. Sect. B—Soil Plant Sci. 2021, 71, 182–190. [Google Scholar] [CrossRef]
- Dijkman, T.J.; Basset-Mens, C.; Antón, A.; Núñez, M. LCA of Food and Agriculture. In Life Cycle Assessment; Hauschild, M.Z., Rosenbaum, R.K., Olsen, S.I., Eds.; Springer: Cham, Switzerland, 2018; pp. 723–754. ISBN 978-3-319-56474-6. [Google Scholar]
- Roy, P.; Nei, D.; Orikasa, T.; Xu, Q.; Okadome, H.; Nakamura, N.; Shiina, T. A Review of Life Cycle Assessment (LCA) on Some Food Products. J. Food Eng. 2009, 90, 1–10. [Google Scholar] [CrossRef]
- Naudin, C.; van der Werf, H.M.G.; Jeuffroy, M.-H.; Corre-Hellou, G. Life Cycle Assessment Applied to Pea-Wheat Intercrops: A New Method for Handling the Impacts of Co-Products. J. Clean. Prod. 2014, 73, 80–87. [Google Scholar] [CrossRef]
- Wernet, G.; Bauer, C.; Steubing, B.; Reinhard, J.; Moreno-Ruiz, E.; Weidema, B. The Ecoinvent Database Version 3 (Part I): Overview and Methodology. Int. J. Life Cycle Assess. 2016, 21, 1218–1230. [Google Scholar] [CrossRef]
- Durlinger, B.; Koukouna, E.; Broekema, R.; Van Paassen, M.; Scholten, J. Agri-Footprint 4.0-Part 1: Methodology and Basic Principles; Agri-Footprint: Gouda, The Netherlands, 2017; 52p. [Google Scholar]
- Nemecek, T.; Bengoa, X.; Lansche, J.; Roesch, A.; Faist-Emmenegger, M.; Rossi, V.; Humbert, S. Methodological Guidelines for the Life Cycle Inventory of Agricultural Products. Version 3.5. December 2019. World Food LCA Database (WFLDB); Quantis and Agroscope: Lausanne and Zurich, Switzerland, 2019; 88p. [Google Scholar]
- ISO. ISO 14040—Environmental Management–Life Cycle Assessment–Principles and Framework; International Organization for Standardization: Geneva, Switzerland, 2006. [Google Scholar]
- ISO. ISO 14044—Environmental Management–Life Cycle Assessment–Requirements and Guidelines; International Organization for Standardization: Geneva, Switzerland, 2006. [Google Scholar]
- Nemecek, T.; Kägi, T. Life Cycle Inventories of Swiss and European Agricultural Production Systems. Final Report Ecoinvent V2.0 No. 15a. In Agroscope Reckenholz-Taenikon Research Station ART, 1st ed.; Swiss Centre for Life Cycle Inventories: Zürich, Switzerland, 2007; 360p. [Google Scholar]
- Hauschild, M.Z.; Olsen, S.I.; Rosenbaum, R.K. Life Cycle Assessment: Theory and Practice, 1st ed.; Springer: Cham, Switzerland, 2018; ISBN 978-3-319-56475-3. [Google Scholar]
- Hakl, J.; Brant, V.; Mášková, K.; Neckář, K.; Pivec, J. The forage utilization of winter pea-cereal mixture in agriculture low-input system. Acta Univ. Agric. Silvic. Mendel. Brun. 2014, 59, 47–52. [Google Scholar] [CrossRef]
- Kumar, K.; Goh, K.M. Biological Nitrogen Fixation, Accumulation of Soil Nitrogen and Nitrogen Balance for White Clover (Trifolium repens L.) and Field Pea (Pisum sativum L.) Grown for Seed. Field Crops Res. 2000, 68, 49–59. [Google Scholar] [CrossRef]
- Saget, S.; Costa, M.; Barilli, E.; de Vasconcelos, M.W.; Santos, C.S.; Styles, D.; Williams, M. Substituting Wheat with Chickpea Flour in Pasta Production Delivers More Nutrition at a Lower Environmental Cost. Sustain. Prod. Consum. 2020, 24, 26–38. [Google Scholar] [CrossRef]
- Monti, M.; Pellicanò, A.; Santonoceto, C.; Preiti, G.; Pristeri, A. Yield Components and Nitrogen Use in Cereal-Pea Intercrops in Mediterranean Environment. Field Crops Res. 2016, 196, 379–388. [Google Scholar] [CrossRef]
