Phenylboronic Acid-Functionalized Layer-by-Layer Assemblies for Biomedical Applications
Abstract
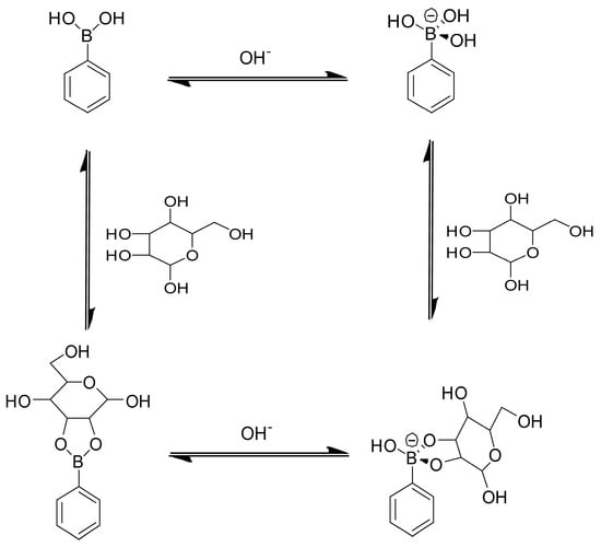
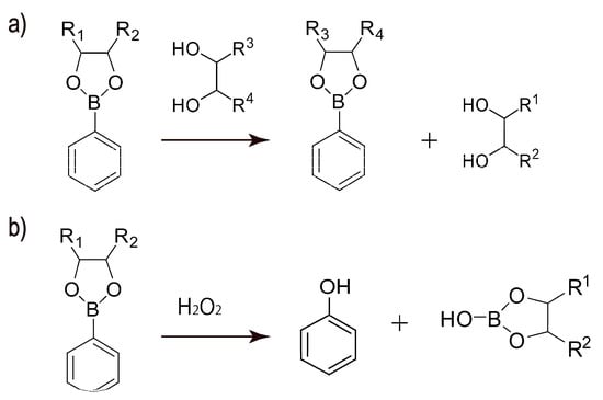
:1. Introduction
2. Stimuli-Sensitive LbL Assemblies
3. Biosensors and Biointerfaces
4. Drug Delivery Systems
5. Conclusions
Acknowledgments
Conflicts of Interest
References
- Pavlukhina, S.; Sukhishvili, S. Polymer assemblies for controlled delivery of bioactive molecules from surfaces. Adv. Drug Deliv. Rev. 2011, 63, 822–836. [Google Scholar] [CrossRef] [PubMed]
- Skorb, E.V.; Andreeva, D.V. Layer-by-layer approaches for formation of smart self-healing materials. Polym. Chem. 2013, 4, 4834–4845. [Google Scholar] [CrossRef]
- Zhai, L. Stimuli-responsive polymer films. Chem. Soc. Rev. 2013, 42, 7148–7160. [Google Scholar] [CrossRef] [PubMed]
- Cui, W.; Li, J.; Decher, G. Self-assembled smart nanocarriers for targeted drug delivery. Adv. Mater. 2016, 28, 1302–1311. [Google Scholar] [CrossRef] [PubMed]
- Oliveira, M.B.; Hatami, J.; Mano, J.F. Coating strategies using layer-by-layer deposition for cell encapsulation. Chem. Asian J. 2016, 11, 1753–1764. [Google Scholar] [CrossRef] [PubMed]
- Decher, G.; Hong, J.D.; Schmitt, J. Buildup of ultrathin multilayer films by a self-assembly process: III. Consecutively alternating adsorption of anionic and cationic polyelectrolytes on charged surfaces. Thin Solid Films 1992, 210–211, 831–835. [Google Scholar] [CrossRef]
- Decher, G. Fussy nanoassemblies: Toward layered polymeric multicomposites. Science 1997, 277, 1232–1237. [Google Scholar] [CrossRef]
- Onda, M.; Ariga, K.; Kunitake, T. Activity and stability of glucose oxidase in molecular films assembled alternated with polyions. J. Biosci. Bioeng. 1999, 87, 69–75. [Google Scholar] [CrossRef]
- Anzai, J.; Hoshi, T.; Nakamura, N. Construction of multilayer thin films containing avidin by a layer-by-layer deposition of avidin and poly(anion)s. Langmuir 2000, 16, 6306–6311. [Google Scholar] [CrossRef]
- Wang, B.; Anzai, J. Redox reactions of ferricyanide ions in layer-by-layer deposited polysaccharide films: A significant effect of the type of films. Langmuir 2007, 23, 7378–7384. [Google Scholar] [CrossRef] [PubMed]
- Crouzier, T.; Boudou, T.; Picart, C. Polysaccharide-based polyelectrolyte multilayers. Curr. Opin. Colloid Interface Sci. 2010, 15, 417–426. [Google Scholar] [CrossRef]
- Sato, H.; Anzai, J. Preparation of layer-by-layer thin films composed of DNA and ferrocene-bearing poly(amine)s and their redox properties. Biomacromolecules 2006, 7, 2072–2076. [Google Scholar] [CrossRef] [PubMed]
- Aytar, B.S.; Prausnitz, M.R.; Lynn, D.M. Rapid release of plasmid DNA from surfaces coated with polyelectrolyte multilayers promoted by the application of electrochemical potentials. ACS Appl. Mater. Interfaces 2012, 4, 2726–2734. [Google Scholar] [CrossRef] [PubMed]
- Picart, C.; Lavalle, P.; Hubert, P.; Cuisinier, F.J.G.; Decher, G.; Schaaf, P.; Voegel, J.C. Buildup mechanism for poly(l-lysine)/hyaluronic acid films onto a solid surface. Langmuir 2001, 17, 7414–7424. [Google Scholar] [CrossRef]
