Defining Targets for Reversing Declines of Soil Carbon in High-Intensity Arable Cropping
Abstract
1. Introduction
2. Materials and Methods
2.1. Region, Sites and Sampling
2.2. Statistical Analysis
3. Results
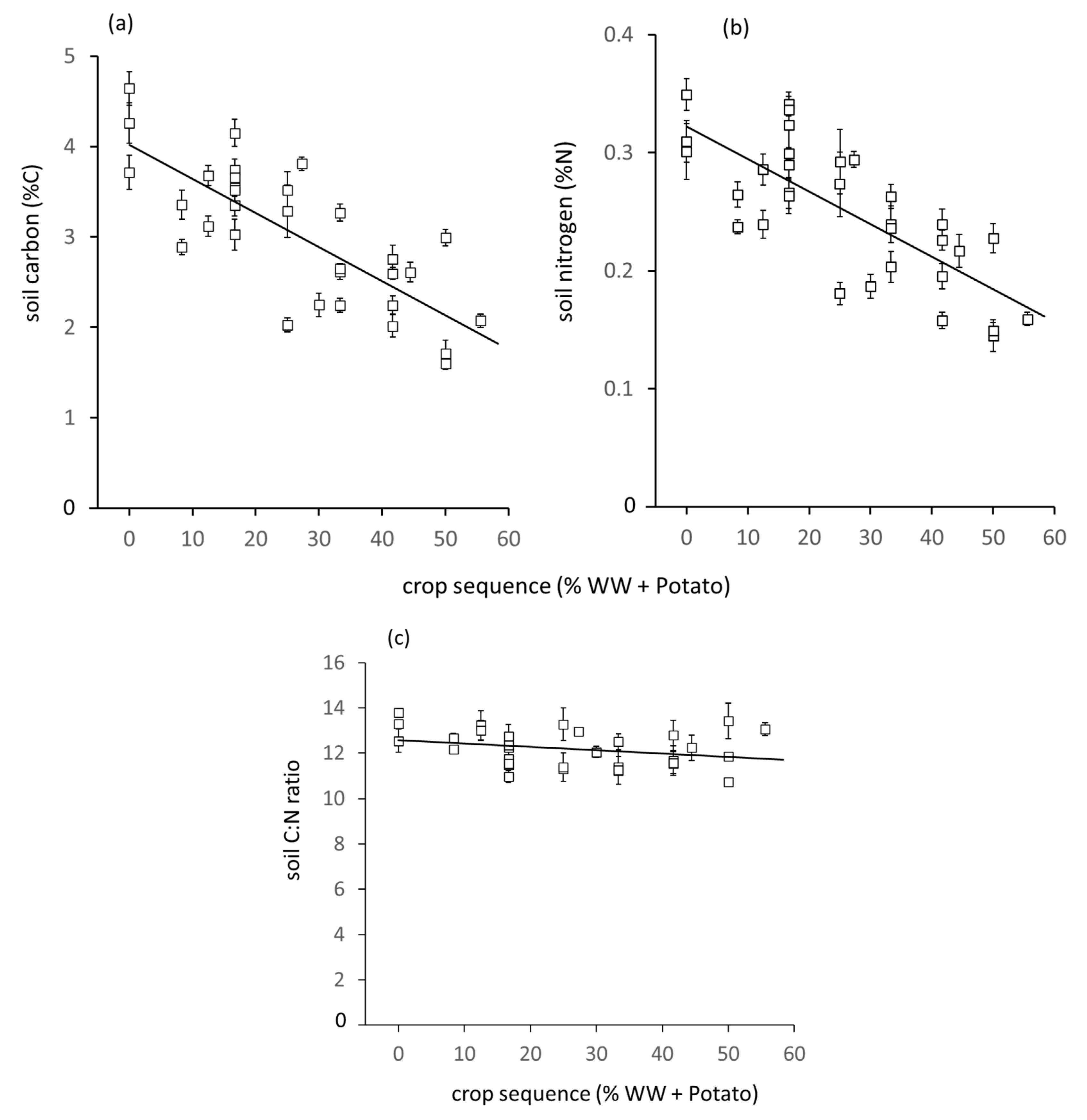
3.1. Comparison of SOC Over a Range of Cropping Intensity
3.2. Soil Carbon in Cultivated and Uncultivated Land
4. Discussion
Soil Carbon Zones and Targets for Rehabilitation
5. Conclusions
Supplementary Materials
Author Contributions
Funding
Conflicts of Interest
References
- Soussana, J.F.; Loiseau, P.; Vuichard, N.; Ceschia, E.; Balesdent, J.; Chevallier, T.; Arrouays, D. Carbon cycling and sequestration opportunities in temperate grasslands. Soil Use Manag. 2004, 20, 219–230. [Google Scholar] [CrossRef]
- Cleveland, C.C.; Liptzin, D. C:N:P stoichiometry in soil: Is there a “Redfield ratio” for the microbial biomass? Biogeochemistry 2007, 85, 235–252. [Google Scholar] [CrossRef]
- Powlson, D.S.; Gregory, P.J.; Whalley, W.R.; Quinton, J.N.; Hopkins, D.W.; Whitmore, A.P.; Hirsch, P.R.; Goulding, K.W.T. Soil management in relation to sustainable agriculture and ecosystem services. Food Policy 2011, 36, 572–587. [Google Scholar] [CrossRef]
- Lal, R.; Bruce, J.P. The potential of world cropland soils to sequester C and mitigate the greenhouse effect. Environ. Sci. Policy 1999, 2, 177–185. [Google Scholar] [CrossRef]
- Griffiths, B.S.; Spilles, A.; Bonkowski, M. C:N:P stoichiometry and nutrient limitation of the soil microbial biomass in a grazed grassland site under experimental P limitation or excess. Ecol. Process. 2012, 1, 6. [Google Scholar] [CrossRef]
- Liu, H.Y.; Zhou, J.G.; Shen, J.; Li, Y.Y.; Li, Y.; Ge, T.D.; Guggenberger, G.; Wu, J. Agricultural uses reshape soil C, N, and P stoichiometry in subtropical ecosystems. Biogeosci. Discuss 2016. [Google Scholar] [CrossRef]
- Fazhu, Z.; Jiao, S.; Chengjie, R.; Di, K.; Jian, D.; Xinhui, H.; Gaihe, Y.; Yongzhong, F.; Guangxin, R. Land use change influences soil C, N, and P stoichiometry under ‘Grain-to-Green Program’ in China. Nat. Sci. Rep. 2015, 5, 0195. [Google Scholar] [CrossRef] [PubMed]
- Luo, Z.; Wang, E.; Sun, O.J.; Smith, C.J.; Probert, M.E. Modeling long-term soil carbon dynamics and sequestration potential in semi-arid agro-ecosystems. Agric. For. Meteorol. 2011, 151, 1529–1544. [Google Scholar] [CrossRef]
- West, T.O.; Bandaru, V.; Brandt, C.C.; Schuh, A.E.; Ogle, S.M. Regional uptake and release of crop carbon in the United States. Biogeosciences 2011, 8, 2037–2046. [Google Scholar] [CrossRef]
