Abstract
The latest techniques used to prove, describe and analyze the gas phase activity of a fire retardant used in polymeric materials are briefly reviewed. Classical techniques, such as thermogravimetric analysis or microscale combustion calorimetry, as well as complex and advanced analytical techniques, such as modified microscale combustion calorimeter (MCC), molecular beam mass spectroscopy and vacuum ultra violet (VUV) photoionization spectroscopy coupled with time of flight MS (TOF-MS), are described in this review. The recent advances in analytical techniques help not only in determining the gas phase activity of the flame-retardants but also identify possible reactive species responsible for gas phase flame inhibition. The complete understanding of the decomposition pathways and the flame retardant activity of a flame retardant system is essential for the development of new eco-friendly-tailored flame retardant molecules with high flame retardant efficiency.
1. Introduction
In the last decade a major increase in fire protection requirements of polymeric products has led to the development of new flame-retardants. Additionally due to the toxicity concerns of halogen-containing flame retardants, such as polybrominated diphenyl ethers, tris(1-chloro-2-propyl) phosphate (TCPP) and tris(1,3-dichloro-2-propyl) phosphate (TDCPP), the chemical industry had to seek eco-friendly substitutes. A large number of these new flame retardants are gas phase active systems [1].
Determining the activity of a flame retardant is essential for designing new effective and eco-friendly flame-retardants. Therefore, a growing number of studies are focused on the understanding of gas phase active flame-retardants. It is very difficult to monitor and identify the decomposition pathways of flame-retardants in gas phase. Some methods have recently been developed in order to analyze and quantify the decomposition products of a flame retardant in a polymeric matrix [2,3,4,5,6,7,8,9,10,11,12,13,14,15,16,17,18,19]. With emerging analytical techniques, it has become possible to get a better understanding of the mode of action of flame-retardants. There is an increasing need to identify the transient species produced during a fire, in particular, the gas phase radical reactive species [3,11,20,21].
Another aspect of interest is the toxicity related to volatiles released during the thermal decomposition of these additives and polymers matrix. The toxicity of smoke is a function of its composition, which reflects both the material composition being burnt and the fire conditions [22]. However, fire can lead to harm to people in three main ways: effects of heat spreading, production of smoke and generation of toxic products. Even though a flame retardant can be described as nontoxic, it can release toxic byproducts during thermal decomposition there is a growing interest in the scientific community in determining the toxic species released in a fire because this knowledge could serve as the basis for future design of harmless and efficient flame retardants [23].
Here, we briefly review the traditional and modern analytical techniques that are used to investigate the gas phase action of flame-retardants. The reported gas phase active species of some new flame retardant systems are also summarized. These techniques facilitate understanding of the decomposition pathways of flame-retardants. Combination of different techniques can lead to the complete understanding of the activity of flame-retardants in real fire conditions. This understanding can be correlated with the positive results in various fire tests [24].
2. Summary of Gas Phase Flame Retardant Activity
The activities of flame retardant additives in the gas phase involve interference with the combustion processes, resulting in the reduction in the flame propagation and the amount of heat returned to materials [10,25]. However, the inhibition property of flame suppressants in the gas phase is influenced by flame and properties of inhibitors as well [26]. The main mechanism of flame retardation in the gas phase involves inert gas dilution and chemical quenching of active radicals. The former (dilution effect) refers to the release of non-combustible vapors during combustion, diluting the oxygen supply to the flame or diluting the fuel concentration to below the flammability limit. Mostly, metal hydroxide and carbonate additives function in this way (Equations (1) and (2)) [16,19,27,28]. Their thermal decomposition is endothermic and produces large amounts of non-combustible gasses, such as H2O and CO2.
On the other hand, radical reaction involves decomposition of the flame-retardant into radical trapping species that quench H• and •OH, the principle flame-propagating radicals to terminate the exothermic reactions of the combustion cycle. Depending on the chemical nature of the additive, the mode of inhibition in the gas phase may differ.
As one of the most widely used flame retardants, halogen-containing additives (RX) act by interfering with the combustion cycle in the gas phase, where the key combustion radicals (•OH and H•) are removed by decomposed halogenated species (Equations (3)–(6)) thus effectively interfering in their oxidation [19,29]. As a result, the effective flame retardant species is HX, which is replaced with the less reactive X• and regenerated by chemical equation (4). The difference of effectiveness of halogen-containing flame retardants has been attributed to the rate of Equations (5) and (6) [30]. Accordingly, the order of halogen effectiveness is F < Cl < Br ≈ I.
Antimony oxide is commonly used as a synergist with halogen-based flame-retardants. Antimony oxide works in the gas phase by facilitating the transfer of halogen and antimony into the gas phase for flame inhibition. It has been proposed that antimony oxide gets converted to volatile antimony species, acting as an effective radical species that interrupt the combustion cycle. The sequence of reactions is proposed as the following steps [31,32].
However, the synergism between antimony oxide and aluminum phosphinate was investigated for poly(3-hydroxy-butyrate-co-3-hydroxyvalerate)/(poly(butyleneadipate-co-terephthalate) (PHBV/PBAT) [33]. A similar study was reported recently for poly(ethylene terephthalate), proving the condensed phase action of such systems [34]. It was reported that presence of a metal oxide stabilizes the intermediate pyrolysis products, promoting cross-linking reactions between the polymer chains. Despite the past extensive experimental and modeling work on understanding the gas phase action of flame-retardants, increasing number of new studies trying to establish mechanistic details can be found. The insight into the gas-phase flame retardant activities has been mostly proposed from studies of different phosphorus compounds added to purely gaseous flames. In 1960, the early fundamental investigations began with a modeling study on the influence of PH3 on the recombination of hydrogen atoms in a hydrogen flame [35], followed by others that described the destruction chemistry of some organophosphorus compounds (OPCs) in low pressure H2/O2 flame [36]. Moreover, the effect of phosphorus oxides on recombination of H• and •OH species was investigated in presence of PH3 [37,38]. Subsequent kinetic studies proposed that the radical phosphorus species such as PO•, PO2• and OHPO• are key flame inhibitors [1,15,39,40]. In general, the sequence of reactions includes the following steps.
Several other studies have demonstrated that sulfur species can also provide a degree of inhibition of H• and •OH in the flame. The catalytic cycle for flame inhibition by SO2 was investigated [41,42]. However, it was found that the HSO2/HSO3 system is responsible for removal of H• and •OH species in flame.
The way in which the additives are released to the flame or the potential heat source is crucial. Additionally, it is also important that the additive should be released at the right stage of thermal decomposition of the polymer. Therefore, a strong flame-retardant action in the gas phase can generally be attributed to similar vaporization/decomposition temperatures and the release of effective radical scavengers in high concentration [17].
It has been reported that certain metallic compounds can also be effective as radical quenchers for flame inhibition. Studies based on a series of metallic inhibitors suggested a catalytic effect on radical recombination rates and effectiveness in reducing the burning velocity of the flame. The pronounced effect of transition metal elements, such as Cr, Mn, Sn, U and Ba on the recombination of H atoms in fuel has been reported. A mode of action was proposed based on the following equations, where X and M are any third body and metal center, respectively [43].
A universal ranking of inhibition efficiency for alkane combustion has been proposed. Metallic compounds containing an iron atom were shown to be effective flame inhibitors (within certain content range of 0.3%–2%), according to the reaction cycle in Scheme 1 [44,45,46,47,48].
Scheme 1.
Proposed reaction pathways of Fe in flame inhibition [47].
Scheme 1.
Proposed reaction pathways of Fe in flame inhibition [47].

However, it was reported that manganese- and tin-containing compounds were found to be more effective in comparison to Fe(CO)5 [49]. Once tin-containing compounds decompose, tin atoms react quickly with O2, which leads to formation of SnO. Formation of SnO was found to be faster than the analogous reaction of an iron atom, which undergoes transformation as depicted in Equation (24).
3. Gas Phase Active FRs for Polymeric Systems
The toxicity induced by some of the halogenated flame-retardants used in the past has led researchers to seek new gas phase active flame-retardants, which are not only efficient but also eco-friendly. To understand the mode of action of a gas phase active flame retardant or to evaluate its toxicity, several analytical techniques can be used. Taken alone, none of them can depict the complete scheme of action of a flame retardant but combining data obtained from different techniques can allow identification of the active species as well as the efficiency of an additive. Among the techniques used to determine the gas phase activity of flame-retardants, hyphenated techniques, such as TGA derivatives (thermogravimetric analysis) and Py-GC (pyrolysis-gas chromatography), are the most commonly used. As flame-retardant research is evolving, it is necessary to review the analytical techniques used in the last decade to elucidate the gas phase activity of flame-retardants.
3.1. Coupled Thermal Techniques (TGA-MS/FTIR)
Thermogravimetric analysis is the most commonly used analysis technique for evaluating the thermal stability of a material. In a controlled atmosphere, the mass of a sample is measured as a function of temperature (or time) [50]. The thermal behavior of a polymer can be affected by the incorporation of an additive (e.g., flame retardant). Thereby, TGA analysis is a fast and efficient way to analyze the effect of the additive on the polymer matrix [14,51,52,53]. However, TGA analysis alone is not enough to detect species evolved during the thermal decomposition of material. However, it can be used as a first indicator of a char-promoting flame-retardant system [6].
