Plastic-Covered Ridge-Furrow Planting Combined with Supplemental Irrigation Based on Measuring Soil Moisture Promotes Wheat Grain Yield and Irrigation Water Use Efficiency in Irrigated Fields on the Loess Plateau, China
Abstract
1. Introduction
2. Materials and Methods
2.1. Experimental Design
2.2. Measurements and Data Analysis
2.2.1. Plant Growth, Grain Yield, and Quality
2.2.2. Soil Moisture and Temperatures
2.2.3. Water Use Efficiency (WUE)
2.2.4. Nitrogen Use Efficiency (NUE)
2.2.5. Nitrate Nitrogen (NO3−-N)
2.3. Statistical Analyses
3. Results
3.1. Soil Moisture and Temperature
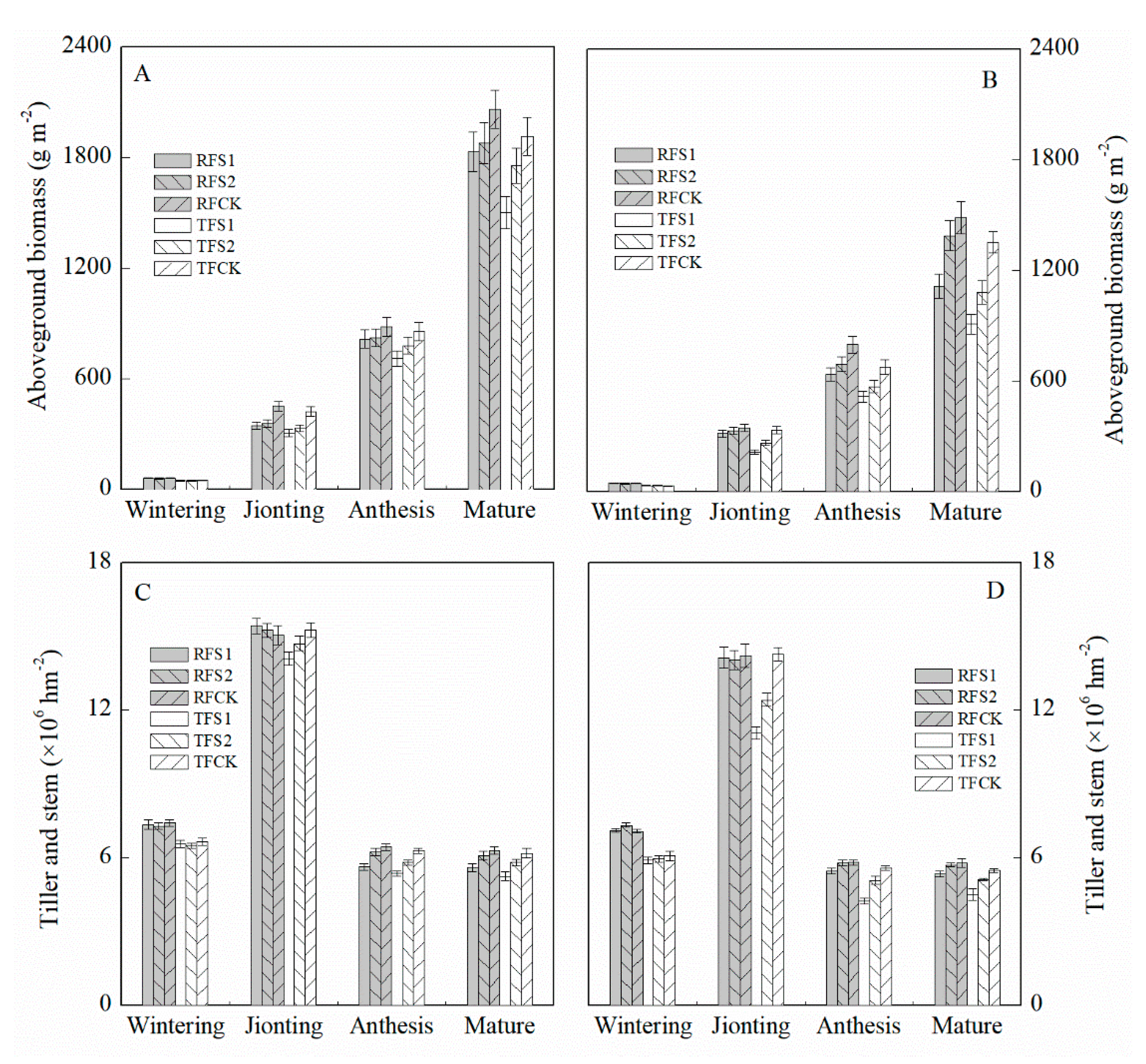
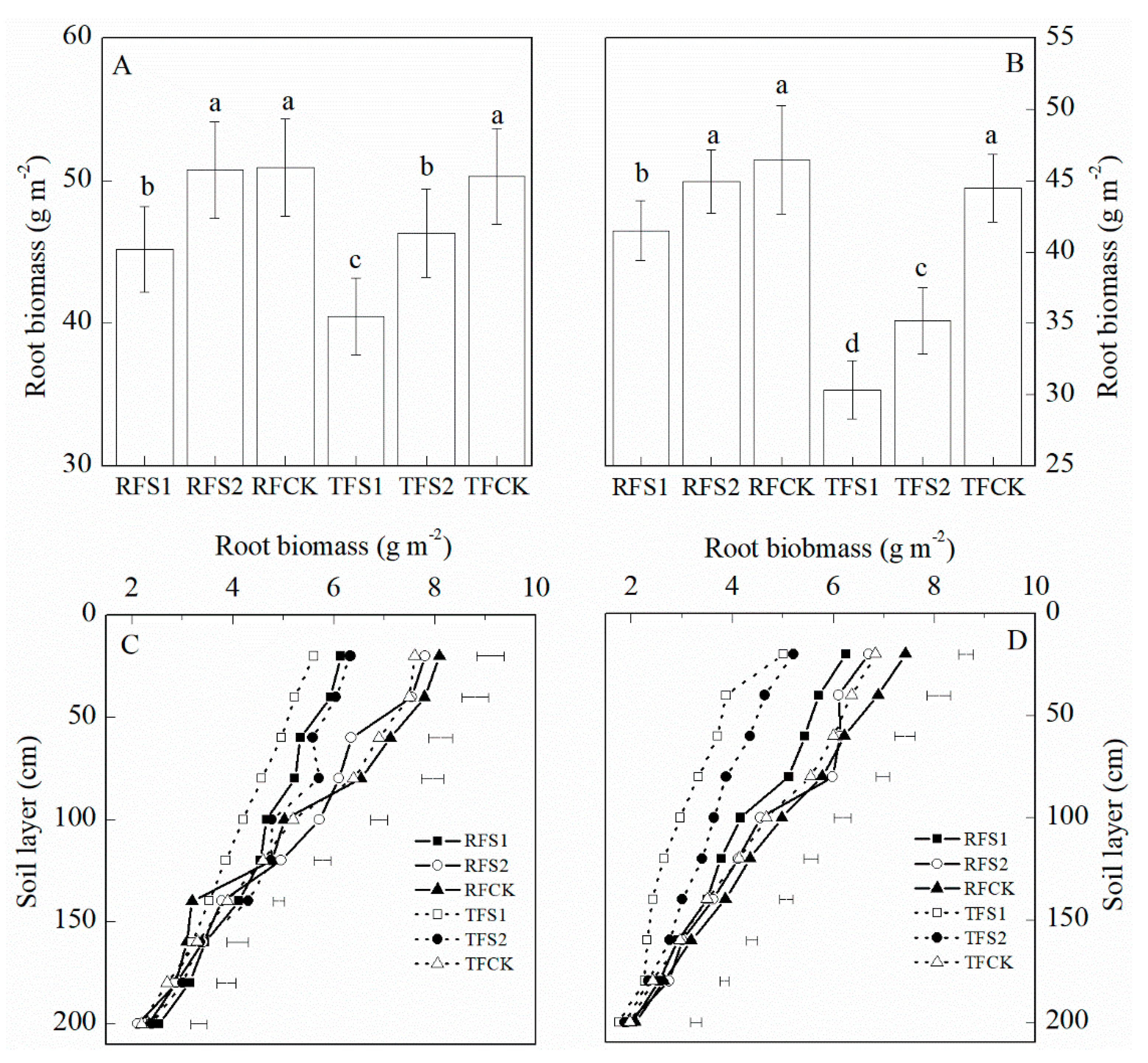
3.2. Plant Growth
3.3. Grain Yield and Quality
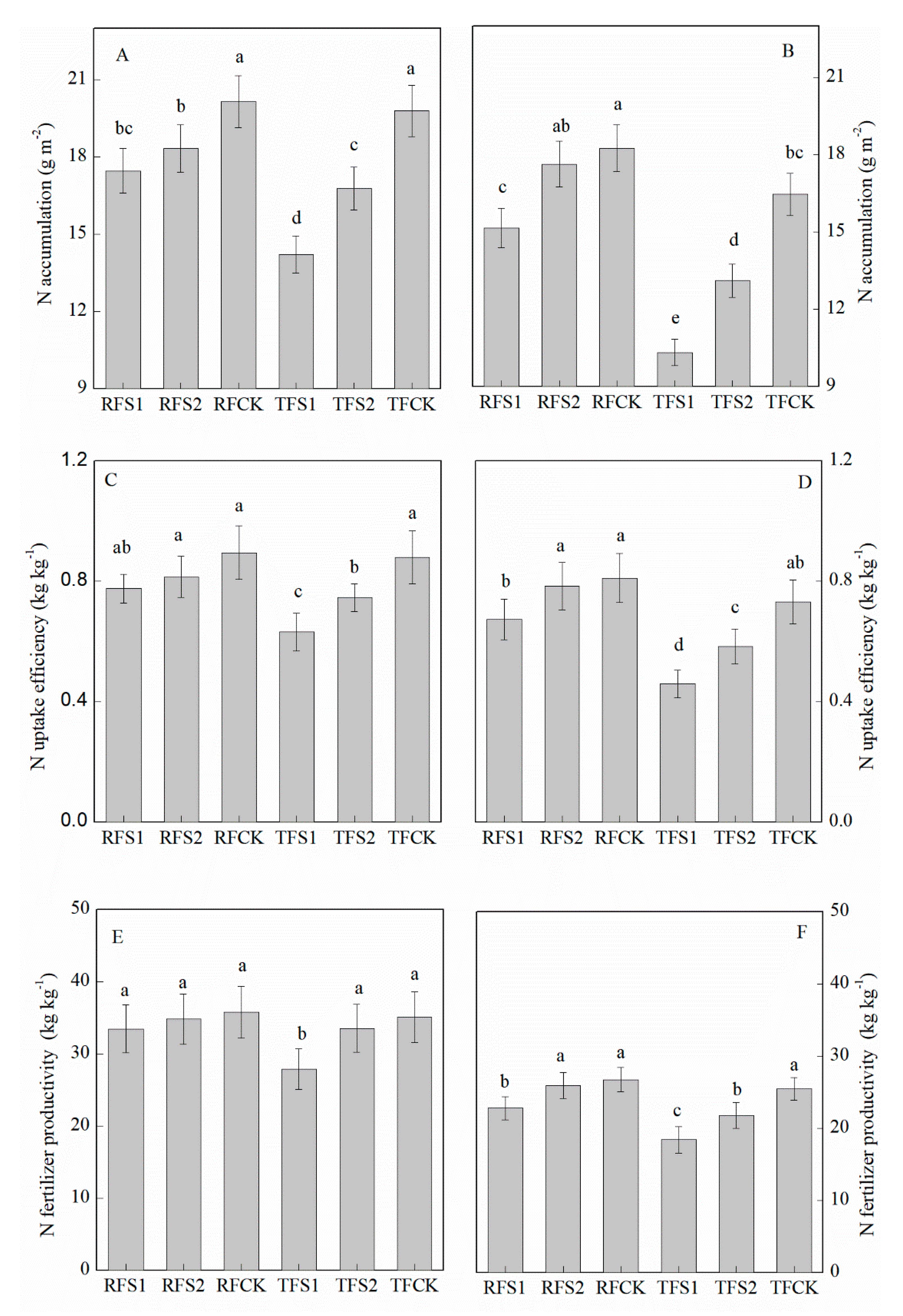
3.4. Water and Nitrogen Use Efficiency
4. Discussion
5. Conclusions
Author Contributions
Funding
Acknowledgments
Conflicts of Interest
References
- Ren, X.L.; Chen, X.; Jia, Z.K. Effect of Rainfall Collecting with Ridge and Furrow on Soil Moisture and Root Growth of Corn in Semiarid Northwest China. J. Agron. Crop Sci. 2010, 196, 109–122. [Google Scholar] [CrossRef]
- Tang, J.; Folmer, H.; Xue, J. Estimation of awareness and perception of water scarcity among farmers in the Guanzhong Plain, China, by means of a structural equation model. J. Environ. Manag. 2013, 126, 55–62. [Google Scholar] [CrossRef] [PubMed]
- Li, Z.; Liu, W.Z.; Zhang, X.C.; Zheng, F.L. Impacts of land use change and climate variability on hydrology in an agricultural catchment on the Loess Plateau of China. J. Hydrol. 2009, 377, 35–42. [Google Scholar] [CrossRef]
- Zhao, J.; Gu, J.; Du, J. Climate and soil moisture environment during development of the fifth palaeosol in Guanzhong plain. Sci. China Ser. D 2008, 38, 364–374. [Google Scholar] [CrossRef]
- Chen, J. Rapid urbanization in China: A real challenge to soil protection and food security. Catena 2007, 69, 1–15. [Google Scholar] [CrossRef]
