CitrusVol Validation for the Adjustment of Spray Volume in Treatments against Tetranychus urticae in Clementines
Abstract
1. Introduction
2. Materials and Methods
2.1. Orchards and Characterization of Vegetation
2.2. Experimental Design
2.3. Description of Sprayers and Plant Protection Products (PPP) Applications
2.4. Distribution of the Spray in the Tree Canopy
2.5. Evaluation of Tetranychus urticae Density and Fruit Damage
2.5.1. Tetranychus urticae Density
2.5.2. Fruit Damage by Tetranychus urticae
2.6. Data Analysis
2.6.1. Percentage of Coverage
2.6.2. Percentage of Symptomatic Leaves Occupied
2.6.3. Percentage of Fruits Damaged
3. Results
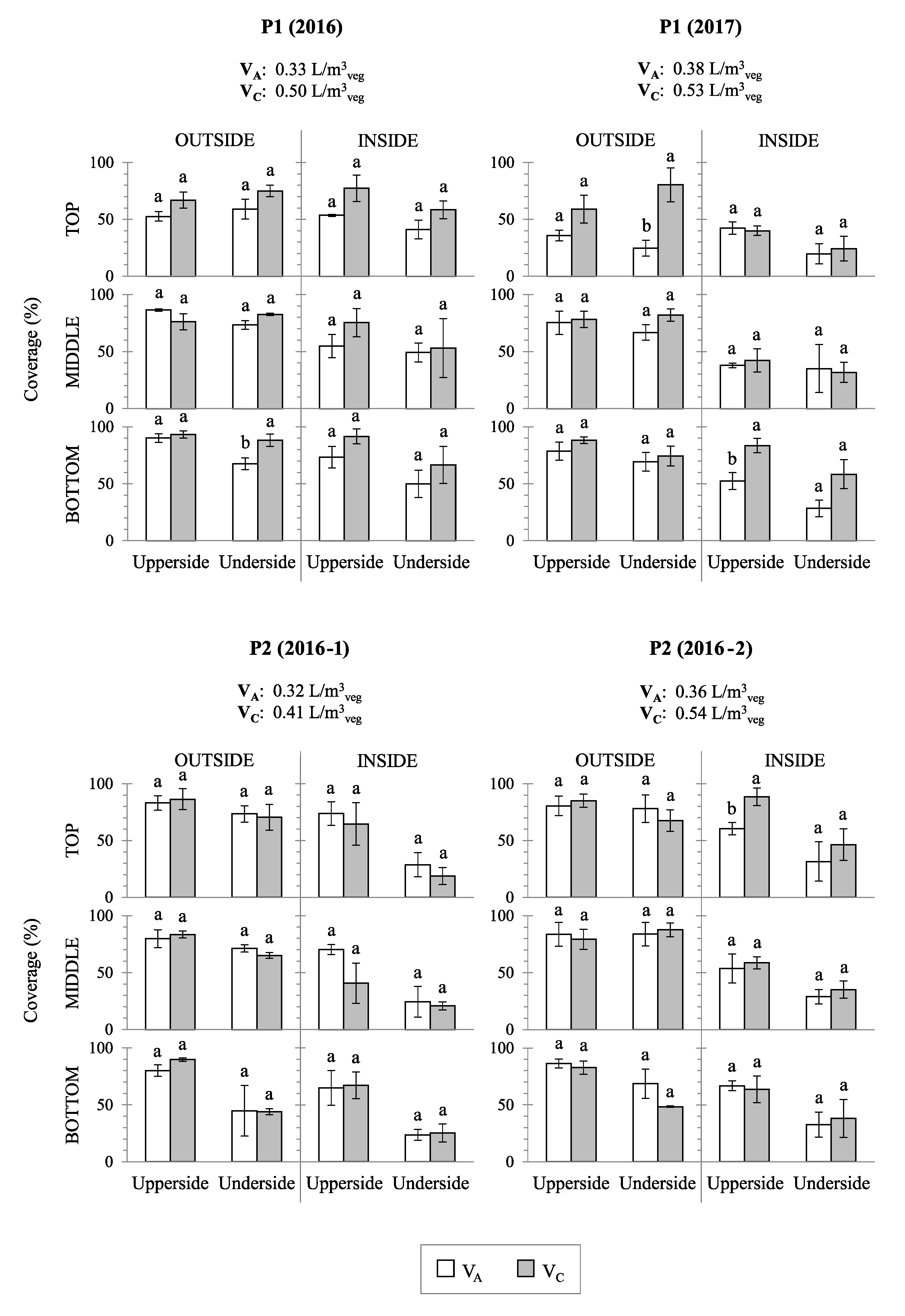
3.1. Percentage of Coverage
3.2. Tetranychus urticae Density
3.3. Fruit Damage by Tetranychus urticae
4. Discussion
Author Contributions
Funding
Acknowledgments
Conflicts of Interest
Appendix A
| Plot | Coverage Evaluation | PPP Application | Date | Temperature (°C) | Relative Humidity (%) | Solar Irradiance (W/m2) | Wind Speed (km/h) | Wind Direction | |||||
|---|---|---|---|---|---|---|---|---|---|---|---|---|---|
| VC | VA | VC | VA | VC | VA | VC | VA | VC | VA | ||||
| P1 | P1 (2016) | 27 May 2016 | 23 | 24 | 57 | 59 | 731 | 893 | 4 | 9 | SE-S | E | |
| ● | 27 July 2016 | 25 | 27 | 63 | 67 | 337 | 474 | 2 | 5 | NW-N-NE | N | ||
| ● | 11 October 2016 | 25 | 20 | 31 | 59 | 678 | 456 | 5 | 8 | W-SW | W | ||
| P1 (2017) | ● | 7 June 2017 | 23 | 21 | 62 | 81 | 590 | 208 | 6 | 1 | NE | NW-SE | |
| ● | 24 July 2017 | 27 | 26 | 53 | 73 | 364 | 263 | 3 | 2 | SE-NE-E | NW-N-NE | ||
| ● | 8 September 2017 | 24 | 22 | 79 | 89 | 265 | 89 | 2 | 2 | N-E | NW-W-SE | ||
| P2 | P2 (2016-2) | 26 May 2016 | 22 | 22 | 66 | 68 | 811 | 609 | 7 | 7 | E | E | |
| P2 (2016-1) | ● | 22 June 2016 | 25 | 24 | 51 | 58 | 730 | 575 | 5 | 3 | E | SE | |
| ● | 9 August 2016 | 31 | 28 | 26 | 31 | 690 | 499 | 5 | 4 | SE | SE | ||
| ● | 9 September 2016 | 26 | 26 | 71 | 75 | 251 | 201 | 1 | 1 | N | NW | ||
| P2 (2017) | ● | 22 August 2017 | 28 | 24 | 52 | 64 | 546 | 310 | 4 | 1 | SE | W | |