Coupling TGA with analytical techniques (TGA- evolved gas analysis or TGA-EGA), such as mass spectroscopy (MS) or Fourier transformation infrared spectroscopy (FTIR), can permit detection of molecules formed by an additive alone or by a polymer-additive mixture. During the TGA measurement, the generated gases are transported from the TGA device to an analyzer (FTIR or MS) via a heated transfer line.
Combination of TGA with FTIR spectrometry has been used to qualitatively track the thermal decomposition of polymers [8,54,55,56,57,58]. The degradation pathway of poly(methyl methacrylate) (PMMA) alone as well as flame retarded, containing phosphorus-based additive and other flame retardant additives has been investigated [58,59,60]. To increase the thermal stability of a polymer, additives either prevent the initial decomposition of the polymer or react with the first decomposition products and quench the reaction sequence. The impact of the introduction of a metal chloride or Nafion-H in the PMMA matrix has been studied [58,61]. During the polymer decomposition, small flammable and reactive fragments are formed. The flame-retardants (metal chloride or Nafion, sulfonated tetrafluoroethylene based fluoropolymer-copolymer) quench these reactive species (Scheme 2), reducing the polymer flammability.
Scheme 2.
Proposed pathways for stabilization of tertiary radical of poly(methyl methacrylate) (PMMA) by metal halides or stabilizing radicals [58,60,61].
Scheme 2.
Proposed pathways for stabilization of tertiary radical of poly(methyl methacrylate) (PMMA) by metal halides or stabilizing radicals [58,60,61].

TGA-FTIR and TGA-MS have been used to investigate the thermal degradation of polyvinyl chloride (PVC) filled with an inorganic flame retardant [62]. Pure PVC does not require any flame retardant additives due to its self-extinguishing property. Nonetheless, when a plasticizer is added to the matrix (e.g., dioctylphtalate, DOP), an additional flame retardant is necessary. However, adding ferrites to the mixture increased the overall LOI value from 24.8% to 28.5% and reduced the smoke. Production of HCl, CO2 and benzene was monitored using TGA-MS and TGA-FTIR techniques during the decomposition of PVC. For example, addition of CuFe2O4 increased the production of HCl (responsible for gas phase quenching) and reduced the production of benzene. These combined effects explain the higher fire retardant efficacy of the mixture.
To understand the activity of phosphorus derivatives on flexible polyurethane (PU) foams, combustion and the thermal behavior of foams containing phosphorus derivatives were examined [18]. TGA-MS measurements were performed for methyl-DOPO (9,10-dihydro-9-oxa-methylphosphaphenanthrene-10-oxide) and MPPP (methylphenoxyphenyl-phosphinate) containing foams. Thermal decomposition pathways were proposed for the phosphorus additives, which lead to production of PO• (Scheme 3). PO• is considered as one of the active species, which evolves in a combustion process.
Scheme 3.
Proposed decomposition pathways of 9,10-dihydro-9-oxa-methylphosphaphenanthrene-10-oxide (Methyl-DOPO) and methylphenoxyphenyl-phosphinate (MPP).
Scheme 3.
Proposed decomposition pathways of 9,10-dihydro-9-oxa-methylphosphaphenanthrene-10-oxide (Methyl-DOPO) and methylphenoxyphenyl-phosphinate (MPP).

It was also proposed that the release of methyl-DOPO into the gas phase coincides with the decomposition of the PU, which is ideal for effective fire retardation. It can also be deduced that the decomposition of these additives, leading to the formation of thermodynamically stable intermediates (such as dibenzofurane and oxophenyl phosphinoxide), is an important condition for the efficient release of PO, PO2 and CH3PO species. These results have been supported by using mass spectrometric analysis of diverse organophosphorus additives in flexible polyurethane foams [53]. Phosphonate and phosphoramidate were found to be more efficient in providing phosphorus-based radicals than other organophosphorus compounds.
Recently, the thermal decomposition and gas phase flame retardance for polylactide/phosphorus-based polymer blends (PCPP: poly(1,2-propanediol 2-carboxyethyl phenyl phosphinate) have been reported [52]. The data analysis for the TGA-FTIR of the pristine polymer and polymer/flame retardant blend showed that the presence of flame retardant induces a shift in the release of characteristic decomposition products. It was reported that the absorbance intensity of pyrolysis products for the PLA/PCPP blend is low relative to the intensity of pyrolysis products for PLA. Accordingly, flammable compounds are reduced in case of flame-retarded polymer, which reduces the amount of gaseous flammable products. This function could reduce the combustion time, improving the flame retardation of PLA. The same ascertainment is also observed with the production of water or carbon dioxide.
During decomposition of the polymer, volatile phosphorus-based molecules could be detected. However, despite the limitation of TGA-FTIR instrumentation, it still used for qualitative identification of the stable pyrolysis products. On the other hand, combination of TGA-FTIR with TGA-MS provides a powerful analytical tool for detection and identification of gaseous pyrolysis products.
3.2. Pyrolysis-Gas Chromatography (Py-GC)
Separation and detection difficulties for macromolecular or polymeric compounds limit the usefulness of conventional gas chromatography or liquid chromatography. Py-GC is one of the analytical techniques used to overcome this problem. Py-GC is an analytical method in which a sample is heated, resulting in its decomposition. During the decomposition process, the chain-scission is promoted and the gaseous products are separated and analyzed by gas chromatography [63]. The analysis of volatiles can be followed by FID (flame ionization detection) or MS (mass spectroscopy) for fragment identification. More seldomly AED (atomic emission detection) is used for monitoring halogen- or phosphorus-based pyrolysates. The choice of the detection can be crucial for a good understanding of the polymer decomposition behavior. Owing to the characteristic isotopes of chlorine and bromine atoms, their detection using MS is relatively easy [63]. Therefore when the flame-retardant structure is known it may be easier to select a suitable detection method, such as AED for halogen- or phosphorus-based pyrolysates.
The degradation of mixed epoxy resin with phosphaphenanthrene and phosphazene groups as flame retardants has been investigated [64]. The identification of decomposition products of flame-retardants using Py-GC-MS analysis has been reported. The PO2H product of the quenching reaction between PO• and •OH (or H• and O•) was detected. The detection of such phosphorus species, in addition to other small fragments (Scheme 4), is an indirect approach to validate the gas phase activity of flame-retardants. The same phosphorus-based radical species have been detected, from decomposition of a phosphaphenanthrene-hydroxyl-methyl-phenoxyl)-cyclotriphosphazene (HAP-DOPO)/epoxy resin system [64]. Similar results were found recently, using phosphazene type flame-retardant (hexaphenoxy-cyclotriphosphazene) for rigid polyurethane foam [65].