- Man, J.; Shi, Y.; Yu, Z.; Zhang, Y. Dry Matter Production, Photosynthesis of Flag Leaves and Water Use in Winter Wheat Are Affected by Supplemental Irrigation in the Huang-Huai-Hai Plain of China. PLoS ONE 2015, 10, e0137274. [Google Scholar] [CrossRef]
- Guo, Z.; Zhang, Y.; Zhao, J.; Shi, Y.; Yu, Z. Nitrogen use by winter wheat and changes in soil nitrate nitrogen levels with supplemental irrigation based on measurement of moisture content in various soil layers. Field Crops Res. 2014, 164, 117–125. [Google Scholar] [CrossRef]
- Zhang, Y.; Yu, Z.; Shi, Y.; Gu, S.; Zhang, Y. Effects of supplemental irrigation based on soil water content on water consumption, dry matter and yield of wheat. Chil. J. Agric. Res. 2019, 79, 190–201. [Google Scholar] [CrossRef]
- Miniatry of Agriculture and Rural Affairs of the People’s Republic of China. Notice on the Promotion of Major Agricultural Technologies in 2017. Available online: http://www.moa.gov.cn/nybgb/2017/dlq/201712/t20171231_6133709.htm (accessed on 27 May 2017).
- Meng, W.; Yu, Z.; Zhao, J.; Zhang, Y.; Shi, Y. Effects of supplemental irrigation based on soil moisture levels on photosynthesis, dry matter accumulation, and remobilization in winter wheat (Triticum aestivum L.) cultivars. Plant Prod. Sci. 2017, 20, 215–226. [Google Scholar] [CrossRef]
- Han, Z.J.; Yu, Z.W.; Wang, D.; Zhang, Y.L. Effects of Supplemental Irrigation Based on Testing Soil Moisture on Dry Matter Accumulation and Distribution and Water Use Efficiency in Winter Wheat. Acta Agron. Sin. 2010, 36, 457–465. [Google Scholar] [CrossRef]
- Guo, Z.; Shi, Y.; Yu, Z.; Zhang, Y. Supplemental irrigation affected flag leaves senescence post-anthesis and grain yield of winter wheat in the Huang-Huai-Hai Plain of China. Field Crops Res. 2015, 180, 100–109. [Google Scholar] [CrossRef]
- Wang, D.; Yu, Z.; White, P.J. The effect of supplemental irrigation after jointing on leaf senescence and grain filling in wheat. Field Crops Res. 2013, 151, 35–44. [Google Scholar] [CrossRef]
