Topography Controls N2O Emissions Differently during Early and Late Corn Growing Season
Abstract
1. Introduction
2. Materials and Methods
2.1. Experimental Site and Crop Management
2.2. Gas and Soil Sampling
2.3. Data Analysis
3. Results and Discussion
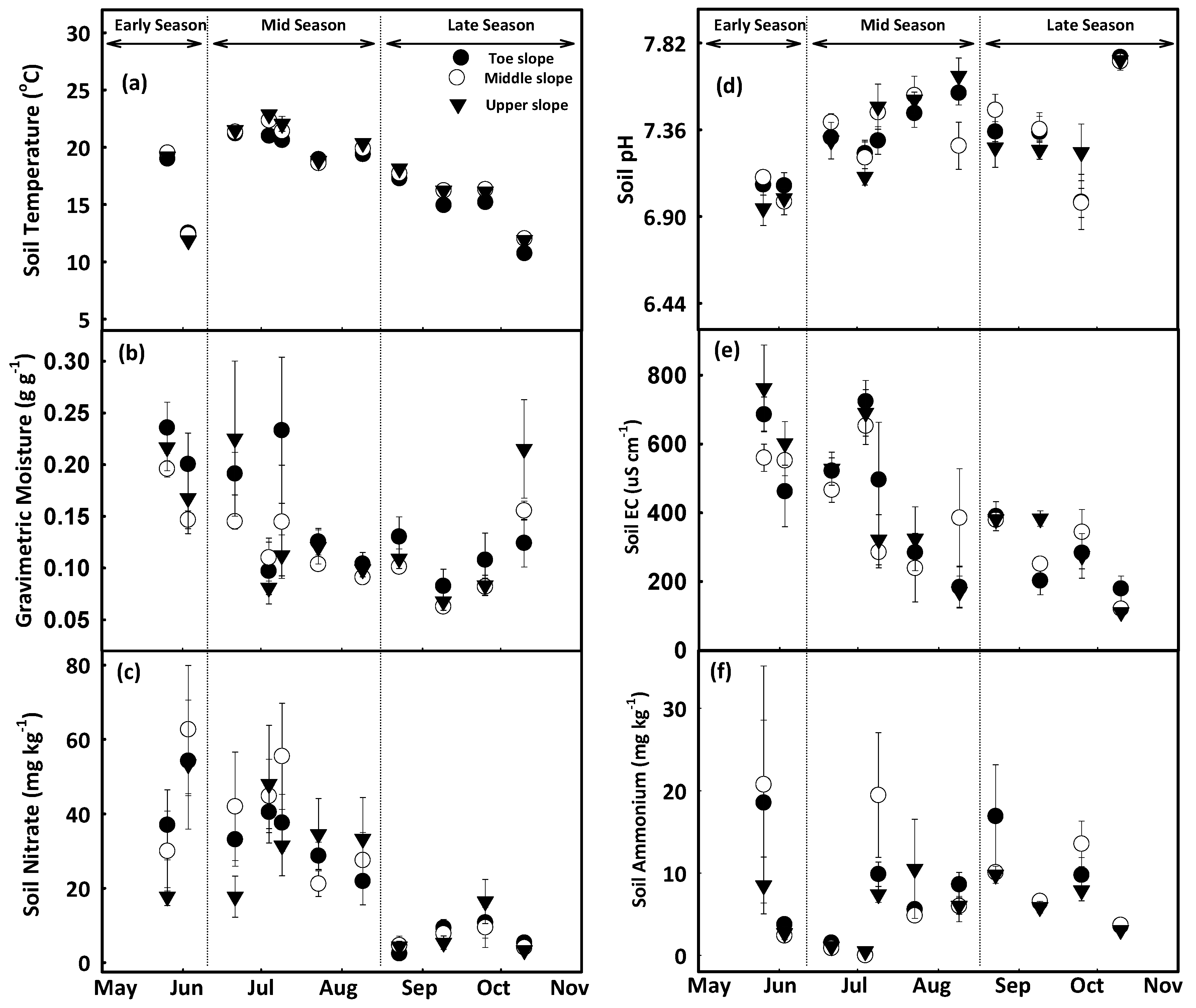
3.1. Soil Physicochemical Properties
3.1.1. Soil Temperature and Moisture
3.1.2. Soil pH and EC
3.1.3. Nitrate and Ammonium Concentration
3.2. Nitrous Oxide Fluxes and Cumulative Emissions
4. Conclusions
Author Contributions
Funding
Institutional Review Board Statement
Conflicts of Interest
References
- IPCC. Climate Change 2007: The Physical Science Basis: Contribution of Working Group I to the Fourth Assessment Report of the Intergovernmental Panel on Climate Change; Cambridge University Press: Cambridge, UK, 2007. [Google Scholar]
- UNFCCC. Kyoto Protocol Reference Manual on Accounting of Emissions and Assigned Amount. Available online: https://unfccc.int/resource/docs/publications/08_unfccc_kp_ref_manual.pdf (accessed on 20 September 2020).
- UNFCCC. Kyoto Protocol to the United Nations Framework Convention on Climate Change. Available online: https://unfccc.int/resource/docs/convkp/kpeng.pdf (accessed on 20 September 2020).
- UNFCCC. Paris Agreement. Available online: https://unfccc.int/process-and-meetings/the-paris-agreement/the-paris-agreement (accessed on 20 September 2020).
- IPCC. Climate Change and Land: An IPCC Special Report on Climate Change, Desertification, Land Degradation, Sustainable Land Management, Food Security, and Greenhouse Gas Fluxes in Terrestrial Ecosystems: Summary for Policymakers. Available online: https://www.ipcc.ch/site/assets/uploads/2019/11/SRCCL-Full-Report-Compiled-191128.pdf (accessed on 20 September 2020).