- Park, S.; Bhang, S.H.; La, W.; Seo, J.; Kim, B.; Char, K. Dual roles of hyaluronic acids in multilayer films capturing nanocarriers for drug-eluting coatings. Biomaterials 2012, 33, 5468–5477. [Google Scholar] [CrossRef] [PubMed]
- Sukhishvili, S.A.; Granick, S. Layered erasable polymer multilayers formed by hydrogen-bonded sequential self-assembly. Macromolecules 2002, 35, 301–310. [Google Scholar] [CrossRef]
- Kharlampieva, E.; Kozlovskaya, V.; Sukhishvili, S.A. Layer-by-layer hydrogen-bonded polymer films: From fundamentals to applications. Adv. Mater. 2009, 21, 3053–3065. [Google Scholar] [CrossRef]
- Tomita, S.; Sato, K.; Anzai, J. Layer-by-layer assembled thin films composed of carboxyl-terminated poly(amidoamine) dendrimer as a pH-sensitive nano-device. J. Colloid Interface Sci. 2008, 326, 35–40. [Google Scholar] [CrossRef] [PubMed]
- Vonhören, B.; Roling, O.; de Bruycher, K.; Calvo, R.; Du Prez, F.E.; Ravoo, B.J. Ultrafast layer-by-layer assembly of thin organic films based on triazolinedione click chemistry. ACS Macro Lett. 2015, 4, 331–334. [Google Scholar] [CrossRef]
- Zayas-Gonzalez, Y.M.; Lynn, D.M. Degradable amine-reactive coatings fabricated by the covalent layer-by-layer assembly of poly(2-vinyl-4,4-dimethylazlactone) with degradable polyamine building blocks. Biomacromolecules 2016, 17, 3067–3075. [Google Scholar] [CrossRef] [PubMed]
- Zelikin, A.N.; Quinn, J.F.; Caruso, F. Disulfide cross-linked polymer capsules: En route to biodeconstructible systems. Biomacromolecules 2006, 7, 27–30. [Google Scholar] [CrossRef] [PubMed]
- Camacho, C.; Matias, J.C.; Cao, R.; Matos, M.; Chico, B.; Hernamdez, J.; Longo, M.A.; Sanroman, M.A.; Villalonga, R. Hydrogen peroxide biosensor with a supramolecular layer-by-layer design. Langmuir 2008, 24, 7654–7657. [Google Scholar] [CrossRef] [PubMed]
- Li, J.; He, L.; Wang, J.; Zhang, Z.T.; Shi, J.; Zhang, X.Z.; Cao, Y.P.; Chen, Y. Light-controlled drug releasing polymer films combining LbL self-assembly and host-guest interactions. Express Polym. Lett. 2014, 8, 143–153. [Google Scholar] [CrossRef]
- Suzuki, I.; Egawa, Y.; Mizukawa, Y.; Hoshi, T.; Anzai, J. Construction of positively-charged layered assemblies assisted by cyclodextrin complexation. Chem. Commun. 2002. [Google Scholar] [CrossRef]
- Hoshi, T.; Akase, S.; Anzai, J. Preparation of multilayer thin films containing avidin through sugar—lectin interactions and their binding properties. Langmuir 2002, 18, 7024–7028. [Google Scholar] [CrossRef]
- Anzai, J.; Kobayashi, Y.; Suzuki, Y.; Takeshita, H.; Chen, Q.; Osa, T.; Hoshi, T.; Du, X. Enzyme sensors prepared by layer-by-layer deposition of enzymes on a platinum electrode through avidin—biotin interaction. Sens. Actuators B 1998, 52, 3–9. [Google Scholar] [CrossRef]
- Anzai, J.; Kobayashi, Y.; Hoshi, T.; Saiki, H. A layer-by-layer deposition of concanavalin A and glucose oxidase to form multilayer thin films for biosensor applications. Chem. Lett. 1999, 28, 365–366. [Google Scholar] [CrossRef]
- Yao, H.; Hu, N. pH-controllable on-off bioelectrocatalysis of bienzyme layer-by-layer films assembled by concanavalin A and glucoenzymes with an electroactive mediator. J. Phys. Chem. B 2010, 114, 9926–9933. [Google Scholar] [CrossRef] [PubMed]
