Comparing a Random Forest Based Prediction of Winter Wheat Yield to Historical Yield Potential
Abstract
1. Introduction
2. Materials and Methods
2.1. Study Area
2.2. Winter Wheat Fields
2.3. Yield Modeling
2.4. Predictor Variables
2.5. Historical Comparison
3. Results and Discussion
3.1. Winter Wheat Yield Predictions
3.1.1. Random Forest Predictor Variables
3.1.2. Model Comparison
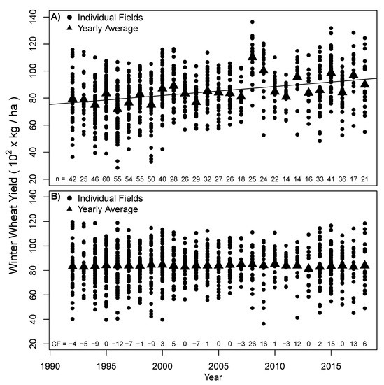
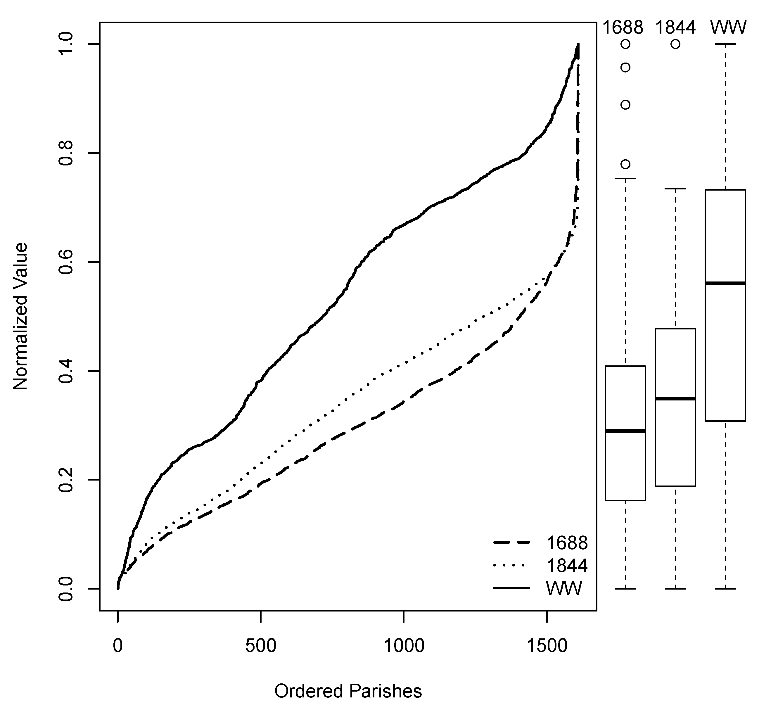
3.2. Historical Comparisons
4. Conclusions
Author Contributions
Funding
Acknowledgments
Conflicts of Interest
References
- Ritchie, J.; Godwin, D.; Otter, S. CERES-Wheat: A User Oriented Wheat Yield Model. Preliminary Documentation; AGRISTARS Publications: East Lansing, MI, USA, 1984; p. 252. [Google Scholar]
- Van Diepen, C.; Wolf, J.; Van Keulen, H.; Rappoldt, C. WOFOST: A simulation model of crop production. Soil Use Manag. 1989, 5, 16–24. [Google Scholar] [CrossRef]
- Jamieson, P.; Semenov, M.; Brooking, I.; Francis, G. Sirius: A mechanistic model of wheat response to environmental variation. Eur. J. Agron. 1998, 8, 161–179. [Google Scholar] [CrossRef]
- Wheat Initiative. Annual Report 2018; Federal Research Centre for Cultivated Plants: Berlin, Germany, 2018.
- USDA. Europe Crop Production Maps for Wheat; Foreign Agriculture Service at United States Department of Agriculture: Washington, DC, USA, 2015.