- Ali, S.; Xu, Y.; Ma, X.; Ahmad, I.; Kamran, M.; Dong, Z.; Cai, T.; Jia, Q.; Ren, X.L.; Zhang, P.; et al. Planting Patterns and Deficit Irrigation Strategies to Improve Wheat Production and Water Use Efficiency under Simulated Rainfall Conditions. Front. Plant Sci. 2017, 8, 1408. [Google Scholar] [CrossRef] [PubMed]
- Chen, X.; Wu, P.; Zhao, X.; Persaud, N. Effect of Different Mulches on Harvested Rainfall Use Efficiency for Corn (Zea mays L.) in Semi-Arid Regions of Northwest China. Arid Land Res. Manag. 2013, 27, 272–285. [Google Scholar]
- Li, F.M.; Wang, J.; Xu, J.Z. Plastic Film Mulch Effect on Spring Wheat in a Semiarid Region. J. Sustain. Agric. 2005, 25, 5–17. [Google Scholar] [CrossRef]
- Gan, Y.; Siddique, K.H.M.; Turner, N.C.; Li, X.G.; Niu, J.Y.; Yang, C.; Liu, L.; Chai, Q. Ridge-Furrow Mulching Systems—An Innovative Technique for Boosting Crop Productivity in Semiarid Rain-Fed Environments. In Advances in Agronomy; Sparks, D.L., Ed.; Academic Press: Cambridge, MA, USA, 2013; Chapter 7; pp. 429–476. [Google Scholar]
- Li, Y.Z.; Song, D.P.; Dang, P.F.; Wei, L.; Qin, X.L.; Siddique, K.H.M. The effect of tillage on nitrogen use efficiency in maize (Zea mays L.) in a ridge–furrow plastic film mulch system. Soil Tillage Res. 2019, 195, 104409. [Google Scholar] [CrossRef]
- Ekren, S.; Sonmez, C.; Ozcakal, E.; Kurttas, Y.S.K.; Bayram, E.; Gurgulu, H. The effect of different irrigation water levels on yield and quality characteristics of purple basil (Ocimum basilicum L.). Agric. Water Manag. 2012, 109, 155–161. [Google Scholar] [CrossRef]
- Li, C.J.; Wen, X.X.; Wan, X.J.; Liu, Y.; Han, J.; Liao, Y.C.; Wu, W. Towards the highly effective use of precipitation by ridge-furrow with plastic film mulching instead of relying on irrigation resources in a dry semi-humid area. Field Crops Res. 2016, 188, 62–73. [Google Scholar] [CrossRef]
- Huang, J.K.; Wei, W.; Cui, Q.; Xie, W. The prospects for China’s food security and imports: Will China starve the world via imports? J. Integr. Agric. 2017, 16, 2933–2944. [Google Scholar] [CrossRef]