- FAO. Agriculture, Forestry and Other Land Use Emissions by Sources and Removals by Sinks; Tubiello, F.N., Salvatore, M., Cóndor Golec, R.D., Ferrara, A., Rossi, S., Biancalani, R., Federici, S., Jacobs, H., Flammini, A., Eds. Available online: http://www.fao.org/docrep/019/i3671e/i3671e.pdf (accessed on 20 September 2020).
- Environment and Climate Change Canada. National Inventory Report 1996–2016: Greenhouse Gas Sources and Sinks in Canada. Available online: http://publications.gc.ca/collections/collection_2018/eccc/En81-4-2016-3-eng.pdf (accessed on 20 September 2020).
- Abdalla, M.; Osborne, B.; Lanigan, G.; Forristal, D.; Williams, M.; Smith, P.; Jones, M.B. Conservation tillage systems: A review of its consequences for greenhouse gas emissions. Soil. Use Manag. 2013, 29, 199–209. [Google Scholar] [CrossRef]
- Congreves, K.A.; Wagner-Riddle, C.; Si, B.C.; Clough, T.J. Nitrous oxide emissions and biogeochemical responses to soil freezing-thawing and drying-wetting. Soil Biol. Biochem. 2018, 117, 5–15. [Google Scholar] [CrossRef]
- Decock, C. Mitigating nitrous oxide emissions from corn cropping systems in the midwestern U.S.: Potential and data gaps. Environ. Sci. Technol. 2014, 48, 4247–4256. [Google Scholar] [CrossRef]
- FAO. Greenhouse Gas Emissions from Agriculture, Forestory and Other Land Use. Available online: http://www.fao.org/resources/infographics/infographics-details/en/c/218650/ (accessed on 20 September 2020).
- Wrage-Mönnig, N.; Horn, M.A.; Well, R.; Müller, C.; Velthof, G.; Oenema, O. The role of nitrifier denitrification in the production of nitrous oxide revisited. Soil Biol. Biochem. 2018, 123, A3–A16. [Google Scholar] [CrossRef]
- Moreira, F.M.S.; Siqueira, J.O. Microbiology and Soil Biochemistry; Federal University of Lavras: Lavras, Brazil, 2006; Volume 2. [Google Scholar]
- Signor, D.; Cerri, C.E.P. Nitrous oxide emissions in agricultural soils: A review. Pesqui. Agropecu. Trop. Goia. 2013, 43, 322–338. [Google Scholar] [CrossRef]
- Oertel, C.; Matschullat, J.; Zurba, K.; Zimmermann, F.; Erasmi, S. Greenhouse gas emissions from soils—A review. Chem. Erde 2016, 76, 327–352. [Google Scholar] [CrossRef]
- Butterbach-Bahl, K.; Baggs, E.M.; Dannenmann, M.; Kiese, R.; Zechmeister-Boltenstern, S. Nitrous oxide emissions from soils: How well do we understand the processes and their controls? Philos. Trans. R. Soc. B Biol. Sci. 2013, 368, 20130122. [Google Scholar] [CrossRef] [PubMed]
- Pimentel, L.G.; Weiler, D.A.; Pedroso, G.M.; Bayer, C. Soil N2O emissions following cover-crop residues application under two soil moisture conditions. J. Plant Nutr. Soil Sci. 2015, 178, 631–640. [Google Scholar] [CrossRef]
- Rücknagel, J.; Rademacher, A.; Götze, P.; Hofmann, B.; Christen, O. Uniaxial compression behaviour and soil physical quality of topsoils under conventional and conservation tillage. Geoderma 2017, 286, 1–7. [Google Scholar] [CrossRef]
- Stewart, K.J.; Grogan, P.; Coxson, D.S.; Siciliano, S.D. Topography as a key factor driving atmospheric nitrogen exchanges in arctic terrestrial ecosystems. Soil Biol. Biochem. 2014, 70, 96–112. [Google Scholar] [CrossRef]
- Corre, M.D.; van Kessel, C.; Pennock, D.J. Landscape and Seasonal Patterns of Nitrous Oxide Emissions in a Semiarid Region. Soil Sci. Soc. Am. J. 1996, 60, 1806–1815. [Google Scholar] [CrossRef]
- Gu, J.; Nicoullaud, B.; Rochette, P.; Pennock, D.J.; Hénault, C.; Cellier, P.; Richard, G. Effect of topography on nitrous oxide emissions from winter wheat fields in Central France. Environ. Pollut. 2011, 159, 3149–3155. [Google Scholar] [CrossRef]
- Vilain, G.; Garnier, J.; Tallec, G.; Cellier, P. Effect of slope position and land use on nitrous oxide (N2O) emissions (Seine Basin, France). Agric. For. Meteorol. 2010, 150, 1192–1202. [Google Scholar] [CrossRef]
- Vilain, G.; Garnier, J.; Passy, P.; Silvestre, M.; Billen, G. Budget of N2O emissions at the watershed scale: Role of land cover and topography (the Orgeval basin, France). Biogeosciences 2012, 9, 1085–1097. [Google Scholar] [CrossRef]
- Izaurralde, R.C.; Lemke, R.L.; Goddard, T.W.; McConkey, B.; Zhang, Z. Nitrous oxide emissions from agricultural toposequences in Alberta and Saskatchewan. Soil Sci. Soc. Am. J. 2004, 68, 1285. [Google Scholar] [CrossRef]