- Satorre, E.; Slafer, G. (Eds.) Wheat: Ecology and Physiology of Yield Determination; Haworth Press Technology and Industrial: Binghamton, NY, USA, 1999. [Google Scholar]
- Reynolds, M.; Foulkes, M.; Slafer, G.; Berry, P.; Parry, M.; Snape, J.; Angus, W. Raising yield potential in wheat. J. Exp. Bot. 2009, 60, 1899–1918. [Google Scholar] [CrossRef] [PubMed]
- Reynolds, M.; Bonnett, D.; Chapman, S.; Furbank, R.; Manés, Y.; Mather, D.; Parry, M. Raising yield potential of wheat. l. Overview of a consortium approach and breeding strategies. J. Exp. Bot. 2011, 62, 439–452. [Google Scholar] [CrossRef] [PubMed]
- Parry, M.; Reynolds, M.; Salvucci, M.; Raines, C.; Andralojc, P.; Zhu, X.; Price, G.; Condon, A.; Furbank, R. Raising yield potential of wheat. ll. Increasing photosynthetic capacity and efficiency. J. Exp. Bot. 2011, 62, 453–467. [Google Scholar] [CrossRef]
- Foulkes, M.; Slafer, G.; Davies, W.; Berry, P.; Sylvester-Bradley, R.; Martre, P.; Calderini, D.; Griffiths, S.; Reynolds, M. Raising yield potential of wheat. III. Optimizing partitioning to grain while maintaining lodging resistance. J. Exp. Bot. 2011, 62, 469–486. [Google Scholar] [CrossRef]
- Miller, M.; Singer, M.; Nielsen, D. Spatial variability of wheat yield and soil properties on complex hills. Soil Sci. Soc. Am. J. 1988, 52, 1131–1141. [Google Scholar] [CrossRef]
- Lobell, D.; Burke, M. Why are agricultural impacts of climate change so uncertain? The importance of temperature relative to precipitation. Environ. Res. Lett. 2008, 3, 1–8. [Google Scholar] [CrossRef]
- Ferrara, R.; Trevisiol, P.; Acutis, M.; Rana, G.; Richter, G.; Baggaley, N. Topographic impacts on wheat yields under climate change: Two contrasted case studies in Europe. Theor. Appl. Climatol. 2010, 99, 53–65. [Google Scholar] [CrossRef]
- Kumhalova, J.; Kumhala, F.; Kroulik, M.; Matejkova, S. The impact of topography on soil properties and yield and the effects of weather conditions. Precis. Agric. 2011, 12, 813–830. [Google Scholar] [CrossRef]
- Song, X.; Mitnitski, A.; Cox, J.; Rockwood, K. Comparison of machine learning techniques with classical statistical models in predicting health outcomes. Medinfo 2004, 736–740. [Google Scholar]
- Quiza, R.; Figueira, L.; Davim, J. Comparing statistical models and artificial neural networks on predicting the tool wear in hard machining D2 AISI steel. Int. J. Adv. Manuf. Technol. 2008, 37, 641–648. [Google Scholar] [CrossRef]
- Pantazi, X.; Moshou, D.; Alexandridis, T.; Whetton, R.; Mouazen, A. Wheat yield prediction using machine learning and advanced sensing techniques. Comput. Electron. Agric. 2016, 121, 57–65. [Google Scholar] [CrossRef]
- Saeed, U.; Dempewolf, J.; Becker-Reshef, I.; Khan, A.; Ahmad, A.; Wajid, S. Forecasting wheat yield from weather data and MODIS NDVI using random forests for Punjab province, Pakistan. Int. J. Remote. Sens. 2017, 38, 4831–4854. [Google Scholar] [CrossRef]
- Yang, H.; Dobermann, A.; Cassman, K.; Walters, D.; Grassini, P. Hybrid-Maize: A Simulation Model for Corn Growth and Yield; University of Nebraska: Lincoln, UK, 2016. [Google Scholar]
- Evans, L.; Fischer, R. Yield potential: Its definition, measurement, and significance. Crop. Sci. 1999, 39, 1544–1551. [Google Scholar] [CrossRef]
- Zhang, W.; Kokubun, M. Historical changes in grain yield and photosynthetic rate of rice cultivars released in the 20th century in Tohoku Region. Plant Prod. Sci. 2004, 7, 36–44. [Google Scholar] [CrossRef]
- Grassini, P.; Eskridge, K.; Cassman, K. Distinguishing between yield advances and yield plateaus in historical crop production trends. Nat. Commun. 2013, 4, 2918. [Google Scholar] [CrossRef]
- Pedersen, H. De danske Landbrug fremstillet para Grundlag af Forarbejderne til Christian V’s Matrikel 1688; Reprotryk for LandBohistorisk Selskab: Copenhagen, Denmark, 1928. [Google Scholar]
