Characterizing Variation in Nitrogen Use Efficiency in Wheat Genotypes Using Proximal Canopy Sensing for Sustainable Wheat Production
Abstract
1. Introduction
2. Materials and Methods
2.1. Study Sites
2.2. Experimental Procedure
| Above | Ankor | Arlin | Avalanche | Baca | Bill Brown |
| Bond CL | CO940610 | Danby | Goodstreak | Hatcher | Jagalene |
| Jagger | Keota | NuDakota | Platte | Prairie Red | Prowers 99 |
| Ripper | RonL | Sandy | Snowmass | TAM 112 | Yuma |
2.3. Nitrogen Use Efficiency (NUE)
2.4. Canopy Sensing
2.5. Statistical Analysis
3. Results
3.1. NUE across Wheat Genotypes
3.2. Variation in NUE across Wheat Genotypes
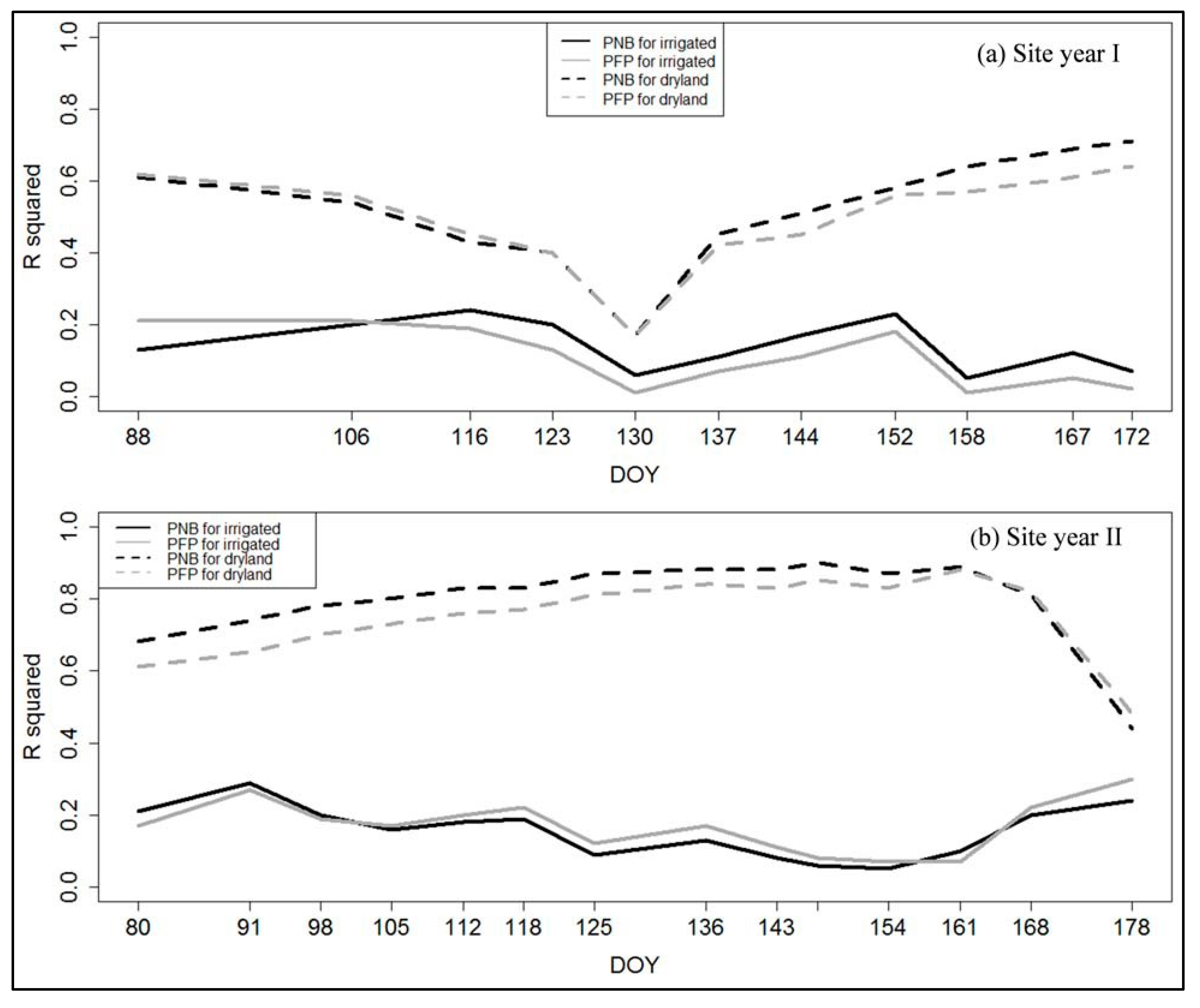
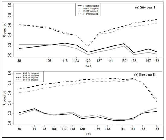
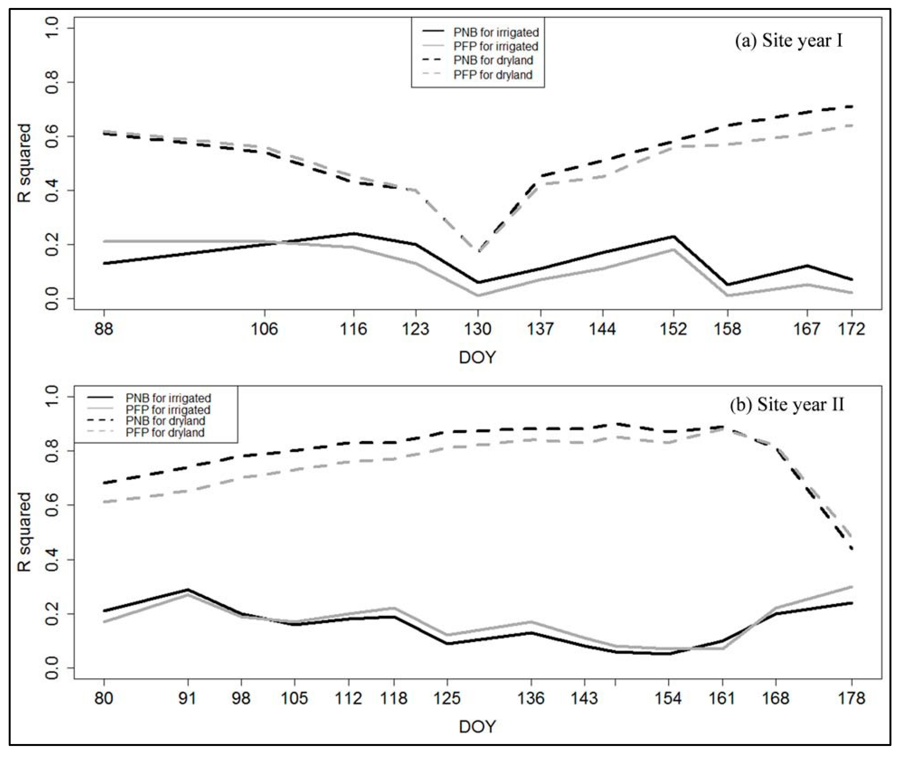
3.3. Characterization of NUE Variability across Wheat Genotypes Using NDVI
4. Discussion
4.1. NUE across Wheat Genotypes
4.2. Variation in NUE across Wheat Genotypes
4.3. Characterization of NUE Variability across Wheat Genotypes Using NDVI
5. Conclusions
Supplementary Materials
Author Contributions
Funding
Acknowledgments
Conflicts of Interest
References
- Giambalvo, D.; Ruisi, P.; Di Miceli, G.; Frenda, A.S.; Amato, G. Nitrogen use efficiency and nitrogen fertilizer recovery of durum wheat genotypes as affected by interspecific competition. Agron. J. 2010, 102, 707–715. [Google Scholar] [CrossRef]
- Lofton, J.; Weindorf, D.; Haggard, B.; Tubana, B. Nitrogen Variability: A Need for Precision Agriculture. Agric. J. 2010, 5, 6–11. [Google Scholar] [CrossRef][Green Version]
- Wang, R.; An, D.; Hu, C.; Li, L.; Zhang, Y.; Jia, Y.; Tong, Y. Relationship between nitrogen uptake and use efficiency of winter wheat grown in the North China Plain. Crop Pasture Sci. 2011, 62, 504–514. [Google Scholar] [CrossRef]
- Snyder, C.S. Nutrient use efficiency: Global challenges, trends, and future. In Proceedings of the Symposium “Nutrient Use Efficiency” presented by the International Plant Nutrition Institute (IPNI) at the XVIII Latin American Congress of Soil Science, San Jose, Costa Rica, 16–20 November 2009. [Google Scholar]
- Carlson, K.M.; Gerber, J.S.; Mueller, N.D.; Herrero, M.; MacDonald, G.K.; Brauman, K.A.; Havlik, P.; O’Connell, C.S.; Johnson, J.A.; Saatchi, S.; et al. Greenhouse gas emissions intensity of global croplands. Nat. Clim. Chang. 2016, 7, 63–68. [Google Scholar] [CrossRef]