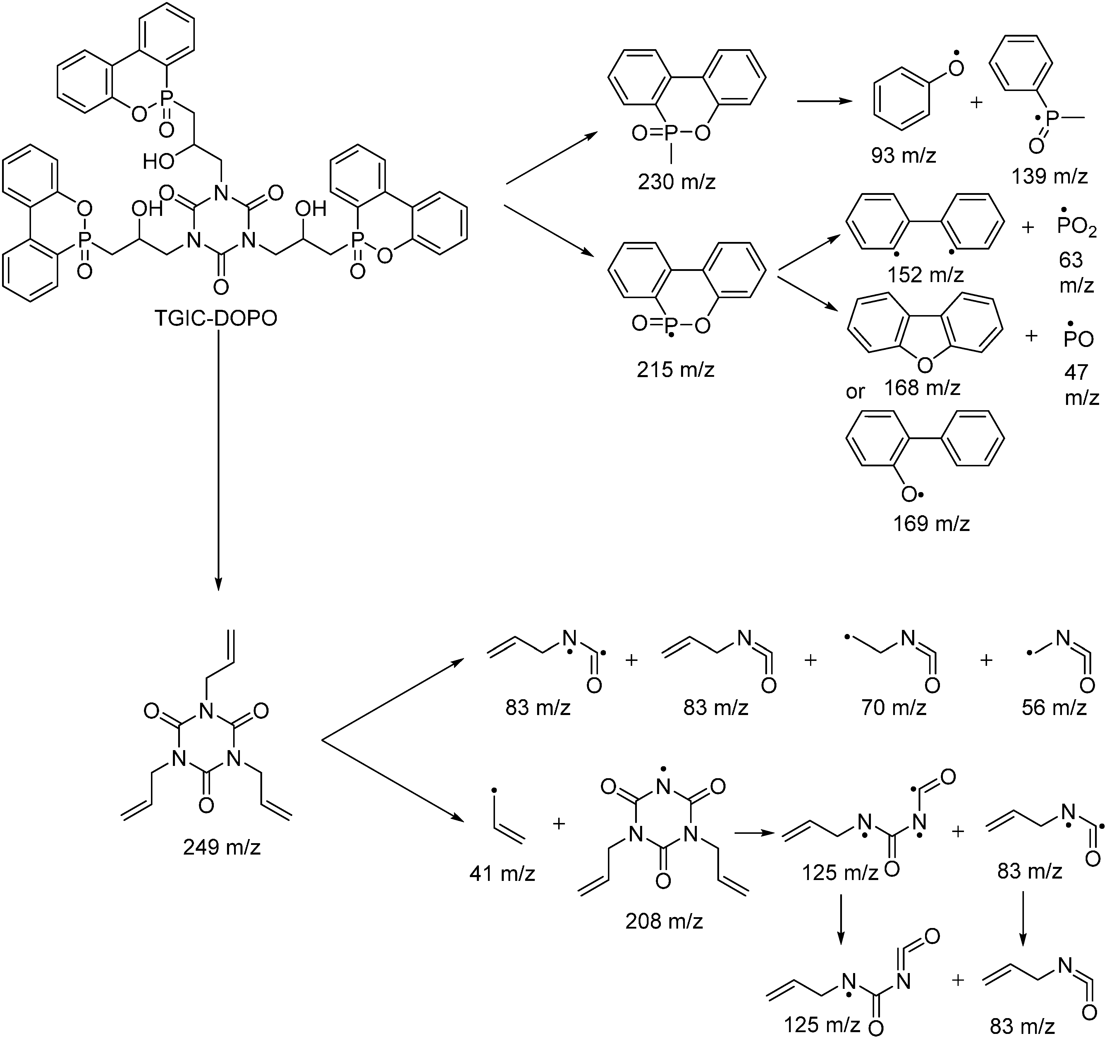
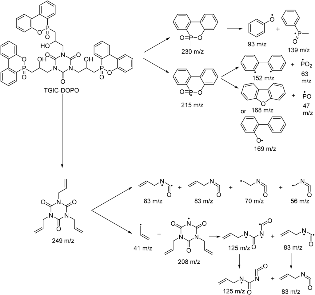
It is noteworthy that side reactions can take place during the pyrolysis process, affording new chemicals. The decomposition of flame-retarded polymers can produce chemically-reactive radicals that may recombine into unexpected byproducts. These byproducts can affect analytical data and lead to data misinterpretation [66]. Therefore, careful interpretation of results is crucial for illustrating correct degradation pathways for polymeric materials. In order to investigate these side reactions, decompositions of flame retarded high impact polystyrene containing brominated flame retardants were studied [14].
Scheme 4.
Deduced pyrolysis pathways for TGIC (1,3,5-triglycidyl isocyanurate)-DOPO [67].
Scheme 4.
Deduced pyrolysis pathways for TGIC (1,3,5-triglycidyl isocyanurate)-DOPO [67].

The study showed that the flame-retardants (decabromodiphenyl ether, decabromodibenzyl and antimony trioxide as synergist) react with the polymeric matrix to form brominated styrene intermediates. On the other hand, TGA analysis showed that the flame retarded polymer in presence of a synergist initiated its degradation earlier than polystyrene. In presence of Sb2O3, the starting decomposition of the polymer was found 50 °C lower than that for pure polystyrene, indicating a catalytic effect of decomposition. Since neither brominated residues nor Sb2O6 were detected, it could be postulated additives are released into the gas phase (no increase of the char residue). Water production in presence of synergist was detected using a TGA-MS instrument, indicating a reaction between the polymer matrix and antimony trioxide. Moreover, brominated aromatic compounds were detected using Py-GC-MS. It was reported that the brominated flame-retardant reacts with the synergist, affording SbBr3. The synergist and the flame retardant were detected, showing that Py-GC-MS can be an indirect tool to confirm gas phase activity, especially for radical species that are too reactive to be directly detected easily.
Similar observations have been reported for thermal decomposition of flame-retarded polycarbonate [5]. Using of ammonium polyphosphate for polycarbonate (PC) accelerated the production of phenol and isopropylene phenol (main decomposition products of PC).
Another interesting approach to analyze the burning behavior of polymeric materials was followed by Py-GC-MS, tracking flammable compounds, which can be quenched during the thermal degradation. For example, pyrolysis process of flame retardant treated and untreated cotton fabrics were investigated. It was reported that, addition of flame retardant catalyzed the dewatering and carbonizing reaction of the cellulose [68]. This catalyzing effect reduced the production of flammable products, inducing a better fire retardation.
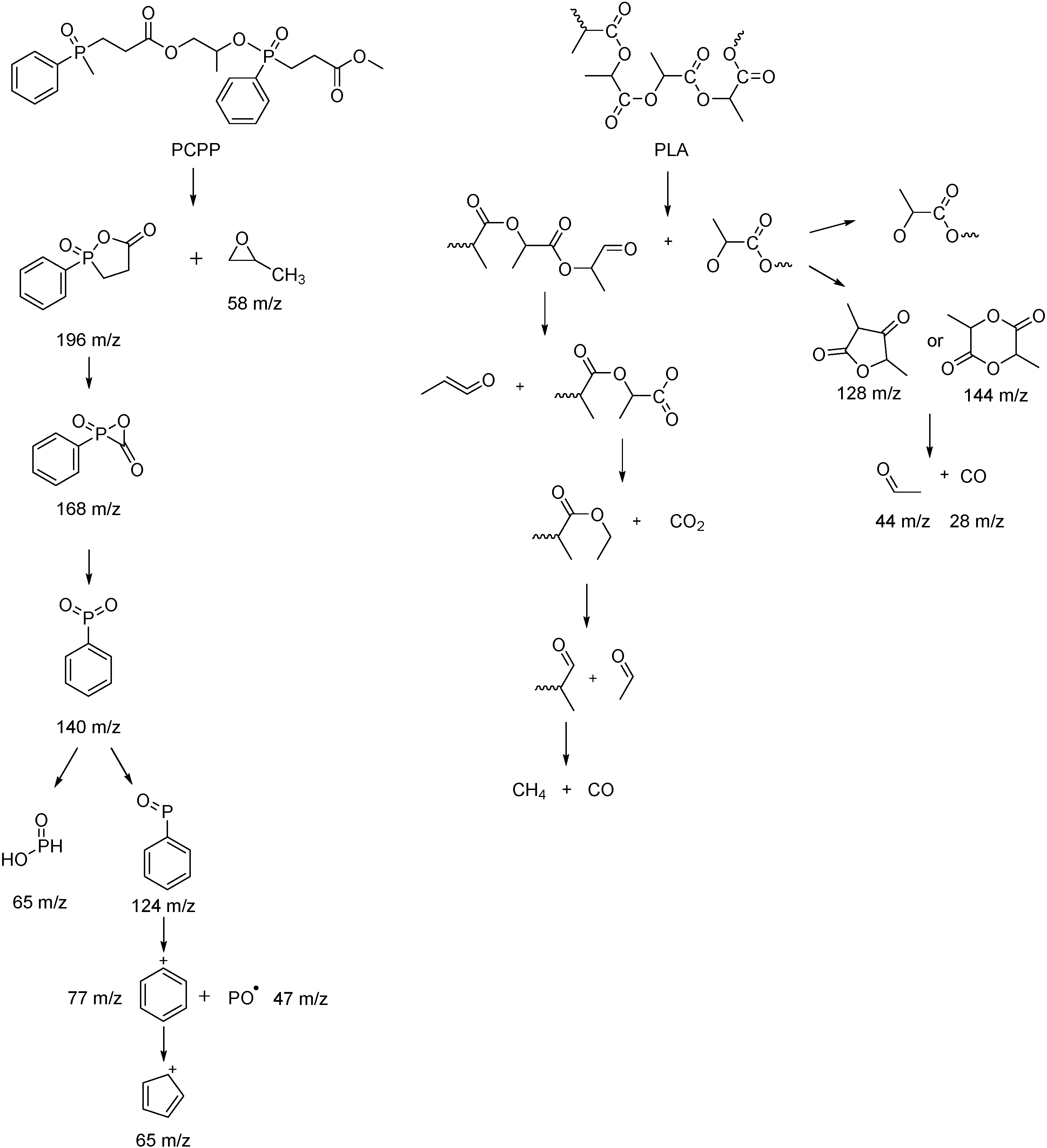
Moreover, decomposition of polylactide in presence of phosphorus-based polymer was studied and similar conclusion was addressed [52]. This type of polymeric flame retardant is expected to decompose and produce active radicals, quenching of flammable volatiles. The authors reported that the main action of this flame-retardant is the production of PO• by sequence of fragmentation process of the phosphorus flame-retardant. Based on pyrolysis and mass data, simplified decomposition pathways of the polymer and the flame-retardant (PCPP) were depicted (Scheme 5).
Scheme 5.
Simplified degradation pathways of polylactide (PLA) and phosphorus based polymer (PCPP) [52].
Scheme 5.
Simplified degradation pathways of polylactide (PLA) and phosphorus based polymer (PCPP) [52].

In general, Py-GC-MS is a powerful and useful tool for studying of pyrolysis process and identification of gas phase products of polymeric materials and flame retarded polymers.