| P3 | P3 (2017) | ● | 23 June 2017 | 29 | 27 | 50 | 50 | 712 | 353 | 5 | 1 | SE | SE-E |
| ● | 3 August 2017 | 27 | 26 | 55 | 56 | 204 | 196 | 7 | 2 | N | NW-SW | ||
| P4 | P4 (2017) | ● | 26 June 2017 | 24 | 30 | 77 | 54 | 241 | 846 | 1 | 6 | SE-E | E-NE-N |
| ● | 18 September 2017 | 28 | 23 | 27 | 48 | 732 | 293 | 3 | 4 | SW-NW-W | S-SW-W | ||
| P5 | ● | 27 June 2017 | 30 | 30 | 50 | 55 | 604 | 395 | 2 | 5 | SE-E | E-NE | |
| P5 (2017) | ● | 19 September 2017 | 25 | 19 | 51 | 88 | 694 | 209 | 5 | 2 | E-NE | SE-E | |
| P6 | P6 (2017) | ● | 10 July 2017 | 28 | 26 | 42 | 48 | 665 | 430 | 3 | 2 | SE-S | S-SW |
| ● | 23 August 2017 | 25 | 18 | 51 | 68 | 356 | 134 | 2 | 1 | S | W-NE-W | ||
| ● | 14 September 2017 | 27 | 20 | 44 | 71 | 470 | 231 | 6 | 2 | NW-W | E-NE-NW | ||
| P7 | ● | 30 June 2017 | 26 | 21 | 22 | 32 | 863 | 484 | 8 | 3 | W | SW-NW | |
| P7 (2017) | ● | 4 August 2017 | 27 | 29 | 55 | 40 | 295 | 438 | 2 | 4 | SE-N-SW | E-SE-S | |







References
- Tena, A.; Garcia-Marí, F. Current situation of citrus pests and diseases in the Mediterranean basin. IOBC Bull. 2011, 62, 365–368. [Google Scholar]
- Jaques, J.A.; Aguilar-Fenollosa, E.; Hurtado-Ruiz, M.A.; Pina, T. Food web engineering to enhance biological control of Tetranychus urticae by phytoseiid mites (Tetranychidae: Phytoseiidae) in Citrus. In Prospects for Biological Control of Plant Feeding Mites and Other Harmful Organisms. Progress in Biological Control; Carrillo, D., de Moraes, G.J., Peña, J.E., Eds.; Springer International Publishing: Cham, Switzerland, 2015; Volume 19, pp. 251–269. ISBN 978-3-319-15042-0. [Google Scholar]
- Aucejo, S.; Foó, M.; Ramis, M.; Troncho, P.; Gómez-Cadenas, A.; Jacas, J.A. Evaluación de la eficacia de algunos acaricidas contra la araña roja, Tetranychus urticae Koch (Acari: Tetranychidae), en clementino. Boletín de Sanidad Vegetal Plagas 2003, 29, 453–459. [Google Scholar]
- Soler-Salcedo, E.; Rodrigo, E.; Ferragut, F. Colonización, comportamiento alimenticio y producción de daños en las arañas rojas Tetranychus urticae y T. turkestani (Acari, Tetranychidae). Boletín de Sanidad Vegetal Plagas 2006, 32, 523–534. [Google Scholar]