- Madsen, H.; Nørr, A.; Holst, K. Atlas over Danmark: Atlas of Denmark; The Royal Danish Geographic Society: Copenhagen, Denmark, 1992; pp. 1–56. [Google Scholar]
- Danish Agriculture and Food Council. Facts and Figures: Denmark—A Food and Farming Country; Landbrug and Fødevarer: Copenhagen, Denmark, 2016; pp. 1–56. [Google Scholar]
- Schjønning, P.; Jensen, J.; Bruun, S.; Jensen, L.; Christensen, B.; Munkholm, L.; Oelofse, M.; Baby, S.; Knudsen, L. The role of soil organic matter for maintaining crops yields: Evidence for a renewed conceptual basis. Adv. Agron. 2018, 150, 35–79. [Google Scholar]
- Wang, P. Referenceværdier: Døgn-, Måneds- og årsværdier For Regioner Og Hele Landet 2001–2010, Danmark for Temperatur, Relativ Luftfugtighed, Vindhastighed, Globalstråling og Nedbør; Teknisk Rapport; Danish Meteorological Institute: Copenhagen, Denmark, 2013; pp. 1–14. [Google Scholar]
- Schou, A. Atlas of Denmark I: The Landscapes; The Royal Danish Geographic Society: Copenhagen, Denmark, 1949; pp. 1–32. [Google Scholar]
- Jacobsen, N. Soil map of Denmark according to the FAO-UNESCO Legend. Geogr. Tidsskr. Dan. J. Geogr. 1984, 84, 93–98. [Google Scholar] [CrossRef]
- SEGES. Nordic Field Trial System; Landbrug and Fødevarer: Copenhagen, Denmark, 2018. [Google Scholar]
- Breiman, L. Random Forest. Mach. Learn. 2001, 45, 5–32. [Google Scholar] [CrossRef]
- Meinshausen, N. Quantile Regression Forests. J. Mach. Learn. Res. 2006, 7, 983–999. [Google Scholar]
- Wright, M.; Ziegler, A. ranger: A fast implementation of random forests for high dimensional data in C++ and R. J. Stat. Softw. 2017, 77, 1–17. [Google Scholar] [CrossRef]
- Adhikari, K.; Minasny, B.; Greve, M.B.; Greve, M.H. Constructing a soil class map of Denmark based on the FAO legend using digital techniques. Geoderma 2014, 214, 101–113. [Google Scholar] [CrossRef]
- Adhikari, K.; Hartemink, A.; Minasny, B.; Kheir, R.; Greve, M.B.; Greve, M. Digital Mapping of Soil Organic Carbon Contents and Stocks in Denmark. PLoS ONE 2014, 9, e105519. [Google Scholar] [CrossRef] [PubMed]
- Adhikari, K.; Kheir, R.; Greve, M.B.; Bøcher, P.; Malone, B.; Minasny, B.; McBratney, A.; Greve, M.H. High-Resolution 3-D Mapping of Soil Texture in Denmark. Soil Sci. Soc. Am. J. 2013, 77, 860–876. [Google Scholar] [CrossRef]
- Møller, A.; Iversen, B.; Beucher, A.; Greve, M. Prediction of soil drainage classes in Denmark by means of decision tree classification. Geoderma 2019, 352, 314–329. [Google Scholar] [CrossRef]
- Henriksen, H.; Højberg, A.; Olsen, M.; Seaby, L.; Van Der Keur, P.; Stisen, S.; Troldborg, L.; Sonnenborg, T.; Refsgaard, J. Klimaeffekter På hydrologi og Grundvand—Klimagrundvandskort; Aarhus University: Aarhus, Denmark, 2012. [Google Scholar]
- Adhikari, K.; Kheir, R.; Greve, M.B.; Greve, M.H.; Malone, M.; Minasny, B.; McBratney, A. Mapping soil pH and bulk density at multiple soil depths in Denmark. In GlobalSoilMap: Basis of the Global Spatial Soil Information System; Taylor & Francis: London, UK, 2014; pp. 155–160. [Google Scholar]
- Jacobsen, P.; Hermansen, B.; Tougaard, L. Danmarks Digitale Jordartskort 1:25000 Version 4.0; Geological Survey of Denmark and Greenland (GEUS): Copenhagen, Denmark, 2015. [Google Scholar]
- Climate, A. AGRO Climate: Klimadatabase; Aarhus University: Aarhus, Denmark, 2018. [Google Scholar]
- Scharling, M. Klimagrid-Danmark Normaler 1961-90 måneds- og årsværdier nedbør 10 * 10, 20 * 20 & 40 * 40 km Temperatur Og Potentiel Fordampning 20 * 20 & 40 * 40 km; Teknisk Rapport; Danish Meteorological Institute: Copenhagen, Denmark, 2000; pp. 1–17. [Google Scholar]
- Bergsøe, A. Den Danske Stats Statistik, Vol. 1-4; Statistics Denmark: Copenhagen, Denmark, 1853.
