Experiment-Driven Gaussian Process Surrogate Modeling and Bayesian Optimization for Multi-Objective Injection Molding
Abstract
1. Introduction
2. Experimental Methodology
2.1. Injection Molding Equipment and Material
2.2. Process Parameter Selection and Design of Experiments
2.3. Quality Metric Quantification
2.4. Experimental Dataset
3. Machine Learning Framework
3.1. Gaussian Process Regression
3.2. Data Preprocessing and Model Training
3.3. Feature Importance Analysis
4. Optimization Methodology
4.1. Multi-Objective Problem Formulation
4.2. Constrained Bayesian Optimization
4.3. Progressive Constraint Tightening
5. Results
5.1. Optimization Results
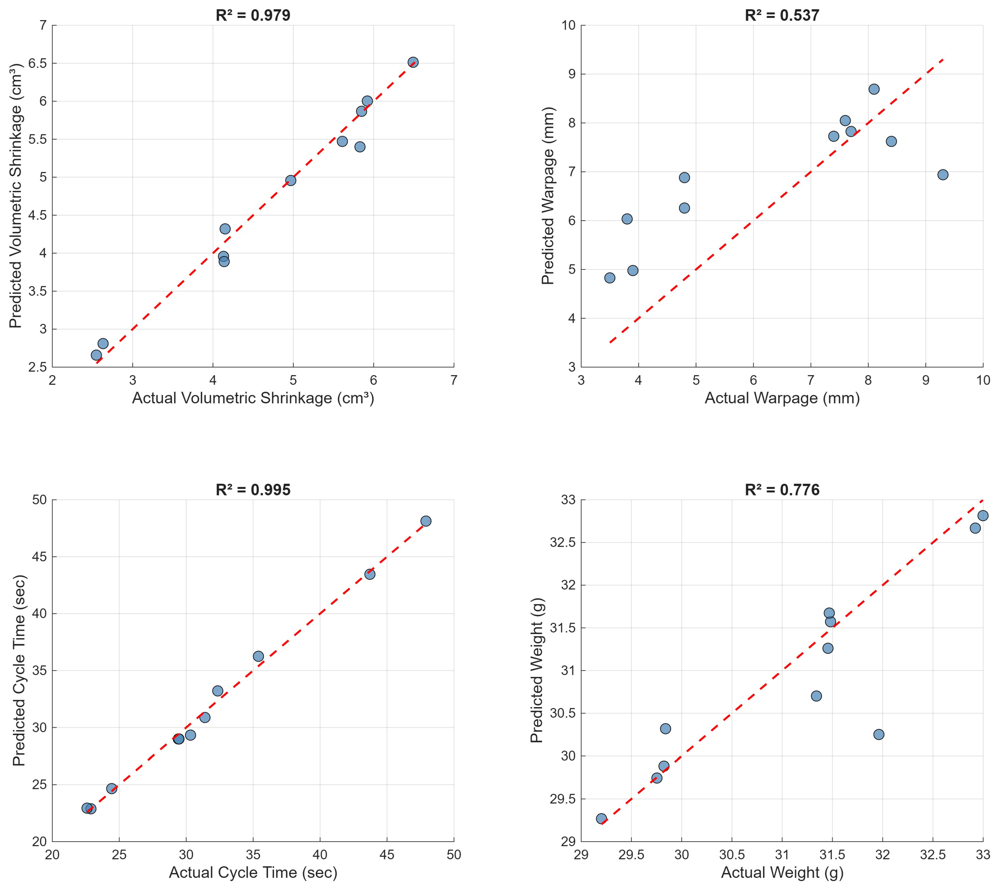
5.2. Model Validation
5.3. Parameter Evolution
5.4. Pareto Front Analysis
6. Discussion
6.1. Physical Interpretation of Optimization Results
6.2. Comparison Study
6.3. Industrial Implementation Framework
6.4. Limitations and Future Research Directions
7. Conclusions
Author Contributions
Funding
Institutional Review Board Statement
Data Availability Statement
Acknowledgments
Conflicts of Interest
References
- Rosato, D.V.; Rosato, M.G. Injection Molding Handbook, 3rd ed.; Springer: New York, NY, USA, 2000. [Google Scholar]
- Zheng, R.; Tanner, R.I.; Fan, X.-J. Injection Molding: Integration of Theory and Modeling Methods; Springer: Berlin/Heidelberg, Germany, 2011. [Google Scholar]
- Brydson, J.A. Plastics Materials, 6th ed.; Butterworth-Heinemann: Oxford, UK, 1995. [Google Scholar]
- Pötsch, G.; Michaeli, W. Injection Molding: An Introduction, 2nd ed.; Hanser: Munich, Germany, 2008. [Google Scholar]
- Huang, M.C.; Tai, C.C. The effective factors in the warpage problem of an injection-molded part with a thin shell feature. J. Mater. Process. Technol. 2001, 110, 1–9. [Google Scholar]
- Altan, M. Reducing shrinkage in injection moldings via the Taguchi, ANOVA and neural network methods. Mater. Des. 2010, 31, 599–604. [Google Scholar] [CrossRef]
- Chen, W.C.; Nguyen, M.H.; Chiu, W.H.; Chen, T.N.; Tai, P.H. Optimization of the injection molding process using the Taguchi method with fuzzy logic. Int. Commun. Heat Mass Transf. 2009, 36, 976–982. [Google Scholar]
- Mathivanan, D.; Parthasarathy, N.S. Prediction of sink depths using nonlinear modeling of injection molding variables. Int. J. Adv. Manuf. Technol. 2009, 43, 654–663. [Google Scholar] [CrossRef]
- Gao, Y.; Wang, X. An effective warpage optimization method in injection molding based on the Kriging model. Int. J. Adv. Manuf. Technol. 2007, 37, 953–960. [Google Scholar] [CrossRef]
- Gao, Y.; Wang, X. Surrogate-based process optimization for reducing warpage in injection molding. J. Mater. Process. Technol. 2009, 209, 1302–1309. [Google Scholar] [CrossRef]