- Saggar, S.; Giltrap, D.L.; Davison, R.; Gibson, R.; de Klein, C.A.M.; Rollo, M.; Ettema, P.; Rys, G. Estimating direct N2O emissions from sheep, beef, and deer grazed pastures in New Zealand hill country: Accounting for the effect of land slope on the N2O emission factors from urine and dung. Agric. Ecosyst. Environ. 2015, 205, 70–78. [Google Scholar] [CrossRef]
- Ashiq, W.; Nadeem, M.; Ali, W.; Zaeem, M.; Wu, J.; Galagedara, L.; Thomas, R.; Kavanagh, V.; Cheema, M. Biochar amendment mitigates greenhouse gases emission and global warming potential in dairy manure based silage corn in boreal climate. Environ. Pollut. 2020, 265, 114869. [Google Scholar] [CrossRef] [PubMed]
- Parkin, T.B.; Kaspar, T.C. Nitrous Oxide Emissions from Corn–Soybean Systems in the Midwest. J. Environ. Qual. 2006, 35, 1496. [Google Scholar] [CrossRef]
- Liu, X.J.; Mosier, A.R.; Halvorson, A.D.; Zhang, F.S. The impact of nitrogen placement and tillage on NO, N2O, CH4 and CO2 fluxes from a clay loam soil. Plant Soil 2006, 280, 177–188. [Google Scholar] [CrossRef]
- Wang, Z.M.; Zhang, B.; Song, K.S.; Liu, D.W.; Li, F.; Guo, Z.X.; Zhang, S.M. Soil organic carbon under different landscape attributes in croplands of Northeast China. Plant, Soil Environ. 2008, 54, 420–427. [Google Scholar] [CrossRef]
- Noorbakhsh, S.; Schoenau, J.; Si, B.; Zeleke, T.; Qian, P. Soil properties, yield, and landscape relationships in south-central Saskatchewan Canada. J. Plant Nutr. 2008, 31, 539–556. [Google Scholar] [CrossRef]
- Moges, A.; Holden, N.M. Soil fertility in relation to slope position and agricultural land use: A case study of umbulo catchment in Southern Ethiopia. Environ. Manag. 2008, 42, 753–763. [Google Scholar] [CrossRef] [PubMed]
- Ladoni, M.; Kravchenko, A.N.; Phillip Robertson, G. Topography mediates the influence of cover crops on soil nitrate levels in row crop agricultural systems. PLoS ONE 2015, 10, e0143358. [Google Scholar] [CrossRef] [PubMed]
- Gaultier, J.; Farenhorst, A.; Crow, G. Spatial variability of soil properties and 2,4-D sorption in a hummocky field as affected by landscape position and soil depth. Can. J. Soil Sci. 2006, 86, 89–95. [Google Scholar] [CrossRef]
- Arias-Navarro, C.; Díaz-Pinés, E.; Klatt, S.; Brandt, P.; Rufino, M.C.; Butterbach-Bahl, K.; Verchot, L.V. Spatial variability of soil N2O and CO2 fluxes in different topographic positions in a tropical montane forest in Kenya. J. Geophys. Res. Biogeosci. 2017, 122, 514–527. [Google Scholar] [CrossRef]
- Norton, J.B.; Sandor, J.A.; White, C.S. Hillslope Soils and Organic Matter Dynamics within a Native American Agroecosystem on the Colorado Plateau. Soil Sci. Soc. Am. J. 2003, 67, 225–234. [Google Scholar] [CrossRef]
- Wang, J.; Fu, B.; Qiu, Y.; Chen, L. Soil nutrients in relation to land use and landscape position in the semi-arid small catchment on the loess plateau in China. J. Arid Environ. 2001, 48, 537–550. [Google Scholar] [CrossRef]
- Jowkin, V.; Schoenau, J.J. Impact of tillage and landscape position on nitrogen availability and yield of spring wheat in the Brown soil zone in southwestern Saskatchewan. Can. J. Soil Sci. 1998, 78, 563–572. [Google Scholar] [CrossRef]
- Burke, I.C.; Elliott, E.T.; Cole, C.V. Influence of Macroclimate, Landscape Position, and Management on Soil Organic Matter in Agroecosystems. Ecol. Appl. 1995, 5, 124–131. [Google Scholar] [CrossRef]
- Mulla, F.B.; Pierson, D.J. Aggregate Stability in the Palouse Region of Washington: Effect of Landscape Position. Soil Sci. Soc. Am. J. 1990, 54, 1407–1412. [Google Scholar]
- Hook, P.B.; Bruke, I.C. Biogeochemistry in a shortgrass landscape: Control by topography, soil texture, and microclimate. Ecology 2000, 81, 2686–2703. [Google Scholar] [CrossRef]
- IPCC. IPCC Expert Meeting for Technical Assessment of IPCC Inventory Guidelines (AFOLU Sector). Available online: https://www.ipcc.ch/site/assets/uploads/2018/05/1604_Summary_TA-followup-2015issues.pdf (accessed on 20 September 2020).
- IPCC. N2O Emissions from Managed Soils, and CO2 Emissions from Lime and Urea Application. Available online: https://www.ipccnggip.iges.or.jp/public/2006gl/pdf/4_Volume4/V4_11_Ch11_N2O&CO2.pdf (accessed on 20 September 2020).
