Optimizing Tomato Growth and Productivity Using Nitrogen and Irrigation Application Timing
Abstract
:1. Introduction
2. Materials and Methods
2.1. Study Location and Treatment Specifications
2.2. Pre-Planting and Planting Operations
2.3. Irrigation and Fertigation Practices
2.4. Crop Biomass and Yield Estimation
2.5. Soil NO3−-N, NH4+-N and Moisture Distribution
2.6. Statistical Analysis
3. Results and Discussion
3.1. Weather Condition and Irrigation Water Application
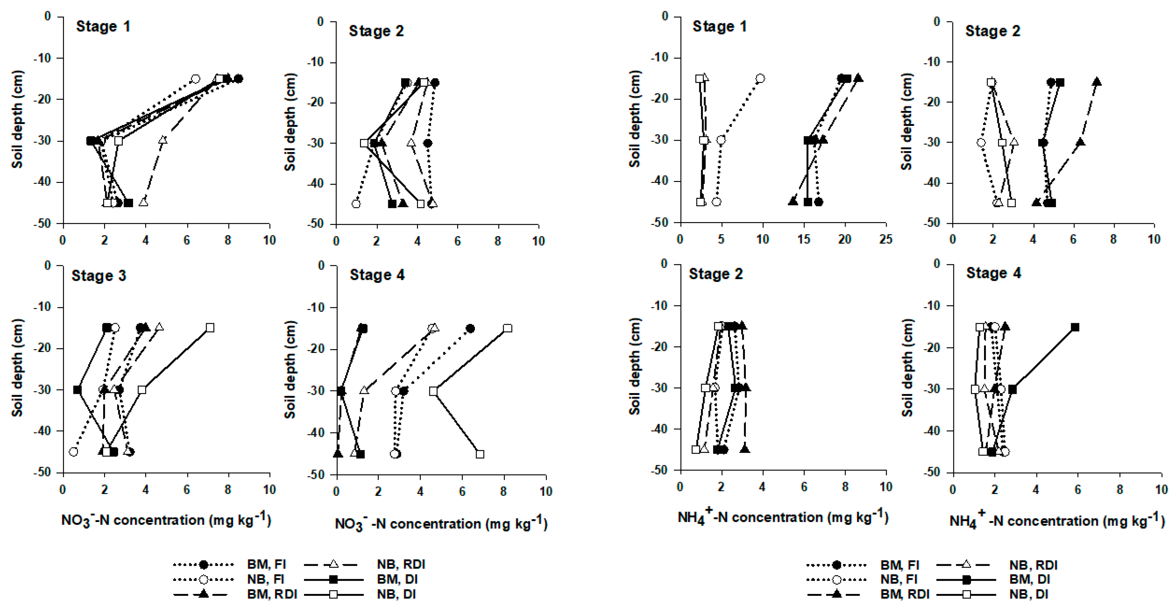
3.2. Sensor-Based Soil Moisture and Nutrient Distribution
3.3. Tomato Root Growth and Development as Affected by N Application and Irrigation Regimes
3.4. Effects of Irrigation and N Application Rates on Tomato Growth or Biomass Accumulation
3.5. Effects of Irrigation and N Application Timing on Tomato Yield
4. Conclusions
Author Contributions
Funding
Institutional Review Statement
Informed Consent Statement
Acknowledgments
Conflicts of Interest
References
- Hochmuth, G.; Cordasco, K. A Summary of N, P, and K Research with Tomato in Florida 1. Fla. Coop. Ext. Serv. Inst. Food Agric. Sci. 2008. Available online: http://edis.ifas.ufl.edu (accessed on 7 September 2021).
- Zotarelli, L.; Dukes, M.D.; Scholberg, J.M.S.; Muñoz-Carpena, R.; Icerman, J. Tomato nitrogen accumulation and fertilizer use efficiency on a sandy soil, as affected by nitrogen rate and irrigation scheduling. Agric. Water Manag. 2009, 96, 1247–1258. [Google Scholar] [CrossRef]
- Ayankojo, I.T.; Morgan, K.T.; Mahmoud, K. Evaluation of Soil Water and Nitrogen Distribution by Site-Specific Irrigation Scheduling Method in Tomato Crop Grown on Sandy Soil. Soil Sci. Soc. Am. J. 2019, 83, 761–771. [Google Scholar] [CrossRef] [Green Version]
- Liu, G.D.; Simonne, E.H.; Morgan, K.T.; Hochmuth, G.J.; Agehara, S.; Mylavarapu, R. Fertilizer Management for Vegetable Production in Florida. In Florida Vegetable Production Handbook; Dittmar, P., Freeman, J., Paret, M., Smith, H., Eds.; IFAS Extension: Gainesville, FL, USA, 2019; pp. 3–9. [Google Scholar]
- Hartz, T.K.; Hochmuth, G.J. Fertility Management of Drip-irrigated Vegetables. Horttechnology 1996, 6, 168–172. [Google Scholar] [CrossRef] [Green Version]
- Wang, Q.; Liu, G.; Morgan, K.T.; Li, Y. HS1269/HS1269: Implementing the Four Rs (4Rs) in Nutrient Stewardship for Tomato Production. EDIS 2020. Available online: https://edis.ifas.ufl.edu/publication/HS1269 (accessed on 7 September 2021).