- Ozcelik, B.; Erzurumlu, T. Determination of effecting dimensional parameters on warpage of thin shell plastic parts using integrated response surface method and genetic algorithm. Int. Commun. Heat Mass Transf. 2005, 32, 1085–1094. [Google Scholar] [CrossRef]
- Ozcelik, B.; Erzurumlu, T. Comparison of the warpage optimization in the plastic injection molding using ANOVA, neural network model and genetic algorithm. J. Mater. Process. Technol. 2006, 171, 437–445. [Google Scholar] [CrossRef]
- Kurtaran, H.; Ozcelik, B.; Erzurumlu, T. Warpage optimization of a bus ceiling lamp base using neural network model and genetic algorithm. J. Mater. Process. Technol. 2005, 169, 314–319. [Google Scholar]
- Shen, C.; Wang, L.; Cao, W.; Qian, L. Investigation of the effect of molding variables on sink marks of plastic injection molded parts using Taguchi DOE technique. Polym.-Plast. Technol. Eng. 2007, 46, 219–225. [Google Scholar]
- Yin, F.; Mao, H.; Hua, L. A hybrid of back propagation neural network and genetic algorithm for optimization of injection molding process parameters. Mater. Des. 2011, 32, 3457–3464. [Google Scholar] [CrossRef]
- Yin, F.; Mao, H.; Hua, L.; Guo, W.; Shu, M. Back propagation neural network modeling for warpage prediction and optimization of plastic products during injection molding. Mater. Des. 2011, 32, 1844–1850. [Google Scholar] [CrossRef]
- Zhou, J.; Turng, L.S. Process optimization of injection molding using an adaptive surrogate model with Gaussian process approach. Polym. Eng. Sci. 2007, 47, 684–694. [Google Scholar] [CrossRef]
- Zhao, J.; Cheng, G.; Ruan, S.; Li, Z. Multi-objective optimization design of injection molding process parameters based on the improved efficient global optimization algorithm and non-dominated sorting-based genetic algorithm. Int. J. Adv. Manuf. Technol. 2015, 78, 1813–1826. [Google Scholar]
- Farshi, B.; Gheshmi, S.; Miandoabchi, E. Optimization of injection molding process parameters using sequential simplex algorithm. Mater. Des. 2011, 32, 1994–2000. [Google Scholar] [CrossRef]
- Xu, G.; Yang, Z. Multiobjective optimization of process parameters for plastic injection molding via soft computing and grey correlation analysis. Int. J. Adv. Manuf. Technol. 2015, 78, 525–536. [Google Scholar] [CrossRef]
- Singh, G.; Pradhan, M.K.; Verma, A. Multi response optimization of injection moulding process parameters to reduce cycle time and warpage. Mater. Today Proc. 2018, 5, 8398–8405. [Google Scholar] [CrossRef]
