Electrical, Mechanical, and Thermal Properties of LDPE Graphene Nanoplatelets Composites Produced by Means of Melt Extrusion Process
Abstract
:1. Introduction
2. Materials and Methods
2.1. Materials
2.2. Materials Processing
2.2.1. Precoating Technique
2.2.2. Melt Extrusion and Film Casting
2.3. Characterization Techniques
2.3.1. Scanning Electron Microscopy, SEM
2.3.2. Thermogravimetric Analysis, TGA
2.3.3. Differential Scanning Calorimetry, DSC
2.3.4. Mechanical Properties
2.3.5. Electrical Conductivity
2.3.6. Dielectric Response in Frequency Domain
3. Results and Discussion
3.1. Morphology
3.2. Thermal Stability
3.3. Crystallinity
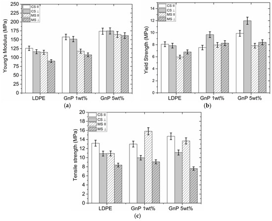
3.4. Mechanical Properties
3.5. Electrical Properties
3.5.1. DC Conductivity
3.5.2. Dielectric Response
4. Conclusions
Acknowledgments
Author Contributions
Conflicts of Interest
References
- Mazzanti, G.; Marzinotto, M. Improved design of HVDC extruded cable systems. In Extruded Cables for High-Voltage Direct-Current Transmission: Advances in Research and Development; El-Hawary, M.E., Ed.; John Wiley & Sons, Inc.: Hoboken, NJ, USA, 2013; pp. 209–263. [Google Scholar]
- Christen, T.; Donzel, L.; Greuter, F. Nonlinear resistive electric field grading part 1: Theory and simulation. IEEE Electr. Insul. Mag. 2010, 26, 47–59. [Google Scholar] [CrossRef]
- Donzel, L.; Greuter, F.; Christen, T. Nonlinear resistive electric field grading part 2: Materials and applications. IEEE Electr. Insul. Mag. 2011, 27, 18–29. [Google Scholar] [CrossRef]
- Schadler, L.S.; Wang, X.; Nelson, J.K.; Hillborg, H. Non-linear field grading materials and carbon nanotube nanocomposites with controlled conductivity. In Dielectric Polymer Nanocomposites; Nelson, K.J., Ed.; Springer: Boston, MA, USA, 2010; pp. 259–284. [Google Scholar]
- Mittal, G.; Dhand, V.; Rhee, K.Y.; Park, S.-J.; Lee, W.R. A review on carbon nanotubes and graphene as fillers in reinforced polymer nanocomposites. J. Ind. Eng. Chem. 2015, 21, 11–25. [Google Scholar] [CrossRef]
- Saravanan, N.; Rajasekar, R.; Mahalakshmi, S.; Sathishkumar, T.P.; Sasikumar, K.S.K.; Sahoo, S. Graphene and modified graphene-based polymer nanocomposites—A review. J. Reinf. Plast. Compos. 2014, 33, 1158–1180. [Google Scholar] [CrossRef]
- Ariño, R.; Álvarez, E.; Rigdahl, M. Enhancing the electrical conductivity of carbon black/graphite nanoplatelets: Poly(ethylene-butyl acrylate) composites by melt extrusion. J. Appl. Polym. Sci. 2016, 133, 42897–42904. [Google Scholar] [CrossRef]
- Jiang, X.; Drzal, L.T. Reduction in percolation threshold of injection molded high-density polyethylene/exfoliated graphene nanoplatelets composites by solid state ball milling and solid state shear pulverization. J. Appl. Polym. Sci. 2012, 124, 525–535. [Google Scholar] [CrossRef]
- Pang, H.; Chen, T.; Zhang, G.; Zeng, B.; Li, Z.-M. An electrically conducting polymer/graphene composite with a very low percolation threshold. Mater. Lett. 2010, 64, 2226–2229. [Google Scholar] [CrossRef]
- Das, T.K.; Prusty, S. Graphene-based polymer composites and their applications. Polym. Plast. Technol. Eng. 2013, 52, 319–331. [Google Scholar] [CrossRef]