3.3. Pyrolysis Combustion Flow Calorimetry (PCFC) and It Modifications
The pyrolysis combustion flow calorimeter (also known as microscale combustion calorimeter, MCC) is a powerful instrument to evaluate the fire behavior of milligram scale (mg-scale) samples [69]. It seems evident that mg-scale analysis will not depict the physical effects occurring at larger mass scale (e.g., dripping or intumescence). Therefore, this analysis should not be used as a tool to describe the fire behavior of a material in real-scale conditions [70]. However, mg-scale analysis can provide valuable information about fire properties of a material [24].
During this measurement, a mg-scale sample is heated up at a constant rate under an inert atmosphere, leading to possible formation of char [71]. The produced volatiles are swept from the pyrolizer by an inert gas, combined with oxygen, and combusted at high temperature. The heat release rate is calculated from the measured flow rate and oxygen concentration. Useful parameters can be obtained from this measurement, such as the total heat release per unit initial mass (HR), the heat release capacity (HRC) (HRC; defined as the maximum heat release rate divided by the constant heating rate), and the temperature at the maximum heat release rate (Tmax) [69].
Moreover, PCFC was used to study the decomposition of modified polystyrene with phosphorus and nitrogen-phosphorus-based compounds [7]. It was reported that the flame-retarded polymer exhibited a smaller heat release rate, confirming the action of the FR in the condensed phase. Indeed, if a flame-retardant acts in the condensed phase, less fuel is produced, resulting in a significant decrease of heat release. This barrier effect has also been observed with other matrices [4,9,24,65,72].
Concerning the gas phase activity of flame-retardants, PCFC can lead to unexpected results. It has been reported that using DOPO-derivatives (DiDopoMeO [6-((6-oxidibenzo[c,e][1,2]oxaphosphinin-6-yl)methoxy)dibenzo[c,e][1,2]oxaphosphinine 6-oxide)] and Exolit® OP1230) for polyamide matrix decreased the heat release capacity [73]. On contrary, when DiDopoEDA [6,6'-(ethane-1,2-diylbis(azanediyl))bis(6H-dibenzo[c,e][1,2]oxaphosphinine 6-oxide)] was used, the peak heat release rate increased. This contradictory result indicates a higher flammability of the formulation while decreasing the total heat release in the presence of flame-retardants. However, additions of DOPO-based flame-retardants affect the thermal decomposition of polymer formulations. Correlation of TGA with PCFC measurements showed that addition of DiDopoEDA catalyzed decomposition of the polymeric matrix. PCFC data demonstrated that the combustion of DiDopoEDA/PA6 formulation occurred at lower temperature but also in short time (narrower peak).
As reported, flame retardants decrease the combustion efficiency of a formulation but not the specific effective heat of combustion of the volatiles [1]. Concerning the gas phase flame-retardants action, a diminution in the heat of combustion of volatiles can be attributed to the dilution effect (carbon is replaced by phosphorus). The product of the combustion efficiency χ with the heat of combustion of volatiles is the key parameter determining the efficiency. Hence, PCFC is used as a technique to evaluate combustibility of FRs but it cannot be used individually (without modification) to confirm the gas phase activity of flame-retardants. More recently researchers have modified the standard PCFC/MCC instrument to investigate the gas phase activity of flame retardant systems.
In one modification combination of PCFC with FTIR was recently reported [74]. The new instrumental approach involved inserting a FTIR at the outlet of the PCFC instrument to monitor CO and CO2 formation. Combustion in PCFC was monitored by modifying the combustion temperature between 600 and 900 °C. Decreasing the combustion temperature in PCFC leads to partial combustion and increase in the evolution of CO. Methane, acetylene, or ethylene were also detected when the temperature is very low. The evolution of these gases depends also on the polymer and on the presence of a flame inhibitor, demonstrating that flame inhibition can be studied using this method. Data analysis of poly(p-bromo)styrene showed an increase in the production of CO, demonstrating the gas phase effect of bromine. However, this approach has some notable limitations and still needs further modification to avoid any pyrolysate adsorption during their transfer through the drying agent. On the other hand, IR spectra from this method were found simpler than spectra from TG-FTIR due to the combustion process and only small molecules were detected; high molecular weight and polar gases could be adsorbed by the drying agent. Similarly other researchers have also modified PCFC by attaching separate IR based CO and CO2 analyzers to its exhaust. The approach included incomplete combustion measurement and measuring of CO and CO2 generation as a function of temperature at fixed residence time. A set of commercial thermoplastic polymers were studied such as polyethylene imine (PEI), polycarbonate (PC), polyamide 66 (PA66), polyacrylonitrile butadiene styrene (ABS), polypropylene (PP), polyvinyl chloride (PVC), polyoxymethylene (POM), high density polyethylene (HDPE), polyethylene terephthalate PET high impact polystyrene (HIPS) polymethyl meth acrylate (PMMA), polyvinylidene fluoride (PVDF), polystyrene (PS) and brominated polystyrene (BrPS). It was reported that the fuel gases of aliphatic hydrocarbon polymer exhibited short oxidation times with respect to aromatic or heteroatom-containing backbone polymers. In general, slowing of oxidation rate for halogen-containing fuel was observed. By monitoring the CO and CO2 formation at various combustor temperatures (550–1000 °C), the authors could ascertain the gas phase activity of brominated epoxy and polystyrene systems [75].
Due to the environmental and health concerns of halogenated flame-retardants, versatile halogen-free flame-retardants have been developed. Screening of these new flame-retardants as a potential replacement for halogen-containing flame-retardants can be costly. In a recent approach, researchers have significantly modified the traditional microscale combustion calorimeter. The novel apparatus ((Milligram-scale Flame Calorimeter (MFC)) can measure heat release rates, heats of combustion, char, and soot yields [76,77]. Using mg-scale samples, MFC can serve as a cost effective screening instrument for new gas phase active flame-retardants as well. In this instrument, the pyrolysis and gas phase combustion processes are uncoupled, allowing the gas phase activity to be studied independently. The construction of the new instrument includes fully cylindrical-enclosed system consisting of a control panel and four sub-assemblies: a combustor base, pyrolyzer, combustion chamber and exhaust/gas analyzer as shown in Figure 1. In this apparatus, the solid samples are pyrolyzed under carefully characterized heating conditions in an anaerobic environment. A controlled mixture of gases is fed into the system far upstream of the combustion chamber and the flow rates of these gases are controlled via mass flow controllers. The pyrolyzer assembly is constructed of a commercially available pyroprobe, CDS 5000 (resistively heated platinum filament pyrolyzer). The end of this probe houses a platinum coil, which serves as a heater and a thermometer. A small quartz tube containing the sample is heated. The gaseous pyrolysis products formed from the decomposition of the polymer are subsequently combusted in an axisymmetric laminar diffusion flame. The combusted products from the flame flow into the conical chimney and subsequently passed through Drierite and into the O2 gas analyzer. This instrument is based on the oxygen consumption calorimetry technique to determine the heat release rate. The gas-phase performance of brominated and phosphorus flame-retardants were evaluated by measuring the impact of their presence on the combustion efficiency. The combustion efficiency (CE) can be defined as a ratio of the amount of O2 consumed by a given combustion event to the amount of O2 that would be consumed provided that all fuel is oxidized to the highest oxygen content stable products. The authors report decrease in CE with increasing amount of the flame retardant.
Figure 1.
General scheme of MFC (Milligram-scale Flame Calorimeter) or FCC (Flaming Combustion Calorimeter) instrument.
Figure 1.
General scheme of MFC (Milligram-scale Flame Calorimeter) or FCC (Flaming Combustion Calorimeter) instrument.

The modified micorscale combustion calorimeter are novel in their design modifications and provides useful information regarding the gas phase activity of flame retardants, especially useful in screening new flame retardants in milligram quantities. One can also monitor the formation of toxic gases like CO and CO2, however doesn’t address other volatiles, which may be formed during the combustion process.
3.4. Detection of Active Radicals
This section summarizes some techniques, which are used to detect transient or reactive species that formed during the thermal decomposition of flame-retardants. These species include radicals formed by the polymer (or fuel) which sustain the fire (•OH) and radicals that are produced by flame-retardants, which act as quenchers (PO•). Hence, the analysis concerns the flame retardant alone in a burning environment; these techniques are not used to understand how the flame retardant behaves in polymer matrices.
3.4.1. Molecular Beam Mass Spectrometry (MBMS)
The previous methods tend to analyze the degradation fragments coming out during the decomposition of additives or additives incorporated in polymer matrices. Those methods are unsuitable for detection of unstable free radicals, the key for understanding the gas phase flame inhibition mechanism. Molecular beam mass spectroscopy and other optical diagnostic techniques have been used for years to study the combustion chemistry and were found useful tool in fire retardant chemistry.
This type of measurement usually consists of two sections. In the first stage a nozzle burner is used to mix gases (CH4, H2, air, N2, Ar, …) with the vaporized flame-retardant. As shown in Figure 2, the flame-retardant is melted in a first section, then evaporated and incorporated to the mixture of gases with a piston. The flow of flame-retardant introduced in the burner is controlled in order to limit the decrease of the flame velocity [20].
