Agronomic Growth Performance of Super Rice under Water-Saving Irrigation Methods with Different Water-Controlled Thresholds in Different Growth Stages
Abstract
1. Introduction
2. Materials and Methods
2.1. Description of Study Area and Climatic Conditions
2.2. Experimental Design
2.3. Field Measurement and Sampling
2.4. Statistical Analysis
3. Results
3.1. Dynamic Variations of Rice Tillers
3.2. Dynamic Variations of Rice Plant Height
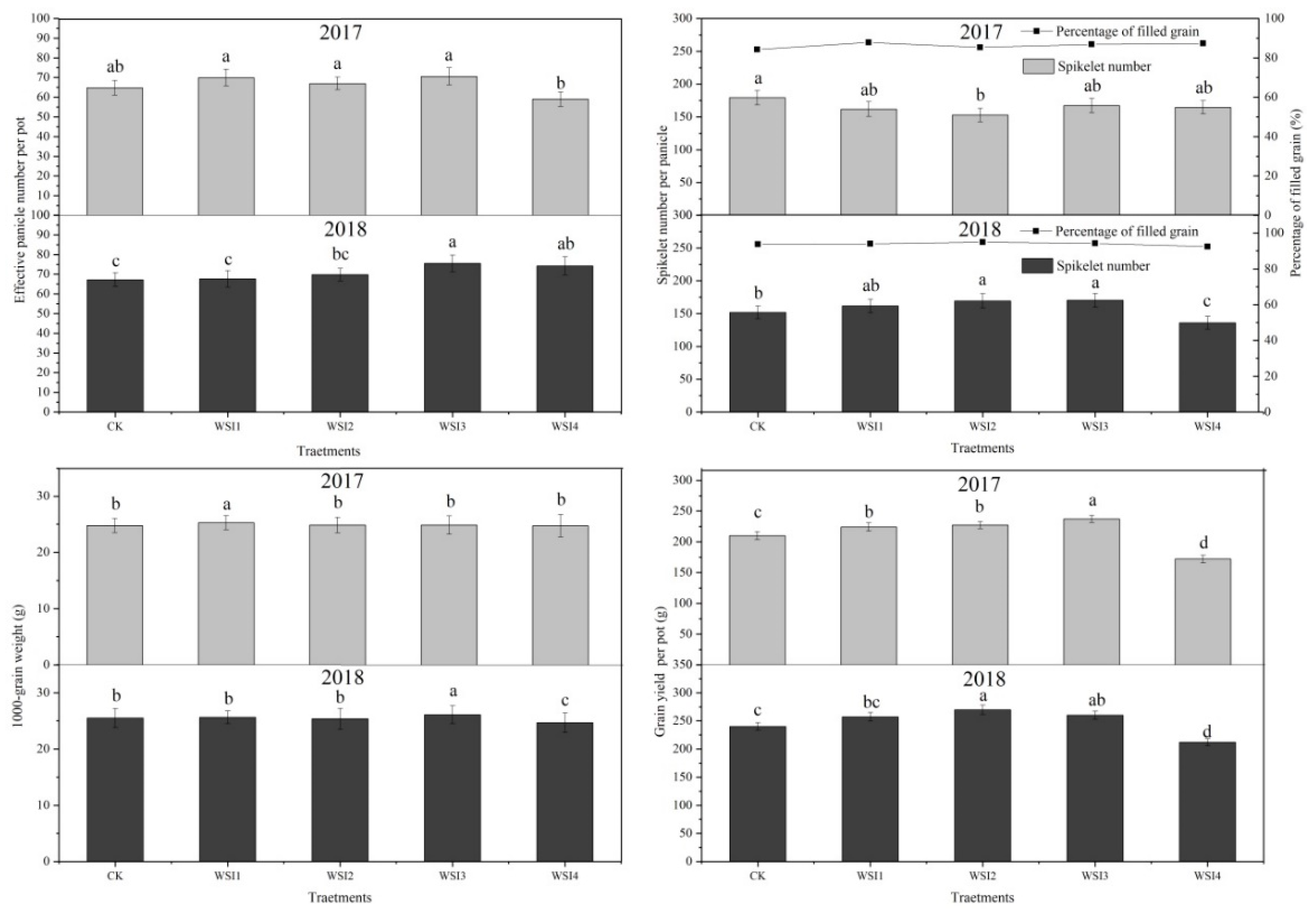
3.3. Dry Matter Yield, Grain Yield, and Yield Components
3.4. Crop Evapotranspiration, Irrigation, and Irrigation Water Use Efficiencies
4. Discussion
5. Conclusions
Author Contributions
Funding
Acknowledgments
Conflicts of Interest
References
- Wu, X.H.; Wang, W.; Xie, X.L.; Yin, C.M.; Xie, K.J. Photosynthetic and yield responses of rice (Oryza sativa L.) to different water management strategies in subtropical China. Photosynthetica 2018, 56, 1031–1038. [Google Scholar] [CrossRef]
- Zheng, J.; Chen, T.; Chi, D.; Xia, G.; Wu, Q.; Liu, G.; Chen, W.; Meng, W.; Chen, Y.; Siddique, K.H.J.A. Influence of Zeolite and Phosphorus Applications on Water Use, P Uptake and Yield in Rice under Different Irrigation Managements. Agronomy 2019, 9, 537. [Google Scholar] [CrossRef]
- Cabangon, R.J.; Tuong, T.P.; Castillo, E.G.; Bao, L.X.; Lu, G.; Wang, G.; Cui, Y.; Bouman, B.A.M.; Li, Y.; Chen, C.; et al. Effect of irrigation method and N-fertilizer management on rice yield, water productivity and nutrient-use efficiencies in typical lowland rice conditions in China. Paddy Water Environ. 2004, 2, 195–206. [Google Scholar] [CrossRef]
- Yamaguchi, T.; Tuan, L.M.; Minamikawa, K.; Yokoyama, S. Assessment of the relationship between adoption of a knowledge-intensive water-saving technique and irrigation conditions in the Mekong Delta of Vietnam. Agric. Water Manag. 2019, 212, 162–171. [Google Scholar] [CrossRef]
- Yan, T.; Wang, J.; Huang, J. Urbanization, agricultural water use, and regional and national crop production in China. Ecol. Model. 2015, 318, 226–235. [Google Scholar] [CrossRef]
- Li, Q.; Bian, C.; Liu, X.; Ma, C.; Liu, Q. Winter wheat grain yield and water use efficiency in wide-precision planting pattern under deficit irrigation in North China Plain. Agric. Water Manag. 2015, 153, 71–76. [Google Scholar] [CrossRef]
- Shao, G.; Cui, J.; Yu, S.e.; Lu, B.; Brian, B.J.; Ding, J.; She, D. Impacts of controlled irrigation and drainage on the yield and physiological attributes of rice. Agric. Water Manag. 2015, 149, 156–165. [Google Scholar] [CrossRef]