- Kitayama, S.; Tamada, K.; Takano, M.; Arakawa, S. Numerical and experimental investigation on process parameters optimization in plastic injection molding for weldline and knit-line reduction using conformal cooling channel. Int. J. Adv. Manuf. Technol. 2018, 97, 2087–2098. [Google Scholar] [CrossRef]
- Kitayama, S.; Yamazaki, Y.; Takano, M.; Arakawa, S. Numerical and experimental investigation for minimization of weldline and cycle time in plastic injection molding using sequential approximate optimization. Int. J. Adv. Manuf. Technol. 2022, 119, 3939–3951. [Google Scholar]
- Kariminejad, M.; Tormey, D.; McGranaghan, G.; Timmons, A.; McAfee, M. Real-time quality control for injection moulding using a novel Bayesian adaptive design of experiments approach. J. Manuf. Process. 2024, 112, 1–12. [Google Scholar]
- Gaspar-Cunha, A.; Fernandes, C.; Covas, J.A. Advances in injection molding: Process, materials and applications. Polymers 2025, 17, 462. [Google Scholar]
- Han, Z.; Weng, Z.; Liu, T.; Shi, S.; Yang, J. AI-accelerated digital twinning for injection stretch blow molding processes. Comput. Chem. Eng. 2025, 192, 108901. [Google Scholar]
- Kim, T.; Park, H.S.; Nguyen, T.T. Deep reinforcement learning-based optimal control for injection molding process. J. Manuf. Syst. 2025, 78, 1–14. [Google Scholar]
- Banh, Q.N.; Nguyen, T.T.; Park, H.S. Multi-objective optimization of water-assisted injection molding using ANN and NSGA-II. Int. J. Adv. Manuf. Technol. 2025, 136, 3255–3270. [Google Scholar]
- Dai, W.; Tang, W.; Du, L.; Lian, Y.; Yang, Y. Machine learning-based multi-objective optimization for wax pattern injection molding. J. Manuf. Process. 2024, 131, 120–133. [Google Scholar]
- Deng, W.J.; Chen, C.T.; Sun, C.H.; Chen, W.C.; Chen, C.P. An effective approach for process parameter optimization in injection molding of plastic housing components. Polym.-Plast. Technol. Eng. 2008, 47, 910–919. [Google Scholar] [CrossRef]
- Shoemaker, J. Moldflow Design Guide: A Resource for Plastics Engineers; Hanser: Munich, Germany, 2006. [Google Scholar]
- Chen, Z.; Turng, L.S. A review of current developments in process and quality control for injection molding. Adv. Polym. Technol. 2005, 24, 165–182. [Google Scholar] [CrossRef]
- Mukras, S.M.S.; Al-Mufadi, F.A.; Saidane, A. Experimental-based multi-objective optimization for the injection molding process. Arab. J. Sci. Eng. 2019, 44, 7653–7665. [Google Scholar] [CrossRef]
- Mukras, S.M.S.; Korany, H.Z.; Omar, H.M. Achieving Optimal Injection Molding Parameters to Minimize Both Shrinkage and Surface Roughness Through a Multi-Objective Optimization Approach. Appl. Sci. 2025, 15, 5063. [Google Scholar] [CrossRef]
- SABIC. SABIC® HDPE M80064 Datasheet; SABIC: Riyadh, Saudi Arabia, 2023; Available online: https://www.sabic.com (accessed on 1 January 2026).