- Alva, A.K.; Paramasivam, S.; Fares, A.; Delgado, J.A.; Mattos, D., Jr.; Sajwan, K. Nitrogen and Irrigation Management Practices to Improve Nitrogen Uptake Efficiency and Minimize Leaching Losses. J. Crop. Improv. 2008, 15, 369–420. [Google Scholar] [CrossRef]
- Liu, G.; Zotarelli, Y.; Li, D.; Wang, Q.; Ozores-Hampton, M. Controlled-Release and Slow-Release Fertilizers as Nutrient Management Tools. UF/IFAS Ext. Serv. 2014. Available online: https://edis.ifas.ufl.edu/publication/HS1255 (accessed on 7 September 2021).
- Sainju, U.M.; Singh, B.P.; Rahman, S.; Reddy, V.R. Soil Nitrate-Nitrogen under Tomato following Tillage, Cover Cropping, and Nitrogen Fertilization. J. Environ. Qual. 1999, 28, 1837–1844. [Google Scholar] [CrossRef]
- Zhang, T.Q.; Liu, K.; Tan, C.S.; Warner, J.; Wang, Y.T. Processing Tomato Nitrogen Utilization and Soil Residual Nitrogen as Influenced by Nitrogen and Phosphorus Additions with Drip-Fertigation. Soil Sci. Soc. Am. J. 2011, 75, 738–745. [Google Scholar] [CrossRef]
- Sweeney, D.; Graetz, D.; Bottcher, A.; Locascio, S.J.; Campbell, K. Tomato yield and nitrogen recovery as influenced by irrigation method, nitrogen source, and mulch. HortScience 1987, 22, 27–29. [Google Scholar]
- USDA Web Soil Survey. Available online: https://websoilsurvey.sc.egov.usda.gov/App/WebSoilSurvey.aspx (accessed on 27 September 2021).
- Kadyampakeni, D.M.; Morgan, K.T.; Schumann, A.W.; Nkedi-Kizza, P.; Obreza, T.A. Water Use in Drip-and Microsprinkler-Irrigated Citrus Trees Soil & Water Management & Conservation. Soil Sci. Soc. Am. J. 2014, 78, 1351–1361. [Google Scholar] [CrossRef]
- FAWN—Florida Automated Weather Network. Available online: https://fawn.ifas.ufl.edu/ (accessed on 27 September 2021).
- Freeman, J.H.; Mcavoy, E.J.; Boyd, N.S.; Kanissery, R.; Smith, H.A.; Desaeger, J.; Noling, J.W.; Vallad, G.E. Tomato Production Botany and Planting. In Vegetable Production Handbook of Florida; Dittmar, P., Freeman, J., Paret, M., Smith, H., Eds.; IFAS Entension: Gainesville, FL, USA, 2019; pp. 348–392. [Google Scholar]
- Allen, R.G.; Pereira, L.S.; Raes, D. Crop Evapotranspiration-Guidelines for Computing Crop Water Requirements-FAO Irrigation and Drainage Paper 56 Table of Contents; FAO: Rome, Italy, 1998. [Google Scholar]
- Migliaccio, K.W.; Morgan, K.T.; Vellidis, G.; Zotarelli, L.; Fraisse, C.; Zurweller, B.A.; Andreis, J.H.; Crane, J.H.; Rowland, D.L. Smartphone apps for irrigation scheduling. Trans. ASABE 2016, 59, 291–301. [Google Scholar] [CrossRef]
- Ayankojo, I.T.; Morgan, K.T.; Ozores-Hampton, M.; Migliaccio, K.W. Effects of real-time location-specific drip irrigation scheduling on water use, plant growth, nutrient accumulation, and yield of Florida fresh-market tomato. HortScience 2018, 53, 1372–1378. [Google Scholar] [CrossRef] [Green Version]
- Stanley, C.D.; Clark, G.A. Water Requirements for Drip-Irrigated Tomato Production in Southwest Florida 1. EDIS 2004, 1–3. [Google Scholar]
- USDA United States Standards for Grades of Fresh Tomatoes. Available online: https://www.ams.usda.gov/sites/default/files/media/Tomato_Standard%5B1%5D.pdf (accessed on 27 September 2021).