- Donath, E.; Sukhorukov, G.B.; Caruso, F.; davis, S.A.; Möhwald, H. Novel hollow polymer shells by colloid-templated assembly of polyelectrolytes. Angew. Chem. Int. Ed. 1998, 37, 2201–2205. [Google Scholar] [CrossRef]
- Antipov, A.A.; Sukhorukov, G.B.; Leporatti, S.; Radtchenko, I.L.; Donath, E.; Möhwald, H. Polyelectrolyte multilayer capsule permeability control. Colloid Surf. A 2002, 198–200, 535–541. [Google Scholar] [CrossRef]
- De Mercato, L.L.; Ferraro, M.M.; Baldassarre, F.; Mancarella, S.; Greco, V.; Rinaldi, R.; Leporatti, S. Biological applications of LBL multilayer capsules: From drug delivery to sensing. Adv. Colloid Interface Sci. 2014, 207, 139–154. [Google Scholar] [CrossRef] [PubMed]
- Gregurec, D.; Olszyna, M.; Politakos, N.; Yate, L.; Dahne, L.; Moya, S.E. Stability of polyelectrolyte multilayers in oxidizing media: A critical issue for the development of multilayer based membranes for nanofiltration. Colloid Polym. Sci. 2015, 293, 381–388. [Google Scholar] [CrossRef]
- Huang, J.; Yang, Y.; Shi, H.; Song, Z.; Zhao, Z.; Anzai, J.; Osa, T.; Chen, Q. Multi-walled carbon nanotubes-based glucose biosensor prepared by layer-by-layer technique. Mater. Sci. Eng. C 2006, 26, 113–117. [Google Scholar] [CrossRef]
- Sato, K.; Takahashi, S.; Anzai, J. Layer-by-layer thin films and microcapsules for biosensors and controlled Release. Anal. Sci. 2012, 28, 929–938. [Google Scholar] [CrossRef] [PubMed]
- Sato, K.; Yoshida, K.; Takahashi, S.; Anzai, J. pH- and sugar-sensitive layer-by-layer films and microcapsules for drug delivery. Adv. Drug Deliv. Rev. 2011, 63, 809–821. [Google Scholar] [CrossRef] [PubMed]
- Ariga, K.; Ji, Q.; Nakanishi, W.; Hill, J.P. Thin film nanoarchitectonics. J. Inorg. Organomet. Polym. Mater. 2015, 25, 466–479. [Google Scholar] [CrossRef]
- Springsteen, G.; Wang, B. A detailed examination of boronic acid—Diol complexation. Tetrahedron 2002, 58, 5291–5300. [Google Scholar] [CrossRef]
- Yan, J.; Springsteen, G.; Deeter, S.; Wang, B. The relationship among pKa, pH and binding constants in the interactions between boronic acids and diols—It is not as simple as it appears. Tetrahedron 2004, 60, 11205–11209. [Google Scholar] [CrossRef]
- Van den Brittner, G.C.; Dubikovskaya, E.A.; Bertozzi, C.R.; Chang, C.J. In vivo imaging of hydrogen peroxide production in a murine tumor model with a chemoselective bioluminescent reporter. Proc. Natl. Acad. Sci. USA 2010, 107, 21316–21321. [Google Scholar] [CrossRef] [PubMed]
- Lux, C.G.; Joshi-Barr, S.; Nguyen, T.; Mahmoud, E.; Schopf, E.; Fomina, N.; Almutari, A. Biocompatible polymeric nanoparticles degrade and release cargo in response to biologically relevant levels of hydrogen peroxide. J. Am. Chem. Soc. 2012, 134, 15758–15764. [Google Scholar]
- Huang, Y.; Jiang, Y.; Fossey, J.S.; James, T.D.; Marken, F. Assembly of N-hexadecyl-pyridinium-4-boronic acid hexafluorophosphtate monolayer films with catechol sensing selectivity. J. Mater. Chem. 2010, 20, 8305–8310. [Google Scholar] [CrossRef]