- Hawkesford, M.J.; Griffiths, S. Exploiting genetic variation in nitrogen use efficiency for cereal crop improvement. Curr. Opin. Plant Biol. 2019, 49, 35–42. [Google Scholar] [CrossRef]
- Raun, W.R.; Johnson, G.V. Improving nitrogen use efficiency for cereal production. Agron. J. 1999, 91, 357–363. [Google Scholar] [CrossRef]
- Gupta, M.L.; Khosla, R. Precision nitrogen management and global nitrogen use efficiency. In Proceedings of the 11th International Conference on Precision Agriculture, Indianapolis, IN, USA, 15–18 July 2012. [Google Scholar]
- Cui, Z.L.; Zhang, H.Y.; Chen, X.P.; Zhang, C.C.; Ma, W.Q.; Huang, C.D.; Zhang, W.F.; Mi, G.H.; Miao, Y.X.; Li, X.L.; et al. Pursuing sustainable productivity with millions of smallholder farmers. Nature 2018, 555, 363–366. [Google Scholar] [CrossRef]
- Zorb, C.; Ludewig, U.; Hawkesford, M.J. Perspective on Wheat Yield and Quality with Reduced Nitrogen Supply. Trends Plant Sci. 2018, 23, 1029–1037. [Google Scholar] [CrossRef]
- Delgado, J.; Khosla, R.; Westfall, D.G.; Bausch, W.; Inman, D. Nitrogen Fertilizer Management Based on Site-Specific Management Zones Reduces Potential for NO3-N Leaching. J. Soil Water 2005, 60, 402–410. [Google Scholar]
- Huang, J.; Xu, C.C.; Ridoutt, B.G.; Wang, X.C.; Ren, P.A. Nitrogen and phosphorus losses and eutrophication potential associated with fertilizer application to cropland in China. J. Clean. Prod. 2017, 159, 171–179. [Google Scholar] [CrossRef]
- Smith, L.E.D.; Siciliano, G. A comprehensive review of constraints to improved management of fertilizers in China and mitigation of diffuse water pollution from agriculture. Agric. Ecosyst. Environ. 2015, 209, 15–25. [Google Scholar] [CrossRef]
- Sun, M.; Huo, Z.L.; Zheng, Y.X.; Dai, X.Q.; Feng, S.Y.; Mao, X.M. Quantifying long-term responses of crop yield and nitrate leaching in an intensive farmland using agro-eco-environmental model. Sci. Total Environ. 2018, 613, 1003–1012. [Google Scholar] [CrossRef]
- Goglio, R.; Smith, W.N.; Grant, B.B.; Desjardins, R.L.; Gao, X.; Hanis, K.; Tenuta, M.; Campbell, C.A.; McConkey, B.G.; Nemecek, T.; et al. A comparison of methods to quantify greenhouse gas emissions of cropping systems in LCA. J. Clean. Prod. 2018, 172, 4010–4017. [Google Scholar] [CrossRef]