Figure 2.
Description of an experimental burner setup. (Reprinted from ref. [20]. Copyright (2007), with permission from Elsevier).
Figure 2.
Description of an experimental burner setup. (Reprinted from ref. [20]. Copyright (2007), with permission from Elsevier).

A description of the molecular beam formation can be found in the literature [78,79,80]. The molecular beam is formed as gases or vapors and drawn through a thin circular orifice into the first stage of a three-stage vacuum system (see Figure 3).
The expansion created by the orifice results in a free-collision flow by rapidly decreasing the initial energy of the sampled gas. As a result, the sample is preserved in its original state, allowing the detection of highly reactive radicals. The central ray of this expansion is selected with a conical skimmer (at the entrance of the second stage) and continues to the third stage. The compounds in the molecular beam are then ionized using low energy electron ionization before passing through a quadruple mass spectrometer. The ions are detected with an off-axis electron multiplier and spectra are then generated from the measured signal intensity as a function of the ion molecular weight.
Figure 3.
Detailed description of the burner-Molecular Beam Mass Spectrometer (MBMS). (Reprinted with permission from [55]. Copyright 1987 American Chemical Society).
Figure 3.
Detailed description of the burner-Molecular Beam Mass Spectrometer (MBMS). (Reprinted with permission from [55]. Copyright 1987 American Chemical Society).

MBMS technique is therefore used to measure the concentration of active radicals during a fire. In general, to evaluate the efficiency of a flame-retardant, the concentration of •OH and H• radicals is measured. As shown previously, these radicals are quenched when a flame retardant is present. Hence, the more their concentration decreases, the more efficient a flame-retardant is.
Hexabromocyclododecane (HBCD) and triphenylphosphine oxide(TPPO), have been incorporated into the flame. Their gas phase activity was estimated from the H• radical concentration in the flame [3,20,81]. The flame temperature is reduced when the flame is doped with flame-retardant. It can be explained by three factors, the thermal effect of the additive, the increase in the thermal perturbations of the flame by the probe and the increase in the combustion zone width. Monitoring the concentration of O2, H2O and CH4 in different position in the flame confirms the increase in the flame zone width. Nonetheless, this effect does not prove the flame-retardant efficiency. In order to detect the flame-retardant quenching effect, the •OH and H• concentration are measured for undoped flame and flame doped with TPPO and HBCD [20]. The introduction of phosphorus-based flame retardant into the flame considerably reduces the H• and •OH concentration in the flame (by a factor 2.8 for H• and 1.7 for •OH). The inhibition mechanism of different organophosphorus compounds on stabilized flames of CH4 or H2 in O2 and Ar using MBMS was studied [82]. Identifying the produced species and their concentration in flame was followed with the molecular beam sampling. It was reported that the decomposition species of trimethyl phosphate (TMP) vary in the order HOPO2 > PO2• > HOPO• > PO•. The latter produced species were reported as destruction products of orthophosphoric acid, which are responsible for inhibition reactions of CH4/O2/Ar flame.
It is also possible to measure the concentration of active radicals characteristic for each type of flame-retardant [2]. Thereby, for phosphorus flame retardant species, PO•, PO2•, HOPO• and HOPO2 are detected. Br• and HBr are detected for bromine-based flame-retardants as well. In conclusion, the bromine acts faster than phosphorus-based flame-retardant. However, phosphorus flame-retardant provides a better efficiency due to the better inhibition efficiency (larger •OH reduction). By using MBMS, py-GCMS and DIP-MS (direct injection mass spectroscopy) measurement, the synergist effect of sulfur coupled with phosphorus flame retardant has been described [2]. Sulfur catalyzed the degradation of the polystyrene matrix and improved the mass transfer to the surface of the polymer (flame region). This facilitates the delivery of phosphorus-based flame-retardant (triphenyl phosphate), which has a high level of gas-phase activity as concluded by MBMS measurement.
3.4.2. Chemiluminescence and Laser Induced Fluorescence
To analyze the concentration of active radicals, it is also possible to use chemioluminescence as a detection method. By analyzing the light intensity passing through a flame, determining the radical concentration was found possible [3,11,12,83]. As is well known, the concentration of •OH radical decreases as a flame-retardant is added to burning gases.
Although it is not yet widely used, the detection of active species such as •OH radicals by laser-induced fluorescence (LIF) is a promising approach. In this technique a burner such as described previously (with MBMS) is used and the produced gases are analyzed with vibronic spectroscopy. A laser is used to achieve the desired excitation wavelength and a portion of the emitted fluorescence is captured for detection. The effect of five different gaseous agents (not necessary flame retardant) on the •OH concentration in the flame was investigated [21,84]. It was reported that, halogen-containing compounds were more effective for inhibition of the •OH concentration than neutral gases, such as N2 or CO2. With this innovative technique the researchers could prove the inhibition effect of CF3Br as a flame suppressant [21]. The same technique was used to determine the effect of organophosphates as flame-retardants [85]. Though all flame-retardants used exhibited a real inhibition of •OH concentration, trimethyl phosphate and dimethyl methylphosphonate were found to be the most effective inhibitors.
With these two techniques, it is possible to determine the concentration of •OH radical form during the burning process of a flame retardant.
3.4.3. VUV Photoionization Coupled with Time of Flight MS
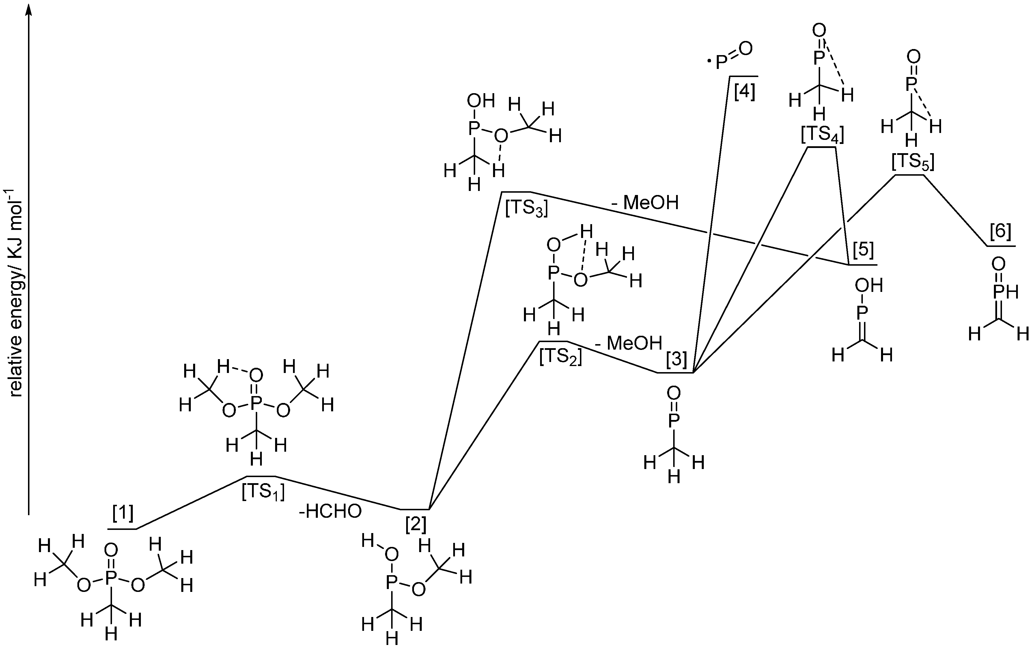
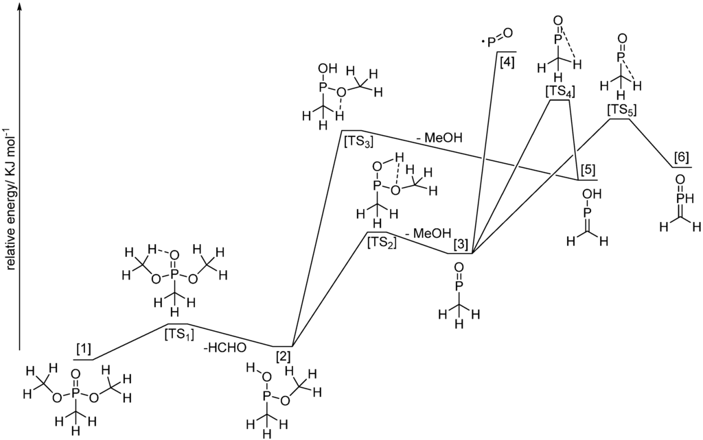
More recently an advanced technique uses vacuum ultraviolet photoionization to determine the decomposition product of an organophosphorus compound. The main advantage of this technique is the soft ionization, which facilitates the timely detection, identification and quantification of transient species during pyrolysis and combustion. Furthermore, imaging photoelectron photoion coincident spectroscopy was reported as one of the most powerful tools for isomer-selective identification of complex reactive intermediates [86]. The thermal decomposition of dimethyl methyl phosphate (DMMP) was recently reported, using VUV photoionization [87]. DMMP was first pyrolyzed and the decomposition products were then ionized (11ev), and subsequently detected by an imaging photoelectron photoion coincidence spectroscopy (iPEPICO) end station. With this method, a temperature dependent mass spectra is obtained and a decomposition pathway of the additive could be eventually determined with the production of transient species such as PO•. At a temperature below 700 °C, a dissociative photoionization for DMMP was only observed. The abundance of products with relatively low m/z increases with increasing the reactor temperature over 700 °C. This method facilitates identification of the exact decomposition pathways of flame-retardants, determining the mass of each pyrolysis product. For example, the large abundance products, such as m/z 44, 46, 47, 62 and 64 were assigned. The assignment is based on the photoion mass and has to rely on further specification from mass-selected TPE spectra. A mass-selected TPE spectrum for the species m/z 47 was assigned for PO•, which was further confirmed by Franck-Condon simulation. On the other hand, the mass-selected TPE spectrum of m/z 62 showed four features at different eVs. The species was confirmed to be a mixture of at least two isomers. Based on above results, the authors depicted the decomposition pathway of DMMP (Figure 4).