- Hansen, J.S.; Christensen, J.B.; Petersen, J.F.; Hoeg-Jensen, T.; Norrild, J.C. Arylboronic acids: A diabetic eye on glucose sensing. Sens. Actuators B 2012, 161, 45–79. [Google Scholar] [CrossRef]
- Wang, B.; Du, X.; Anzai, J. Electrochemical biosensors based on ferroceneboronic acid and its derivatives: A review. Biosensors 2014, 4, 243–256. [Google Scholar] [CrossRef] [PubMed]
- Takahashi, S.; Anzai, J. Phenylboronic acid monolayer-modified electrodes sensitive to sugars. Langmuir 2005, 21, 5102–5107. [Google Scholar] [CrossRef] [PubMed]
- Lacina, K.; Skladal, P.; James, T.D. Boronic acids for sensing and other applications—A mini-review of papers published in 2013. Chem. Cent. J. 2014, 8, 60. [Google Scholar] [CrossRef] [PubMed]
- Sanjoh, M.; Miyahara, Y.; Kataoka, K.; Matsumoto, A. Phenylboronic acids-based diagnostics and therapeutic applications. Anal. Sci. 2014, 30, 111–117. [Google Scholar] [CrossRef] [PubMed]
- Wang, B.; Anzai, J. A facile electrochemical detection of hypochlorite ion based on ferrocene compounds. Int. J. Electrochem. Sci. 2015, 10, 3260–3268. [Google Scholar]
- Tsuchido, Y.; Fujiwara, S.; Hashimoto, T.; Hayashita, T. Development of supramolecular saccharide sensors based on cyclodextrin complexes and self-assembling systems. Chem. Pharm. Bull. 2017, 65, 318–325. [Google Scholar] [CrossRef] [PubMed]
- De Geest, B.G.; Jonas, A.M.; Demeester, J.; de Smedt, S.C. Glucose-responsive polyelectrolyte capsules. Langmuir 2006, 22, 5070–5074. [Google Scholar] [CrossRef] [PubMed]
- Levy, T.; Déjugnat, C.; Sukhorukov, G.B. Polymer microcapsules with carbohydrate-sensitive properties. Adv. Funct. Mater. 2008, 18, 1586–1594. [Google Scholar] [CrossRef]
- Ding, Z.; Guan, Y.; Zhang, Y.; Zhu, X.X. Layer-by-layer multilayer films linked with reversible boronate ester bonds with glucose-sensitivity under physiological conditions. Soft Matter 2009, 5, 2302–2309. [Google Scholar] [CrossRef]
- Wang, B.; Liu, Z.; Xu, Y.; Li, Y.; An, T.; Su, Z.; Peng, B.; Lin, Y.; Wang, Q. Construction of glycoprotein multilayers using the layer-by-layer assembly technique. J. Mater. Chem. 2012, 22, 17954–17960. [Google Scholar] [CrossRef]
- Zhang, D.; Yu, G.; Long, Z.; Yang, G.; Wang, B. Controllable layer-by-layer assembly of PVA and phenylboronic acid-derivatized chitosan. Carbohydr. Polym. 2016, 140, 228–232. [Google Scholar] [CrossRef] [PubMed]
- Mokhtari, H.; Pelton, R.; Jin, L. Polyvinylamine-G-galactose is a route to bioactivated silica surfaces. J. Colloid Interface Sci. 2014, 413, 86–91. [Google Scholar] [CrossRef] [PubMed]
- Watahiki, R.; Sato, K.; Suwa, K.; Niina, S.; Egawa, Y.; Seki, T.; Anzai, J. Multilayer films composed of phenylboronic acid-modified dendrimers sensitive to glucose under physiological conditions. J. Mater. Chem. B 2014, 2, 5809–5817. [Google Scholar] [CrossRef]
- Suwa, K.; Nagasaka, M.; Niina, S.; Egawa, Y.; Seki, T.; Anzai, J. Sugar response of layer-by-layer films composed of poly(vinyl alcohol) and poly(amidoamine) dendrimer bearing 4-carboxyphenylboronic acid. Colloid Polym. Sci. 2015, 293, 1043–1048. [Google Scholar] [CrossRef]