- Liu, X.; Zhang, Y.; Han, W.; Tang, A.; Shen, J.; Cui, Z.; Fangmeier, A. Enhanced nitrogen deposition over China. Nature 2013, 494, 459–462. [Google Scholar] [CrossRef]
- Baligar, V.; Fageria, N.; He, Z. Nutrient use efficiency in plants. Commun. Soil Sci. Plant Anal. 2001, 32, 921–950. [Google Scholar] [CrossRef]
- Nelson, N.O.; Haverkamp, B.; Fritz, A.K. Variation in nitrogen use efficiency of winter wheat varieties. In Proceedings of the Great Plains Soil Fertility Conference Proceedings, Denver, CO, USA, 10–11 May 2012; pp. 187–192. [Google Scholar]
- Hawkesford, M.J. The diversity of nitrogen use efficiency for wheat varieties and the potential for crop improvement. Better Crops Plant Food 2012, 96, 10–12. [Google Scholar]
- Snyder, C.; Bruulsema, T. Nutrient use efficiency and effectiveness in North America: Indices of agronomic and environmental benefit. Int. Plant Nutrition Inst. 2007, 07076. [Google Scholar]
- Cao, Q.; Miao, Y.; Feng, G.; Gao, X.; Liu, B.; Liu, Y.; Lie, F.; Khosla, R.; Mulla, D.J.; Zhang, F. Improving nitrogen use efficiency with minimal environmental risks using an active canopy sensor in a wheat-maize cropping system. Field Crops Res. 2017, 214, 365–372. [Google Scholar] [CrossRef]
- Nielsen, R. N loss mechanism and nitrogen use efficiency. In Purdue Nitrogen Management Workshops; Purdue University West Lafayette: West Lafayette, IN, USA, 2006; pp. 1–5. [Google Scholar]
- Moll, R.; Kamprath, E.; Jackson, W. Analysis and interpretation of factors which contribute to efficiency of nitrogen utilization. Agron. J. 1982, 74, 562–564. [Google Scholar] [CrossRef]
- Barraclough, P.B.; Howarth, J.R.; Jones, J.; Lopez-Bellido, R.; Parmar, S.; Shepherd, C.E.; Hawkesford, M.J. Nitrogen efficiency of wheat: Genotypic and environmental variation and prospects for improvement. Eur. J. Agron. 2010, 33, 1–11. [Google Scholar] [CrossRef]
- Van Sanford, D.A.; MacKown, C.T. Variation in nitrogen use efficiency among soft red winter wheat genotypes. Theor. Appl. Genet. 1986, 72, 158–163. [Google Scholar] [CrossRef]
- Dhugga, K.S.; Waines, J.G. Analysis of nitrogen accumulation and use in bread and durum wheat. Crop Sci. 1989, 29, 1232–1239. [Google Scholar] [CrossRef]
- Guttieri, M.J.; Frels, K.; Regassa, T.; Waters, B.M.; Baenziger, S. Variation for nitrogen use efficiency traits in current and historical great plains hard winter wheat. Euphytica 2017, 213, 87. [Google Scholar] [CrossRef]