- Mylavarapu, R.S.; Moon, D.L.; Professor, A. UF/IFAS Extension Soil Testing Laboratory (ESTL) Analytical Procedures and Training Manual 1 Circular 1248. EDIS 2002. Available online: http://edis.ifas.ufl.edu (accessed on 7 September 2021).
- Katul, G.; Todd, P.; Pataki, D.; Kabala, Z.J.; Oren, R. Soil water depletion by oak trees and the influence of root water uptake on the moisture content spatial statistics. Water Resour. Res. 1997, 33, 611–623. [Google Scholar] [CrossRef] [Green Version]
- Morgan, K.T.; Parsons, L.R.; Wheaton, T.A.; Pitts, D.J.; Obreza, T.A. Field Calibration of a Capacitance Water Content Probe in Fine Sand Soils. Soil Sci. Soc. Am. J. 1999, 63, 987–989. [Google Scholar] [CrossRef]
- Morgan, K.T.; Parsons, L.R.; Adair Wheaton, T. Comparison of laboratory- and field-derived soil water retention curves for a fine sand soil using tensiometric, resistance and capacitance methods. Plant Soil 2001, 234, 153–157. [Google Scholar] [CrossRef]
- Zotarelli, L.; Scholberg, J.M.; Dukes, M.D.; Muñoz-Carpena, R.; Icerman, J. Tomato yield, biomass accumulation, root distribution and irrigation water use efficiency on a sandy soil, as affected by nitrogen rate and irrigation scheduling. Agric. Water Manag. 2009, 96, 23–34. [Google Scholar] [CrossRef]
- Goldberg, D.; Gornat, B.; Bar, Y. The distribution of roots, water and minerals as a result of trickle irrigation. J. Am. Soc. Hortic. Sci. 1974. Available online: https://agris.fao.org/agris-search/search.do?recordID=AG19760063991#.XtvDSmJ_Clu (accessed on 7 September 2021).
- Persaud, N.; Locascio, S.J.; Geraldson, C.M. Influence of fertilizer rate and placement and irrigation method on plant nutrient status, soil soluble salt and root distribution of mulched tomatoes. Proc. Soil Crop. Sci. Soc. Fla. 1977. Available online: https://agris.fao.org/agris-search/search.do?recordID=US19780267328 (accessed on 7 September 2021).
- Bar-Yosef, B.; Stammers, C.; Sagiv, B. Growth of Trickle-Irrigated Tomato as Related to Rooting Volume and Uptake of N and Water1. Agron. J. 1980, 72, 815–822. [Google Scholar] [CrossRef]
- Oliveira, M.D.R.G.; Calado, A.M.; Portas, C.A.M. Tomato root distribution under drip irrigation. J. Am. Soc. Hortic. Sci. 1996, 121, 644–648. [Google Scholar] [CrossRef] [Green Version]
- RMA Machado, M.O.C.P. Tomato root distribution, yield and fruit quality under subsurface drip irrigation. Plant Soil 2003, 255, 333–341. [Google Scholar] [CrossRef] [Green Version]
- Machado, R.M.A.; Oliveira, M.G. Tomato root distribution, yield and fruit quality under different subsurface drip irrigation regimes and depths. Irrig. Sci. 2005, 24, 15–24. [Google Scholar] [CrossRef] [Green Version]
- Rowland, D.L.; Faircloth, W.H.; Payton, P.; Tissue, D.T.; Ferrell, J.A.; Sorensen, R.B.; Butts, C.L. Primed acclimation of cultivated peanut (Arachis hypogaea L.) through the use of deficit irrigation timed to crop developmental periods. Agric. Water Manag. 2012, 113, 85–95. [Google Scholar] [CrossRef] [Green Version]
- Vincent, C.; Rowland, D.; Schaffer, B.; Bassil, E.; Racette, K.; Zurweller, B. Primed acclimation: A physiological process offers a strategy for more resilient and irrigation-efficient crop production. Plant Sci. 2019, 295, 110240. [Google Scholar] [CrossRef]