- Urbaneja, A.; Pascual-Ruiz, S.; Pina, T.; Abad-Moyano, R.; Vanaclocha, P.; Montón, H.; Dembilio, O.; Castañera, P.; Jacas, J.A. Efficacy of five selected acaricides against Tetranychus urticae (Acari: Tetranychidae) and their side effects on relevant natural enemies occurring in citrus orchards. Pest Manag. Sci. 2008, 64, 834–842. [Google Scholar] [CrossRef]
- Van Leeuwen, T.; Vontas, J.; Tsagkarakou, A.; Dermauwa, W.; Tirry, L. Acaricide resistance mechanisms in the two-spotted spider mite Tetranychus urticae and other important Acari: A review. Insect Biochem. Mol. Biol. 2010, 40, 563–572. [Google Scholar] [CrossRef]
- Dermauw, W.; Wybouw, N.; Rombauts, S.; Menten, B.; Vontas, J.; Grbic, M.; Clark, R.M.; Feyereisen, R.; Van Leeuwen, T. A link between host plant adaptation and pesticide resistance in the polyphagous spider mite Tetranychus urticae. Proc. Natl. Acad. Sci. USA 2013, 110, E113–E122. [Google Scholar] [CrossRef]
- Schmidt-Jeffris, R.A.; Beers, E.H. Potential impacts of orchard pesticides on Tetranychus urticae: A predator-prey perspective. Crop Prot. 2018, 103, 56–64. [Google Scholar] [CrossRef]
- Cunha, J.P.; Chueca, P.; Garcerá, C.; Moltó, E. Risk assessment of pesticide spray drift from citrus application with air-blast sprayers in Spain. Crop Prot. 2012, 42, 116–123. [Google Scholar] [CrossRef]
- Garcerá, C.; Moltó, E.; Chueca, P. Factors influencing the efficacy of two organophosphate insecticides in controlling California red scale, Aonidiella aurantii (Maskell). A basis for reducing spray application volume in Mediterranean conditions. Pest Manag. Sci. 2014, 70, 28–38. [Google Scholar] [CrossRef]
- Garcerá, C.; Moltó, E.; Chueca, P. Spray pesticide applications in Mediterranean citrus orchards: Canopy deposition and off-target losses. Sci. Total Environ. 2017, 599–600, 1344–1362. [Google Scholar] [CrossRef]
- Insecticide Resistance Action Committee (IRAC). General Principles of Insecticides Resistance Management from IRAC; 2013; 2p, Available online: http://www.irac-online.org/documents/principles-of-irm/ (accessed on 18 November 2019).
