Functionalization of Liquid Natural Rubber via Oxidative Degradation of Natural Rubber
Abstract
:1. Introduction
2. Experimental Section
2.1. Materials
2.2. Degradation of Natural Rubber Latex
2.3. Characterizations
3. Results and Discussion
3.1. FTIR Spectroscopy


| Assignment | Peak (cm−1) |
|---|---|
| =CH stretching | 3070 |
| –CH3 asymmetry stretching | 2960 |
| –CH2 symmetry stretching | 2850 |
| –C=C– stretching | 1665 |
| –CH2 deformation | 1450 |
| =CH wagging | 836 |
| pH of Latex | Transmittance | Transmittance Ratio | |
|---|---|---|---|
| 3404 cm−1 | 836 cm−1 | ||
| pH 5 | 23.53 | 5.53 | 4.26 |
| pH 6 | 19.57 | 5.78 | 3.39 |
| pH 7 | 1.34 | 4.95 | 0.27 |
| pH 8 | 1.21 | 4.71 | 0.24 |
| pH 9 | 1.75 | 4.47 | 0.39 |


3.2. NMR Spectroscopy





3.3. Molecular Weight

| pH of Latex | Mn (×1000) |
|---|---|
| 9 | 11.2 |
| 8 | 11.9 |
| 7 | 12.8 |
| 6 | 10.7 |
| 5 | 10.5 |
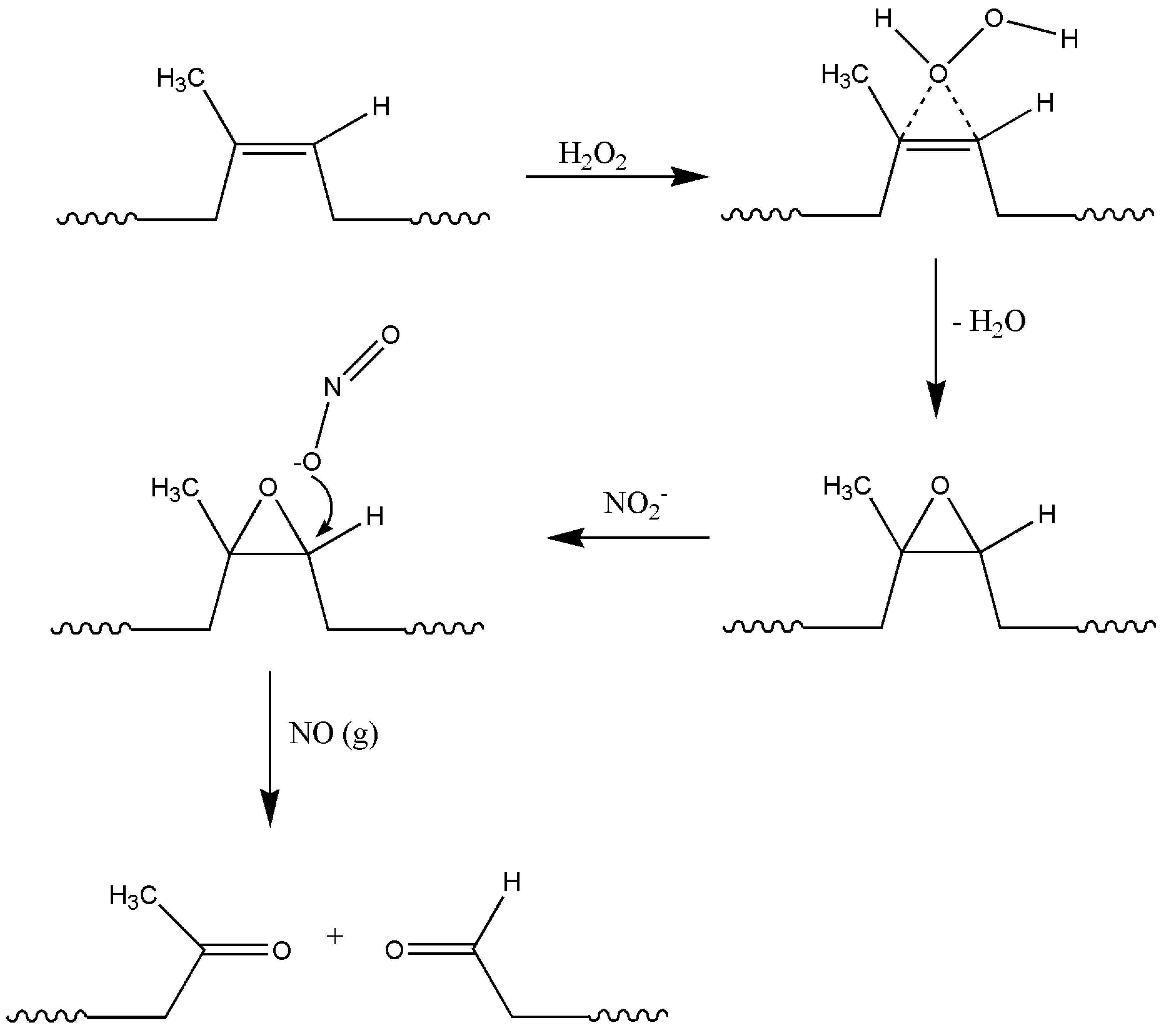
3.4. Reaction Mechanism



4. Conclusions
Acknowledgments
Author Contributions
Conflicts of Interest
References
- Mounir, A.; Darwish, N.A.; Shehata, A. Effect of maleic anhydride and liquid natural rubber as compatibilizers on the mechanical properties and impact resistance of the NR–NBR blend. Polym. Adv. Technol. 2004, 15, 209–213. [Google Scholar] [CrossRef]
- Dahlan, H.M.; Zaman, M.D.K.; Ibrahim, A. Liquid natural rubber (LNR) as a compatibiliser in NR/LLDPE blends—II: The effects of electron-beam (EB) irradiation. Radiat. Phys. Chem. 2002, 64, 429–436. [Google Scholar] [CrossRef]
- Srilathakutty, R.; John, N.; Joseph, R.; George, K.E. Use of amine terminated liquid natural rubber as a plasticiser in filled NR and NBR compounds. Int. J. Polym. Mater. 1996, 32, 235–246. [Google Scholar] [CrossRef]
- Wayakron Phetphaisit, C.; Bumee, R.; Namahoot, J.; Ruamcharoen, J.; Ruamcharoen, P. Polyurethane polyester elastomer: Innovative environmental friendly wood adhesive from modified PETs and hydroxyl liquid natural rubber polyols. Int. J. Adhes. Adhes. 2013, 41, 127–131. [Google Scholar] [CrossRef]
- Mathew, V.S.; Sinturel, C.; George, S.C.; Thomas, S. Epoxy resin/liquid natural rubber system: Secondary phase separation and its impact on mechanical properties. J. Mater. Sci. 2010, 45, 1769–1781. [Google Scholar] [CrossRef]
- Bac, N.V.; Terlemezyan, L.; Mihailov, M. Epoxidation of natural rubber in latex in the presence of a reducing agent. J. Appl. Polym. Sci. 1993, 50, 845–849. [Google Scholar] [CrossRef]
- Isa, S.Z.; Yahya, R.; Hassan, A.; Tahir, M. The influence of temperature and reaction time in the degradation of natural rubber latex. Malays. J. Anal. Sci. 2007, 11, 42–47. [Google Scholar]
- Gupta, S.K.; Kurup, M.R.; Devadoss, E.; Muthiah, R.; Thomas, S. Development and evaluation of a novel binder based on natural rubber and high-energy polyurethane/composite propellants. J. Appl. Polym. Sci. 1985, 30, 1095–1112. [Google Scholar] [CrossRef]