- Møller, P.; Porsmose, E.; Schou, A. Kulturhistorisk Inddeling Af Landskabet; Miljø-og Energiministeriet: Copenhagen, Denmark, 1997.
- Thorup-Kristensen, K.; Cortasa, M.; Loges, R. Winter wheat roots grow twice as deep as spring wheat roots, is this important for N uptake and N leaching losses? Plant Soil 2009, 322, 101–114. [Google Scholar] [CrossRef]
- Kravchenko, A.; Bullock, D. Correlation of corn and soybean grain yield with topography and soil properties. Agron. J. 2000, 92, 75–83. [Google Scholar] [CrossRef]
- Riha, S.; Wilks, D.; Simoens, P. Impact of temperature and precipitation variability on crop model predictions. Clim. Chang. 1996, 32, 293–311. [Google Scholar] [CrossRef]
- Iizumi, T.; Shin, Y.; Kim, W.; Kim, M.; Choi, J. Global crop yield forecasting using seasonal climate information from a multi-model ensemble. Clim. Serv. 2018, 11, 13–23. [Google Scholar] [CrossRef]
- Kristensen, K.; Schelde, K.; Olesen, J. Winter wheat yield response to climate variability in Denmark. J. Agric. Sci. 2011, 149, 33–47. [Google Scholar] [CrossRef]
- Webber, H.; Ewert, F.; Olesen, J.; Muller, C.; Fronzek, S.; Ruane, A.; Bourgault, M.; Martre, P.; Ababaei, B.; Bindi, M.; et al. Diverging importance of drought stress for maize and winter wheat in Europe. Nat. Commun. 2018, 9, 1–10. [Google Scholar] [CrossRef] [PubMed]
- Ørum, J.; Jensen, J.; Thomsen, I.; Knudsen, L. Optimal Kvælstoftildeling til Korn: Responsfunktioner og Metode til Produktionsøkonomisk Analyse af Landsforsøgene Med Kvælstoftildeling til Vinterhvede og vårbyg Samt Kvalitetssikring af Normudvalgets Indstillinger; IFRO Rapport, Nr. 281; Institut for Fødevare- og Ressourceøkonomi, Københavns University: Copenhagen, Denmark, 2019. [Google Scholar]
- Kern, A.; Barcza, Z.; Marjanovic, H.; Árendas, T.; Fodor, N.; Bonis, P.; Bognar, P.; Lichtenberger, J. Statistical modelling of crop yield in Central Europe using climate data and remote sensing vegetation indices. Agric. For. Meteorol. 2018, 260, 300–320. [Google Scholar] [CrossRef]
- Verrillo, F.; Badeck, F.; Terzi, V.; Rizza, F.; Bernardo, L.; Di Maro, A.; Fares, C.; Zaldei, A.; Miglietta, F.; Moschella, A.; et al. Elevated field atmospheric CO2 concentrations affect the characteristics of winter wheat (cv. Bologna) grains. Crop. Pasture Sci. 2017, 68, 713–725. [Google Scholar] [CrossRef]
- Broberg, M.; Hogy, P.; Feng, Z.; Pleijel, H. Effects of elevated CO2 on wheat yield: Non-linear response and relation to site productivity. Agronomy 2019, 9, 243. [Google Scholar] [CrossRef]
- Lin, L. A concordance correlation coefficient to evaluate reproducibility. Biometrics 1989, 45, 255–268. [Google Scholar] [CrossRef]
- Fleiss, J. Statistical Methods for Rates and Proportions, 1st ed.; John Wiley & Sons: Hoboken, NJ, USA, 1981. [Google Scholar]
- Green, T.; Salas, J.; Martinez, A.; Erskine, R. Relating crop yield to topographic attributes using Spatial Analysis Neural Networks and regression. Geoderma 2007, 139, 23–37. [Google Scholar] [CrossRef]
- Jeong, J.; Resop, J.; Mueller, N.; Fleisher, D.; Yun, K.; Butler, E.; Timlin, D.; Shim, K.; Gerber, J.; Reddy, V.; et al. Random forests for global and regional crop yield predictions. PLoS ONE 2016, 11, e0156571. [Google Scholar] [CrossRef]
- Barbero, F.; Lopez, G.; Batlles, F. Determination of daily solar ultraviolet radiation using statistical models and artificial neural networks. Ann. Geophys. 2006, 24, 2105–2114. [Google Scholar] [CrossRef]
- Rothe, C. Beretning om den i Aaret 1844, for Kongeriget indførte nye Skyldsætnings Væsen og Historie. Copenhagen; 1844.