- Bouman, B. A conceptual framework for the improvement of crop water productivity at different spatial scales. Agric. Syst. 2007, 93, 43–60. [Google Scholar] [CrossRef]
- Sang, H.; Jiao, X.; Wang, S.; Guo, W.; Salahou, M.K.; Liu, K. Effects of micro-nano bubble aerated irrigation and nitrogen fertilizer level on tillering, nitrogen uptake and utilization of early rice. Plant Soil Environ. 2018, 64, 297–302. [Google Scholar]
- Aziz, O.; Bin, L.; Imtiaz, M.; Chen, J.; He, Y.; Lin, L.; Ali, S.; Riaz, M.; Mehmood, S.; Rizwan, M.; et al. Irrigation methods affect water productivity, grain yield, and growth responses of rice at different levels of nitrogen. J. Soil Water Conserv. 2018, 73, 329–336. [Google Scholar] [CrossRef]
- Rahman, S.M.; Kakuda, K.-i.; Sasaki, Y.; Makabe-Sasaki, S.; Ando, H. Early growth stage water management effects on the fate of inorganic N, growth and yield in rice. Soil Sci. Plant Nutr. 2013, 59, 921–932. [Google Scholar] [CrossRef][Green Version]
- He, C. Effects of furrow irrigation on the growth, production, and water use efficiency of direct sowing rice. Sci. World J. 2010, 10, 1483–1497. [Google Scholar] [CrossRef] [PubMed]
- Brar, A.S.; Buttar, G.S.; Jhanji, D.; Sharma, N.; Vashist, K.K.; Mahal, S.S.; Deol, J.S.; Singh, G. Water productivity, energy and economic analysis of transplanting methods with different irrigation regimes in Basmati rice (Oryza sativa L.) under north-western India. Agric. Water Manag. 2015, 158, 189–195. [Google Scholar] [CrossRef]
- Yang, S.; Xiao, Y.; Xu, J.; Liu, X. Effect of straw return on soil respiration and NEE of paddy fields under water-saving irrigation. PLoS ONE 2018, 13, e0204597. [Google Scholar] [CrossRef]
- Mao, Z. Water-efficient irrigation regimes of rice in China. In Proceedings of the International Rice Research Conference, Los Banos, Philippines, 31 March–3 April 2000. [Google Scholar]
- Escasinas, R.O.; Zamora, O.B. Agronomic response of lowland rice PSB Rc 18 (Oryza sativa L.) to different water, spacing and nutrient management. Philipp J Crop Sci 2011, 36, 37–46. [Google Scholar]
- He, H.; Yang, R.; Jia, B.; Chen, L.; Fan, H.; Cui, J.; Yang, D.; Li, M.; Ma, F.-Y. Rice Photosynthetic Productivity and PSII Photochemistry under Nonflooded Irrigation. Sci. World J. 2014, 2014. [Google Scholar] [CrossRef]
- Carrijo, D.R.; Akbar, N.; Reis, A.F.; Li, C.; Gaudin, A.C.; Parikh, S.J.; Green, P.G.; Linquist, B.A. Impacts of variable soil drying in alternate wetting and drying rice systems on yields, grain arsenic concentration and soil moisture dynamics. Field Crops Res. 2018, 222, 101–110. [Google Scholar] [CrossRef]