- Ayankojo, I.T.; Morgan, K.T.; Kadyampakeni, D.M.; Alfred, L. Tomato Growth, Yield, and Root Development, Soil Nitrogen and Water Distribution as Affected by Nitrogen and Irrigation Rates on a Florida Sandy Soil. HortScience 2020, 55, 1744–1755. [Google Scholar] [CrossRef]
- Shabbir, A.; Mao, H.; Ullah, I.; Buttar, N.A.; Ajmal, M.; Solangi, K.A. Improving Water Use Efficiency by Optimizing the Root Distribution Patterns under Varying Drip Emitter Density and Drought Stress for Cherry Tomato. Agronomy 2020, 11, 3. [Google Scholar] [CrossRef]
- Ayankojo, I.T.; Morgan, K.T. Increasing Air Temperatures and Its Effects on Growth and Productivity of Tomato in South Florida. Plants 2020, 9, 1245. [Google Scholar] [CrossRef]
- Hooshmand, M.; Albaji, M.; Boroomand nasab, S.; Alam zadeh Ansari, N. The effect of deficit irrigation on yield and yield components of greenhouse tomato (Solanum lycopersicum) in hydroponic culture in Ahvaz region, Iran. Sci. Hortic. 2019, 254, 84–90. [Google Scholar] [CrossRef]
- Ozores-Hampton, M.; Di Gioia, F.; Sato, S.; Simonne, E.; Morgan, K. Effects of nitrogen rates on nitrogen, phosphorous, and potassium partitioning, accumulation, and use efficiency in seepage-irrigated fresh market tomatoes. HortScience 2015, 50, 1636–1643. [Google Scholar] [CrossRef] [Green Version]
- Warner, J.; Zhang, T.Q.; Hao, X. Effects of nitrogen fertilization on fruit yield and quality of processing tomatoes. Can. J. Plant Sci. 2011, 84, 865–871. [Google Scholar] [CrossRef]
- Dangler, J.M.; Locascio, S.J. Yield of Trickle-irrigated Tomatoes as Affected by Time of N and K Application. J. Am. Soc. Hortic. Sci. 2019, 115, 585–589. [Google Scholar] [CrossRef] [Green Version]
- Locascio, S.J.; Olson, S.M.; Rhoads, F.M. Water quantity and time of N and K application for trickle-irrigated tomatoes. Am. Soc. Hortic. Sci. 1989, 114, 265–268. [Google Scholar]
- Locascio, S.J.; Smajstrla, A.G. Drip irrigated tomato as affected by water quantity and N and K application timing. Florida State Hortic. Soc. Proc. 1989. Available online: https://worldveg.tind.io/record/26268 (accessed on 7 September 2021).







| Soil Depth | pH † | Organic Matter | Cation Exchange Capacity | Bulk Density | Saturated Hydraulic Conductivity | Hydraulic Conductivity at Field Capacity | Saturated Moisture Content | Moisture Content at Field Capacity | Residual Moisture Content |
|---|---|---|---|---|---|---|---|---|---|
| cm | % | cmolc kg−1 | g cm−3 | cm h−1 | m3 m−3 | ||||
| 0–15 | 5.6 | 0.61 | 7.63 | 1.62 | 15.82 | 0.37 | 0.34 | 0.09 | 0.013 |
| 15–30 | 5.2 | 0.41 | 0.74 | 1.62 | 13.97 | 0.13 | 0.36 | 0.10 | 0.013 |
| 30–45 | 5.8 | 0.49 | 0.33 | 1.59 | 13.22 | 0.63 | 0.39 | 0.10 | 0.013 |
| Treatment # | Irrigation Application | N Fertilizer Timing | Treatment Details |
|---|---|---|---|
| spring and fall 2018 | |||
| 1 | Full irrigation (FI) | 25% pre-plant and 75% fertigation (BM) | Pre-plant N with full irrigation |
| 2 | Zero pre-plant and 100% fertigation (NB) | Fertigation with full irrigation | |
| 3 | Regulated deficit irrigation (RDI) | BM | Pre-plant with regulated deficit irrigation |
| 4 | NB | Fertigation with regulated irrigation | |