- Bernas, J.; Konvalina, P.; Burghila, D.V.; Teodorescu, R.I.; Bucur, D. The Energy and Environmental Potential of Waste from the Processing of Hulled Wheat Species. Agriculture 2020, 10, 592. [Google Scholar] [CrossRef]
- Bernas, J.; Bernasová, T.; Gerstberger, P.; Moudrý, J.; Konvalina, P.; Moudrý, J. Cup Plant, an Alternative to Conventional Silage from a LCA Perspective. Int. J. Life Cycle Assess. 2021, 26, 311–326. [Google Scholar] [CrossRef]
- Mosier, A.; Kroeze, C.; Nevison, C.; Oenema, O.; Seitzinger, S.; van Cleemput, O. Closing the Global N2O Budget: Nitrous Oxide Emissions through the Agricultural Nitrogen Cycle. Nutr. Cycl. Agroecosystems 1998, 52, 225–248. [Google Scholar] [CrossRef]
- Bos, J.F.F.P.; de Haan, J.; Sukkel, W.; Schils, R.L.M. Energy Use and Greenhouse Gas Emissions in Organic and Conventional Farming Systems in the Netherlands. NJAS Wagening. J. Life Sci. 2014, 68, 61–70. [Google Scholar] [CrossRef]
- Jelínková, Z.; Moudrý, J.; Bernas, J.; Kopecký, M.; Moudrý, J.; Konvalina, P. Environmental and Economic Aspects of Triticum aestivum L. and Avena sativa Growing. Open Life Sci. 2016, 11, 533–541. [Google Scholar] [CrossRef][Green Version]
- Pauer, E.; Wohner, B.; Tacker, M. The Influence of Database Selection on Environmental Impact Results. Life Cycle Assessment of Packaging Using GaBi, Ecoinvent 3.6, and the Environmental Footprint Database. Sustainability 2020, 12, 9948. [Google Scholar] [CrossRef]
- Veselá, T.; Nedbal, V.; Brom, J. Detection of pesticide in a small agricultural basin after 15 years of application ban. Int. Multidiscip. Sci. Geoconf. SGEM 2020, 20, 75–82. [Google Scholar] [CrossRef]
- Margni, M.; Rossier, D.; Crettaz, P.; Jolliet, O. Life Cycle Impact Assessment of Pesticides on Human Health and Ecosystems. Agric. Ecosyst. Environ. 2002, 93, 379–392. [Google Scholar] [CrossRef]
- Bessou, C.; Basset-Mens, C.; Tran, T.; Benoist, A. LCA Applied to Perennial Cropping Systems: A Review Focused on the Farm Stage. Int. J. Life Cycle Assess. 2013, 18, 340–361. [Google Scholar] [CrossRef]
- Birkved, M.; Hauschild, M.Z. PestLCI—A Model for Estimating Field Emissions of Pesticides in Agricultural LCA. Ecol. Model. 2006, 198, 433–451. [Google Scholar] [CrossRef]
- Erstfeld, K.M. Environmental Fate of Synthetic Pyrethroids during Spray Drift and Field Runoff Treatments in Aquatic Microcosms. Chemosphere 1999, 39, 1737–1769. [Google Scholar] [CrossRef]
- Sudakin, D.L. Pyrethroid Insecticides: Advances and Challenges in Biomonitoring. Clin. Toxicol. 2006, 44, 31–37. [Google Scholar] [CrossRef] [PubMed]
- Bernas, J.; Konvalina, P.; Brom, J.; Moudrý, J.; Veselá, T.; Bucur, D.; Dirja, M.; Shim, S. Assessment and Protection of Water Resources in the Czech Republic; Zeleňáková, M., Fialová, J., Negm, A., Eds.; Springer: Cham, Switzerland, 2020; ISBN 978-3-030-18362-2. [Google Scholar]
- Eggleston, S.; Buendia, L.; Miwa, K.; Ngara, T.; Tanabe, K. IPCC Guidelines for National Greenhouse Gas Inventories, Volume 4: Agriculture, Forestryand Other Land Use. 2006. Available online: https://www.ipcc-nggip.iges.or.jp/public/2006gl/vol4.html (accessed on 15 October 2021).