- Zhang, X.; Izaurralde, R.C.; Manowitz, D.H.; Sahajpal, R.; West, T.O.; Thomson, A.M.; Xu, M.; Zhao, K.; LeDuc, S.D.; Williams, J.R. Regional scale cropland carbon budgets: Evaluating a geospatial agricultural modelling system using inventory data. Environ. Model. Softw. 2015, 63, 199–216. [Google Scholar] [CrossRef]
- Lugato, E.; Bampa, F.; Panagos, P.; Montanarella, L.; Jones, A. Potential carbon sequestration of European arable soils estimated by modelling a comprehensive set of management practices. Glob. Chang. Biol. 2015, 20, 3557–3567. [Google Scholar] [CrossRef] [PubMed]
- Valkama, E.; Kunypiyaeva, G.; Zhapayev, R.; Karabayev, M.; Zhusupbekov, E.; Perego, A.; Schillaci, C.; Sacco, D.; Moretti, B.; Grignani, C.; et al. Can conservation agriculture increase soil carbon sequestration? A modelling approach. Geoderma 2020, 369, 114298. [Google Scholar] [CrossRef]
- Bampa, F.; O’Sullivan, L.; Madena, K.; Sanden, T.; Spiegel, H.; Henriksen, C.B.; Ghaley, B.B.; Jones, A.; Staes, J.; Sturel, S.; et al. Harvesting European knowledge on soil functions and land management using multi-criteria decision analysis. Soil Use Manag. 2019, 35, 6–20. [Google Scholar] [CrossRef]
- Campbell, G.A.; Lilly, A.; Corstanje, R.; Mayr, T.R.; Black, H.I.J. Are existing soils data meeting the needs of stakeholders in Europe? An analysis of practical use from policy to field. Land Use Policy 2017, 69, 211–223. [Google Scholar] [CrossRef]
- Baldock, D.; Beaufoy, G.; Bennett, G.; Clark, J. Nature Conservation and New Directions in the Common Agricultural Policy; Institute for European Environmental Policy: London, UK, 1993. [Google Scholar]
- Paracchini, M.L.; Petersen, J.E.; Hoogeveen, Y.; Bamps, C.; Burfield, I.; van Swaay, C. High Nature Value Farmland in Europe—An Estimate of the Distribution Patterns on the Basis of Land Cover and Biodiversity Data; Joint Research Centre—Institute for Environment and Sustainability, Office for Official Publications of the European Communities: Luxembourg, 2008. [Google Scholar] [CrossRef]
- Lomba, A.; Guerra, C.; Alonso, J.; Honrado, J.P.; Jongman, R.; McCracken, D. Mapping and monitoring High Nature Value farmlands: Challenges in European landscapes. J. Environ. Manag. 2014, 143, 140–150. [Google Scholar] [CrossRef]
- Gardi, C.; Visioli, G.; Conti, F.D.; Scotti, M.; Menta, C.; Bodini, A. High nature value farmland: Assessment of soil organic carbon in Europe. Front. Environ. Sci. 2016, 4. [Google Scholar] [CrossRef]
- Tóth, G.; Jones, A.; Montanarella, L. (Eds.) LUCAS Topsoil Survey: Methodology, Data and Results; European Union: Luxembourg, 2013; Available online: https://esdac.jrc.ec.europa.eu/ESDB_Archive/eusoils_docs/other/EUR26102EN.pdf (accessed on 20 May 2020).