- Liu, X.; Feike, T.; Shao, L.; Sun, H.; Chen, S.; Zhang, X. Effects of different irrigation regimes on soil compaction in a winter wheat-summer maize cropping system in the North China Plain. Catena 2016, 137, 70–76. [Google Scholar] [CrossRef]
- He, L.; Asseng, S.; Zhao, G.; Wu, D.; Yang, X.; Zhuang, W.; Jin, N.; Yu, Q. Impacts of recent climate warming, cultivar changes, and crop management on winter wheat phenology across the Loess Plateau of China. Agric. For. Meteorol. 2015, 200, 135–143. [Google Scholar] [CrossRef]
- Khan, S.; Hanjra, M.A.; Mu, J. Water management and crop production for food security in China: A review. Agric. Water Manag. 2009, 96, 349–360. [Google Scholar] [CrossRef]
- Kar, G.; Verma, H.N.; Singh, R. Effects of winter crop and supplemental irrigation on crop yield, water use efficiency and profitability in rainfed rice based cropping system of eastern India. Agric. Water Manag. 2006, 79, 280–292. [Google Scholar] [CrossRef]
- Daryanto, S.; Wang, L.; Jacinthe, P.A. Can ridge-furrow plastic mulching replace irrigation in dryland wheat and maize cropping systems? Agric. Water Manag. 2017, 190, 1–5. [Google Scholar] [CrossRef]
- Memon, M.S.J.; Zhou, J.; Guo, F.; Ullah, M.; Hassan, S.; Ara, C.Y.; Changying, J. Comprehensive review for the effects of Ridge Furrow Plastic Mulching on crop yield and water use efficiency under different crops. Int. Agric. Eng. J. 2017, 26, 58–67. [Google Scholar]
- Ren, X.L.; Cai, T.; Chen, X.; Zhang, P.; Jia, Z.K. Effect of rainfall concentration with different ridge widths on winter wheat production under semiarid climate. Eur J. Agron. 2016, 77, 20–27. [Google Scholar] [CrossRef]
- Hayes, D.G.; Anunciado, M.B.; DeBruyn, J.M.; Bandopadhyay, S.; Schaeffer, S.; English, M.; Ghimire, S.; Miles, C.; Flury, M.; Sintim, H.Y. Biodegradable Plastic Mulch Films for Sustainable Specialty Crop Production. In Polymers for Agri-Food Applications; Gutiérrez, T.J., Ed.; Springer International Publishing: Cham, Switzerland, 2019; pp. 183–213. [Google Scholar]