- Gentil, C.; Basset-Mens, C.; Manteaux, S.; Mottes, C.; Maillard, E.; Biard, Y.; Fantke, P. Coupling Pesticide Emission and Toxicity Characterization Models for LCA: Application to Open-Field Tomato Production in Martinique. J. Clean. Prod. 2020, 277, 124099. [Google Scholar] [CrossRef]





| Unit | Oat:Pea (100:0) | Oat:Pea (75:25) | Oat:Pea (50:50) | Oat:Pea (25:75) | Oat:Pea (0:100) | |
|---|---|---|---|---|---|---|
| C/N60/N120 | C/N60/N120 | C/N60/N120 | C/N60/N120 | C/N60/N120 | ||
| Outputs | ||||||
| Grain yield | kg ha−1 | 4281/5211/5752 | 4354/5284/4342 | 4582/4400/4647 | 4064/4707/4504 | 5165/5823/5721 |
| Grain N yield | kg ha−1 | 81.6/111.5/135.4 | 93.0/119.6/110.9 | 116.3/106.6/114.1 | 112.8/126.4/133.4 | 187.2/210.2/218.9 |
| Residue N yield | kg ha−1 | 28.5/44.9/59.6 | 35.4/44.6/89.2 | 45.4/62.1/69.2 | 54.3/65.1/80.8 | 54.4/72.8/70.7 |
| Land demand for generating the same grain N yield # | ha | 2.68/1.96/1.62 | 2.36/1.83/1.97 | 1.88/2.05/1.92 | 1.94/1.73/1.64 | 1.17/1.04/1.00 |
| Inputs from technosphere | ||||||
| Nitrogen (calcium ammonium nitrate, 27% N) * | kg ha−1 | 0/60/120 | 0/60/120 | 0/60/120 | 0/60/120 | 0/60/120 |
| Application of plant protection products by field sprayer * | ha | 1 | 1 | 1 | 1 | 1 |
| Combine harvesting * | ha | 1 | 1 | 1 | 1 | 1 |
| Fertilization by broadcaster * | ha | -/2/2 | -/2/2 | -/2/2 | -/2/2 | -/2/2 |
| Insecticide at plant (pyrethroid-compound) * | g ha−1 | 75 | 75 | 75 | 75 | 75 |
| Oat seed for sowing * | kg ha−1 | 120 | 90 | 60 | 30 | 0 |
| Pea seed for sowing * | kg ha−1 | 0 | 52.5 | 105 | 157.5 | 210 |
| Tillage, harrowing, by spring tine harrow * | ha | 1 | 1 | 1 | 1 | 1 |
| Tillage, cultivating, chiselling/by disk harrow * | ha | 1 | 1 | 1 | 1 | 1 |
| Sowing * | ha | 1 | 1 | 1 | 1 | - |
| Transport, tractor, and trailer, agricultural * | tkm | 21.4/26.1/28.8 | 21.8/26.4/21.7 | 22.9/22.0/23.2 | 20.3/23.5/22.5 | 25.8/29.1/28.6 |
| Tillage, currying, by weeder * | ha | 1 | 1 | 1 | 1 | 1 |
| Land use change (annual or perennial crop) * | ha | 1 | 1 | 1 | 1 | 1 |
| Inputs from nature | ||||||
| Land occupation * | ha | 1 | 1 | 1 | 1 | 1 |
| Water (as a medium for plant protection products) | L ha−1 | 300 | 300 | 300 | 300 | 300 |
| Emissions to air | ||||||
| Dinitrogen monoxide (direct and indirect) | kg ha−1 | -/2.813/4.235 | -/2.813/4.235 | -/2.813/4.235 | -/2.813/4.235 | -/2.813/4.235 |
| Ammonia (volatilization) | kg ha−1 | -/1.2/2.4 | -/1.2/2.4 | -/1.2/2.4 | -/1.2/2.4 | -/1.2/2.4 |
| Emissions to water | ||||||