- Ortiz-Monasterio, R.; Sayre, K.D.; Rajaram, S.; McMahon, M. Genetic progress in wheat yield and nitrogen use efficiency under four nitrogen rates. Crop Sci. 1997, 37, 898–904. [Google Scholar] [CrossRef]
- Loss, S.P.; Siddique, K. Morphological and physiological traits associated with wheat yield increases in Mediterranean environments. Adv. Agron. 1994, 52, 229–276. [Google Scholar]
- Regan, K.; Siddique, K.; Turner, N.; Whan, B. Potential for increasing early vigour and total biomass in spring wheat, 2. Characteristics associated with early vigour. Aust. J. Agric. Res. 1992, 43, 541–553. [Google Scholar] [CrossRef]
- Xia, T.; Miao, Y.; Wu, D.; Shao, H.; Khosla, R.; Mi, G. Active Optical Sensing of Spring Maize for In-Season Diagnosis of Nitrogen Status Based on Nitrogen Nutrition Index. Remote Sens. 2016, 8, 605. [Google Scholar] [CrossRef]
- Yao, Y.; Miao, Y.; Cao, Q.; Wang, H.; Gnyp, M.L.; Bareth, G.; Khosla, R.; Yang, W.; Liu, F.; Liu, C. In-season estimation of rice nitrogen status with an active crop canopy sensor. IEEE J. Sel. Topics Appl. Earth Observ. Remote Sens. 2014, 7, 4403–4413. [Google Scholar] [CrossRef]
- Cordero, E.; Longchamps, L.; Khosla, R.; Sacco, D. Spatial management strategies for nitrogen in maize production based on soil and crop data. Sci. Total Environ. 2019, 697. [Google Scholar] [CrossRef]
- Aparicio, N.; Villegas, D.; Araus, J.; Casadesús, J.; Royo, C. Relationship between growth traits and spectral vegetation indices in durum wheat. Crop Sci. 2002, 42, 1547–1555. [Google Scholar] [CrossRef]
- Raun, W.R.; Solie, J.B.; Johnson, G.V.; Stone, M.L.; Lukina, E.V.; Thomason, W.E.; Schepers, J.S. In-season prediction of potential grain yield in winter wheat using canopy reflectance. Agron. J. 2001, 93, 131–138. [Google Scholar] [CrossRef]
- Aparicio, N.; Villegas, D.; Casadesús, J.; Araus, J.L.; Royo, C. Spectral vegetation indices as nondestructive tools for determining durum wheat yield. Agron. J. 2000, 92, 83–91. [Google Scholar] [CrossRef]
- Elliott, G.; Regan, K. Use of reflectance measurements to estimate early cereal biomass production on sandplain soils [barley; wheat]. Aust. J. Exp. Agric. 1993, 33, 179–183. [Google Scholar] [CrossRef]
- Goodwin, A.W.; Lindsey, L.E.; Harrison, S.K.; Paul, P.A. Estimating Wheat Yield with Normalized Difference Vegetation Index and Fractional Green Canopy Cover. Crop Forage Turf. Man. 2018, 4. [Google Scholar] [CrossRef]