- Kim, H.; Kobayashi, S.; AbdurRahim, M.A.; Zhang, M.J.; Khusainova, A.; Hillmyer, M.A.; Abdala, A.A.; Macosko, C.W. Graphene/polyethylene nanocomposites: Effect of polyethylene functionalization and blending methods. Polymer 2011, 52, 1837–1846. [Google Scholar] [CrossRef]
- Kuilla, T.; Bhadra, S.; Yao, D.; Kim, N.H.; Bose, S.; Lee, J.H. Recent advances in graphene based polymer composites. Prog. Polym. Sci. 2010, 35, 1350–1375. [Google Scholar] [CrossRef]
- Song, K.; Zhang, Y.; Meng, J.; Green, E.C.; Tajaddod, N.; Li, H.; Minus, M.L. Structural polymer-based carbon nanotube composite fibers: Understanding the processing–structure–performance relationship. Materials 2013, 6, 2543–2577. [Google Scholar] [CrossRef]
- Kim, H.; Abdala, A.A.; Macosko, C. Graphene/polymer nanocomposites. Macromolecules 2010, 43, 6515–6530. [Google Scholar] [CrossRef]
- Kalaitzidou, K.; Fukushima, H.; Askeland, P.; Drzal, L.T. The nucleating effect of exfoliated graphite nanoplatelets and their influence on the crystal structure and electrical conductivity of polypropylene nanocomposites. J. Mater. Sci. 2008, 43, 2895–2907. [Google Scholar] [CrossRef]
- Kalaitzidou, K.; Fukushima, H.; Drzal, L.T. A new compounding method for exfoliated graphite–polypropylene nanocomposites with enhanced flexural properties and lower percolation threshold. Compos. Sci. Technol. 2007, 67, 2045–2051. [Google Scholar] [CrossRef]
- Jiang, X.; Drzal, L.T. Improving electrical conductivity and mechanical properties of high density polyethylene through incorporation of paraffin wax coated exfoliated graphene nanoplatelets and multi-wall carbon nano-tubes. Compos. Part A Appl. Sci. Manuf. 2011, 42, 1840–1849. [Google Scholar] [CrossRef]
- Kim, S.; Do, I.; Drzal, L.T. Thermal stability and dynamic mechanical behavior of exfoliated graphite nanoplatelets-lldpe nanocomposites. Polym. Compos. 2010, 31, 755–761. [Google Scholar] [CrossRef]
- Osswald, T.; Menges, G. Material Science of Polymers for Engineers; Hanser Publications: Munich, Germany, 2012. [Google Scholar]
- Borhani Zarandi, M.; Amrollahi Bioki, H. Thermal and mechanical properties of blends of LDPE and EVA crosslinked by electron beam radiation. Eur. Phys. J. Appl. Phys. 2013, 63, 21101. [Google Scholar] [CrossRef]
- Wang, S.-J.; Zha, J.-W.; Li, W.-K.; Dang, Z.-M. Distinctive electrical properties in sandwich-structured Al2O3/low density polyethylene nanocomposites. Appl. Phys. Lett. 2016, 108, 092902. [Google Scholar] [CrossRef]
- Pallon, L.K.H.; Hoang, A.T.; Pourrahimi, A.M.; Hedenqvist, M.S.; Nilsson, F.; Gubanski, S.; Gedde, U.W.; Olsson, R.T. The impact of MgO nanoparticle interface in ultra-insulating polyethylene nanocomposites for high voltage dc cables. J. Mater. Chem. A 2016, 4, 8590–8601. [Google Scholar] [CrossRef]
- Pourrahimi, A.M.; Hoang, T.A.; Liu, D.; Pallon, L.K.H.; Gubanski, S.; Olsson, R.T.; Gedde, U.W.; Hedenqvist, M.S. Highly efficient interfaces in nanocomposites based on polyethylene and ZnO nano/hierarchical particles: A novel approach toward ultralow electrical conductivity insulations. Adv. Mater. 2016, 28, 8651–8657. [Google Scholar] [CrossRef] [PubMed]