- Yang, N.; Sun, Z.X.; Feng, L.S.; Zheng, M.Z.; Chi, D.C.; Meng, W.Z.; Hou, Z.Y.; Bai, W.; Li, K.Y. Plastic Film Mulching for Water-Efficient Agricultural Applications and Degradable Films Materials Development Research. Mater. Manuf. Process. 2015, 30, 143–154. [Google Scholar] [CrossRef]
- Ren, X.L.; Chen, X.; Cai, T.; Wei, T.; Wu, Y.; Ali, S.; Zhang, P.; Jia, Z.K. Effects of Ridge-Furrow System Combined with Different Degradable Mulching Materials on Soil Water Conservation and Crop Production in Semi-Humid Areas of China. Front. Plant Sci. 2017, 8, 1877. [Google Scholar] [CrossRef]
- Han, J.; Jia, Z.K.; Han, Q.F.; Zhang, J. Application of Mulching Materials of Rainfall Harvesting System for Improving Soil Water and Corn Growth in Northwest of China. J. Integr. Agric. 2013, 12, 1712–1721. [Google Scholar] [CrossRef]
- Zhang, B.; Jia, D.; Gao, Z.; Dong, Q.; He, L. Physiological responses to low temperature in spring and winter wheat varieties. J. Sci. Food Agric. 2016, 96, 1967–1973. [Google Scholar] [CrossRef]
- Liu, L.; Song, H.; Shi, K.; Liu, B.; Zhang, Y.; Tang, L.; Cao, W.; Zhu, Y. Response of wheat grain quality to low temperature during jointing and booting stages—On the importance of considering canopy temperature. Agric. For. Meteorol. 2019, 278, 107–658. [Google Scholar] [CrossRef]
- Hashempour, M.J.; Ansari, H.; Khodashenas, S.R. Evaluation of the effect of irrigation timing on root zone soil temperature, moisture and yield of tomato. Crop Res. (Hisar) 2018, 53, 88–96. [Google Scholar] [CrossRef]
- Li, W.W.; Wen, X.X.; Han, J.; Liu, Y.; Wu, W.; Liao, Y.C. Optimum ridge-to-furrow ratio in ridge-furrow mulching systems for improving water conservation in maize (Zea may L.) production. Environ. Sci. Pollut. Res. 2017, 24, 23168–23179. [Google Scholar] [CrossRef] [PubMed]
- Deng, X.; Shan, L.; Inanaga, S.; Shinobu, Y. Compensation effects of planting density and fertilization on grain yield, water use efficiency and seeds nutrient contents of dry land spring wheat. Acta Botanic. Boreal. Occident. Sin. 2003, 23, 1861–1870. [Google Scholar]