| 5 | Deficit irrigation (DI) | BM | Pre-plant N with deficit irrigation |
| 6 | NB | Fertigation with deficit irrigation | |
| spring and fall 2019 | |||
| 1 | FI | NB | Fertigation with full irrigation |
| 2 | RDI | BM3 | RDI with pre-plant N and fertigation starting at 3 weeks after transplanting |
| 3 | RDI | BM | RDI with pre-plant N and fertigation starting at 5 weeks after transplanting |
| 4 | DI | NB | Fertigation with deficit irrigation |
| Stage | KC Values | KC Duration (DAT) | Stage Descriptions |
|---|---|---|---|
| 1 | 0.4 | 0–18 | From transplant till 9 or more leaves on the main shoot unfolded |
| 2 | 0.78 | 19–37 | From first flower open till 8th inflorescence first flower opened |
| 3 | 1.0 | 38–83 | From 9th inflorescence first flower opening till fruits reach typical size but no color changes |
| 4 | 1.0 | 84–95 | Fruit maturity till first harvest |
| 5 | 0.85 | 95–Later harvest | After first harvest till last harvest |
| N Treatments | Nutrient | Preplant | CGS 1 | CGS 2 | CGS 3 | CGS 4 | CGS 5 |
|---|---|---|---|---|---|---|---|
| kg ha−1 | kg ha−1week−1 | ||||||
| BM | N | 56.00 | - | - | 19.60 | 15.68 | - |
| K2O | 28.00 | - | - | 25.20 | 16.80 | - | |
| P2O5 | 14.00 | - | - | - | - | - | |
| NB | N | - | 7.45 | 9.41 | 15.68 | 9.41 | 7.06 |
| K2O | 28.00 | 7.00 | 10.50 | 17.50 | 10.50 | 7.00 | |
| P2O5 | 14.00 | - | - | - | - | - | |
| BM3 | N | 56.00 | - | 8.40 | 21.00 | 8.40 | - |
| K2O | 28.00 | - | - | 25.20 | 16.80 | - | |
| P2O5 | 14.00 | - | - | - | - | - | |
| Treatment | Stage 1 | Stage 2 | Stage 3 | Stage 4 | Stage 5 | |||||
|---|---|---|---|---|---|---|---|---|---|---|
| Spring | Fall | Spring | Fall | Spring | Fall | Spring | Fall | Spring | Fall | |
| Nitrogen (N) | kg ha−1 | |||||||||
| BM | 68.74 | 90.44 | 242.66 | 367.61 | 853.75 | 946.00 | 2003.18 | 2057.00 | 2556.00 | 1594.00 |
| NB | 53.80 | 43.39 | 190.44 | 185.42 | 654.79 | 949.00 | 1628.84 | 2372.00 | 2664.10 | 1924.00 |
| Irrigation (I) | ||||||||||
| FW | 63.88 | 58.59 | 201.85 | 248.81 | 714.52 | 985.00 | 1603.81 b | 2160.00 | 2751.20 | 1728.00 |
| MD | 58.28 | 67.18 | 219.49 | 332.20 | 799.54 | 950.00 | 1920.99 a | 2218.00 | 2485.60 | 1547.00 |
| LW | 61.64 | 64.07 | 228.31 | 255.53 | 734.75 | 966.00 | 1923.23 a | 2266.00 | 2593.30 | 2002.00 |
| Season (S) | ||||||||||
| Spring | 61.27 | - | 216.55 | - | 734.62 | - | 1816.00 | - | 1759.00 | - |
| Fall | 63.20 | - | 276.52 | - | 967.22 | - | 2214.40 | - | 2610.00 | - |
| Stat. significance | ||||||||||
| N | *** | * | * | * | *** | ns | ** | ns | ns | ns |
| I | ns | ns | ns | ns | ns | ns | * | ns | ns | ns |
| S | ns | - | ns | - | *** | - | *** | - | *** | - |
| N × I | ns | ns | ns | ns | ns | ns | ns | ns | ns | ns |
| S × N | *** | - | *** | - | * | - | ** | - | ns | - |
| S × I | ns | - | ns | - | ns | - | ns | - | ns | - |
| S × N × I | ns | - | ns | - | ns | - | ns | - | ns | - |
| Treatment | Stage 1 | Stage 2 | Stage 3 | Stage 4 | Stage 5 | ||||||
|---|---|---|---|---|---|---|---|---|---|---|---|
| Spring | Fall | Spring | Fall | Spring | Fall | Spring | Fall | Spring | Fall | ||
| N | Irrigation | kg ha−1 | |||||||||
| NB | FI | 83.99 b | 74.26 b | 343.37 b | 473.50 | 1597.00 bc | - | 2137.60 b | 1487.45 b | 2221.35 | 2262.10 |