- Salyani, M.; McCoy, C.W.; Hedden, S.L. Spray volume effects on deposition and citrus rust mite control. In Pesticide Formulations and Application Systems; Hovde, D., Beestman, G., Eds.; ASTM International: West Conshohocken, PA, USA, 1989; Volume 8, pp. 254–263. [Google Scholar]
- McCoy, C.W.; Lye, B.H.; Salyani, M. Spray volume and acaricide rate effects on the control of the citrus rust mite. Proc. Fla. State Hort. Soc. 1989, 102, 36–40. [Google Scholar]
- Cunningham, G.P.; Harden, J. Sprayers to reduce spray volumes in mature citrus trees. Crop Prot. 1999, 18, 275–281. [Google Scholar] [CrossRef]
- Garcerá, C. Racionalización de las aplicaciones de productos fitosanitarios para el control de Aonidiella aurantii Maskell (Hemiptera: Diaspididae) en cítricos. Ph.D. Thesis, Universitat Politécnica de València, Valencia, Spain, July 2013; p. 262. [Google Scholar]
- Chueca, P.; Grafton-Cardwell, E.E.; Moltó, E. Influence of spray equipment and water volume on coverage of citrus and control of citricola scale, Coccus pseudomagnoliarum (Hemiptera: Coccidae) with mineral oil. J. Econ. Entomol. 2009, 102, 296–303. [Google Scholar] [CrossRef] [PubMed]
- Stansly, P.A.; Qureshi, J.A.; Kostyk, B.C. Effect of spray volume and sprayer type on efficacy of insecticides for control of Asian citrus psyllid and citrus leafminer on oranges: 2010. Arthrop. Manag. Tests 2011, 36, D16. [Google Scholar] [CrossRef]
- Silva Junior, G.J.; Scapin, M.S.; Silva, F.P.; Silva, A.R.P.; Behlau, F.; Ramos, H.H. Spray volume and fungicide rates for citrus black spot control based on tree canopy volume. Crop Prot. 2016, 85, 38–45. [Google Scholar] [CrossRef]
- Scapin, M.S.; Behlau, F.; Scandelai, L.H.M.; Fernandes, R.S.; Silva Junior, G.J.; Ramos, H.H. Tree-row-volume-based sprays of copper bactericide for control of citrus canker. Crop Prot. 2015, 77, 119–126. [Google Scholar] [CrossRef]
- Garcerá, C.; Fonte, A.; Moltó, E.; Chueca, P. Sustainable use of pesticide applications in citrus: A support tool for volume rate adjustment. Int. J. Environ. Res. Public Health 2017, 14, 715. [Google Scholar] [CrossRef]
- Moltó, E.; Chueca, P.; Garcerá, C. Tratamientos fitosanitarios. Calculadora de recomendación de volumen. In Gestión Integrada de Plagas de Cítricos; Urbaneja, A., Catalán, J., Tena, A., Jacas, J.A., Eds.; IVIA: Moncada, Spain, 2019; Available online: http://gipcitricos.ivia.es/recomendacion-de-volumen (accessed on 18 November 2019).