| Property | Unit | Value |
|---|---|---|
| Melt flow rate (190 °C, 2.16 kg) | g/10 min | 8 |
| Density at 23 °C | g/cm3 | 0.964 |
| Vicat softening temperature (10 N) | °C | 128 |
| Stress at break | MPa | 15 |
| Stress at yield | MPa | 33 |
| Tensile modulus | MPa | 1400 |
| Parameter | Symbol | Unit | Lower Bound | Upper Bound |
|---|---|---|---|---|
| Melt temperature | °C | 200 | 250 | |
| Mold temperature | °C | 15 | 45 | |
| Injection speed | mm/s | 15 | 60 | |
| Injection pressure | bar | 450 | 800 | |
| Packing pressure | bar | 100 | 400 | |
| Cooling time | s | 10 | 30 | |
| Holding time | s | 3 | 9 |
| No. | W | m | |||||||||
|---|---|---|---|---|---|---|---|---|---|---|---|
| (°C) | (°C) | (mm/s) | (bar) | (bar) | (s) | (s) | (cm3) | (mm) | (s) | (g) | |
| 1 | 200 | 15 | 15 | 450 | 100 | 10 | 9 | 3.97 | 5.8 | 31.1 | 31.63 |
| 2 | 200 | 15 | 15 | 450 | 100 | 30 | 3 | 5.17 | 6.8 | 43.9 | 30.48 |
| 3 | 200 | 15 | 15 | 450 | 400 | 10 | 3 | 4.59 | 6.0 | 24.7 | 31.04 |
| 4 | 200 | 15 | 15 | 450 | 400 | 30 | 9 | 2.45 | 2.9 | 49.8 | 33.09 |
| 5 | 200 | 15 | 15 | 800 | 100 | 10 | 3 | 5.26 | 4.5 | 24.5 | 30.39 |
| 6 | 200 | 15 | 15 | 800 | 100 | 30 | 9 | 3.95 | 3.4 | 49.8 | 31.65 |
| 7 | 200 | 15 | 15 | 800 | 400 | 10 | 9 | 2.55 | 3.9 | 31.4 | 33.00 |
| 8 | 200 | 15 | 15 | 800 | 400 | 30 | 3 | 4.49 | 6.0 | 43.8 | 31.13 |
| 9 | 200 | 15 | 60 | 450 | 100 | 10 | 3 | 5.38 | 4.4 | 23.6 | 30.28 |
| 10 | 200 | 15 | 60 | 450 | 100 | 30 | 9 | 4.00 | 3.7 | 48.9 | 31.60 |
| 11 | 200 | 15 | 60 | 450 | 400 | 10 | 9 | 2.63 | 3.5 | 30.3 | 32.92 |
| 12 | 200 | 15 | 60 | 450 | 400 | 30 | 3 | 4.62 | 7.7 | 42.7 | 31.00 |
| 13 | 200 | 15 | 60 | 800 | 100 | 10 | 9 | 4.34 | 5.8 | 29.0 | 31.27 |
| 14 | 200 | 15 | 60 | 800 | 100 | 30 | 3 | 5.21 | 9.1 | 41.9 | 30.44 |
| 15 | 200 | 15 | 60 | 800 | 400 | 10 | 3 | 4.10 | 7.0 | 22.9 | 31.51 |
| 16 | 200 | 15 | 60 | 800 | 400 | 30 | 9 | 1.97 | 2.9 | 47.9 | 33.56 |
| 17 | 200 | 45 | 15 | 450 | 100 | 10 | 3 | 5.33 | 4.7 | 25.6 | 30.32 |
| 18 | 200 | 45 | 15 | 450 | 100 | 30 | 9 | 4.05 | 9.0 | 49.9 | 31.55 |
| 19 | 200 | 45 | 15 | 450 | 400 | 10 | 9 | 3.24 | 5.1 | 31.2 | 32.34 |
| 20 | 200 | 45 | 15 | 450 | 400 | 30 | 3 | 5.09 | 6.8 | 43.8 | 30.55 |
| 21 | 200 | 45 | 15 | 800 | 100 | 10 | 9 | 4.10 | 4.0 | 30.9 | 31.51 |