- Cao, H.; Wang, Z.; He, G.; Dai, J.; Huang, M.; Wang, S.; Luo, L.; Sadras, V.O.; Hoogmoed, M.; Malhi, S.S. Tailoring NPK fertilizer application to precipitation for dryland winter wheat in the Loess Plateau. Field Crops Res. 2017, 209, 88–95. [Google Scholar] [CrossRef]
- Mon, J.; Bronson, K.F.; Hunsaker, D.J.; Thorp, K.R.; White, J.W.; French, A.N. Interactive effects of nitrogen fertilization and irrigation on grain yield, canopy temperature, and nitrogen use efficiency in overhead sprinkler-irrigated durum wheat. Field Crops Res. 2016, 191, 54–65. [Google Scholar] [CrossRef]
- Congreves, K.A.; Hooker, D.C.; Hayes, A.; Verhallen, E.A.; Van Eerd, L.L. Interaction of long-term nitrogen fertilizer application, crop rotation, and tillage system on soil carbon and nitrogen dynamics. Plant Soil 2017, 410, 113–127. [Google Scholar] [CrossRef]








| Planting | Irrigation | 2016–2017 | 2017–2018 | ||||
|---|---|---|---|---|---|---|---|
| Wintering | Jointing | Total | Wintering | Jointing | Total | ||
| RF | S1 | 0.0 | 0.0 | 0.0 | 0.0 | 0.0 | 0.0 |
| S2 | 0.0 | 7.8 | 7.8 | 5.1 | 6.7 | 11.8 | |
| CK | 100.0 | 100.0 | 200.0 | 100.0 | 100.0 | 200.0 | |
| TF | S1 | 3.2 | 2.9 | 6.1 | 10.7 | 5.5 | 16.2 |
| S2 | 27.0 | 26.7 | 53.7 | 34.6 | 39.3 | 73.9 | |
| CK | 100.0 | 100.0 | 200.0 | 100.0 | 100.0 | 200.0 | |
| Year | Planting | Irrigation | No. of Spikes | No. of Spikelets per Spike | 1000-Kernel Weight | Grain Yield |
|---|---|---|---|---|---|---|
| (×106 ha−1) | (g) | (t·ha−1) | ||||
| 2016–2017 | RF | S1 | 5.59 ed | 37.58 c | 40.33 bcd | 7.13 b |
| S2 | 6.08 ab | 40.24 ab | 42.51 ab | 7.84 a | ||
| CK | 6.29 a | 41.96 a | 43.31 a | 8.06 a | ||
| TF | S1 | 5.26 ef | 33.22 d | 35.67 e | 5.54 de | |
| S2 | 5.81 b | 39.09 bc | 41.41 abcd | 7.04 b | ||
| CK | 6.18 a | 41.43 a | 42.40 ab | 7.89 a | ||
| 2017–2018 | RF | S1 | 5.33 de | 29.18 e | 39.71 cd | 5.13 e |
| S2 | 5.70 bc | 32.56 d | 41.42 abcd | 5.84 cd | ||
| CK | 5.78 bc | 34.28 d | 41.56 abcd | 6.02 c | ||
| TF | S1 | 4.49 g | 21.62 f | 39.10 d | 3.44 f | |
| S2 | 5.11 f | 27.16 e | 40.13 bcd | 4.90 e | ||