Figure 4.
CBS-QB3 (Quantum chemistry composite method) energy diagram for thermal decomposition of dimethyl methyl phosphonate (DMMP) (pathway 1).
Figure 4.
CBS-QB3 (Quantum chemistry composite method) energy diagram for thermal decomposition of dimethyl methyl phosphonate (DMMP) (pathway 1).

However, the formation of minor fragments such as m/z 44, 46 and 64 was not considered. Owing to the relatively energetic transition state between the two isomers (5 and 6) in Figure 1, it was presumed that the depletion of these two isomers was not complete during the pyrolysis time. Accordingly, a second decomposition pathway was predicted, affording species (7) and methanol (Figure 5).
It is noteworthy that the production of PO2• was not detected which may raise a question about its possible production in flame through an oxidation process. In general, this method can be further adapted to understand the thermal decomposition of flame-retardant additives for polymeric matrices and reactive gases.
Figure 5.
CBS-QB3 energy diagram for thermal decomposition of DMMP (pathway 2).
Figure 5.
CBS-QB3 energy diagram for thermal decomposition of DMMP (pathway 2).

4. Conclusions
Development of new flame-retardants is not only necessary to meet the changing stringent fire and health safety requirements but it is also important to understand their mode of action. Development of safe gas-phase active flame-retardants has gained significance recently due to the need for replacement of toxic halogenated flame-retardants. The mode of action of gas phase active flame retardants have been studied using more classical hyphenated analytical methods, such as TGA-FTIR/MS and Py-GC-MS. These hyphenated techniques are useful in providing information on relatively stable gas phase species formed from the thermal decomposition of materials. The researchers can use this information to only predict the possible gas phase activity of the flame-retardant in fire.
More recent developments in modified microscale combustion calorimeter enables for fast screening of flame-retardants for their gas phase activity as well as provide information on the formation of toxic gases, such as CO. One can gain insights into decomposition products and pathways for formation of unstable species formed during the thermal decomposition of flame-retardant using more advanced analytical techniques, such as VUV-photoionization coupled with TOF spectroscopy.
Conflicts of Interest
The authors declare no conflict of interest.
References
- Schartel, B. Phosphorus-based flame retardancy mechanisms—Old hat or a starting point for future development? Materials 2010, 3, 4710–4745. [Google Scholar] [CrossRef]
- Beach, M.W.; Rondan, N.G.; Froese, R.D.; Gerhart, B.B.; Green, J.G.; Stobby, B.G.; Shmakov, A.G.; Shvartsberg, V.M.; Korobeinichev, O.P. Studies of degradation enhancement of polystyrene by flame retardant additives. Polymer Degrad. Stab. 2008, 93, 1664–1673. [Google Scholar] [CrossRef]
- Beach, M.W.; Vozar, S.E.; Filipi, S.Z.; Shmakov, A.G.; Shvartsberg, V.M.; Korobeinichev, O.P.; Morgan, T.A.; Hu, T.I.; Sick, V. Screening approaches for gas-phase activity of flame retardants. Proc. Combust. Inst. 2009, 32, 2625–2632. [Google Scholar] [CrossRef]
- Benin, V.; Gardelle, B.; Morgan, A.B. Heat release of polyurethanes containing potential flame retardants based on boron and phosphorus chemistries. Polym. Degrad. Stab. 2014, 106, 108–121. [Google Scholar] [CrossRef]
- Bozi, J.; Czégény, Z.; Mészáros, E.; Blazsó, M. Thermal decomposition of flame retarded polycarbonates. J. Anal. Appl. Pyrolysis 2007, 79, 337–345. [Google Scholar] [CrossRef]
- Chen, D.-Q.; Wang, Y.-Z.; Hu, X.-P.; Wang, D.-Y.; Qu, M.-H.; Yang, B. Flame-retardant and anti-dripping effects of a novel char-forming flame retardant for the treatment of poly(ethylene terephthalate) fabrics. Polym. Degrad. Stab. 2005, 88, 349–356. [Google Scholar] [CrossRef]
- Dumitrascu, A.; Howell, B.A. Flame retardant polymeric materials achieved by incorporation of styrene monomers containing both nitrogen and phosphorus. Polym. Degrad. Stab. 2012, 97, 2611–2618. [Google Scholar] [CrossRef]
- Feng, J.; Hao, J.; Du, J.; Yang, R. Using TGA/FTIR TGA/MS and cone calorimetry to understand thermal degradation and flame retardancy mechanism of polycarbonate filled with solid bisphenol a bis(diphenyl phosphate) and montmorillonite. Polym. Degrad. Stab. 2012, 97, 605–614. [Google Scholar] [CrossRef]
- Gaan, S.; Rupper, P.; Salimova, V.; Heuberger, M.; Rabe, S.; Vogel, F. Thermal decomposition and burning behavior of cellulose treated with ethyl ester phosphoramidates: Effect of alkyl substituent on nitrogen atom. Polym. Degrad. Stab. 2009, 94, 1125–1134. [Google Scholar] [CrossRef]
- Gibson, A.G. Flame retardant composites. In Fire Properties of Polymer Composite Materials; Gibson, A.G., Ed.; Springer: Dordrecht, The Netherland, 2007; pp. 237–241. [Google Scholar]
- Hardalupas, Y.; Orain, M.; Panoutsos, C.S.; Taylor, A.M.K.P.; Olofsson, J.; Seyfried, H.; Richter, M.; Hult, J.; Aldén, M.; Hermann, F.; et al. Chemiluminescence sensor for local equivalence ratio of reacting mixtures of fuel and air (flameseek). Appl. Therm. Eng. 2004, 24, 1619–1632. [Google Scholar] [CrossRef]
- Higgins, B.; McQuay, M.Q.; Lacas, F.; Rolon, J.C.; Darabiha, N.; Candel, S. Systematic measurements of oh chemiluminescence for fuel-lean, high-pressure, premixed, laminar flames. Fuel 2001, 80, 67–74. [Google Scholar] [CrossRef]
- Horacek, H.; Grabner, W. Nitrogen based flame retardants for nitrogen containing polymers. Makromol. Chem. Macromol. Symp. 1993, 74, 271–276. [Google Scholar] [CrossRef]
- Jakab, E.; Uddin, M.A.; Bhaskar, T.; Sakata, Y. Thermal decomposition of flame-retarded high-impact polystyrene. J. Anal. Appl. Pyrolysis 2003, 68–69, 83–99. [Google Scholar] [CrossRef]
- Jayaweera, T.M.; Melius, C.F.; Pitz, W.J.; Westbrook, C.K.; Korobeinichev, O.P.; Shvartsberg, V.M.; Shmakov, A.G.; Rybitskaya, I.V.; Curran, H.J. Flame inhibition by phosphorus-containing compounds over a range of equivalence ratios. Combust. Flame 2005, 140, 103–115. [Google Scholar] [CrossRef]
- Klatt, M. Nitrogen-based flame retardants. In The Non-Halogenated Flame Retardant Handbook; Morgan, A.B., Wilkie, C.A., Eds.; Scrivener Publishing: Beverly, MA, USA, 2014. [Google Scholar]
- König, A.; Kroke, E. Methyl-DOPO—A new flame retardant for flexible polyurethane foam. Polym. Adv. Technol. 2011, 22, 5–13. [Google Scholar] [CrossRef]
- König, A.; Kroke, E. Flame retardancy working mechanism of methyl-DOPO and MPPP in flexible polyurethane foam. Fire Mater. 2012, 36, 1–15. [Google Scholar] [CrossRef]
- Laoutid, F.; Bonnaud, L.; Alexandre, M.; Lopez-Cuesta, J.M.; Dubois, P. New prospects in flame retardant polymer materials: From fundamentals to nanocomposites. Mater. Sci. Eng. R Rep. 2009, 63, 100–125. [Google Scholar] [CrossRef]
- Shmakov, A.G.; Shvartsberg, V.M.; Korobeinichev, O.P.; Beach, M.W.; Hu, T.I.; Morgan, T.A. Structure of a freely propagating rich CH4/air flame containing triphenylphosphine oxide and hexabromocyclododecane. Combust. Flame 2007, 149, 384–391. [Google Scholar] [CrossRef]
- Vora, N.; Siow, J.E.; Laurendeau, N.M. Chemical scavenging activity of gaseous suppressants by using laser-induced fluorescence measurements of hydroxyl. Combust. Flame 2001, 126, 1393–1401. [Google Scholar] [CrossRef]
- Hirschler, M.M. Smoke toxicity measurements made so that the results can be used for improved fire safety. J. Fire Sci. 1991, 9, 330–347. [Google Scholar] [CrossRef]
- Molyneux, S.; Stec, A.A.; Hull, T.R. The effect of gas phase flame retardants on fire effluent toxicity. Polym. Degrad. Stab. 2014, 106, 36–46. [Google Scholar] [CrossRef]
- Schartel, B.; Pawlowski, K.H.; Lyon, R.E. Pyrolysis combustion flow calorimeter: A tool to assess flame retarded pc/abs materials? Thermochim. Acta 2007, 462, 1–14. [Google Scholar] [CrossRef]
- Lewin, M.; Weil, E.D. Mechanisms and modes of action in flame retardancy of polymers. In Fire Retardant Materials; Horrocks, A.R., Price, D., Eds.; Woodhead Publishing Limited: Cambridge, UK, 2001; pp. 31–68. [Google Scholar]
- Linteris, G. Influence of flame properties on the effectiveness of gas-phase fire retardants. In Proceedings of the 243rd ACS National Meeting & Exposition, San Diego, CA, USA, 25–29 March 2012.