| 22 | 200 | 45 | 15 | 800 | 100 | 30 | 3 | 5.55 | 7.9 | 48.8 | 30.11 |
| 23 | 200 | 45 | 15 | 800 | 400 | 10 | 3 | 5.17 | 9.6 | 24.8 | 30.47 |
| 24 | 200 | 45 | 15 | 800 | 400 | 30 | 9 | 3.15 | 4.0 | 49.8 | 32.42 |
| 25 | 200 | 45 | 60 | 450 | 100 | 10 | 9 | 4.19 | 4.5 | 29.8 | 31.42 |
| 26 | 200 | 45 | 60 | 450 | 100 | 30 | 3 | 5.68 | 7.2 | 42.7 | 29.98 |
| 27 | 200 | 45 | 60 | 450 | 400 | 10 | 3 | 5.31 | 8.6 | 23.3 | 30.34 |
| 28 | 200 | 45 | 60 | 450 | 400 | 30 | 9 | 3.25 | 4.5 | 48.7 | 32.33 |
| 29 | 200 | 45 | 60 | 800 | 100 | 10 | 3 | 5.53 | 11.0 | 22.4 | 30.13 |
| 30 | 200 | 45 | 60 | 800 | 100 | 30 | 9 | 4.14 | 3.8 | 47.9 | 31.47 |
| 31 | 200 | 45 | 60 | 800 | 400 | 10 | 9 | 2.28 | 6.0 | 29.4 | 33.26 |
| 32 | 200 | 45 | 60 | 800 | 400 | 30 | 3 | 4.27 | 7.9 | 41.9 | 31.34 |
| 33 | 250 | 15 | 15 | 450 | 100 | 10 | 3 | 5.92 | 8.4 | 24.4 | 29.76 |
| 34 | 250 | 15 | 15 | 450 | 100 | 30 | 9 | 3.85 | 5.2 | 49.7 | 31.75 |
| 35 | 250 | 15 | 15 | 450 | 400 | 10 | 9 | 3.12 | 4.5 | 31.4 | 32.45 |
| 36 | 250 | 15 | 15 | 450 | 400 | 30 | 3 | 5.35 | 8.0 | 43.7 | 30.30 |
| 37 | 250 | 15 | 15 | 800 | 100 | 10 | 9 | 3.95 | 5.0 | 31.2 | 31.65 |
| 38 | 250 | 15 | 15 | 800 | 100 | 30 | 3 | 5.85 | 7.6 | 43.7 | 29.82 |
| No. | W | m | |||||||||
|---|---|---|---|---|---|---|---|---|---|---|---|
| (°C) | (°C) | (mm/s) | (bar) | (bar) | (s) | (s) | (cm3) | (mm) | (s) | (g) | |
| 39 | 250 | 15 | 15 | 800 | 400 | 10 | 3 | 5.48 | 6.7 | 24.6 | 30.18 |
| 40 | 250 | 15 | 15 | 800 | 400 | 30 | 9 | 3.02 | 6.4 | 49.7 | 32.55 |
| 41 | 250 | 15 | 60 | 450 | 100 | 10 | 9 | 4.15 | 4.8 | 29.5 | 31.45 |
| 42 | 250 | 15 | 60 | 450 | 100 | 30 | 3 | 6.06 | 6.0 | 42.1 | 29.62 |
| 43 | 250 | 15 | 60 | 450 | 400 | 10 | 3 | 5.83 | 7.7 | 22.9 | 29.84 |
| 44 | 250 | 15 | 60 | 450 | 400 | 30 | 9 | 3.20 | 5.2 | 48.1 | 32.37 |
| 45 | 250 | 15 | 60 | 800 | 100 | 10 | 3 | 6.16 | 16.0 | 22.6 | 29.52 |
| 46 | 250 | 15 | 60 | 800 | 100 | 30 | 9 | 4.07 | 7.1 | 47.8 | 31.53 |
| 47 | 250 | 15 | 60 | 800 | 400 | 10 | 9 | 3.29 | 6.0 | 29.5 | 32.29 |
| 48 | 250 | 15 | 60 | 800 | 400 | 30 | 3 | 5.48 | 9.1 | 41.9 | 30.17 |
| 49 | 250 | 45 | 15 | 450 | 100 | 10 | 9 | 4.54 | 5.8 | 30.8 | 31.08 |
| 50 | 250 | 45 | 15 | 450 | 100 | 30 | 3 | 6.21 | 7.9 | 43.8 | 29.47 |