- Nyamai, M.; Mati, B.; Home, P.; Odongo, B.; Wanjogu, R.; Thuranira, E. Improving land and water productivity in basin rice cultivation in Kenya through System of Rice Intensification (SRI). Agric. Eng. Int. CIGR J. 2012, 14, 1–9. [Google Scholar]
- Yao, F.; Huang, J.; Cui, K.; Nie, L.; Xiang, J.; Liu, X.; Wu, W.; Chen, M.; Peng, S. Agronomic performance of high-yielding rice variety grown under alternate wetting and drying irrigation. Field Crops Res. 2012, 126, 16–22. [Google Scholar] [CrossRef]
- Bouman, B.; Tuong, T.P. Field water management to save water and increase its productivity in irrigated lowland rice. Agric. Water Manag. 2001, 49, 11–30. [Google Scholar] [CrossRef]
- Xu, Y.; Ge, J.; Tian, S.; Li, S.; Nguy-Robertson, A.L.; Zhan, M.; Cao, C. Effects of water-saving irrigation practices and drought resistant rice variety on greenhouse gas emissions from a no-till paddy in the central lowlands of China. Sci. Total Environ. 2015, 505, 1043–1052. [Google Scholar] [CrossRef] [PubMed]
- Kakar, K.; Xuan, T.D.; Quan, N.V.; Wafa, I.K.; Tran, H.-D.; Khanh, T.D.; Dat, T.D.J.A. Efficacy of N-methyl-N-nitrosourea (MNU) Mutation on Enhancing the Yield and Quality of Rice. Agriculture 2019, 9, 212. [Google Scholar] [CrossRef]
- Behera, S.K.; Panda, R.K. Effect of fertilization on crop responses and solute transport for rice crop in a sub-humid and sub-tropical region. Paddy Water Environ. 2012, 11, 227–239. [Google Scholar] [CrossRef]
- Yang, J.; Liu, K.; Wang, Z.; Du, Y.; Zhang, J. Water-saving and high-yielding irrigation for lowland rice by controlling limiting values of soil water potential. J. Integr. Plant Biol. 2007, 49, 1445–1454. [Google Scholar] [CrossRef]
- Westendorff, N.d.R.; Agostinetto, D.; Ulguim, A.d.R.; Perboni, L.T.; Silva, B.M.d. Yield loss and economic thresholds of yellow nutsedge in irrigated rice as a function of the onset of flood irrigation. Bragantia 2014, 73, 32–38. [Google Scholar] [CrossRef]
- Peng, S.-Z.; Yang, S.-H.; Xu, J.-Z.; Luo, Y.-F.; Hou, H.-J. Nitrogen and phosphorus leaching losses from paddy fields with different water and nitrogen managements. Paddy Water Environ. 2011, 9, 333–342. [Google Scholar] [CrossRef]
- Zheng, C.X.; Zhang, Z.Y.; Wu, Y.Y.; Mwiya, R. Response of Vertical Migration and Leaching of Nitrogen in Percolation Water of Paddy Fields under Water-Saving Irrigation and Straw Return Conditions. Water 2019, 11, 868. [Google Scholar] [CrossRef]