- Garcerá, C.; Moltó, E.; Chueca, P. Effect of spray volume of two organophosphate pesticides on coverage and mortality of Aonidiella aurantii Maskell. Crop Prot. 2011, 30, 693–697. [Google Scholar] [CrossRef]
- Garcerá, C.; Moltó, E.; Zarzo, M.; Chueca, P. Modelling the spray deposition and efficacy of two mineral oil-based products for the control of California red scale, Aonidiella aurantii (Maskell). Crop Prot. 2012, 31, 78–84. [Google Scholar] [CrossRef]
- Albert, F.; Aleixos, N.; Blasco, J.; Cubero, S. Food Color Inspector. 2013. Available online: http://www.cofilab.com/registered-software/ (accessed on 18 November 2019).
- Moltó, E.; Chueca, P.; Garcerá, C. Tratamientos fitosanitarios. Recomendaciones. In Gestión Integrada de Plagas de Cítricos; Urbaneja, A., Catalán, J., Tena, A., Jacas, J.A., Eds.; IVIA: Moncada, Spain, 2019; Available online: http://gipcitricos.ivia.es/area/tratamientos-fitosanitarios/recomendaciones (accessed on 18 November 2019).
- MAGRAMA. Ministerio de Agricultura, Alimentación y Medio Ambiente. In Gestión Integrada de Plagas de Cítricos; Centro de Publicaciones del MAGRAMA: Madrid, Spain, 2014; p. 159. ISBN 978-84-491-1411-3. [Google Scholar]
- Urbaneja, A.; Catalán, J.; Tena, A.; Jacas, J.A. Plagas y Enfermedades. Tetraníquidos. Araña Roja. In Gestión Integrada de Plagas de Cítricos; Urbaneja, A., Catalán, J., Tena, A., Jacas, J.A., Eds.; IVIA: Moncada, Spain, 2019; Available online: http://gipcitricos.ivia.es/area/plagas-principales/tetraniquidos/arana-roja (accessed on 18 November 2019).
- Grafton-Cardwell, E.E.; Reagan, C. Efficacy of Movento to control California red scale, 2006. Arthropod Manag. Tests 2007, 32, D6. [Google Scholar] [CrossRef]
- Grafton-Cardwell, E.E.; Reagan, C. California red scale insecticide efficacy trial, 2007. Arthropod Manag. Tests 2009, 34, D3. [Google Scholar] [CrossRef]
- Liang, W.; Meats, A.; Beattie, G.A.C.; Spooner-Hart, R.; Jiang, L. Conservation of natural enemy fauna in citrus canopies by horticultural mineral oil: Comparison with effects of carbaryl and methidathion treatments for control of armored scales. Insect Sci. 2010, 17, 414–426. [Google Scholar] [CrossRef]
- Derksen, R.C.; Zhu, H.; Fox, R.D.; Brazee, R.D.; Krause, C.R. Coverage and drift produced by air induction and conventional hydraulic nozzles used for orchard applications. Trans. ASABE 2007, 50, 1493–1501. [Google Scholar] [CrossRef]
- Garcerá, C.; Román, C.; Moltó, E.; Abad, R.; Insa, J.A.; Torrent, X.; Planas, S.; Chueca, P. Comparison between standard and drift reducing nozzles for pesticide application in citrus: Part II. Effects on canopy spray distribution, control efficacy of Aonidiella aurantii (Maskell), beneficial parasitoids and pesticide residues on fruit. Crop Prot. 2017, 94, 83–96. [Google Scholar] [CrossRef]