- Hoang, A.; Pallon, L.; Liu, D.; Serdyuk, Y.; Gubanski, S.; Gedde, U. Charge transport in LDPE nanocomposites part I—Experimental approach. Polymers 2016, 8, 87. [Google Scholar] [CrossRef]
- Hoang, A.; Serdyuk, Y.; Gubanski, S. Charge transport in LDPE nanocomposites part II—Computational approach. Polymers 2016, 8, 103. [Google Scholar] [CrossRef]
- Jing, Z.; Li, C.; Zhao, H.; Zhang, G.; Han, B. Doping effect of graphene nanoplatelets on electrical insulation properties of polyethylene: From macroscopic to molecular scale. Materials 2016, 9, 680. [Google Scholar] [CrossRef]
- Wang, Z.; Nelson, J.K.; Hillborg, H.; Zhao, S.; Schadler, L.S. Graphene oxide filled nanocomposite with novel electrical and dielectric properties. Adv. Mater. 2012, 24, 3134–3137. [Google Scholar] [CrossRef] [PubMed]











| Graphene nanoplatelets: xGnP M5 | Low density polyethylene | ||
|---|---|---|---|
| Surface Area (m2/g) | 120–160 | Mw | 91,641 |
| Average diameter—dave (µm) | 25 | Mw/Mn | 7.552 |
| Thickness (nm) | 6–8 | Tm (°C) | 110.62 |
| Density ρ (g·cm−3) | 2.2 | Tc (°C) | 94.09 |
| Screw type | Filler content (wt %) | Name of sample | |
|---|---|---|---|
| Samples | CS | 1 | 1 wt %_CS |
| 5 | 5 wt %_CS | ||
| Pure LDPE | LDPE CS | ||
| MS | 1 | 1 wt %_MS | |
| 5 | 1 wt %_MS | ||
| Pure LDPE | LDPE MS |
| Sample | Tc (°C) Crystallization temperature | ΔHc (J/g) Crystallization enthalpy | Tm (°C) Melting temperature | ΔHm (J/g) Melting enthalpy | χc (%) Crystallinity degree |
|---|---|---|---|---|---|
| LDPE-CS | 98.15 | 132.52 | 110.62 | 134.52 | 45.91 |
| LDPE_GnP_1 wt % CS | 103.61 | 124.31 | 110.84 | 131.70 | 44.95 |
| LDPE_GnP_5 wt % CS | 103.82 | 126.47 | 107.98 | 134.60 | 45.94 |
| LDPE-MS | 99.59 | 124.37 | 107.79 | 128.39 | 43.82 |
| LDPE_GnP_1 wt % MS | 98.60 | 118.03 | 106.91 | 123.34 | 42.10 |
| LDPE_GnP_5 wt % MS | 99.35 | 117.63 | 106.52 | 116.55 | 39.78 |
© 2017 by the authors. Licensee MDPI, Basel, Switzerland. This article is an open access article distributed under the terms and conditions of the Creative Commons Attribution (CC-BY) license ( http://creativecommons.org/licenses/by/4.0/).
Share and Cite
Gaska, K.; Xu, X.; Gubanski, S.; Kádár, R. Electrical, Mechanical, and Thermal Properties of LDPE Graphene Nanoplatelets Composites Produced by Means of Melt Extrusion Process. Polymers 2017, 9, 11. https://doi.org/10.3390/polym9010011
Gaska K, Xu X, Gubanski S, Kádár R. Electrical, Mechanical, and Thermal Properties of LDPE Graphene Nanoplatelets Composites Produced by Means of Melt Extrusion Process. Polymers. 2017; 9(1):11. https://doi.org/10.3390/polym9010011
Chicago/Turabian StyleGaska, Karolina, Xiangdong Xu, Stanislaw Gubanski, and Roland Kádár. 2017. "Electrical, Mechanical, and Thermal Properties of LDPE Graphene Nanoplatelets Composites Produced by Means of Melt Extrusion Process" Polymers 9, no. 1: 11. https://doi.org/10.3390/polym9010011
APA StyleGaska, K., Xu, X., Gubanski, S., & Kádár, R. (2017). Electrical, Mechanical, and Thermal Properties of LDPE Graphene Nanoplatelets Composites Produced by Means of Melt Extrusion Process. Polymers, 9(1), 11. https://doi.org/10.3390/polym9010011