- Biswas, A.; Chau, H.W.; Bedard-Haughn, A.K.; Si, B.C. Factors controlling soil water storage in the hummocky landscape of the Prairie Pothole Region of North America. Can. J. Soil Sci. 2012, 92, 649–663. [Google Scholar] [CrossRef]
- Li, X.; Mccarty, G.W.; Lang, M.; Ducey, T.; Hunt, P.; Miller, J. Topographic and physicochemical controls on soil denitrification in prior converted croplands located on the Delmarva Peninsula, USA. Geoderma 2018, 309, 41–49. [Google Scholar] [CrossRef]
- Franzen, D.W.; Nanna, T.; Norvell, W.A. A survey of soil attributes in North Dakota by landscape position. Agron. J. 2006, 98, 1015–1022. [Google Scholar] [CrossRef]
- Yimer, F.; Ledin, S.; Abdelkadir, A. Soil property variations in relation to topographic aspect and vegetation community in the south-eastern highlands of Ethiopia. For. Ecol. Manag. 2006, 232, 90–99. [Google Scholar] [CrossRef]
- Gregorich, E.G.; Rochette, P.; St-Georges, P.; McKim, U.F.; Chan, C. Tillage effects on N2O emission from soils under corn and soybeans in Eastern Canada. Can. J. Soil Sci. 2008, 88, 153–161. [Google Scholar] [CrossRef]
- Stadler, A.; Rudolph, S.; Kupisch, M.; Langensiepen, M.; van der Kruk, J.; Ewert, F. Quantifying the effects of soil variability on crop growth using apparent soil electrical conductivity measurements. Eur. J. Agron. 2015, 64, 8–20. [Google Scholar] [CrossRef]
- Jenny, H. Factors of Soil Formation: A System of Quantitative Pedology; Courier Corporation: North Chelmsford, MA, USA, 1994. [Google Scholar]
- Biswas, A.; Si, B.C. Scales and locations of time stability of soil water storage in a hummocky landscape. J. Hydrol. 2011, 408, 100–112. [Google Scholar] [CrossRef]
- Pennock, D.J. Terrain attributes, landform segmentation, and soil redistribution. Soil Tillage Res. 2003, 69, 15–26. [Google Scholar] [CrossRef]
- Pennock, D.J.; Anderson, D.W.; de Jong, E. Landscape-scale changes in indicators of soil quality due to cultivation in Saskatchewan, Canada. Geoderma 1994, 64, 1–19. [Google Scholar] [CrossRef]
- Fang, Y.; Gundersen, P.; Zhang, W.; Zhou, G.; Christiansen, J.R.; Mo, J.; Dong, S.; Zhang, T. Soil-atmosphere exchange of N2O, CO2 and CH4 along a slope of an evergreen broad-leaved forest in southern China. Plant Soil 2009, 319, 37–48. [Google Scholar] [CrossRef]
- Dunmola, A.S.; Tenuta, M.; Moulin, A.P.; Yapa, P.; Lobb, D.A. Pattern of greenhouse gas emission from a Prairie Pothole agricultural landscape in Manitoba, Canada. Can. J. Soil Sci. 2010, 90, 243–256. [Google Scholar] [CrossRef]
- Li, J.; Anderson, T.; Walter, M.T. Landscape scale variation in nitrous oxide flux along a typical northeastern US topographic gradient in the early summer. Water. Air. Soil Pollut. 2012, 223, 1571–1580. [Google Scholar] [CrossRef]
- Yates, T.T.; Si, B.C.; Farrell, R.E.; Pennock, D.J. Time, location, and scale dependence of soil nitrous oxide emissions, soil water, and temperature using wavelets, cross-wavelets, and wavelet coherency analysis. J. Geophys. Res. Atmos. 2007, 112, D9. [Google Scholar] [CrossRef]
- Luo, J.; Hoogendoorn, C.; van der Weerden, T.; Saggar, S.; de Klein, C.; Giltrap, D.; Rollo, M.; Rys, G. Nitrous oxide emissions from grazed hill land in New Zealand. Agric. Ecosyst. Environ. 2013, 181, 58–68. [Google Scholar] [CrossRef]
- Pennock, D.J.; Zebarth, B.J.; De Jong, E. Landform classification and soil distribution in hummocky terrain, Saskatchewan, Canada. Geoderma 1987, 40, 297–315. [Google Scholar] [CrossRef]
- Pringle, G. Maize production: Managing critical plant growth stages Available online:. Available online: https://www.farmersweekly.co.za/crops/field-crops/maize-production-managing-critical-plant-growth-stages/ (accessed on 20 September 2020).