- Suwa, K.; Sato, K.; Anzai, J. Preparation of multilayer films consisting of glucose oxidase and poly(amidoamine) dendrimer and their stability. Colloid Polym. Sci. 2015, 293, 2713–2718. [Google Scholar] [CrossRef]
- Yoshida, K.; Suwa, K.; Anzai, J. Preparation of layer-by-layer films composed of polysaccharides and poly(amidoamine) dendrimer bearing phenylboronic acid and their pH- and sugar-dependent stability. Materials 2016, 9, 425. [Google Scholar] [CrossRef]
- Sato, F.; Anzai, J. Sugar-sensitive dendrimer films as a sacrificial layer for the preparation of freestanding multilayer films. Mater. Sci. Eng. C 2017, 72, 118–122. [Google Scholar] [CrossRef] [PubMed]
- Sato, K.; Takahashi, M.; Ito, M.; Abe, E.; Anzai, J. H2O2-induced decomposition of layer-by-layer films consisting of phenylboronic acid-bearing poly(allylamine) and poly(vinyl alcohol). Langmuir 2014, 30, 9247–9250. [Google Scholar] [CrossRef] [PubMed]
- Sato, K.; Takahashi, M.; Ito, M.; Abe, E.; Anzai, J. Glucose-induced decomposition of layer-by-layer films composed of phenylboronic acid-bearing poly(allylamine) and poly(vinyl alcohol) under physiological conditions. J. Mater. Chem. B 2015, 3, 7796–7802. [Google Scholar] [CrossRef]
- Rao, S.V.; Anderson, K.W.; Bachas, L.G. Controlled layer-by-layer immobilization of horseradish peroxidase. Biotechnol. Bioeng. 1999, 65, 389–396. [Google Scholar] [CrossRef]
- Anzai, J.; Kobayashi, Y. Construction of multilayer thin films of enzymes by means of sugar-lectin interactions. Langmuir 2000, 16, 2851–2856. [Google Scholar] [CrossRef]
- Calvo, E.J.; Forzani, E.; Otero, M. Gravimetric and viscoelastic changes during the oxidation-reduction of layer-by-layer self assembled enzyme multilayers wired by an Os-containing poly(allylamine) polymer. J. Electroanal. Chem. 2002, 538–539, 231–241. [Google Scholar] [CrossRef]
- Ferreyra, N.; Coche-Guérente, L.; Labbe, P. Construction of layer-by-layer self-assemblies of glucose oxidase and cationic polyelectrolyte onto glassy carbon electrodes and electrochemical study of the redox-mediated enzymatic activity. Electrochim. Acta 2004, 49, 477–484. [Google Scholar] [CrossRef]
- Zhang, S.; Yang, W.; Niu, Y.; Sun, C. Multilayered construction of glucose oxidase on gold electrodes based on layer-by-layer covalent attachment. Anal. Chim. Acta 2004, 523, 209–217. [Google Scholar] [CrossRef]
- Ma, Y.; Qian, L.; Huang, H.; Yang, X. Buildup of gold nanoparticle multilayer thin films based on the covalent-bonding interaction between boronic acids and polyols. J. Colloid Interface Sci. 2006, 295, 583–588. [Google Scholar] [CrossRef] [PubMed]
- Yao, H.; Chang, F.; Hu, N. pH-switchable bioelectrocatalysis based on layer-by-layer films assembled through specific boronic acid-diol recognition. Electrochim. Acta 2010, 55, 9185–9192. [Google Scholar] [CrossRef]
- Li, Z.; Konno, T.; Takai, M.; Ishihara, K. Fabrication of polymeric electron-transfer mediator/enzyme hydrogel multilayer on an Au electrode in a layer-by-layer process. Biosens. Bioelectron. 2012, 34, 191–196. [Google Scholar] [CrossRef] [PubMed]