- Rigolo, M.; Woodhams, R.T. Basic magnesium carbonate flame retardants for polypropylene. Polym. Eng. Sci. 1992, 32, 327–334. [Google Scholar] [CrossRef]
- Sawada, Y.; Yamaguchi, J.; Sakurai, O.; Uematsu, K.; Mizutani, N.; Kato, M. Thermogravimetric study on the decomposition of hydromagnesite 4MgCO3·Mg(OH)2·4H2O. Thermochim. Acta 1979, 33, 127–140. [Google Scholar] [CrossRef]
- Mngomezulu, M.E.; John, M.J.; Jacobs, V.; Luyt, A.S. Review on flammability of biofibres and biocomposites. Carbohydr. Polym. 2014, 111, 149–182. [Google Scholar] [CrossRef] [PubMed]
- Babushok, V.I.; Linteris, G.T.; Meier, O.C.; Pagliaro, J.L. Flame inhibition by CF3CHCl2 (HCFC-123). Combust. Sci. Technol. 2014, 186, 792–814. [Google Scholar] [CrossRef]
- Bocchini, S.; Camino, G. Halogen-containing flame retardants. In Fire Retardancy of Polymeric Materials, 2nd ed.; Wilkie, C.A., Morgan, A.B., Eds.; Taylor & Francis Group: Abingdon, UK, 2009; pp. 79–82. [Google Scholar]
- Wang, M.Y.; Horrocks, A.R.; Horrocks, S.; Hall, M.E.; Pearson, J.S.; Clegg, A.S. Flame retardant textile back-coatings. Part 1: Antimony-halogen system interactions and the effect of replacement by phosphorus-containing agents. J. Fire Sci. 2000, 18, 265–294. [Google Scholar] [CrossRef]
- Gallo, E.; Schartel, B.; Acierno, D.; Russo, P. Flame retardant biocomposites: Synergism between phosphinate and nanometric metal oxides. Eur. Polym. J. 2011, 47, 1390–1401. [Google Scholar] [CrossRef]
- Si, M.; Feng, J.; Hao, J.; Xu, L.; Du, J. Synergistic flame retardant effects and mechanisms of nano-Sb2O3 in combination with aluminum phosphinate in poly(ethylene terephthalate). Polym. Degrad. Stab. 2014, 100, 70–78. [Google Scholar] [CrossRef]
- Miller, D.R.; Evers, R.L.; Skinner, G.B. Effects of various inhibitors on hydrogen-air flame speeds. Combust. Flame 1963, 7, 137–142. [Google Scholar] [CrossRef]
- Werner, J.H.; Cool, T.A. Kinetic model for the decomposition of dmmp in a hydrogen/oxygen flame. Combust. Flame 1999, 117, 78–98. [Google Scholar] [CrossRef]
- Twarowski, A. The influence of phosphorus oxides and acids on the rate of H + OH recombination. Combust. Flame 1993, 94, 91–107. [Google Scholar] [CrossRef]
- Twarowski, A. Photometric determination of the rate of H2O formation from H and OH in the presence of phosphine combustion products. Combust. Flame 1993, 94, 341–348. [Google Scholar] [CrossRef]
- Twarowski, A. Reduction of a phosphorus oxide and acid reaction set. Combust. Flame 1995, 102, 41–54. [Google Scholar] [CrossRef]
- Rakotomalala, M.; Wagner, S.; Doering, M. Recent developments in halogen free flame retardants for epoxy resins for electrical and electronic applications. Materials 2010, 3, 4300–4327. [Google Scholar] [CrossRef]
- Rasmussen, C.L.; Glarborg, P.; Marshall, P. Mechanisms of radical removal by SO2. Proc. Combust. Inst. 2007, 31, 339–347. [Google Scholar] [CrossRef]
- Zachariah, M.R.; Smith, O.I. Experimental and numerical studies of sulfur chemistry in H2/O2/SO2 flames. Combust. Flame 1987, 69, 125–139. [Google Scholar] [CrossRef]
- Bulewicz, E.M.; Padley, P.J. Catalytic effect of metal additives on free radical recombination rates in H2+O2+N2 flames. Symp. Int. Combust. 1971, 13, 73–80. [Google Scholar] [CrossRef]
- Babushok, V.; Tsang, W. Inhibitor rankings for alkane combustion. Combust. Flame 2000, 123, 488–506. [Google Scholar] [CrossRef]
- Vanpee, M.; Shirodkar, P.P. A study of flame inhibition by metal compounds. Symp. Int. Combust. 1979, 17, 787–795. [Google Scholar] [CrossRef]
- Jensen, D.E.; Jones, G.A. Catalysis of radical recombination in flames by iron. J. Chem. Phys. 1974, 60, 3421–3425. [Google Scholar] [CrossRef]
- Rumminger, M.D.; Reinelt, D.; Babushok, V.; Linteris, G.T. Numerical study of the inhibition of premixed and diffusion flames by iron pentacarbonyl. Combust. Flame 1999, 116, 207–219. [Google Scholar] [CrossRef]
- Linteris, G.T.; Katta, V.R.; Takahashi, F. Experimental and numerical evaluation of metallic compounds for suppressing cup-burner flames. Combust. Flame 2004, 138, 78–96. [Google Scholar] [CrossRef]
- Linteris, G.T.; Knyazev, V.D.; Babushok, V.I. Inhibition of premixed methane flames by manganese and tin compounds. Combust. Flame 2002, 129, 221–238. [Google Scholar] [CrossRef]
- Sepe, M.P. Thermal Analysis of Polymers; iSmithers Rapra Publishing: Singpore, 1997. [Google Scholar]
- Liu, S.; Ye, H.; Zhou, Y.; He, J.; Jiang, Z.; Zhao, J.; Huang, X. Study on flame-retardant mechanism of polycarbonate containing sulfonate-silsesquioxane-fluoro retardants by TGA and FTIR. Polym. Degrad. Stab. 2006, 91, 1808–1814. [Google Scholar] [CrossRef]
- Lin, H.; Han, L.; Dong, L. Thermal degradation behavior and gas phase flame-retardant mechanism of polylactide/PCPP blends. J. Appl. Polym. Sci. 2014, 131. [Google Scholar] [CrossRef]
- Liang, S.; Neisius, M.; Mispreuve, H.; Naescher, R.; Gaan, S. Flame retardancy and thermal decomposition of flexible polyurethane foams: Structural influence of organophosphorus compounds. Polym. Degrad. Stab. 2012, 97, 2428–2440. [Google Scholar] [CrossRef]
- Cervantes-Uc, J.M.; Cauich-Rodríguez, J.V.; Vázquez-Torres, H.; Licea-Claveríe, A. TGA/FTIR study on thermal degradation of polymethacrylates containing carboxylic groups. Polym. Degrad. Stab. 2006, 91, 3312–3321. [Google Scholar] [CrossRef]
- Aguirresarobe, R.H.; Irusta, L.; Fernandez-Berridi, M.J. Application of TGA/FTIR to the study of the thermal degradation mechanism of silanized poly(ether-urethanes). Polym. Degrad. Stab. 2012, 97, 1671–1679. [Google Scholar] [CrossRef]
- Cervantes-Uc, J.M.; Espinosa, J.I.M.; Cauich-Rodríguez, J.V.; Ávila-Ortega, A.; Vázquez-Torres, H.; Marcos-Fernández, A.; San Román, J. TGA/FTIR studies of segmented aliphatic polyurethanes and their nanocomposites prepared with commercial montmorillonites. Polym. Degrad. Stab. 2009, 94, 1666–1677. [Google Scholar] [CrossRef]
- Hurley, S.L.; Mittleman, M.L.; Wilkie, C.A. Preparation and thermal degradation of copolymers of 2-sulfoethyl methacrylate and methyl methacrylate. Polym. Degrad. Stab. 1993, 39, 345–354. [Google Scholar] [CrossRef]
- Wilkie, C.A. TGA/FTIR: An extremely useful technique for studying polymer degradation. Polym. Degrad. Stab. 1999, 66, 301–306. [Google Scholar] [CrossRef]
- Chandrasiri, J.A.; Wilkie, C.A. Thermal degradation of diphenyl disulfide and a blend of diphenyl disulfide with poly(methyl methacrylate). Polym. Degrad. Stab. 1994, 46, 275–284. [Google Scholar] [CrossRef]