- Salyani, M.; McCoy, C.W. Deposition of different spray volumes on citrus trees. Proc. Fla. State Hort. Soc. 1989, 102, 32–36. [Google Scholar]
- Whitney, J.; Salyani, M.; Churchill, D.; Knapp, J.; Whiteside, J. A field investigation to examine the effects of sprayer type, ground speed, and volume rate on spray deposition in Florida citrus. J. Agric. Eng. Res. 1989, 42, 275–283. [Google Scholar] [CrossRef]
- Hoffmann, W.C.; Salyani, M. Spray deposition on citrus canopies under different meteorological conditions. Trans. ASAE 1996, 39, 17–22. [Google Scholar] [CrossRef]
- Bayat, A.; Zeren, Y.; Ulusoy, M.R. Spray deposition with conventional and electrostatically-charged spraying in citrus trees. Agric. Mech. Asia Afr. Lat. Am. 1994, 25, 35–39. [Google Scholar]
- Wu, M.; Adesanya, A.W.; Morales, M.A.; Walsh, D.B.; Lavine, L.C.; Lavine, M.D.; Zhu, F. Multiple acaricide resistance and underlying mechanisms in Tetranychus urticae on hops. J. Pest Sci. 2019, 92, 543–555. [Google Scholar] [CrossRef]
- Campos, F.; Krupa, D.; Dybas, R. Susceptibility of populations of twospotted spider mites (Acari: Tetranychidae) from Florida, holland, and the Canary Island to abamectin and characterization of abamectin resistance. J. Econ. Entomol. 1996, 89, 594–601. [Google Scholar] [CrossRef]
- Martínez-Ferrer, M.T.; Jacas, J.A.; Ripollés-Moles, J.L.; Aucejo-Romero, S. Approaches for sampling the twospotted spider mite (Acari: Tetranychidae) on clementines in Spain. J. Econ. Entomol. 2006, 99, 1490–1499. [Google Scholar] [CrossRef] [PubMed]
- EPPO. Workshop on Harmonized Dose Expression for the Zonal Evaluation of Plant Protection Products in High Growing Crops; Austrian Agency for Health and Food Safety (AGES): Vienna, Austria, 2016; Available online: https://www.eppo.int/MEETINGS/2016_meetings/wk_dose_expression (accessed on 18 November 2019).
- Cunningham, G.P.; Harden, J. Reducing spray volumes applied to mature citrus trees. Crop Prot. 1998, 17, 289–292. [Google Scholar] [CrossRef]
- SIAR. Sistema de Información Agroclimática para el Regadío de la Conselleria Valenciana d’Agricultura, Pesca, Alimentació i Aigua y el Ministerio de Agricultura, Pesca y Alimentación; IVIA: Moncada, Spain; Available online: http://riegos.ivia.es/ (accessed on 17 December 2019).







| Plot | Location | Area (ha) | Planting Pattern 1 (m) | Vegetation Density 2 (m2/m3) | Year | Canopy Dimensions 3 (m) | Canopy Volume 4 (m3) | Pruning Level | |
|---|---|---|---|---|---|---|---|---|---|
| Town | Geographic Coordinates | ||||||||
| P1 | Chiva | 39°26′32″ N 0°33′23″ W | 1.6 | 6 × 3 | 13.56 | 2016 | 2.51 × 4.33 × 3.08 | 17.53 | Normal |
| 2017 | 2.60 × 4.03 × 3.05 | 16.73 | |||||||
| P2 | Aldaia | 39°26′43″ N 0°32′18″ W | 0.8 | 7 × 2 | 11.56 | 2016 | 2.12 × 4.26 × 2.30 | 10.88 | Normal |
| 2017 | 2.04 × 3.70 × 2.19 | 8.66 | |||||||
| P3 | Sagunto | 39°39′14″ N 0°18′26″ W | 1.7 | 6.5 × 5 | 10.36 | 2017 | 1.93 × 3.10 × 3.16 | 9.90 | Severe |