| Nitrate (leaching) | kg ha−1 | -/0.135/0.271 | -/0.135/0.271 | -/0.135/0.271 | -/0.135/0.271 | -/0.135/0.271 |
| Impact Category | Oat:Pea (100:0) | Oat:Pea (75:25) | Oat:Pea (50:50) | Oat:Pea (25:75) | Oat:Pea (0:100) | |
|---|---|---|---|---|---|---|
| Climate change (kg CO2eq) | C | 5.19 | 4.52 | 3.64 | 3.56 | 2.51 |
| N60 | 12.38 | 11.84 | 11.57 | 10.24 | 6.97 | |
| N120 | 12.11 | 11.83 | 12.96 | 11.18 | 8.27 | |
| Terrestrial acidification (g SO2eq) | C | 22.16 | 18.83 | 0.61 | 14.18 | 9.75 |
| N60 | 24.96 | 23.71 | 0.97 | 20.19 | 13.66 | |
| N120 | 20.04 | 19.42 | 0.89 | 18.11 | 13.34 | |
| Freshwater eutrophication (g P eq) | C | 0.79 | 0.72 | 0.64 | 0.63 | 0.46 |
| N60 | 0.94 | 0.95 | 0.98 | 0.90 | 0.64 | |
| N120 | 0.75 | 0.77 | 0.91 | 0.81 | 0.63 | |
| Marine eutrophication (g N eq) | C | 3.66 | 3.80 | 3.55 | 3.94 | 3.08 |
| N60 | 2.97 | 3.35 | 3.76 | 3.76 | 2.85 | |
| N120 | 2.55 | 2.91 | 3.64 | 3.53 | 2.90 | |
| Human toxicity (kg 1.4-DB eq) | C | 5.69 | 4.82 | 3.79 | 3.60 | 2.49 |
| N60 | 6.53 | 6.25 | 6.07 | 5.38 | 3.67 | |
| N120 | 5.26 | 5.10 | 5.59 | 4.82 | 3.59 | |
| Terrestrial ecotoxicity (kg 1.4-DB eq) | C | 11.91 | 11.34 | 9.89 | 10.42 | 7.83 |
| N60 | 13.94 | 14.37 | 15.01 | 14.17 | 10.24 | |
| N120 | 11.20 | 11.77 | 13.82 | 12.71 | 10.00 | |
| Freshwater ecotoxicity (dkg 1.4-DB eq) | C | 10.84 | 10.12 | 8.68 | 9.00 | 6.70 |
| N60 | 12.70 | 12.38 | 12.29 | 11.08 | 7.70 | |
| N120 | 10.21 | 10.13 | 11.32 | 9.94 | 7.52 | |
| Water depletion (L) | C | 15.6 | 37.2 | 48.5 | 65.2 | 57.8 |
| N60 | 40.1 | 57.0 | 73.7 | 81.1 | 65.8 | |
| N120 | 32.2 | 46.7 | 67.8 | 72.7 | 64.3 | |
| Fossil depletion (kg oil eq) | C | 1.05 | 0.92 | 0.75 | 0.74 | 0.52 |
| N60 | 1.45 | 1.40 | 1.38 | 1.23 | 0.84 | |
| N120 | 1.17 | 1.15 | 1.27 | 1.10 | 0.83 |
| Impact Category | Oat:Pea (100:0) | Oat:Pea (75:25) | Oat:Pea (50:50) | Oat:Pea (25:75) | Oat:Pea (0:100) | |
|---|---|---|---|---|---|---|
| Climate change (t CO2eq) | C | 1.53 | 1.37 | 1.11 | 1.16 | 0.71 |
| N60 | 3.79 | 3.56 | 4.00 | 3.39 | 2.05 | |
| N120 | 3.82 | 4.66 | 4.56 | 3.91 | 2.40 | |
| Terrestrial acidification (kg SO2eq) | C | 6.54 | 5.70 | 4.51 | 4.60 | 2.76 |
| N60 | 7.65 | 7.12 | 7.94 | 6.69 | 4.02 | |
| N120 | 6.33 | 7.65 | 7.44 | 6.34 | 3.86 | |
| Freshwater eutrophication (g P eq) | C | 231.69 | 219.02 | 186.57 | 204.26 | 131.24 |
| N60 | 286.75 | 284.05 | 335.47 | 298.72 | 189.39 | |
| N120 | 237.46 | 304.80 | 314.44 | 283.01 | 182.05 | |
| Marine eutrophication (kg N eq) | C | 1.08 | 1.15 | 1.08 | 1.28 | 0.87 |