- Phinyocheep, P.; Phetphaisit, C.W.; Derouet, D.; Campistron, I.; Brosse, J.C. Chemical degradation of epoxidized natural rubber using periodic acid: Preparation of epoxidized liquid natural rubber. J. Appl. Polym. Sci. 2005, 95, 6–15. [Google Scholar] [CrossRef]
- Abdullah, I.; Zakaria, Z. Photochemical degradation of natural rubber. Sains Malays. 1989, 18, 99–109. (In Malay) [Google Scholar]
- Nor, H.M.; Ebdon, J.R. Ozonolysis of natural rubber in chloroform solution. Part 1. A study by GPC and FTIR spectroscopy. Polymer 2000, 41, 2359–2365. [Google Scholar] [CrossRef]
- Fainleib, A.; Pires, R.V.; Lucas, E.F.; Soares, B.G. Degradation of non-vulcanized natural rubber-renewable resource for fine chemicals used in polymer synthesis. Polímeros 2013, 23, 441–450. [Google Scholar] [CrossRef]
- Dileep, U.; Avirah, S.A. Studies on carboxy-terminated natural rubber in filled NR and NR latex vulcanizates. Iran. Polym. J. 2003, 12, 441–448. [Google Scholar]
- Dileep, U.; Avirah, S.A. Studies on carboxy-terminated liquid natural rubber in NBR. J. Appl. Polym. Sci. 2002, 84, 261–267. [Google Scholar] [CrossRef]
- Zainol, I.; Ahmad, M.I.; Zakaria, F.A.; Ramli, A.; Marzuki, H.F.A.; Aziz, A.A. Modification of epoxy resin using liquid natural rubber. Mater. Sci. Forum 2006, 517, 272–274. [Google Scholar]
- Mathew, V.S.; Jyotishkumar, P.; George, S.C.; Gopalakrishnan, P.; Delbreilh, L.; Saiter, J.M.; Saikia, P.J.; Thomas, S. High performance HTLNR/epoxy blend—Phase morphology and thermo-mechanical properties. J. Appl. Polym. Sci. 2012, 125, 804–811. [Google Scholar] [CrossRef]
- Kébir, N.; Campistron, I.; Laguerre, A.; Pilard, J.F.; Bunel, C. New crosslinked polyurethane elastomers with various physical properties from natural rubber derivatives. J. Appl. Polym. Sci. 2011, 122, 1677–1687. [Google Scholar] [CrossRef]
- Kaenhin, L.; Klinpituksa, P.; Rungvichaniwat, A.; Pilard, J.F. Waterborne polyurethane: Effect of functional groups in aromatic isocyanate and the chain length of hydroxyl terminated natural rubber. Adv. Mat. Res. 2012, 415–417, 2032–2035. [Google Scholar]
- Saetung, A.; Kaenhin, L.; Klinpituksa, P.; Rungvichaniwat, A.; Tulyapitak, T.; Munleh, S.; Campistron, I.; Pilard, J.F. Synthesis, characteristic, and properties of waterborne polyurethane based on natural rubber. J. Appl. Polym. Sci. 2012, 124, 2742–2752. [Google Scholar] [CrossRef]
- Ly, P.H. Reinforcement of natural rubber from hydroxyl-terminated liquid natural rubber grafted carbon black. I. Grafting of acyl chloride capped liquid natural rubber onto carbon black. J. Macromol. Sci. A Pure Appl. Chem. 1996, 33, 1931–1937. [Google Scholar] [CrossRef]
- Huy, H.T.; Nga, N.T.; Hong, L.Q.; Chu, P.N.S. Depolymerization of natural rubber latex using phenylhydrazine-FeCl2 system. Pure Appl. Chem. 1996, 33, 1923–1930. [Google Scholar]
- Phetphaisit, C.W.; Phinyocheep, P. Kinetics and parameters affecting degradation of purified natural rubber. J. Appl. Polym. Sci. 2003, 90, 3546–3555. [Google Scholar] [CrossRef]