| CK | 5.48 cde | 32.73 d | 41.83 abc | 5.73 cd | ||
| F-Value | Year (Y) | ** | ** | ns | ** | |
| Planting (P) | ** | ** | * | ** | ||
| Irrigation (I) | ** | ** | ** | ** | ||
| Y × P | ** | ns | ns | ns | ||
| Y × I | ns | ns | ns | ** | ||
| P × I | * | ns | ns | ** | ||
| Y × P × I | ns | ns | ns | ** |
| Year | Planting | Irrigation | Protein | Wet Gluten | Absorption | Volume Weight | Flour Yield |
|---|---|---|---|---|---|---|---|
| % | % | % | g·L−1 | % | |||
| 2016–2017 | RF | S1 | 14.13 a | 31.25 abc | 64.80 a | 789.71 a | 71.05 a |
| S2 | 13.55 bc | 30.78 bc | 64.00 a | 800.61 a | 72.54 a | ||
| CK | 13.12 d | 27.73 d | 64.73 a | 803.69 a | 72.33 a | ||
| TF | S1 | 13.99 a | 31.21 abc | 64.57 a | 802.18 a | 71.57 a | |
| S2 | 13.63 b | 30.27 c | 65.23 a | 796.15 a | 72.33 a | ||
| CK | 13.12 d | 26.81 d | 63.43 a | 803.60 a | 73.35 a | ||
| 2017–2018 | RF | S1 | 14.03 a | 32.28 a | 63.79 a | 794.06 a | 71.02 a |
| S2 | 13.94 a | 32.25 a | 65.12 a | 802.43 a | 72.34 a | ||
| CK | 13.24 cd | 27.61 d | 64.63 a | 806.36 a | 70.93 a | ||
| TF | S1 | 14.15 a | 32.06 ab | 63.12 a | 796.23 a | 71.25 a | |
| S2 | 13.95 a | 31.94 ab | 64.03 a | 803.24 a | 72.35 a | ||
| CK | 13.22 d | 28.10 d | 62.75 a | 794.52 a | 70.46 a | ||
| F-Value | ** | ** | ns | ns | ns | ||
| ns | ns | ns | ns | ns | |||
| ** | ** | ns | ns | ns | |||
| ns | ns | ns | ns | ns | |||
| ** | ns | ns | ns | ns | |||
| ns | ns | ns | ns | ns | |||
| ns | ns | ns | ns | ns |
| Year | Planting | Irrigation | LC | IW | MC | AM | TIV | TOV | NI |
|---|---|---|---|---|---|---|---|---|---|
| Yuan/ha | Yuan/ha | Yuan/ha | Yuan/ha | Yuan/ha | Yuan/ha | Yuan/ha | |||
| 2016–2017 | RF | S1 | 600 | 0 | 3000 | 3500 | 7100 | 14,260 | 7160 |
| S2 | 1200 | 78 | 3000 | 3500 | 7778 | 15,680 | 7902 | ||
| CK | 1500 | 2000 | 3000 | 3500 | 10,000 | 16,120 | 6120 | ||
| TF | S1 | 1500 | 60 | 2000 | 2500 | 6060 | 11,080 | 5020 | |
| S2 | 1500 | 538 | 2000 | 2500 | 6538 | 14,080 | 7542 | ||
| CK | 1500 | 2000 | 2000 | 2500 | 8000 | 15,780 | 7780 | ||