- Squire, G.R. Defining sustainable limits during and after intensification in a maritime agricultural ecosystem. Ecosyst. Health Sustain. 2017, 3. [Google Scholar] [CrossRef]
- Squire, G.R.; Quesada, N.; Begg, G.S.; Iannetta, P.P.M. Transitions to a greater legume inclusion in cropland: Defining opportunities and estimating benefits for the nitrogen economy. Food Energy Secur. 2019, 8, e00175. [Google Scholar] [CrossRef]
- Squire, G.R.; Hawes, C.; Valentine, T.A.; Young, M.W. Degradation rate of soil function depends on trajectory of agricultural intensification. Agric. Ecosyst. Environ. 2015, 202, 160–167. [Google Scholar] [CrossRef]
- Valentine, T.A.; Hallett, P.D.; Binnie, K.; Young, M.W.; Squire, G.R.; Hawes, C.; Bengough, A.G. Soil strength and macropore volume limit root elongation rates in many UK agricultural soils. Ann. Bot. 2012, 110, 259–270. [Google Scholar] [CrossRef]
- Benaud, P.; Anderson, K.; Evans, M.; Farrow, L.; Glendell, M.; James, M.R.; Quine, T.A.; Quinton, J.N.; Rawlins, B.; Rickson, R.J.; et al. National-scale geodata describe widespread accelerated soil erosion. Geoderma 2020, 371, 114378. [Google Scholar] [CrossRef]
- Lilly, A.; Chapman, S.J. Assessing changes in carbon stocks of Scottish Soils: Lessons learnt. IOP Conf. Ser. 2015, 25, 012016. [Google Scholar] [CrossRef]
- Lilly, A.; Baggaley, N.J.; Edwards, A.C. Changes in the carbon concentrations and other soil properties of some Scottish agricultural soils: Evidence from a re-sampling campaign. Soil Use Manag. 2019, 36, 299–307. [Google Scholar] [CrossRef]
- Dobbie, K.E.; Bruneau, P.M.C.; Towers, W. (Eds.) The State of Scotland’s Soil; Natural Scotland: Edinburgh, UK, 2011; Available online: https://www.sepa.org.uk/media/138741/state-of-soil-report-final.pdf (accessed on 30 May 2020).
- Scotland’s Soil Data. World Reference Base and Other Data Available for Download. James Hutton Institute, UK. Available online: https://www.hutton.ac.uk/learning/natural-resource-datasets/soilshutton/soils-maps-scotland/download (accessed on 30 May 2020).