- Chaikumpollert, O.; Sae-Heng, K.; Wakisaka, O.; Mase, A.; Yamamoto, Y.; Kawahara, S. Low temperature degradation and characterization of natural rubber. Polym. Degrad. Stab. 2011, 96, 1989–1995. [Google Scholar] [CrossRef]
- Kodama, S.; Nishi, K.; Furukawa, M. Preparation of low molecular weight natural rubber by ozonolysis of high ammonia latex. J. Rubb. Res. 2003, 6, 153–163. [Google Scholar]
- Gazeley, K.F.; Mente, P.G. Method for Reducing the Molecular Weight of Rubber Latex. Malaysian Patent 1,00304-A 1990, 11 August 1990. [Google Scholar]
- Crow, J.P.; Spruell, C.; Chen, J.; Gunn, C.; Ischiropoulos, H.; Tsai, M.; Smith, C.D.; Radi, R.; Koppenol, W.H.; Beckman, J.S. On the pH-dependent yield of hydroxyl radical products from peroxynitrite. Free Radic. Biol. Med. 1994, 16, 331–338. [Google Scholar] [PubMed]
- Ravindran, T.; Nayar, M.R.G.; Francis, D.J. Production of hydroxyl-terminated liquid natural rubber—Mechanism of photochemical depolymerization and hydroxylation. J. Appl. Polym. Sci. 1988, 35, 1227–1239. [Google Scholar] [CrossRef]
- Solanky, S.S.; Singh, R.P. Functional and group determination in photo-degraded liquid rubbers. J. Rubb. Res. 2003, 6, 1–11. [Google Scholar]
- Davey, J.E.; Loadman, M.J.R. Chemical demonstration of the randomness of epoxidation of natural rubber. Br. Polym. J. 1984, 16, 134–138. [Google Scholar] [CrossRef]
- Silverstein, R.M.; Webster, F.X.; Kiemle, D.J. Spectrometric Identification of Organic Compounds, 7th ed.; John Wiley & Son: New York, NY, USA, 2005. [Google Scholar]
- Sakdapipanich, J.T.; Kowitteerawut, T.; Kawahara, S.; Tanaka, Y. Depolymerisation of highly purified natural rubber. 1. Metal-catalysed oxidation of deproteinised natural rubber. J. Rubb. Res. 2001, 4, 1–10. [Google Scholar]
- Pavia, D.L.; Lampman, G.M.; Kriz, G.S.; Vyvyan, J.A. Introduction to Spectroscopy, 4th ed.; Cengage Learning: Boston, MA, USA, 2009. [Google Scholar]
- Sakdapipanich, I.; Nawamawat, K. Effect of treatment of skim natural rubber latex on properties of pressure-sensitive adhesive tapes. Kauchuk i Rezina 2005, 5, 9–11. (In Russian) [Google Scholar]
- Saetung, A.; Rungvichaniwat, A.; Campistron, I.; Klinpituksa, P.; Laguerre, A.; Phinyocheep, P.; Doutres, O.; Pilard, J.F. Preparation and physico-mechanical, thermal and acoustic properties of flexible polyurethane foams based on hydroxytelechelic natural rubber. J. Appl. Polym. Sci. 2010, 117, 828–837. [Google Scholar] [CrossRef]
- Kébir, N.; Campistron, I.; Laguerre, A.; Pilard, J.F.; Bunel, C.; Couvercelle, J.-P.; Gondard, C. Use of hydroxytelechelic cis-1,4-polyisoprene (HTPI) in the synthesis of polyurethanes (PUs). Part 1. Influence of molecular weight and chemical modification of HTPI on the mechanical and thermal properties of PUs. Polymer 2005, 46, 6869–6877. [Google Scholar] [CrossRef]