- Schulz, C.; Nowak, S.; Fröhlich, R.; Ravoo, B.J. Covalent layer-by-layer assembly of redox active molecular multilayers on silicon (100) by photochemical thiol-ene chemistry. Small 2012, 8, 569–577. [Google Scholar] [CrossRef] [PubMed]
- Liu, A.; Anzai, J. Ferrocene-containing polyelectrolyte multilayer films: Effects of electrochemically inactive surface layers on the redox properties. Langmuir 2003, 19, 4043–4046. [Google Scholar] [CrossRef]
- Galbtaith, E.; James, T.D. Boron based anion receptors as sensors. Chem. Soc. Rev. 2010, 39, 3831–3842. [Google Scholar] [CrossRef] [PubMed]
- Guo, Z.; Shin, I.; Yoon, J. Recognition and sensing of various species using boronic acid derivatives. Chem. Commun. 2012, 48, 5956–5967. [Google Scholar] [CrossRef] [PubMed]
- Kajisa, T.; Sakata, T. Glucose-responsive hydrogel electrode for biocompatible glucose transistor. Sci. Technol. Adv. Mater. 2017, 18, 26–33. [Google Scholar] [CrossRef] [PubMed]
- Seki, T.; Namiki, M.; Egawa, Y.; Miki, R.; Juni, K.; Seki, T. Sugar-responsive pseudopolyrotaxane composed of phenylboronic acid-modified polyethylene glycol and γ-cyclodextrin. Materials 2015, 8, 1341–1349. [Google Scholar] [CrossRef]
- Shishkanova, T.V.; Fitl, P.; Král, V.; Barek, J. Nanoparticles functionalized with phenylboronic acid for the potentiometric detection of saccharides. J. Electroanal. Chem. 2016, 761, 106–111. [Google Scholar] [CrossRef]
- Takahashi, S.; Anzai, J. Voltammetric response of phenylborinic acid polymer-modified gold electrode to sugars. Sens. Lett. 2005, 3, 244–247. [Google Scholar] [CrossRef]
- Lacina, K.; Konfherf, M.; Novotnỳ, J.; Potĕšil, D.; Zdráhal, Z.; Skládal, P. Combining ferrocene, thiophene and a boronic acid: A hybrid ligand for reagentless electrochemical sensing of cis-diols. Tetrahedron Lett. 2014, 55, 3235–3238. [Google Scholar] [CrossRef]
- Takahashi, S.; Suzuki, I.; Nishiyama, T.; Arai, T.; Shiraishi, Y.; Anzai, J. Electrochemical response of ferrocene/phenylboronic acid-bearing benzoic acids to fructose and glucose. Bunseki Kagaku 2016, 65, 751–756. [Google Scholar] [CrossRef]
- Egawa, Y.; Gotoh, R.; Seki, T.; Anzai, J. Sugar response of boronic acid-substituted azobenzene dye-modified polymer. Mater. Sci. Eng. C 2009, 29, 115–118. [Google Scholar] [CrossRef]
- Takayoshi, W.; Imajo, M.; Ijima, M.I.; Suzuki, M.; Yamamoto, H.; Kanekiyo, Y. Multicolor saccharide-sensing chips created via layer-by-layer adsorption of boronic acid-containing polymers. Sens. Actuators B 2014, 192, 776–781. [Google Scholar] [CrossRef]
- Iwami, Y.; Yokozawa, T.; Takayoshi, W.; Kanekiyo, Y. Multicolor saccharide-sensing chips based on boronic acid-containing thin films showing stepwise release and binding of dyes. Talanta 2011, 85, 829–833. [Google Scholar] [CrossRef] [PubMed]
- Wu, H.; Jin, L. Assembly of alizarin red S/boric acid ultrathin films based on layered double hydroxide for fluorescence turn on detection of tiopronin. J. Mater. Chem. C 2016, 4, 3415–3421. [Google Scholar] [CrossRef]
- Zhang, X.; Guan, Y.; Zhang, Y. Ultrathin hydrogel films for rapid optical biosensing. Biomacromolecules 2012, 13, 92–97. [Google Scholar] [CrossRef] [PubMed]