| BM2 | RDI | 124.47 a | 123.66 a | 449.35 a | 576.63 | 1951.23 ab | - | 3107.12 a | 2151.98 a | 2479.13 | 1932.38 |
| BM5 | RDI | 136.08 a | 118.98 a | 429.54 a | 550.47 | 2082.5 a | - | 3333.86 a | 2146.33 a | 1660.97 | 1795.37 |
| NB | DI | 104.59 b | 75.42 b | 344.51 ab | 478.43 | 1396.67 c | - | 1808.53 b | 1530.06 b | 2082.38 | 2016.45 |
| Season | |||||||||||
| Spring | 112.28 | - | 391.69 | - | - | - | 2596.80 | - | 2111.00 | - | |
| Fall | 98.08 | - | 519.76 | - | - | - | 1829.00 | - | 2001.60 | - | |
| Stat. significance | |||||||||||
| Treatment | *** | * | * | ns | *** | - | ** | * | ns | ns | |
| Season | ns | - | ns | - | - | - | ** | - | ns | - | |
| Season × Treatment | ns | - | ns | - | - | - | ns | - | ns | - | |
| 2018 Season | 2019 Season | |||||||||
|---|---|---|---|---|---|---|---|---|---|---|
| Treatment | Spring | Fall | Treatment | Spring | Fall | |||||
| TMY | Cull | TMY | Cull | TMY | Cull | TMY | Cull | |||
| Nitrogen (N) | Mg ha−1 | ID | Description | Mg ha−1 | ||||||
| BM | 50.61 | 2.65 | 27.95 | 6.80 | T1 | FI, NB | 42.47 b | 2.85 | 47.42 b | 2.16 |
| NB | 39.50 | 2.42 | 26.66 | 2.41 | T2 | RDI, BM3 | 58.56 a | 1.59 | 61.93 a | 2.19 |
| Irrigation (I) | T3 | RDI, BM5 | 58.83 a | 1.07 | 57.64 a | 2.48 | ||||
| FW | 43.71 b | 2.81 | 25.10 | 3.57 | T4 | DI, NB | 38.77 b | 0.67 | 38.88 b | 2.87 |
| MD | 52.47 a | 2.53 | 29.69 | 5.28 | Season | |||||
| LW | 38.98 b | 2.36 | 27.53 | 5.28 | Spring | 51.47 | 2.43 | - | - | |
| Season (S) | Fall | 49.68 | 1.55 | - | - | |||||
| Spring | 42.52 | 2.53 | - | - | Stat. significance | |||||
| Fall | 22.92 | 4.57 | - | - | Treatment | ** | ns | * | ns | |
| Stat. significance | Season | ns | ns | - | - | |||||
| N | ** | ns | ns | ns | Season × treatment | ns | ns | - | - | |
| I | *** | ns | ns | ns | ||||||
| S | *** | ** | - | - | ||||||
| N × I | ns | ns | - | - | ||||||
| S × N | * | ** | - | - | ||||||
| S × I | ns | ns | - | - | ||||||
| S × N × I | ns | ns | - | - | ||||||
Publisher’s Note: MDPI stays neutral with regard to jurisdictional claims in published maps and institutional affiliations. |
© 2021 by the authors. Licensee MDPI, Basel, Switzerland. This article is an open access article distributed under the terms and conditions of the Creative Commons Attribution (CC BY) license (https://creativecommons.org/licenses/by/4.0/).
Share and Cite
Ayankojo, I.T.; Morgan, K.T. Optimizing Tomato Growth and Productivity Using Nitrogen and Irrigation Application Timing. Agronomy 2021, 11, 1968. https://doi.org/10.3390/agronomy11101968
Ayankojo IT, Morgan KT. Optimizing Tomato Growth and Productivity Using Nitrogen and Irrigation Application Timing. Agronomy. 2021; 11(10):1968. https://doi.org/10.3390/agronomy11101968
Chicago/Turabian StyleAyankojo, Ibukun T., and Kelly T. Morgan. 2021. "Optimizing Tomato Growth and Productivity Using Nitrogen and Irrigation Application Timing" Agronomy 11, no. 10: 1968. https://doi.org/10.3390/agronomy11101968
APA StyleAyankojo, I. T., & Morgan, K. T. (2021). Optimizing Tomato Growth and Productivity Using Nitrogen and Irrigation Application Timing. Agronomy, 11(10), 1968. https://doi.org/10.3390/agronomy11101968