| 51 | 250 | 45 | 15 | 450 | 400 | 10 | 3 | 5.95 | 9.9 | 24.3 | 29.73 |
| 52 | 250 | 45 | 15 | 450 | 400 | 30 | 9 | 3.84 | 8.4 | 49.8 | 31.76 |
| 53 | 250 | 45 | 15 | 800 | 100 | 10 | 3 | 6.25 | 13.6 | 24.3 | 29.43 |
| 54 | 250 | 45 | 15 | 800 | 100 | 30 | 9 | 4.43 | 8.8 | 49.7 | 31.19 |
| 55 | 250 | 45 | 15 | 800 | 400 | 10 | 9 | 3.94 | 7.0 | 31.0 | 31.66 |
| 56 | 250 | 45 | 15 | 800 | 400 | 30 | 3 | 5.87 | 8.6 | 43.9 | 29.80 |
| 57 | 250 | 45 | 60 | 450 | 100 | 10 | 3 | 6.49 | 8.1 | 22.6 | 29.20 |
| 58 | 250 | 45 | 60 | 450 | 100 | 30 | 9 | 4.63 | 7.6 | 48.2 | 30.99 |
| 59 | 250 | 45 | 60 | 450 | 400 | 10 | 9 | 4.13 | 9.3 | 29.4 | 31.48 |
| 60 | 250 | 45 | 60 | 450 | 400 | 30 | 3 | 6.11 | 8.3 | 42.2 | 29.57 |
| 61 | 200 | 30 | 38 | 625 | 250 | 20 | 6 | 4.20 | 6.2 | 35.4 | 31.41 |
| 62 | 250 | 30 | 38 | 625 | 250 | 20 | 6 | 4.84 | 8.0 | 35.3 | 30.79 |
| 63 | 225 | 15 | 38 | 625 | 250 | 20 | 6 | 4.26 | 9.0 | 35.3 | 31.36 |
| 64 | 225 | 45 | 38 | 625 | 250 | 20 | 6 | 4.87 | 3.6 | 35.4 | 30.76 |
| 65 | 225 | 30 | 15 | 625 | 250 | 20 | 6 | 4.31 | 7.3 | 35.9 | 31.31 |
| 66 | 225 | 30 | 60 | 625 | 250 | 20 | 6 | 4.51 | 7.6 | 35.0 | 31.11 |
| 67 | 225 | 30 | 38 | 450 | 250 | 20 | 6 | 4.44 | 6.5 | 35.6 | 31.18 |
| 68 | 225 | 30 | 38 | 800 | 250 | 20 | 6 | 4.45 | 7.6 | 35.3 | 31.17 |
| 69 | 225 | 30 | 38 | 625 | 100 | 20 | 6 | 4.97 | 4.8 | 35.4 | 31.34 |
| 70 | 225 | 30 | 38 | 625 | 400 | 20 | 6 | 4.27 | 7.5 | 35.4 | 30.66 |
| 71 | 225 | 30 | 38 | 625 | 250 | 10 | 6 | 4.61 | 6.3 | 26.1 | 31.12 |
| 72 | 225 | 30 | 38 | 625 | 250 | 30 | 6 | 4.50 | 5.7 | 45.4 | 31.01 |
| 73 | 225 | 30 | 38 | 625 | 250 | 20 | 3 | 5.61 | 7.4 | 32.4 | 31.96 |
| 74 | 225 | 30 | 38 | 625 | 250 | 20 | 9 | 3.63 | 5.6 | 38.3 | 30.05 |
| 75 | 225 | 30 | 38 | 625 | 250 | 20 | 6 | 4.54 | 7.2 | 35.3 | 31.09 |
| Round | Weight Tol. (g) | Warpage (mm) | Shrinkage (cm3) | Cycle Time (s) | Candidates |
|---|---|---|---|---|---|
| 1 | <6.0 | <3.0 | <40.0 | 16 | |
| 2 | <5.0 | <3.0 | <35.0 | 5 | |
| 3 | <5.0 | <3.0 | <36.0 | 0 | |
| 4 | <5.0 | <3.0 | <37.0 | 0 | |
| 5 | <5.5 | <3.0 | <35.0 | 10 |
| Rank | W | m | |||||||||
|---|---|---|---|---|---|---|---|---|---|---|---|
| (°C) | (°C) | (mm/s) | (bar) | (bar) | (s) | (s) | (cm3) | (mm) | (s) | (g) | |
| 1 | 200.6 | 20.6 | 52.7 | 560.4 | 382.8 | 10.5 | 8.8 | 2.94 | 5.10 | 29.7 | 32.54 |