- Cambareri, G.; Wagner-Riddle, C.; Drury, C.; Lauzon, J.; Salas, W. Anaerobically digested dairy manure as an alternative nitrogen source to mitigate nitrous oxide emissions in fall-fertilized corn. Can. J. Soil Sci. 2016, 97, 439–451. [Google Scholar] [CrossRef]
- Collier, S.M.; Ruark, M.D.; Oates, L.G.; Jokela, W.E.; Dell, C.J. Measurement of greenhouse gas flux from agricultural soils using static chambers. J. Vis. Exp. 2014, e52110. [Google Scholar] [CrossRef]
- Ferrari Machado, P.V.; Wagner-Riddle, C.; MacTavish, R.; Voroney, P.R.; Bruulsema, T.W. Diurnal Variation and Sampling Frequency Effects on Nitrous Oxide Emissions Following Nitrogen Fertilization and Spring-Thaw Events. Soil Sci. Soc. Am. J. 2019, 83, 743. [Google Scholar] [CrossRef]
- Cambareri, G.; Drury, C.; Lauzon, J.; Salas, W.; Wagner-Riddle, C. Year-round nitrous oxide emissions as affected by timing and method of dairy manure application to corn. Soil Sci. Soc. Am. J. 2017, 81, 166–178. [Google Scholar] [CrossRef]
- Fassbinder, J.J.; Schultz, N.M.; Baker, J.M.; Griffis, T.J. Automated, low-power chamber system for measuring nitrous oxide emissions. J. Environ. Qual. 2013, 42, 606–614. [Google Scholar] [CrossRef] [PubMed]
- Carter, M.R.; Gregorich, E.G. Soil Sampling and Methods of Analysis, 2nd ed.; Gregorich, M.R.C.E.G., Ed.; Taylor & Francis: Roca Raton, FL, USA, 2008. [Google Scholar]
- Yang, X.; Lan, Y.; Meng, J.; Chen, W.; Huang, Y.; Cheng, X.; He, T.; Cao, T.; Liu, Z.; Jiang, L.; et al. Effects of maize stover and its derived biochar on greenhouse gases emissions and C-budget of brown earth in Northeast China. Environ. Sci. Pollut. Res. 2017, 24, 8200–8209. [Google Scholar] [CrossRef] [PubMed]
- Menéndez, S.; Merino, P.; Pinto, M.; González-Murua, C.; Estavillo, J.M. 3,4-Dimethylpyrazol phosphate effect on nitrous oxide, nitric oxide, ammonia, and carbon dioxide emissions from grasslands. J. Environ. Qual. 2006, 35, 973–981. [Google Scholar] [CrossRef] [PubMed]
- Cai, Y.; Ding, W.; Luo, J. Nitrous oxide emissions from Chinese maize-wheat rotation systems: A 3-year field measurement. Atmos. Environ. 2013, 65, 112–122. [Google Scholar] [CrossRef]
- Agbenin, J.O.; Tiessen, H. Soil properties and their variations on two contiguous hillslopes in Northeast Brazil. Catena 1995, 24, 147–161. [Google Scholar] [CrossRef]
- Luo, G.J.; Kiese, R.; Wolf, B.; Butterbach-Bahl, K. Effects of soil temperature and moisture on methane uptake and nitrous oxide emissions across three different ecosystem types. Biogeosciences 2013, 10, 3205–3219. [Google Scholar] [CrossRef]
- Sanchez, P.A. Properties and management of soils in the tropics; Cambridge University Press: Cambridge, uk, 2019. [Google Scholar]
- Whitson, I.R. Hydropedology of depression-toe slope interaction across a soil unit boundary at the Boreal-Prairie interface. Catena 2020, 187, 104349. [Google Scholar] [CrossRef]
- VandenBygaart, A.J. Erosion and deposition history derived by depth-stratigraphy of 137Cs and soil organic carbon. Soil Tillage Res. 2001, 61, 187–192. [Google Scholar] [CrossRef]
- Papiernik, S.K.; Schumacher, T.E.; Lobb, D.A.; Lindstrom, M.J.; Lieser, M.L.; Eynard, A.; Schumacher, J.A. Soil properties and productivity as affected by topsoil movement within an eroded landform. Soil Tillage Res. 2009, 102, 67–77. [Google Scholar] [CrossRef]
- VectorStock Media Growth Stages of Maize Plant Corn Phases. Available online: https://www.vectorstock.com/royalty-free-vector/growth-stages-of-maize-plant-corn-phases-vector-24284737 (accessed on 8 September 2020).
- Rochette, P.; Angers, D.A.; Chantigny, M.H.; Gasser, M.O.; MacDonald, J.D.; Pelster, D.E.; Bertrand, N. NH3 volatilization, soil NH4+concentration and soil pH following subsurface banding of urea at increasing rates. Can. J. Soil Sci. 2013, 93, 261–268. [Google Scholar] [CrossRef]
- Sommer, S.G.; Schjoerring, J.K.; Denmead, O.T. Ammonia emission from mineral fertilizers and fertilized crops. Adv. Agron. 2004, 82, 557–622. [Google Scholar]
- Guo, W.; Maas, S.J.; Bronson, K.F. Relationship between cotton yield and soil electrical conductivity, topography, and Landsat imagery. Precis. Agric. 2012, 13, 678–692. [Google Scholar] [CrossRef]
- Ejaz, S.; Jezik, K.M.; Stumpf, W.; Gosch, C.; Halbwirth, H.; Stich, K. Amelioration of an open soilless cultivation system for microgardening spinach (Spinacia oleracea L.). Zemdirbyste-Agriculture 2015, 102, 201–208. [Google Scholar] [CrossRef][Green Version]
- Brevik, E.C.; Fenton, T.E.; Lazari, A. Soil electrical conductivity as a function of soil water content and implications for soil mapping. Precis. Agric. 2006, 7, 393–404. [Google Scholar] [CrossRef]
- Ding, Y.; Liu, Y.X.; Wu, W.X.; Shi, D.Z.; Yang, M.; Zhong, Z.K. Evaluation of biochar effects on nitrogen retention and leaching in multi-layered soil columns. Water. Air. Soil Pollut. 2010, 213, 47–55. [Google Scholar] [CrossRef]
- de Andrade Neto, T.M.; Coelho, E.F.; Silva, A.C.P. Calcium nitrate concentrations in fertigation for “terra” banana production. J. Brazilian Assoc. Agric. Eng. 2017, 37, 385–393. [Google Scholar] [CrossRef]
- Kabala, C.; Karczewska, A.; Gałka, B.; Cuske, M.; Sowiński, J. Seasonal dynamics of nitrate and ammonium ion concentrations in soil solutions collected using MacroRhizon suction cups. Environ. Monit. Assess. 2017, 189. [Google Scholar] [CrossRef]
- Jones, R.W.; Hedlin, R.A. Ammonium, nitrite and nitrate accumulation in three Manitoba soils as influenced by added ammonium sulfate and urea. Can. J. Soil Sci. 1970, 50, 331–338. [Google Scholar] [CrossRef]
- Qian, C.; Cai, Z. Leaching of nitrogen from subtropical soils as affected by nitrification potential and base cations. Plant Soil 2007, 300, 197–205. [Google Scholar] [CrossRef]
- Kugler Company. Ammonium Thiosulfate as a Nitrogen Source and Nitrogen Inhibitor. Available online: http://www.kuglercompany.com/products/ats-ammonium-thiosulfate (accessed on 20 September 2020).