- Inman, D.; Khosla, R.; Mayfield, T. On-the-go active remote sensing for efficient crop nitrogen management. Sensor Rev. 2005, 25, 209–214. [Google Scholar] [CrossRef]
- Naser, M.A.; Khosla, R.; Longchamps, L.; Dahal, S. Using NDVI to Differentiate Wheat Genotypes Productivity Under Dryland and Irrigated Conditions. Remote Sens. 2020, 12, 824. [Google Scholar] [CrossRef]
- Kefauver, S.C.; Vicente, R.; Vergara-Diaz, O.; Fernandez-Gallego, J.A.; Kerfal, S.; Lopez, A.; Melichar, J.P.E.; Molins, M.D.S.; Araus, J.L. Comparative UAV and Field Phenotyping to Assess Yield and Nitrogen Use Efficiency in Hybrid and Conventional Barle. Front. Plant Sci. 2017, 8. [Google Scholar] [CrossRef]
- Marti, J.; Bort, J.; Slafer, G.; Araus, J. Can wheat yield be assessed by early measurements of Normalized Difference Vegetation Index? Ann. Appl. Biol. 2007, 150, 253–257. [Google Scholar] [CrossRef]
- Large, E.C. Growth stages in cereals illustration of the Feekes scale. Plant Pathol. 1954, 3, 128–129. [Google Scholar] [CrossRef]
- Ma, B.; Dwyer, L.M.; Costa, C.; Cober, E.R.; Morrison, M.J. Early prediction of soybean yield from canopy reflectance measurements. Agron. J. 2001, 93, 1227–1234. [Google Scholar] [CrossRef]
- Inman, D.; Khosla, R.; Reich, R.; Westfall, D. Active remote sensing and grain yield in irrigated maize. Precis. Agric. 2007, 8, 241–252. [Google Scholar] [CrossRef]
- Raun, W.R.; Solie, J.B.; Johnson, G.V.; Stone, M.L.; Mullen, R.W.; Freeman, K.W.; Thomason, W.E.; Lukina, E.V. Improving nitrogen use efficiency in cereal grain production with optical sensing and variable rate application. Agron. J. 2002, 94, 815–820. [Google Scholar]
- Reynolds, M.P.; Skovmand, B.; Trethowan, R.; Singh, R.P.; van Ginkel, M. Research Highlights of the CIMMYT Wheat Program, 1999–2000; CIMMYT: Mexico City, Mexico, 2001; ISBN 970-648-069-2. [Google Scholar]
- Araus, J.; Casadesús, J.; Bort, J. Recent Tools for the Screening of Physiological Traits Determining Yield. In Application of Physiology in Wheat Breeding; Reynolds, M.P., Ortiz-Monasterio, J.I., McNab, A., Eds.; CIMMYT: Mexico City, Mexico, 2001; pp. 59–77. ISBN 970-648-077-3. [Google Scholar]