| N60 | 0.91 | 1.01 | 1.30 | 1.25 | 0.84 | |
| N120 | 0.80 | 1.15 | 1.28 | 1.24 | 0.84 | |
| Human toxicity (t 1.4-DB eq) | C | 1.68 | 1.46 | 1.15 | 1.17 | 0.70 |
| N60 | 2.00 | 1.88 | 2.10 | 1.78 | 1.08 | |
| N120 | 1.66 | 2.01 | 1.97 | 1.69 | 1.04 | |
| Terrestrial ecotoxicity (t 1.4-DB eq) | C | 3.51 | 3.43 | 3.01 | 3.38 | 2.21 |
| N60 | 4.27 | 4.32 | 5.19 | 4.69 | 3.01 | |
| N120 | 3.54 | 4.64 | 4.87 | 4.45 | 2.90 | |
| Freshwater ecotoxicity (kg 1.4-DB eq) | C | 31.98 | 30.64 | 26.41 | 29.20 | 18.93 |
| N60 | 38.93 | 37.21 | 42.51 | 36.72 | 22.65 | |
| N120 | 32.24 | 39.91 | 39.85 | 34.78 | 21.77 | |
| Water depletion (m3) | C | 4.60 | 11.28 | 14.74 | 21.14 | 16.34 |
| N60 | 12.29 | 17.12 | 25.49 | 26.85 | 19.36 | |
| N120 | 10.17 | 18.42 | 23.88 | 25.45 | 18.62 | |
| Fossil depletion (kg oil eq) | C | 309.54 | 278.56 | 226.81 | 238.41 | 147.33 |
| N60 | 444.83 | 420.78 | 476.54 | 407.49 | 248.58 | |
| N120 | 368.09 | 452.05 | 446.55 | 386.14 | 238.97 |
Publisher’s Note: MDPI stays neutral with regard to jurisdictional claims in published maps and institutional affiliations. |
© 2021 by the authors. Licensee MDPI, Basel, Switzerland. This article is an open access article distributed under the terms and conditions of the Creative Commons Attribution (CC BY) license (https://creativecommons.org/licenses/by/4.0/).
Share and Cite
Bernas, J.; Bernasová, T.; Kaul, H.-P.; Wagentristl, H.; Moitzi, G.; Neugschwandtner, R.W. Sustainability Estimation of Oat:Pea Intercrops from the Agricultural Life Cycle Assessment Perspective. Agronomy 2021, 11, 2433. https://doi.org/10.3390/agronomy11122433
Bernas J, Bernasová T, Kaul H-P, Wagentristl H, Moitzi G, Neugschwandtner RW. Sustainability Estimation of Oat:Pea Intercrops from the Agricultural Life Cycle Assessment Perspective. Agronomy. 2021; 11(12):2433. https://doi.org/10.3390/agronomy11122433
Chicago/Turabian StyleBernas, Jaroslav, Tereza Bernasová, Hans-Peter Kaul, Helmut Wagentristl, Gerhard Moitzi, and Reinhard W. Neugschwandtner. 2021. "Sustainability Estimation of Oat:Pea Intercrops from the Agricultural Life Cycle Assessment Perspective" Agronomy 11, no. 12: 2433. https://doi.org/10.3390/agronomy11122433
APA StyleBernas, J., Bernasová, T., Kaul, H.-P., Wagentristl, H., Moitzi, G., & Neugschwandtner, R. W. (2021). Sustainability Estimation of Oat:Pea Intercrops from the Agricultural Life Cycle Assessment Perspective. Agronomy, 11(12), 2433. https://doi.org/10.3390/agronomy11122433