| P4 | Alfauir | 38°56′46″ N 0°14′15″ W | 2 | 5.5 × 5 | 14.55 | 2017 | 2.19 × 4.17 × 4.40 | 20.99 | Normal |
| P5 | Alfauir | 38°56′56″ N 0°14′32″ W | 2.2 | 6 × 2 | 13.46 | 2017 | 2.08 × 2.85 × 2.10 | 6.50 | Normal |
| P6 | Llíria | 39°43′43″ N 0°35′28″ W | 1 | 6.5 × 2.5 | 15.09 | 2017 | 2.54 × 3.56 × 2.57 | 12.16 | Normal |
| P7 | Llíria | 39°43′58″ N 0°35′33″ W | 2.7 | 6.5 × 3.5 | 17.94 | 2017 | 2.43 × 4.74 × 3.72 | 22.49 | Normal |
| Plot | Tractor | Airblast Sprayer | Tank Capacity (L) | Number of Nozzles |
|---|---|---|---|---|
| P1 P2 | Landini REX 110 F | Ilemo-Hardi Arrow XF90 | 1500 | 38 |
| P3 | New Holland TN 95 FA | Mañez y Lozano Twister | 2000 | 30 |
| P4 P5 | SAME Frutteto3 100 Classic | Fede Futur | 1000 | 26 |
| P6 1 | Massey Ferguson 3655 F | Fede Futur | 3000 | 26 |
| John Deere 5090 GF | Fede Futur | 3000 | 26 | |
| John Deere 5090 GF | Fede Futur | 2000 | 26 | |
| P7 | Massey Ferguson 3655 F | Fede Futur | 3000 | 26 |
| Plot | Application Date | Pressure (bar) | Forward Speed (km/h) | Water Volume (L/ha) | Water Volume Reduction (%) | Air Flow Rate (m3/h) | Number of Open Nozzles | PPP Concentration (%) | PPP | Active Ingredient of PPP | |||
|---|---|---|---|---|---|---|---|---|---|---|---|---|---|
| VC | VA | VC | VA | VC | VA | ||||||||
| P1 | 27 July 2016 | 8 | 1.32 | 4905 | 3255 | 33.64 | 55,342 | 38 | 30 | 0.100 | Cal-Ex | Abamectin | |
| 0.040 | Movento 150 O-Teq | Spirotetramat | |||||||||||
| 0.023 | Envidor | Spirodiclofen 1 | |||||||||||
| 11 October 2016 | 8 | 1.32 | 4905 | 3255 | 33.64 | 55,342 | 38 | 30 | 0.100 | Cal-Ex | Abamectin 1 | ||
| 7 June 2017 | 8 | 1.32 | 4899 | 3487 | 28.82 | 74,894 | 38 | 30 | 0.267 | Dursban 48 | Chlorpyrifos | ||
| 0.100 | Stygma | Abamectin 1 | |||||||||||
| 24 July 2017 | 8 | 1.32 | 4899 | 3153 | 35.64 | 74,894 | 38 | 30 | 0.100 | Abasi EC | Abamectin | ||
| 0.023 | Envidor | Spirodiclofen 1 | |||||||||||
| 8 September 2017 | 8 | 1.32 | 4899 | 3153 | 35.64 | 74,894 | 38 | 30 | 0.400 | Reldan E | Chlorpyrifos-methyl | ||
| 0.100 | Dauparex | Abamectin | |||||||||||
| 0.023 | Envidor | Spirodiclofen 1 | |||||||||||
| P2 | 22 June 2016 | 8 | 1.73 | 3215 | 2476 | 22.99 | 55,342 | 38 | 30 | 0.100 | Cal-Ex | Abamectin | |
| 0.023 | Envidor | Spirodiclofen 1 | |||||||||||
| 9 August 2016 | 8 | 1.32 | 4204 | 2800 | 33.40 | 55,342 | 38 | 28 | 0.100 | Cal-Ex | Abamectin | ||
| 0.040 | Movento 150 O-Teq | Spirotetramat | |||||||||||
| 0.023 | Sento | Clofentezine 1 | |||||||||||
| 9 September 2016 | 8 | 1.73 | 3215 | 2476 | 22.99 | 55,342 | 38 | 30 | 0.100 | Stygma/Cal-Ex | Abamectin | ||
| 0.023 | Envidor | Spirodiclofen 1 | |||||||||||
| 22 August 2017 | 8 | 1.32 | 4199 | 2070 | 50.70 | 74,894 | 38 | 30 | 0.100 | Dauparex | Abamectin | ||
| 0.050 | Movento 150 O-Teq | Spirotetramat | |||||||||||