- Rochette, P.; Angers, D.A.; Chantigny, M.H.; Gagnon, B.; Bertrand, N. N2O fluxes in soils of contrasting textures fertilized with liquid and solid dairy cattle manures. Can. J. Soil Sci. 2008, 88, 175–187. [Google Scholar] [CrossRef]
- Zhai, L. mei; Liu, H. bin; Zhang, J. zong; Huang, J.; Wang, B. ren Long-term application of organic manure and mineral fertilizer on N2O and CO2 emissions in a red soil from cultivated maize-wheat rotation in China. Agric. Sci. China 2011, 10, 1748–1757. [Google Scholar] [CrossRef]
- Ruser, R.; Flessa, H.; Russow, R.; Schmidt, G.; Buegger, F.; Munch, J.C. Emission of N2O, N2 and CO2 from soil fertilized with nitrate: Effect of compaction, soil moisture and rewetting. Soil Biol. Biochem. 2006, 38, 263–274. [Google Scholar] [CrossRef]
- Sun, Z.; Sänger, A.; Rebensburg, P.; Lentzsch, P.; Wirth, S.; Kaupenjohann, M.; Meyer-Aurich, A. Contrasting effects of biochar on N2O emission and N uptake at different N fertilizer levels on a temperate sandy loam. Sci. Total Environ. 2017, 578, 557–565. [Google Scholar] [CrossRef] [PubMed]
- Lutes, K.; Oelbermann, M.; Thevathasan, N.V.; Gordon, A.M. Effect of nitrogen fertilizer on greenhouse gas emissions in two willow clones (Salix miyabeana and S. dasyclados) in southern Ontario, Canada. Agrofor. Syst. 2016, 90, 785–796. [Google Scholar] [CrossRef]
- Lan, T.; Li, M.; Han, Y.; Deng, O.; Tang, X.; Luo, L.; Zeng, J.; Chen, G.; Yuan, S.; Wang, C.; et al. How are annual CH4, N2O, and NO emissions from rice–wheat system affected by nitrogen fertilizer rate and type? Appl. Soil Ecol. 2020, 150, 103469. [Google Scholar] [CrossRef]
- Inselsbacher, E.; Wanek, W.; Ripka, K.; Hackl, E.; Sessitsch, A.; Strauss, J.; Zechmeister-Boltenstern, S. Greenhouse gas fluxes respond to different N fertilizer types due to altered plant-soil-microbe interactions. Plant Soil 2011, 343, 17–35. [Google Scholar] [CrossRef]
- Kostyanovsky, K.I.; Huggins, D.R.; Stockle, C.O.; Morrow, J.G.; Madsen, I.J. Emissions of N2O and CO2 following short-term water and N fertilization events in wheat-based cropping systems. Front. Ecol. Evol. 2019, 7, 77241. [Google Scholar] [CrossRef]
- Skiba, U.; Ball, B. The effect of soil texture and soil drainage on emissions of nitric oxide and nitrous oxide. Soil Use Manag. 2002, 18, 56–60. [Google Scholar] [CrossRef]
- Syväsalo, E.; Regina, K.; Pihlatie, M.; Esala, M. Emissions of nitrous oxide from boreal agricultural clay and loamy sand soils. Nutr. Cycl. Agroecosystems 2004, 69, 155–165. [Google Scholar] [CrossRef]
- Roy, A.K.; Wagner-Riddle, C.; Deen, B.; Lauzon, J.; Bruulsema, T. Nitrogen application rate, timing and history effects on nitrous oxide emissions from corn (Zea mays L.). Can. J. Soil Sci. 2014, 94, 563–573. [Google Scholar] [CrossRef]
- Wagner-riddle, C.; Furon, A.; Mclaughlin, N.L.; Lee, I.; Barbeau, J.; Jayasundara, S.; Parkin, G.; von Bertoldi, P.; Warland, J. Intensive measurement of nitrous oxide emissions from a corn-soybean-wheat rotation under two contrasting management systems over 5 years. Glob. Chang. Biol. 2007, 13, 1722–1736. [Google Scholar] [CrossRef]
- Hyatt, C.R.; Venterea, R.T.; Rosen, C.J.; McNearney, M.; Wilson, M.L.; Dolan, M.S. Polymer-Coated Urea Maintains Potato Yields and Reduces Nitrous Oxide Emissions in a Minnesota Loamy Sand. Soil Sci. Soc. Am. J. 2010, 74, 419–428. [Google Scholar] [CrossRef]
- Abalos, D.; Brown, S.E.; Vanderzaag, A.C.; Gordon, R.J.; Dunfield, K.E.; Wagner-Riddle, C. Micrometeorological measurements over 3 years reveal differences in N2O emissions between annual and perennial crops. Glob. Chang. Biol. 2016, 22, 1244–1255. [Google Scholar] [CrossRef] [PubMed]