- Lu, H.; Qi, X.; Guo, X.; Towa, J.; Zhen, B.; Qiao, D.; Wang, Z.; Yang, B.; Han, Y. Canopy Light Utilization and Yield of Rice under Rain-Catching and Controlled Irrigation. Water 2018, 10, 1340. [Google Scholar] [CrossRef]
- Huang, M.; Zhang, Z.; Zhai, Y.; Lu, P.; Zhu, C. Effect of Straw Biochar on Soil Properties and Wheat Production under Saline Water Irrigation. Agronomy 2019, 9, 457. [Google Scholar] [CrossRef]
- Liu, B.; Cui, Y.; Shi, Y.; Cai, X.; Luo, Y.; Zhang, L. Comparison of evapotranspiration measurements between eddy covariance and lysimeters in paddy fields under alternate wetting and drying irrigation. Paddy Water Environ. 2019, 17, 725–739. [Google Scholar] [CrossRef]
- Belder, P.; Bouman, B.; Cabangon, R.; Guoan, L.; Quilang, E.; Yuanhua, L.; Spiertz, J.; Tuong, T. Effect of water-saving irrigation on rice yield and water use in typical lowland conditions in Asia. Agric. Water Manag. 2004, 65, 193–210. [Google Scholar] [CrossRef]
- Ullah, H.; Mohammadi, A.; Datta, A. Growth, yield and water productivity of selected lowland Thai rice varieties under different cultivation methods and alternate wetting and drying irrigation. Ann. Appl. Biol. 2018, 173, 302–312. [Google Scholar] [CrossRef]
- Wei, Q.; Xu, J.; Sun, L.; Wang, H.; Lv, Y.; Li, Y.; Hameed, F. Effects of straw returning on rice growth and yield under water-saving irrigation. Chilean J. Agric. Res. 2019, 79, 66–74. [Google Scholar] [CrossRef]
- Cao, X.; Zhong, C.; Sajid, H.; Zhu, L.; Zhang, J.; Wu, L.; Jin, Q. Effects of watering regime and nitrogen application rate on the photosynthetic parameters, physiological characteristics, and agronomic traits of rice. Acta Physiol. Plant. 2017, 39, 135. [Google Scholar] [CrossRef]
- Yang, J.; Zhang, J.; Wang, Z.; Liu, L.; Zhu, Q. Postanthesis water deficits enhance grain filling in two-line hybrid rice. Crop Sci. 2003, 43, 2099–2108. [Google Scholar] [CrossRef]
- Alberto, M.C.R.; Wassmann, R.; Hirano, T.; Miyata, A.; Hatano, R.; Kumar, A.; Padre, A.; Amante, M. Comparisons of energy balance and evapotranspiration between flooded and aerobic rice fields in the Philippines. Agric. Water Manag. 2011, 98, 1417–1430. [Google Scholar] [CrossRef]
- Liu, X.; Xu, J.; Yang, S.; Zhang, J. Rice evapotranspiration at the field and canopy scales under water-saving irrigation. Meteorol. Atmos. Phys. 2017, 130, 227–240. [Google Scholar] [CrossRef]







| Year | EC (dS m−1) | SAR (mmol1/2 L−11/2) | Ca2+ (mmol L−11) | Mg2+ (mmol L−11) | Na+ (mmol L−11) | HCO3- (mmol L−11) | Cl− (mmol L−11) | SO42− (mmol L−11) |