- Choi, J.; Konno, T.; Matsuno, R.; Takai, M.; Ishihara, K. Surface immobilization of biocompatible phospholipid polymer multilayered hydrogel on titanium alloy. Colloids Surf. B Biointerfaces 2008, 67, 216–223. [Google Scholar] [CrossRef] [PubMed]
- Gao, B.; Konno, T.; Ishihara, K. A simple prodedure for the preparation of precise spatial multicellular phospholipid polymer hydrogels. Colloids Surf. B Biointerfaces 2013, 108, 345–351. [Google Scholar] [CrossRef] [PubMed]
- Gao, B.; Konno, T.; Ishihara, K. Quantitating distance-dependent, indirect cell-cell interactions with a multilayered phospholipid polymer hydrogel. Biomaterials 2014, 35, 2181–2187. [Google Scholar] [CrossRef] [PubMed]
- Gao, B.; Konno, T.; Ishihara, K. Fabrication of a live cell-containing membrane with micrometer-scale thickness to evaluate pharmaceutical activity. J. Biomater. Sci. Polym. Ed. 2015, 26, 1372–1385. [Google Scholar] [CrossRef] [PubMed]
- Hujaya, S.D.; Engbersen, J.F.; Paulusse, J.M.J. Multilayered thin films from boronic acid-functional poly(amido amine)s. Pharm. Res. 2015, 32, 3066–3086. [Google Scholar] [CrossRef] [PubMed]
- Yoshida, K.; Sato, K.; Anzai, J. Layer-by-layer polyelectrolyte films containing insulin for pH-triggered release. J. Mater. Chem. 2010, 20, 1546–1552. [Google Scholar] [CrossRef]
- Ariga, K.; Lvov, Y.M.; Kawakami, K.; Ji, Q.; Hill, J.P. Layer-by-layer self-assembled shells for drug delivery. Adv. Drug Deliv. Rev. 2011, 63, 762–771. [Google Scholar] [CrossRef] [PubMed]
- Such, G.K.; Johnston, A.P.R.; Caruso, F. Engineered hydrogen-bonded polymer multilayers: From assembly to biomedical applications. Chem. Soc. Rev. 2011, 40, 19–29. [Google Scholar] [CrossRef] [PubMed]
- Wohl, B.M.; Engbersen, J.F.J. Responsive layer-by-layer materials for drug delivery. J. Control. Release 2012, 158, 2–14. [Google Scholar] [CrossRef] [PubMed]
- Ruttala, H.B.; Ramasamy, T.; Shin, B.S.; Choi, H.; Yong, C.S.; Kim, J.O. Layer-by-layer assembly of hierarchical nanoarchitectures to enhance the systemic performance of nanoparticle albumin-bound paclitaxel. Int. J. Pharm. 2017, 519, 11–21. [Google Scholar] [CrossRef] [PubMed]
- Keeney, M.; Jiang, X.Y.; Yamane, M.; Lee, M.; Goodman, S.; Yang, F. Nanocoating for biomolecule delivery using layer-by-layer self-assembly. J. Mater. Chem. B 2015, 3, 8757–8770. [Google Scholar] [CrossRef] [PubMed]
- Yu, W.; Chen, Y.; Mao, Z. Hollow polyelectrolyte microcapsules as advanced drug delivery carries. J. Nanosci. Nanotechnol. 2016, 16, 5435–5446. [Google Scholar] [CrossRef] [PubMed]
- Sato, K.; Imoto, Y.; Sugama, J.; Seki, S.; Inoue, H.; Odagiri, T.; Hoshi, T.; Anzai, J. Sugar-induced disintegration of layer-by-layer assemblies composed of concanavalin A and glycogen. Langmuir 2005, 21, 797–799. [Google Scholar] [CrossRef] [PubMed]
- Qj, W.; Yan, X.; Duan, L.; Cui, Y.; Yang, Y.; Li, J. Glucose-sensitive microcapsule from glutaraldehyde cross-linked hemoglobin and glucose oxidase. Biomacromolecules 2009, 10, 1212–1216. [Google Scholar]
- Sato, K.; Kodama, D.; Endo, Y.; Anzai, J. Preparation of insulin-containing microcapsules by a layer-by-layer deposition of concanavalin A and glycogen. J. Nanosci. Nanotechnol. 2009, 9, 386–390. [Google Scholar] [CrossRef] [PubMed]