- Barton, H. The Danish agrarian reforms, 1784–1844, and the historians. Scand. Econ. Hist. Rev. 1988, 36, 46–61. [Google Scholar] [CrossRef]
- Cox, T.; Shroyer, J.; Ben-Hui, L.; Sears, R.; Martin, T. Genetic improvement of agronomic traits of hard red winter wheat cultivars from 1919 to 1987. Crop. Sci. 1988, 28, 756–760. [Google Scholar] [CrossRef]
- Christensen, J. Rural Denmark 1750–1980; The Central Co-Operative Committee of Denmark: Copenhagen, Denmark, 1983.
- Olesen, S. Kortlægning af Potentielt Dræningsbehov På Landbrugsarealer Opdelt efter Landskabselement, Geologi, Jordklasse, Geologisk Region Samt Høj/lavbund; Det Jordbrugsvidenskabelige Fakultet Markburg Nr. 1; Aarhus University: Aarhus, Denmark, 2009. [Google Scholar]
- Hansen, B.; Olesen, S.; Ernstsen, V. Naturlig Dræning og Grundvandsdannelse. In Afprøvning af Undersøgelsesmetoder Med Henblik på Etablering af et Zoneringskoncept for Danske Lejorde: Statusrapport; Geological Survey of Denmark and Greenland, Appendix 10; Geological Survey of Denmark and Greenland (GEUS): Copenhagen, Denmark, 2004. [Google Scholar]
- Madsen, H. Drænrørets indførelse og betydning i et landbrugs- og miljømæssigt perspektiv. In Det Fremmede Som Historisk Drivkraft: Danmart Efter 1742; Det Kongelige Danske Videnskabernes Selskab: Copenhagen, Denmark, 2010; pp. 158–165. [Google Scholar]
- Lindsey, R. Climate Change: Atmospheric Carbon Dioxide; National Oceanic and Atmospheric Administration: Copenhagen, Denmark, 2020.
- Cappelen, J. Denmark-DMI Historical Climate Data Collection 1768–2017; DMI Report 18-02; Danish Meteorological Institue: Copenhagen, Denmark, 2018. [Google Scholar]






| Predictor | Ranges/ | ||
|---|---|---|---|
| Variables | Classes | Description | Source |
| Soil | |||
| Carbon (0–30 cm) | 0–55.86 | Percent organic carbon in soil between 0 and 30 cm | [35] |
| Carbon (100–200 cm) | 0–22.22 | Percent organic carbon in soil between 100 and 200 cm | [35] |
| Clay (0–30 cm) | 0–51.20 | Percent clay in soil between 0 and 30 cm | [36] |
| Clay (100–200 cm) | 0–51.96 | Percent clay in soil between 100 and 200 cm | [36] |
| Drainage Class | 1.10–4.61 | Drainage classes between very poorly drained and very well drained soils | [37] |
| Soil Group | 10 classes | Soil class map | [34] |
| Geology | 10 classes | Geological map | [40] |
| Geo-Region | 7 classes | Geographical regions map | [36] |
| Groundwater | 0–143.1 | Depth to groundwater in meters | [38] |
| Landscape | 11 classes | Landform types | [24] |
| pH (60–100 cm) | 2.37–9.62 | pH in soil between 60 and 100 cm | [39] |
| Root Zone Capacity | 11.2–1581.7 | Weighted sum of winter wheat rooting depths using 5 depths in millimeters | [24] |
| Topography | |||
| Elevation | 0–169.9 | LiDAR produced elevation of land surface | [34] 1 |
| Curvature (Plan) | −1.60–2.51 | Curvature perpendicular to the maximum slope | |
| Curvature (Profile) | −3.14–3.36 | Curvature parallel to the maximum slope | |
| Horizontal Distance to Channel Network | 0–3223 | Horizontal distance to the nearest waterbody | |
| Mid-Slope Position | 0–1 | Relative vertical distance to mid-slope position | |