| 2 | 201.0 | 15.8 | 49.4 | 707.0 | 395.1 | 10.5 | 8.1 | 2.98 | 5.38 | 29.1 | 32.51 |
| 3 | 201.2 | 19.5 | 31.8 | 525.8 | 389.0 | 10.6 | 8.8 | 2.93 | 4.89 | 30.6 | 32.56 |
| 4 | 200.9 | 22.2 | 19.3 | 559.9 | 394.2 | 10.6 | 9.0 | 2.86 | 4.87 | 31.4 | 32.62 |
| 5 | 201.1 | 21.8 | 34.1 | 563.7 | 396.4 | 11.3 | 8.6 | 2.97 | 5.05 | 30.9 | 32.52 |
| 6 | 200.2 | 22.8 | 42.4 | 567.6 | 377.4 | 11.7 | 8.8 | 2.98 | 5.07 | 31.2 | 32.51 |
| 7 | 200.1 | 22.2 | 38.9 | 561.8 | 385.6 | 11.8 | 8.7 | 2.95 | 5.02 | 31.4 | 32.53 |
| 8 | 200.6 | 18.5 | 25.6 | 461.3 | 393.3 | 12.2 | 8.8 | 2.90 | 4.72 | 32.4 | 32.58 |
| 9 | 200.0 | 23.2 | 34.0 | 560.0 | 380.6 | 11.8 | 8.8 | 2.96 | 5.00 | 31.7 | 32.52 |
| 10 | 200.8 | 23.1 | 55.8 | 591.9 | 384.0 | 12.3 | 8.8 | 2.95 | 5.22 | 31.2 | 32.53 |
Disclaimer/Publisher’s Note: The statements, opinions and data contained in all publications are solely those of the individual author(s) and contributor(s) and not of MDPI and/or the editor(s). MDPI and/or the editor(s) disclaim responsibility for any injury to people or property resulting from any ideas, methods, instructions or products referred to in the content. |
© 2026 by the authors. Licensee MDPI, Basel, Switzerland. This article is an open access article distributed under the terms and conditions of the Creative Commons Attribution (CC BY) license.
Share and Cite
Omar, H.M.; Mukras, S.M.S. Experiment-Driven Gaussian Process Surrogate Modeling and Bayesian Optimization for Multi-Objective Injection Molding. Polymers 2026, 18, 902. https://doi.org/10.3390/polym18080902
Omar HM, Mukras SMS. Experiment-Driven Gaussian Process Surrogate Modeling and Bayesian Optimization for Multi-Objective Injection Molding. Polymers. 2026; 18(8):902. https://doi.org/10.3390/polym18080902
Chicago/Turabian StyleOmar, Hanafy M., and Saad M. S. Mukras. 2026. "Experiment-Driven Gaussian Process Surrogate Modeling and Bayesian Optimization for Multi-Objective Injection Molding" Polymers 18, no. 8: 902. https://doi.org/10.3390/polym18080902
APA StyleOmar, H. M., & Mukras, S. M. S. (2026). Experiment-Driven Gaussian Process Surrogate Modeling and Bayesian Optimization for Multi-Objective Injection Molding. Polymers, 18(8), 902. https://doi.org/10.3390/polym18080902