| 2017–2018 | RF | S1 | 600 | 0 | 3000 | 3500 | 7100 | 10,260 | 3160 |
| S2 | 1500 | 119 | 3000 | 3500 | 8119 | 11,680 | 3561 | ||
| CK | 1500 | 2001 | 3000 | 3500 | 10,001 | 12,040 | 2039 | ||
| TF | S1 | 1500 | 161 | 2000 | 2500 | 6161 | 6880 | 719 | |
| S2 | 1500 | 739 | 2000 | 2500 | 6739 | 9800 | 3061 | ||
| CK | 1500 | 2000 | 2000 | 2500 | 8000 | 11,460 | 3460 |
© 2020 by the authors. Licensee MDPI, Basel, Switzerland. This article is an open access article distributed under the terms and conditions of the Creative Commons Attribution (CC BY) license (http://creativecommons.org/licenses/by/4.0/).
Share and Cite
Luo, J.; Liang, Z.; Xi, L.; Liao, Y.; Liu, Y. Plastic-Covered Ridge-Furrow Planting Combined with Supplemental Irrigation Based on Measuring Soil Moisture Promotes Wheat Grain Yield and Irrigation Water Use Efficiency in Irrigated Fields on the Loess Plateau, China. Agronomy 2020, 10, 1010. https://doi.org/10.3390/agronomy10071010
Luo J, Liang Z, Xi L, Liao Y, Liu Y. Plastic-Covered Ridge-Furrow Planting Combined with Supplemental Irrigation Based on Measuring Soil Moisture Promotes Wheat Grain Yield and Irrigation Water Use Efficiency in Irrigated Fields on the Loess Plateau, China. Agronomy. 2020; 10(7):1010. https://doi.org/10.3390/agronomy10071010
Chicago/Turabian StyleLuo, Jian, Zimeng Liang, Luoyan Xi, Yuncheng Liao, and Yang Liu. 2020. "Plastic-Covered Ridge-Furrow Planting Combined with Supplemental Irrigation Based on Measuring Soil Moisture Promotes Wheat Grain Yield and Irrigation Water Use Efficiency in Irrigated Fields on the Loess Plateau, China" Agronomy 10, no. 7: 1010. https://doi.org/10.3390/agronomy10071010
APA StyleLuo, J., Liang, Z., Xi, L., Liao, Y., & Liu, Y. (2020). Plastic-Covered Ridge-Furrow Planting Combined with Supplemental Irrigation Based on Measuring Soil Moisture Promotes Wheat Grain Yield and Irrigation Water Use Efficiency in Irrigated Fields on the Loess Plateau, China. Agronomy, 10(7), 1010. https://doi.org/10.3390/agronomy10071010