- Saleh-Lakha, S.; Shannon, K.E.; Henderson, S.L.; Goyer, C.; Trevors, J.T.; Zebarth, B.J.; Burton, D.L. Effect of pH and temperature on denitrification gene expression and activity in Pseudomonas mandelii. Appl. Environ. Microbiol. 2009, 75, 3903–3911. [Google Scholar] [CrossRef] [PubMed]
- Simek, M.; Cooper, J.E. The influence of soil pH on denitrification: Progress towards the understanding of this interaction over the last 50 years. Eur. J. Soil Sci. 2002, 53, 345–354. [Google Scholar] [CrossRef]
- Thomas, K.L.; Lloyd, D.; Boddy, L. Effects of oxygen, pH and nitrate concentration on denitrification by Pseudomonas species. FEMS Microbiol. Lett. 1994, 118, 181–186. [Google Scholar] [CrossRef] [PubMed]
- Thomsen, J.K.; Geest, T.; Cox, R.P. Mass spectrometric studies of the effect of pH on the accumulation of intermediates in denitrification by Paracoccus denitrificans. Appl. Environ. Microbiol. 1994, 60, 536–541. [Google Scholar] [CrossRef]
- Valera, C.L.; Alexander, M. Nutrition and physiology of denitrifying bacteria. Plant Soil 1961, 15, 268–280. [Google Scholar] [CrossRef]
- Van Den Heuvel, R.N.; Bakker, S.E.; Jetten, M.S.M.; Hefting, M.M. Decreased N2O reduction by low soil pH causes high N2O emissions in a riparian ecosystem. Geobiology 2011, 9, 294–300. [Google Scholar] [CrossRef]
- Saha, D.; Rau, B.M.; Kaye, J.P.; Montes, F. Landscape control of nitrous oxide emissions during the transition from conservation reserve program to perennial grasses for bioenergy. GCB Bioenergy 2017, 9, 783–795. [Google Scholar] [CrossRef]
- Pennock, D.; Yates, T.; Bedard-haughn, A.; Phipps, K.; Farrell, R.; Mcdougal, R. Landscape controls on N 2 O and CH 4 emissions from freshwater mineral soil wetlands of the Canadian Prairie Pothole region. Geoderma 2010, 155, 308–319. [Google Scholar] [CrossRef]
- Han, Z.; Walter, M.T.; Drinkwater, L.E. Impact of cover cropping and landscape positions on nitrous oxide emissions in northeastern US agroecosystems. Agric. Ecosyst. Environ. 2017, 245, 124–134. [Google Scholar] [CrossRef]
- Pennock, D.; Farrell, R.; Desjardins, R.; Pattey, E.; MacPherson, J.I.I. Upscaling chamber-based measurements of N2O emissions at snowmelt. Can. J. Soil Sci. 2005, 85, 113–125. [Google Scholar] [CrossRef]




| Early Season | Mid Season | Late Season | |||||||||||||
| 26 May | 3 June | 21 June | 4 July | 9 July | 23 July | 9 August | 23 August | 9 September | 25 September | 10 October | |||||
| Toeslope | 166.8 ± 45 ab | 26.6 ± 10 b | 5.8 ± 1.2 ab | 3 ± 0.7 abcd | 2.5 ± 0.7 bcd | 3.8 ± 0.9 abcd | 1.9 ± 1.1 cd | 3.1 ± 2 ab | 7.4 ± 2.3 a | 3.9 ± 2.8 ab | 2.9 ± 2 ab | ||||
| Middle slope | 135.3 ± 41 ab | 18.6 ± 5 b | 6.6 ± 1 a | 2.5 ± 0.7 bcd | 2.3 ± 0.4 bcd | 4.9 ± 2.8 abcd | 1.5 ± 0.3 d | 1.2 ± 0.2 b | 0.2 ± 0.3 b | 0.8 ± 0.1 b | 0.5 ± 0.1 b | ||||
| Upper slope | 254.8 ± 105 a | 6 ± 1.1 b | 4.1 ± 1.3 abcd | 3.2 ± 0.5 abcd | 2.2 ± 0.4 bcd | 5.4 ± 1.8 abc | 1.8 ± 0.5 cd | 0.8 ± 0.3 b | −0.3 ± 0.4 b | 1.0 ± 0.6 b | 1.6 ± 0.9 b | ||||
| Analysis of Variance | |||||||||||||||
| Early Season | Mid Season | Late Season | |||||||||||||
| * DF | SS | MS | F | P | DF | SS | MS | F | P | DF | SS | MS | F | P | |
| Slope position | 2 | 11,692 | 5846 | 0.4 | 0.678 | 2 | 0.5 | 0.2 | 0.03 | 0.967 | 2 | 139 | 70 | 7 | 0.003 |
| Sampling date | 1 | 170,495 | 170,495 | 11.6 | 0.004 | 4 | 122 | 31 | 4.2 | 0.006 | 3 | 4.5 | 1.5 | 0.2 | 0.926 |
| Slope position × Sampling date | 2 | 19,886 | 9943 | 0.7 | 0.522 | 8 | 19 | 2.38 | 0.3 | 0.951 | 6 | 56 | 9 | 1 | 0.456 |
| Early Growing Season | Mid Growing Season | Late Growing Season | |||||
|---|---|---|---|---|---|---|---|
| Toeslope | 760 ± 240 ab | 239 ± 46 bc | 371 ± 157 bc | ||||
| Middle slope | 606 ± 212 abc | 261 ± 80 bc | 82 ± 15 c | ||||