- Cao, Q.; Miao, Y.X.; Wang, H.Y.; Huang, S.Y.; Cheng, S.S.; Khosla, R.; Jiang, R.F. Non-destructive estimation of rice plant nitrogen status with Crop Circle multispectral active canopy sensor. Field Crop Res. 2013, 154, 133–144. [Google Scholar] [CrossRef]
- Foster, A.; Atwell, S.; Dunn, D. Sensor-based Nitrogen Fertilization for Midseason Rice Production on Southeast Missouri. Crop Forage Turf. Man. 2017, 1–7. [Google Scholar] [CrossRef]
- Xue, L.H.; Li, G.H.; Qin, X.; Yang, L.Z.; Zhang, H.L. Topdressing nitrogen recommendation for early rice with an active sensor in south China. Precis Agric. 2014, 15, 95–110. [Google Scholar] [CrossRef]
- Guo, B.B.; Zhu, Y.J.; Feng, W.; He, L.; Wu, Y.P.; Zhou, Y.; Ren, X.X.; Ma, Y. Remotely Estimating Aerial N Uptake in Winter Wheat Using Red-Edge Area Index from Multi-Angular Hyperspectral Data. Front Plant Sci. 2018, 9. [Google Scholar] [CrossRef]
- Prey, L.; Schmidhalter, U. Temporal and Spectral Optimization of Vegetation Indices for Estimating Grain Nitrogen Uptake and Late-Seasonal Nitrogen Traits in Wheat. Sensors 2019, 19, 4640. [Google Scholar] [CrossRef]
- Crabb, J.A. Soil Survey of Weld County, Colorado, Southern Part; US Department of Agriculture, Soil Conservation Service: Washington, DC, USA, 1980.
- USDA. CoAgMet Raw Data Access, Greeley and Greeley 4 Stations. Available online: http://climate.colostate.edu/~coagmet/rawdata_form.php (accessed on 2 October 2012).
- Gee, G.; Bauder, J. Particle-Size Analysis. In Methods of Soil Analysis, Part 1; Klute, A., Ed.; Agron. Monogr. 9; ASA; SSSA: Madison, WI, USA, 1986; pp. 383–411. ISBN 978-0-89118-811-7. [Google Scholar]
- Thomas, G.W. Soil PH and Soil Acidity. In Methods of Soil Analysis, Part 3-Chemical Methods; Sparks, D.L., Ed.; SSSA Book Ser. No. 5; SSSA; ASA: Madison, WI, USA, 1996; pp. 475–490. [Google Scholar]
- Heiri, O.; Lotter, A.F.; Lemcke, G. Loss on ignition as a method for estimating organic and carbonate content in sediments: Reproducibility and comparability of results. J. Paleolimnol. 2001, 25, 101–110. [Google Scholar]
- Mulvaney, R.L. Nitrogen-Inorganic Forms. In Methods of Soil Analysis, Part 3-Chemical Methods; Sparks, D.L., Ed.; SSSA Book Ser. No. 5; SSSA; ASA: Madison, WI, USA, 1996; pp. 1123–1184. [Google Scholar]
- Davis, J.; Westfall, D.W. Fertilizing Corn. Colorado State University Factsheet 0.538. 2014. Available online: https://extension.colostate.edu/docs/pubs/crops/00538.pdf (accessed on 30 January 2020).