- Chandrasiri, J.A.; Wilkie, C.A. The thermolysis of poly(methyl methacrylate) in the presence of phenyltin chlorides PhxSnCl4−x (x = 1–3). Polym. Degrad. Stab. 1994, 45, 83–89. [Google Scholar] [CrossRef]
- Wilkie, C.A.; Thomsen, J.R.; Mittleman, M.L. Interaction of poly(methyl methacrylate) and nafions. J. Appl. Polym. Sci. 1991, 42, 901–909. [Google Scholar] [CrossRef]
- Xu, J.; Liu, C.; Qu, H.; Ma, H.; Jiao, Y.; Xie, J. Investigation on the thermal degradation of flexible poly(vinyl chloride) filled with ferrites as flame retardant and smoke suppressant using TGA–FTIR and TGA–MS. Polym. Degrad. Stab. 2013, 98, 1506–1514. [Google Scholar] [CrossRef]
- Wang, F.C.-Y. Polymer additive analysis by pyrolysis-gas chromatography: II. Flame retardants. J. Chromatogr. A 2000, 886, 225–235. [Google Scholar] [CrossRef] [PubMed]
- Qian, L.; Ye, L.; Qiu, Y.; Qu, S. Thermal degradation behavior of the compound containing phosphaphenanthrene and phosphazene groups and its flame retardant mechanism on epoxy resin. Polymer 2011, 52, 5486–5493. [Google Scholar] [CrossRef]
- Qian, L.; Feng, F.; Tang, S. Bi-phase flame-retardant effect of hexa-phenoxy-cyclotriphosphazene on rigid polyurethane foams containing expandable graphite. Polymer 2014, 55, 95–101. [Google Scholar] [CrossRef]
- Wang, F.C.-Y.; Hasha, D.L. Reaction of methylamine with acetonylacetone and its application in polymer analysis. Anal. Chem. 1999, 71, 1131–1137. [Google Scholar] [CrossRef]
- Qian, L.; Qiu, Y.; Sun, N.; Xu, M.; Xu, G.; Xin, F.; Chen, Y. Pyrolysis route of a novel flame retardant constructed by phosphaphenanthrene and triazine-trione groups and its flame-retardant effect on epoxy resin. Polym. Degrad. Stab. 2014, 107, 98–105. [Google Scholar] [CrossRef]
- Zhu, P.; Sui, S.; Wang, B.; Sun, K.; Sun, G. A study of pyrolysis and pyrolysis products of flame-retardant cotton fabrics by DSC, TGA, and PY–GC–MS. J. Anal. Appl. Pyrolysis 2004, 71, 645–655. [Google Scholar] [CrossRef]
- Lyon, R.E.; Walters, R.N. Pyrolysis combustion flow calorimetry. J. Anal. Appl. Pyrolysis 2004, 71, 27–46. [Google Scholar] [CrossRef]
- Lyon, R.E.; Walters, R.N.; Stoliarov, S.I. Screening flame retardants for plastics using microscale combustion calorimetry. Polym. Eng. Sci. 2007, 47, 1501–1510. [Google Scholar] [CrossRef]
- Lyon, R.E.; Walters, R.N.; Stoliarov, S.I. Thermal analysis of flammability. J. Therm. Anal. Calorim. 2007, 89, 441–448. [Google Scholar] [CrossRef]
- Ménard, R.; Negrell-Guirao, C.; Ferry, L.; Sonnier, R.; David, G. Synthesis of new flame-retardants by radical chain transfer copolymerization of glycidyl methacrylate and dimethoxy-phosphorylmethyl methacrylate. Eur. Polym. J. 2014, 57, 109–120. [Google Scholar] [CrossRef]
- Buczko, A.; Stelzig, T.; Bommer, L.; Rentsch, D.; Heneczkowski, M.; Gaan, S. Bridged DOPO derivatives as flame retardants for PA6. Polym. Degrad. Stab. 2014, 107, 158–165. [Google Scholar] [CrossRef]
- Sonnier, R.; Dorez, G.; Vahabi, H.; Longuet, C.; Ferry, L. FTIR-PCFC coupling: A new method for studying the combustion of polymers. Combust. Flame 2014, 161, 1398–1407. [Google Scholar] [CrossRef]
- Lyon, R.E.; Walters, R.N.; Crowley, S. In gas phase combustion studies of flame retardant polymer in the microscale combustion calorimeter. In Proceedings of the 24th Annual Conference on Recent Advances in Flame Retardancy of Polymeric Materials, Stamford, CT, USA, 20–22 May 2013.
- Raffan, F.; Ding, X.; Kraemer, R.H.; Stoliarov, S.I. Milligram-scale flame calorimeter: A novel instrument for flammability asessment using MG-sized samples. In Proceedings of the 25th Annual Conference on Recent Advances in Flame Retardancy of Polymeric Materials, Stamford, CT, USA, 19–21 May 2014.
- Raffan-Montoya, F.; Ding, X.; Kraemer, R.H.; Stoliarov, S.I. Flaming combustion calorimeter: A novel instrument for flammability assessment using MG-sized samples. In Proceedings of the 25th Annual Conference on Recent Advances in Flame Retardancy of Polymeric Materials, Stamford, CT, USA, 19–21 May 2014.
- Evans, R.J.; Milne, T.A. Molecular characterization of the pyrolysis of biomass. Energy Fuels 1987, 1, 123–137. [Google Scholar] [CrossRef]
- Carpenter, D.L.; Deutch, S.P.; French, R.J. Quantitative measurement of biomass gasifier tars using a molecular-beam mass spectrometer: Comparison with traditional impinger sampling. Energy Fuels 2007, 21, 3036–3043. [Google Scholar] [CrossRef]
- Crichton, E. Construction of A Molecular Beam Mass Spectrometer for in Situ Probing of a Diamond Chemical Vapour Deposition Environment; University of Bristol: Bristol, UK, 2007. [Google Scholar]
- Shmakov, A.G.; Shvartsberg, V.M.; Korobeinichev, O.P.; Beach, M.W.; Hu, T.I.; Morgan, T.A. On the mechanism of action of phosphorus-containing retardants. Mendeleev Commun. 2007, 17, 186–187. [Google Scholar] [CrossRef]
- Korobeinichev, O.P.; Bolshova, T.A.; Shvartsberg, V.M.; Chernov, A.A. Inhibition and promotion of combustion by organophosphorus compounds added to flames of CH4 or H2 in O2 and Ar. Combust. Flame 2001, 125, 744–751. [Google Scholar] [CrossRef]
- Hardalupas, Y.; Orain, M. Local measurements of the time-dependent heat release rate and equivalence ratio using chemiluminescent emission from a flame. Combust. Flame 2004, 139, 188–207. [Google Scholar] [CrossRef]
- Vora, N.; Laurendeau, N.M. Analysis of CF3Br flame suppression activity using quantitative laser-induced fluorescence measurements of the hydroxyl radical. Combust. Sci. Technol. 2001, 166, 15–39. [Google Scholar] [CrossRef]
- Siow, J.E.; Laurendeau, N.M. Flame inhibition activity of phosphorus-containing compounds using laser-induced fluorescence measurements of hydroxyl. Combust. Flame 2004, 136, 16–24. [Google Scholar] [CrossRef]
- Bodi, A.; Johnson, M.; Gerber, T.; Gengeliczki, Z.; Sztáray, B.; Baer, T. Imaging photoelectron photoion coincidence spectroscopy with velocity focusing electron optics. Rev. Sci. Instrum. 2009, 80, 034101. [Google Scholar] [CrossRef] [PubMed]
- Liang, S.; Hemberger, P.; Neisius, N.M.; Bodi, A.; Grützmacher, H.; Levalois-Grützmacher, J.; Gaan, S. Elucidating the thrmal decomposition of dimethyl methyl phosphonate by VUV photoionization: Pathways to the po radical, a key species in flame retardant mechanism. Chem. Eur. J. 2015, 21, 1073–1080. [Google Scholar] [CrossRef] [PubMed]
© 2015 by the authors; licensee MDPI, Basel, Switzerland. This article is an open access article distributed under the terms and conditions of the Creative Commons Attribution license (http://creativecommons.org/licenses/by/4.0/).