- Saetung, A.; Rungvichaniwat, A.; Campistron, I.; Klinpituksa, P.; Laguerre, A.; Phinyocheep, P.; Pilard, J.F. Controlled degradation of natural rubber and modification of the obtained telechelic oligoisoprenes: Preliminary study of their potentiality as polyurethane foam precursors. J. Appl. Polym. Sci. 2010, 117, 1279–1289. [Google Scholar] [CrossRef]
- Anbar, M.; Taube, H. Interaction of nitrous acid with hydrogen peroxide and with water. J. Am. Chem. Soc. 1954, 76, 6243–6247. [Google Scholar] [CrossRef]
- Lehnig, M. Radical mechanisms of the decomposition of peroxynitrite and the peroxynitrite-CO2 adduct and of reactions with l-tyrosine and related compounds as studied by 15N chemically induced dynamic nuclear polarization. Arch. Biochem. Biophys. 1999, 368, 303–318. [Google Scholar] [CrossRef] [PubMed]
- Halfpenny, E.; Robinson, P.L. Pernitrous acid. The reaction between hydrogen peroxide and nitrous acid, and the properties of an intermediate product. J. Am. Chem. Soc. 1952, 1952, 928–938. [Google Scholar] [CrossRef]
- Halfpenny, E.; Robinson, P.L. The nitration and hydroxylation of aromatic compounds by pernitrous acid. J. Am. Chem. Soc. 1952, 1952, 939–946. [Google Scholar] [CrossRef]
- Kennett, E.C.; Davies, M.J. Degradation of matrix glycosaminoglycans by peroxynitrite/peroxynitrous acid: Evidence for a hydroxyl-radical-like mechanism. Free Radic. Biol. Med. 2007, 42, 1278–1289. [Google Scholar] [CrossRef] [PubMed]
- Norling, P.M.; Lee, T.C.P.; Tobolsky, A.V. Structure and reactivity in oxidation of elastomer. Rubb. Chem. Technol. 1965, 38, 1198–1202. [Google Scholar] [CrossRef]
- Nor, H.M.; Ebdon, J.R. Telechelic liquid natural rubber: A review. Prog. Polym. Sci. 1998, 23, 143–177. [Google Scholar] [CrossRef]
- Tobolsky, A.V.; Norling, P.M.; Frick, N.H.; Yu, H. On the mechanism of autoxidation of three vinyl polymers: Polypropylene, ethylene-propylene rubber, and poly (ethyl acrylate). J. Am. Chem. Soc. 1964, 86, 3925–3930. [Google Scholar] [CrossRef]
© 2014 by the authors; licensee MDPI, Basel, Switzerland. This article is an open access article distributed under the terms and conditions of the Creative Commons Attribution license (http://creativecommons.org/licenses/by/4.0/).
Share and Cite
Ibrahim, S.; Daik, R.; Abdullah, I. Functionalization of Liquid Natural Rubber via Oxidative Degradation of Natural Rubber. Polymers 2014, 6, 2928-2941. https://doi.org/10.3390/polym6122928
Ibrahim S, Daik R, Abdullah I. Functionalization of Liquid Natural Rubber via Oxidative Degradation of Natural Rubber. Polymers. 2014; 6(12):2928-2941. https://doi.org/10.3390/polym6122928
Chicago/Turabian StyleIbrahim, Suhawati, Rusli Daik, and Ibrahim Abdullah. 2014. "Functionalization of Liquid Natural Rubber via Oxidative Degradation of Natural Rubber" Polymers 6, no. 12: 2928-2941. https://doi.org/10.3390/polym6122928
APA StyleIbrahim, S., Daik, R., & Abdullah, I. (2014). Functionalization of Liquid Natural Rubber via Oxidative Degradation of Natural Rubber. Polymers, 6(12), 2928-2941. https://doi.org/10.3390/polym6122928