- Andales, A.; Chavez, J.L.; Bauder, T.A. Irrigation Scheduling: The Water Balance Approach. Fact Sheet 4.707. Irrigation. Available online: https://extension.colostate.edu/docs/pubs/crops/04707.pdf (accessed on 30 January 2020).
- NTech Industries Model 500 GreenSeeker Hand Held—Optical Sensor Unit. Available online: http://nue.okstate.edu/Hand_Held/GS_HandHeld_Manual_rev_K[1].pdf (accessed on 2 October 2012).
- R Development Core Team. R: A Language and Environment for Statistical Computing; R Foundation for Statistical Computing: Vienna, Austria, 2010; ISBN 3-900051-07-0. Available online: http://www.R-project.org (accessed on 2 October 2012).
- McMaster, G.S.; Wilhelm, W.; Bartling, P.N.S. Irrigation and Culm Contribution to Yield and Yield Components of Winter Wheat. Publications from USDA-ARS/UNL Faculty. Paper 86. 1994. Available online: http://naldc.nal.usda.gov/download/16753/pdf (accessed on 3 October 2012).
- Gauer, L.; Grant, C.; Bailey, L.; Gehl, D. Effects of nitrogen fertilization on grain protein content, nitrogen uptake, and nitrogen use efficiency of six spring wheat (Triticum aestivum L.) cultivars, in relation to estimated moisture supply. Can. J. Plant Sci. 1992, 72, 235–241. [Google Scholar]
- Tong, Y.; Li, J.; Li, Z. Genotype variations for nitrogen use efficiency in winter wheat (Triticum aestivum L.). III. Factors affecting utilization efficiency of nitrogen. Acta Bot. Boreali Occident. Sin. 1999, 19, 598. [Google Scholar]
- Baresel, J.; Zimmermann, G.; Reents, H. Effects of genotype and environment on N uptake and N partition in organically grown winter wheat (Triticum aestivum L.) in Germany. Euphytica 2008, 163, 347–354. [Google Scholar]
- Neales, T.; Anderson, M.; Wardlaw, I. The role of the leaves in the accumulation of nitrogen by wheat during ear development. Crop Pasture Sci. 1963, 14, 725–736. [Google Scholar]
- Cox, M.C.; Qualset, C.O.; Rains, D.W. Genetic variation for nitrogen assimilation and translocation in wheat. II. Nitrogen assimilation in relation to grain yield and protein. Crop Sci. 1985, 25, 435–440. [Google Scholar] [CrossRef]
- Jensen, A.; Lorenzen, B.; Østergaard, H.S.; Hvelplund, E.K. Radiometric estimation of biomass and nitrogen content of barley grown at different nitrogen levels†. Int. J. Remote Sens. 1990, 11, 1809–1820. [Google Scholar]
- Serrano, L.; Filella, I.; Penuelas, J. Remote sensing of biomass and yield of winter wheat under different nitrogen supplies. Crop Sci. 2000, 40, 723–731. [Google Scholar] [CrossRef]





| Sampling | N at Early | N After | ||||||||
| Site | Depths | pH | O.M | Spring | Harvest | Sand | Silt | Clay | Soil Texture | |
| Year | (cm) | % | Mg g−1 | Mg g−1 | % | |||||
| I | 0–20 | Min | 7.9 | 1.0 | 22.0 | 5.0 | 64.8 | 13.6 | 9.6 | |
| Mean | 8.0 | 1.1 | 31.0 | 7.9 | 68.4 | 16.5 | 15.1 | Sandy Loam | ||
| Max | 8.1 | 1.3 | 47.0 | 14.0 | 72.8 | 21.6 | 17.6 | |||