| Multi-Resolution Valley Bottom Flatness | 0.01–10.62 | Calculates depositional areas to identify flat valley bottoms | |
| Relative Slope Position | 0–1 | Slope position and the relative position between valley and ridge | |
| SAGA Wetness Index | 7.30–18.90 | Topographic wetness index with modified catchment area | |
| Slope | 0–90 | Slope gradient in degrees | |
| Slope to Channel Network | 0–47.63 | Slope to the nearest waterbody | |
| Valley Depth | 0–86.04 | Relative height difference to adjacent channel | |
| Vertical Distance to Channel Network | 0–111.45 | Vertical distance to nearest waterbody | |
| Climate | |||
| Grow Days | 146.8–157.8 | Number of days above 10 °C during the year | [41] 2 |
| Precipitation | 281.9–481.4 | Precipitation between April and October in mm | [42] |
| Solar Radiation | 1802–3422 | Global solar radiation between April and October in MJ/m 2 | [41] 2 |
| Temperature | 7.90–8.92 | Average yearly temperature in °C | [41] 2 |
| Rank | Predictor Variables | Importance | Correlation |
|---|---|---|---|
| 1. | Temperature | 100.0 | + |
| 2. | Clay (0–30 cm) | 91.6 | + |
| 3. | Grow Days | 77.8 | + |
| 4. | pH (60–100 cm) | 72.5 | + |
| 5. | Precipitation | 70.5 | - |
| 6. | Clay (100–200 cm) | 63.4 | + |
| 7. | Geology | 58.7 | C |
| 8. | Drainage Class | 57.5 | + |
| 9. | Soil Group | 52.9 | C |
| 10. | Solar Radiation | 49.0 | + |
| 11. | Root Zone Capacity | 47.1 | - |
| 12. | Geo-Region | 43.9 | C |
| 13. | Elevation | 42.8 | - |
| 14. | Landscape | 40.7 | C |
| 15. | Groundwater | 33.7 | - |
| Model | MSE | RMSE | CCC | R2 | |
|---|---|---|---|---|---|
| Soil Only Model | Mean (SD) Range | 3.93 × 106 (2.3 × 106) 3.41–4.51 × 106 | 1982 (60) 1850–2120 | 0.21 (0.03) 0.14–0.28 | 0.20 (0.04) 0.11–0.31 |
| Random Forest Model | Mean (SD) Range | 1.58 × 106 (1.49 × 106) 1.28–2.13 × 106 | 1256 (60) 1130–1460 | 0.38 (0.03) 0.31–0.45 | 0.26 (0.05) 0.18–0.37 |
© 2020 by the authors. Licensee MDPI, Basel, Switzerland. This article is an open access article distributed under the terms and conditions of the Creative Commons Attribution (CC BY) license (http://creativecommons.org/licenses/by/4.0/).
Share and Cite
Roell, Y.E.; Beucher, A.; Møller, P.G.; Greve, M.B.; Greve, M.H. Comparing a Random Forest Based Prediction of Winter Wheat Yield to Historical Yield Potential. Agronomy 2020, 10, 395. https://doi.org/10.3390/agronomy10030395
Roell YE, Beucher A, Møller PG, Greve MB, Greve MH. Comparing a Random Forest Based Prediction of Winter Wheat Yield to Historical Yield Potential. Agronomy. 2020; 10(3):395. https://doi.org/10.3390/agronomy10030395
Chicago/Turabian StyleRoell, Yannik E., Amélie Beucher, Per G. Møller, Mette B. Greve, and Mogens H. Greve. 2020. "Comparing a Random Forest Based Prediction of Winter Wheat Yield to Historical Yield Potential" Agronomy 10, no. 3: 395. https://doi.org/10.3390/agronomy10030395
APA StyleRoell, Y. E., Beucher, A., Møller, P. G., Greve, M. B., & Greve, M. H. (2020). Comparing a Random Forest Based Prediction of Winter Wheat Yield to Historical Yield Potential. Agronomy, 10(3), 395. https://doi.org/10.3390/agronomy10030395