- Sato, K.; Kodama, D.; Endo, Y.; Yoshida, K.; Anzai, J. Sugar-sensitive polyelectrolyte microcapsules containing insulin. Kobunshi Ronbunshu 2010, 67, 544–548. [Google Scholar] [CrossRef]
- Guo, H.; Guo, Q.; Chu, T.; Zhang, X.; Wu, Z.; Yu, D. Glucose-sensitive polyelectrolyte nanocapsules based on layer-by-layer technique for protein drug delivery. J. Mater. Sci. Mater. Med. 2014, 25, 121–129. [Google Scholar] [CrossRef] [PubMed]
- Shi, D.; Ran, M.; Huang, H.; Zhang, L.; Li, X.; Chen, M.; Akashi, M. Preparation of glucose responsive polyelectrolyte capsules with shell crosslinking via the layer-by-layer technique and sustained release of insulin. Polym. Chem. 2016, 7, 6779–6788. [Google Scholar] [CrossRef]
- Zhang, X.; Guan, Y.; Zhang, Y. Dynamically bonded layer-by-layer films for self-regulated insulin release. J. Mater. Chem. 2012, 22, 16299–16305. [Google Scholar] [CrossRef]
- Ding, Z.; Guan, Y.; Zhang, Y.; Zhu, X.X. Synthesis of glucose-sensitive self-assembled films and their application in controlled drug delivery. Polymer 2009, 50, 4205–4211. [Google Scholar] [CrossRef]
- Manna, U.; Patil, S. Glucose-triggered drug delivery from borate mediated layer-by-layer self-assembly. ACS Appl. Mater. Interfaces 2010, 2, 1521–1527. [Google Scholar] [CrossRef] [PubMed]
- Zhao, Y.; Yuan, Q.; Li, C.; Guan, Y.; Zhang, Y. Dynamic layer-by-layer films: A platform for zero-order release. Biomacromolecules 2015, 16, 2032–2039. [Google Scholar] [CrossRef] [PubMed]
- Choi, J.; Konno, T.; Takai, M.; Ishihara, K. Controlled drug release from multilayered phospholipid polymer hydrogel on titanium alloy surface. Biomaterials 2009, 30, 5201–5208. [Google Scholar] [CrossRef] [PubMed]
- Choi, J.; Konno, T.; Takai, M.; Ishihara, K. Regulation of cell proliferation by multi-layered phospholipid polymer hydrogel coatings through controlled release of paclitaxel. Biomaterials 2012, 33, 954–961. [Google Scholar] [CrossRef] [PubMed]









© 2017 by the authors. Licensee MDPI, Basel, Switzerland. This article is an open access article distributed under the terms and conditions of the Creative Commons Attribution (CC BY) license (http://creativecommons.org/licenses/by/4.0/).
Share and Cite
Wang, B.; Yoshida, K.; Sato, K.; Anzai, J.-i. Phenylboronic Acid-Functionalized Layer-by-Layer Assemblies for Biomedical Applications. Polymers 2017, 9, 202. https://doi.org/10.3390/polym9060202
Wang B, Yoshida K, Sato K, Anzai J-i. Phenylboronic Acid-Functionalized Layer-by-Layer Assemblies for Biomedical Applications. Polymers. 2017; 9(6):202. https://doi.org/10.3390/polym9060202
Chicago/Turabian StyleWang, Baozhen, Kentaro Yoshida, Katsuhiko Sato, and Jun-ichi Anzai. 2017. "Phenylboronic Acid-Functionalized Layer-by-Layer Assemblies for Biomedical Applications" Polymers 9, no. 6: 202. https://doi.org/10.3390/polym9060202
APA StyleWang, B., Yoshida, K., Sato, K., & Anzai, J.-i. (2017). Phenylboronic Acid-Functionalized Layer-by-Layer Assemblies for Biomedical Applications. Polymers, 9(6), 202. https://doi.org/10.3390/polym9060202