| 2–61 | Min | 7.9 | 0.9 | 11.0 | 5.0 | 60.8 | 13.6 | 11.6 | ||
| Mean | 8.0 | 1.1 | 22.3 | 12.5 | 67.7 | 16.9 | 15.3 | Sandy Loam | ||
| Max | 8.2 | 1.3 | 40.0 | 37.0 | 72.8 | 21.6 | 17.6 | |||
| Sampling | N at Early | N After | ||||||||
| Site | Depths | pH | O.M | Fall | Harvest | Sand | Silt | Clay | Soil Texture | |
| Year | (cm) | % | Mg g−1 | Mg g−1 | % | |||||
| II | Min | 7.8 | 1.0 | 30.0 | 8.0 | 58.8 | 4.4 | 12.8 | ||
| 0–20 | Mean | 8.0 | 1.2 | 38.0 | 15.4 | 64.9 | 16.7 | 18.4 | Sandy Loam | |
| Max | 8.1 | 1.5 | 54.0 | 22.0 | 70.8 | 24.4 | 30.8 | |||
| Min | 8.0 | 0.8 | 16.0 | 4.0 | 53.2 | 3.6 | 15.2 | |||
| 2–61 | Mean | 8.2 | 1.0 | 22.4 | 9.8 | 61.7 | 17.7 | 20.5 | Sandy Loam | |
| Max | 8.4 | 1.3 | 44.0 | 22.0 | 67.2 | 27.6 | 29.2 |
| Measurement | Acronym | Calculation (kg) |
|---|---|---|
| Partial factor productivity | PFP | Grain/N supplied |
| Partial N balance | PNB | Grain N content */N supplied |
| Nitrogen uptake efficiency | UPE | |
| Nitrogen utilization efficiency | UTE | |
| Biomass production efficiency | BPE | |
| Ratio of grain N content to aboveground biomass weight | GN/BW | Grain N content/aboveground biomass |
| ------------Dryland------------- | ------------Irrigated------------ | ||||
|---|---|---|---|---|---|
| Site Year I | Site Year II | Site Year I | Site Year II | ||
| Traits | RC | RC | RC | RC | |
| PFP | Y1 | - | - | - | - |
| UPE | X1 | 0.52 | 0.86 | 0.88 | 0.46 |
| UTE | X2 | 0.48 | 0.14 | 0.12 | 0.54 |
| PNB | Y2 | - | - | - | - |
| UPE | X1 | 0.62 | 0.91 | 0.93 | 0.60 |
| BPE | X3 | −0.10 | −0.25 | −0.38 | −0.08 |
| GN/BW | X4 | 0.48 | 0.34 | 0.47 | 0.49 |
© 2020 by the authors. Licensee MDPI, Basel, Switzerland. This article is an open access article distributed under the terms and conditions of the Creative Commons Attribution (CC BY) license (http://creativecommons.org/licenses/by/4.0/).
Share and Cite
Naser, M.A.; Khosla, R.; Longchamps, L.; Dahal, S. Characterizing Variation in Nitrogen Use Efficiency in Wheat Genotypes Using Proximal Canopy Sensing for Sustainable Wheat Production. Agronomy 2020, 10, 773. https://doi.org/10.3390/agronomy10060773
Naser MA, Khosla R, Longchamps L, Dahal S. Characterizing Variation in Nitrogen Use Efficiency in Wheat Genotypes Using Proximal Canopy Sensing for Sustainable Wheat Production. Agronomy. 2020; 10(6):773. https://doi.org/10.3390/agronomy10060773
Chicago/Turabian StyleNaser, Mohammed A., Raj Khosla, Louis Longchamps, and Subash Dahal. 2020. "Characterizing Variation in Nitrogen Use Efficiency in Wheat Genotypes Using Proximal Canopy Sensing for Sustainable Wheat Production" Agronomy 10, no. 6: 773. https://doi.org/10.3390/agronomy10060773
APA StyleNaser, M. A., Khosla, R., Longchamps, L., & Dahal, S. (2020). Characterizing Variation in Nitrogen Use Efficiency in Wheat Genotypes Using Proximal Canopy Sensing for Sustainable Wheat Production. Agronomy, 10(6), 773. https://doi.org/10.3390/agronomy10060773