| 0.023 | Envidor | Spirodiclofen 1 | |||||||||||
| P3 | 23 June 2017 | 13 | 2.01 | 3395 | 1462 | 56.94 | 46,467 | 26 | 18 | 0.050 | Movento 150 O-Teq | Spirotetramat | |
| 0.030 | Borneo | Etoxazole 1 | |||||||||||
| 3 August 2017 | 13 | 2.01 | 2950 | 1502 | 49.08 | 46,467 | 26 | 18 | 0.025 | Envidor | Spirodiclofen 1 | ||
| P4 | 26 June 2017 | 10 | 1.96 | 4262 | 2998 | 29.66 | 69,385 | 26 | 18 | 0.060 | Movento Gold | Spirotetramat | |
| 0.035 | Comanche Plus | Tebufenpyrad 1 | |||||||||||
| 18 September 2017 | 10 | 1.96 | 4262 | 2998 | 29.66 | 69,385 | 26 | 18 | 0.020 | Envidor | Spirodiclofen 1 | ||
| P5 | 27 June 2017 | 10 | 1.96 | 3674 | 1811 | 50.71 | 69,385 | 24 | 16 | 0.060 | Movento Gold | Spirotetramat | |
| 0.035 | Comanche Plus | Tebufenpyrad 1 | |||||||||||
| 19 September 2017 | 10 | 1.96 | 3674 | 1811 | 50.71 | 69,385 | 24 | 16 | 0.020 | Envidor | Spirodiclofen 1 | ||
| P6 | 10 July 2017 | 10 | 1.24 | 4275 | 2567 | 39.95 | 82,644 | 26 | 22 | 0.100 | Abasi EC | Abamectin 1 | |
| 23 August 2017 | 11 | 1.26 | 3910 | 2493 | 36.24 | 82,644 | 22 | 22 | 0.100 | Dauparex | Abamectin | ||
| 0.025 | Envidor | Spirodiclofen 1 | |||||||||||
| 14 September 2017 | 9 | 1.05 | 4590 | 2514 | 45.23 | 77,512 | 24 | 22 | 0.100 | Dauparex | Abamectin | ||
| 0.035 | Comanche Plus | Tebufenpyrad 1 | |||||||||||
| P7 | 30 June 2017 | 11 | 8 | 1.42 | 3932 | 3290 | 16.33 | 82,644 | 26 | 26 | 0.067 | Comanche Plus | Tebufenpyrad 1 |
| 0.050 | Movento 150 O-Teq | Spirotetramat | |||||||||||
| 4 August 2017 | 10 | 1.43 | 3701 | 3246 | 12.29 | 82,644 | 26 | 26 | 0.100 | Dauparex | Abamectin | ||
| 0.023 | Envidor | Spirodiclofen 1 | |||||||||||
© 2019 by the authors. Licensee MDPI, Basel, Switzerland. This article is an open access article distributed under the terms and conditions of the Creative Commons Attribution (CC BY) license (http://creativecommons.org/licenses/by/4.0/).
Share and Cite
Fonte, A.; Garcerá, C.; Tena, A.; Chueca, P. CitrusVol Validation for the Adjustment of Spray Volume in Treatments against Tetranychus urticae in Clementines. Agronomy 2020, 10, 32. https://doi.org/10.3390/agronomy10010032
Fonte A, Garcerá C, Tena A, Chueca P. CitrusVol Validation for the Adjustment of Spray Volume in Treatments against Tetranychus urticae in Clementines. Agronomy. 2020; 10(1):32. https://doi.org/10.3390/agronomy10010032
Chicago/Turabian StyleFonte, Alberto, Cruz Garcerá, Alejandro Tena, and Patricia Chueca. 2020. "CitrusVol Validation for the Adjustment of Spray Volume in Treatments against Tetranychus urticae in Clementines" Agronomy 10, no. 1: 32. https://doi.org/10.3390/agronomy10010032
APA StyleFonte, A., Garcerá, C., Tena, A., & Chueca, P. (2020). CitrusVol Validation for the Adjustment of Spray Volume in Treatments against Tetranychus urticae in Clementines. Agronomy, 10(1), 32. https://doi.org/10.3390/agronomy10010032