| Upper slope | 1040 ± 487 a | 229 ± 17 bc | 68 ± 20 c | ||||
| Analysis of Variance | |||||||
| DF | SS | MS | F | P | |||
| Slope positions | 2 | 145,771 | 72,885 | 0.4 | 0.659 | ||
| Growing season | 2 | 2,849,227 | 1,424,613 | 8.3 | 0.002 | ||
| Slope positions × Growing season | 4 | 476,920 | 119,230 | 0.7 | 0.603 | ||
| Early Season | Mid Season | Late Season | |||||||||||||
| 22 May | 26 May | 6 June | 21 June | 5 July | 11 July | 18 July | 7 August | 20 August | 5 September | 24 September | 11 October | ||||
| Toeslope | 23 ± 14 b | 26 ± 3 b | 8.2 ± 2.3 b | 3 ± 0.3 cd | 1.5 ± 0.1 d | 0.5 ± 0.4 d | 4.4 ± 1.6 abcd | 1.2 ± 0.3 d | 1.5 ± 1 ab | 0.3 ± 0.2 b | 0.3 ± 0.4 ab | −0.5 ± 0.8 b | |||
| Lower slope | 8.4 ± 1.4 b | 59 ± 13 a | 16.2 ± 7.8 b | 2.7 ± 0.6 cd | 0.3 ± 0.2 d | 1 ± 0.2 d | 9.6 ± 2.5 ab | 1.7 ± 0.3 d | 1.3 ± 0.4 ab | 0.01 ± 0.2 b | 2.5 ± 2b a | 0.1 ± 0.4 b | |||
| Middle slope | 7.9 ± 1.6 b | 52 ± 5 a | 15 ± 4.3 b | 3 ± 0.4 c d | 2 ± 0.2 cd | 2.2 ± 0.5 cd | 10 ± 6.1 a | 2.4 ± 1.3 cd | 1.4 ± 0.1 ab | 0.3 ± 0.2 b | 0.3±0.2 b | 1.2 ± 0.3 ab | |||
| Upper slope | 7.1 ± 2 b | 70 ± 15 a | 12.9 ± 2 b | 4.3 ± 1.2 bcd | 3.3 ± 1.3 cd | 0.1 ± 1.3 d | 7.7 ± 1.9 abc | 4.1 ± 1.7 bcd | 1.3 ± 0.3 ab | 1.0 ± 0.3 ab | 1.0 ± 0.2 ab | 1.6 ± 0.7 ab | |||
| Analysis of Variance | |||||||||||||||
| Early Season | Mid Season | Late Season | |||||||||||||
| DF | SS | MS | F | P | DF | SS | MS | F | P | DF | SS | MS | F | P | |
| Slope position | 3 | 793 | 264 | 0.8 | 0.488 | 3 | 45 | 15 | 0.9 | 0.444 | 3 | 5.8 | 1.9 | 0.8 | 0.521 |
| Sampling date | 2 | 16,882 | 8441 | 26.4 | 0.000 | 4 | 486 | 122 | 7.3 | 0.000 | 3 | 9.6 | 3.2 | 1.3 | 0.295 |
| Slope position × sampling date | 6 | 4190 | 698 | 2.2 | 0.069 | 12 | 89 | 7 | 0.5 | 0.937 | 9 | 21.6 | 2.4 | 1.0 | 0.489 |
| Early Growing Season | Mid Growing Season | Late Growing Season | |||||
|---|---|---|---|---|---|---|---|
| Toeslope | 276 ± 50bc | 152 ± 23c | 86 ± 64c | ||||
| Lower slope | 521 ± 154a | 214 ± 39c | 115 ± 48c | ||||
| Middle slope | 466 ± 40ab | 259 ± 107bc | 93 ± 8c | ||||
| Upper slope | 576 ± 132a | 271 ± 51bc | 118 ± 27c | ||||
| Analysis of Variance | |||||||
| DF | SS | MS | F | P | |||
| slope positions | 3 | 147,906 | 49,302 | 2.15 | 0.113 | ||
| growing season | 2 | 1,052,181 | 526,091 | 22.89 | 0.000 | ||
| slope positions × growing season | 6 | 93,529 | 15,588 | 0.68 | 0.668 | ||
Publisher’s Note: MDPI stays neutral with regard to jurisdictional claims in published maps and institutional affiliations. |
© 2021 by the authors. Licensee MDPI, Basel, Switzerland. This article is an open access article distributed under the terms and conditions of the Creative Commons Attribution (CC BY) license (http://creativecommons.org/licenses/by/4.0/).
Share and Cite
Ashiq, W.; Vasava, H.B.; Ghimire, U.; Daggupati, P.; Biswas, A. Topography Controls N2O Emissions Differently during Early and Late Corn Growing Season. Agronomy 2021, 11, 187. https://doi.org/10.3390/agronomy11010187
Ashiq W, Vasava HB, Ghimire U, Daggupati P, Biswas A. Topography Controls N2O Emissions Differently during Early and Late Corn Growing Season. Agronomy. 2021; 11(1):187. https://doi.org/10.3390/agronomy11010187
Chicago/Turabian StyleAshiq, Waqar, Hiteshkumar B. Vasava, Uttam Ghimire, Prasad Daggupati, and Asim Biswas. 2021. "Topography Controls N2O Emissions Differently during Early and Late Corn Growing Season" Agronomy 11, no. 1: 187. https://doi.org/10.3390/agronomy11010187
APA StyleAshiq, W., Vasava, H. B., Ghimire, U., Daggupati, P., & Biswas, A. (2021). Topography Controls N2O Emissions Differently during Early and Late Corn Growing Season. Agronomy, 11(1), 187. https://doi.org/10.3390/agronomy11010187