- Hawes, C.; Squire, G.R.; Hallett, P.D.; Watson, C.; Young, M. Arable plant communities as indicators of farming practice. Agric. Ecosyst. Environ. 2010, 138, 17–26. [Google Scholar] [CrossRef]
- Young, M.W.; Mullins, E.; Squire, G.R. Environmental risk assessment of blight resistant potato: Use of a crop model to quantify nitrogen cycling at scales of the field and cropping system. Environ. Sci. Pollut. Res. 2017, 24, 21434–21444. [Google Scholar] [CrossRef]
- Bellamy, P.H.; Loveland, P.J.; Bradley, R.I.; Lark, R.M.; Kirk, G.J.D. Carbon losses from all soils across England and Wales 1978–2003. Nature 2005, 437, 245–248. [Google Scholar] [CrossRef]
- Loveland, P.; Webb, J. Is there a critical level of organic matter in the agricultural soils of temperate regions: A review. Soil Tillage Res. 2003, 70, 1–18. [Google Scholar] [CrossRef]
- IPCC. Land use, land-use change and forestry (LULUCF). In Special Report of the Intergovernmental Panel on Climate Change; Cambridge University Press: Cambridge, UK, 2000. [Google Scholar]
- Jenkinson, D.S.; Rayner, J.H. The turnover of soil organic matter in some of the Rothamsted classical experiments. Soil Sci. 1977, 123, 298–305. [Google Scholar] [CrossRef]
- Integrated Administrative and Control System (IACS). European Commission, Brussels, EU. Available online: https://ec.europa.eu/agriculture/direct-support/iacs_en (accessed on 20 May 2020).
- Grandy, A.S.; Robertson, G.P. Land-Use Intensity Effects on Soil Organic Carbon Accumulation Rates and Mechanisms. Ecosystems 2007, 10, 58–73. [Google Scholar] [CrossRef]
- Blair, N.; Faulkner, R.D.; Till, A.R.; Crocker, G.J. Long-term management impacts on soil C, N and physical fertility: Part III: Tamworth crop rotation experiment. Soil Tillage Res. 2006, 91, 48–56. [Google Scholar] [CrossRef]
- Rees, R.M.; Bingham, I.J.; Baddeley, J.A.; Watson, C.A. The role of plants and land management in sequestering soil carbon in temperate arable and grassland ecosystems. Geoderma 2005, 128, 130–154. [Google Scholar] [CrossRef]
- Rahmati, M.; Eskandari, I.; Kouselou, M.; Feiziasl, V.; Mahdavinia, G.R.; Aliasgharzad, N.; McKenzie, B.M. Changes in soil organic carbon fractions and residence time five years after implementing conventional and conservation tillage practices. Soil Tillage Res. 2020, 200, 104632. [Google Scholar] [CrossRef]
- Powlson, D.; Stirling, C.; Jat, M.; Bruno, G.G.; Palm, C.A.; Sanchez, P.A.; Cassman, K.G. Limited potential of no-till agriculture for climate change mitigation. Nat. Clim Chang. 2014, 4, 678–683. [Google Scholar] [CrossRef]
- White, R.E.; Davidson, B.; Lam, S.K.; Chen, D. A critique of the paper ‘Soil carbon 4 per mille’ by Minasny et al. (2017). Geoderma 2018, 309, 115–117. [Google Scholar] [CrossRef]
- ERSA Economic Report on Scottish Agriculture for 2016. Scottish Government: Edinburgh, UK, 2016. Available online: https://www.gov.scot/Topics/Statistics/Browse/Agriculture-Fisheries/Publications/histagstats (accessed on 20 May 2020).
- Hawes, C.; Young, M.; Banks, G.; Begg, G.S.; Christie, A.; Iannetta, P.P.M.; Karley, A.J.; Squire, G.R. Whole-systems analysis of environmental and economic sustainability in arable cropping systems: A case study. Agronomy 2019, 9, 438. [Google Scholar] [CrossRef]





© 2020 by the authors. Licensee MDPI, Basel, Switzerland. This article is an open access article distributed under the terms and conditions of the Creative Commons Attribution (CC BY) license (http://creativecommons.org/licenses/by/4.0/).
Share and Cite
Squire, G.R.; Young, M.; Ford, L.; Banks, G.; Hawes, C. Defining Targets for Reversing Declines of Soil Carbon in High-Intensity Arable Cropping. Agronomy 2020, 10, 973. https://doi.org/10.3390/agronomy10070973
Squire GR, Young M, Ford L, Banks G, Hawes C. Defining Targets for Reversing Declines of Soil Carbon in High-Intensity Arable Cropping. Agronomy. 2020; 10(7):973. https://doi.org/10.3390/agronomy10070973
Chicago/Turabian StyleSquire, Geoffrey R., Mark Young, Linda Ford, Gillian Banks, and Cathy Hawes. 2020. "Defining Targets for Reversing Declines of Soil Carbon in High-Intensity Arable Cropping" Agronomy 10, no. 7: 973. https://doi.org/10.3390/agronomy10070973
APA StyleSquire, G. R., Young, M., Ford, L., Banks, G., & Hawes, C. (2020). Defining Targets for Reversing Declines of Soil Carbon in High-Intensity Arable Cropping. Agronomy, 10(7), 973. https://doi.org/10.3390/agronomy10070973