|---|---|---|---|---|---|---|---|---|
| 2017 | 0.3 | 1.0 | 1.2 | 0.5 | 0.9 | 0.7 | 0.6 | 1.6 |
| 2018 | 0.3 | 1.3 | 1.1 | 0.6 | 1.2 | 0.6 | 0.8 | 1.8 |
| Year | Treatments | R-G | T | J-B | H-F | M | R | Total |
|---|---|---|---|---|---|---|---|---|
| 2017 | FI | 31.5 a | 121.7 a | 283.2 a | 188.7 a | 137.8 a | 33.5 b | 796.4 a |
| WSI1 | 30.7 a | 107.2 b | 262.6 b | 162.1 b | 137 a | 29.3 b | 728.9 b | |
| WSI2 | 29.8 a | 112.8 b | 247.3 c | 155.3 bc | 125.6 b | 45 a | 715.8 c | |
| WSI3 | 31.2 a | 93.9 c | 233.9 d | 152.7 c | 113.2 c | 42.3 a | 667.2 d | |
| WSI4 | 29.6 a | 91.8 c | 205.2 e | 127.5 d | 117.8 c | 35.6 b | 607.5 e | |
| 2018 | FI | 38.2 a | 137.3 a | 260.2 a | 233.7 a | 122.2 a | 22.6 a | 814.2 a |
| WSI1 | 39.1 a | 116.9 c | 232.4 c | 210.4 b | 112.3 b | 19.5 a | 730.6 b | |
| WSI2 | 37.6 a | 128.2 b | 248.7 b | 197.7 c | 97.6 c | 23.2 a | 733 b | |
| WSI3 | 35.5 a | 122.1 bc | 241.3 b | 184.3 d | 95.9 c | 22.8 a | 701.9 c | |
| WSI4 | 35.4 a | 118.6 c | 233.8 c | 148.6 e | 89.7 c | 20.5 a | 646.6 d |
© 2020 by the authors. Licensee MDPI, Basel, Switzerland. This article is an open access article distributed under the terms and conditions of the Creative Commons Attribution (CC BY) license (http://creativecommons.org/licenses/by/4.0/).
Share and Cite
Zheng, C.; Zhang, Z.; Hao, S.; Chen, W.; Pan, Y.; Wang, Z. Agronomic Growth Performance of Super Rice under Water-Saving Irrigation Methods with Different Water-Controlled Thresholds in Different Growth Stages. Agronomy 2020, 10, 239. https://doi.org/10.3390/agronomy10020239
Zheng C, Zhang Z, Hao S, Chen W, Pan Y, Wang Z. Agronomic Growth Performance of Super Rice under Water-Saving Irrigation Methods with Different Water-Controlled Thresholds in Different Growth Stages. Agronomy. 2020; 10(2):239. https://doi.org/10.3390/agronomy10020239
Chicago/Turabian StyleZheng, Chengxin, Zhanyu Zhang, Shurong Hao, Wenmeng Chen, Yongchun Pan, and Zixin Wang. 2020. "Agronomic Growth Performance of Super Rice under Water-Saving Irrigation Methods with Different Water-Controlled Thresholds in Different Growth Stages" Agronomy 10, no. 2: 239. https://doi.org/10.3390/agronomy10020239
APA StyleZheng, C., Zhang, Z., Hao, S., Chen, W., Pan, Y., & Wang, Z. (2020). Agronomic Growth Performance of Super Rice under Water-Saving Irrigation Methods with Different Water-Controlled Thresholds in Different Growth Stages. Agronomy, 10(2), 239. https://doi.org/10.3390/agronomy10020239
