Waterproof and Breathable Polyurethane Membranes with Self-Healing and Self-Cleaning Properties: Synergistic Enhancement by Polydimethylsiloxane and Phenolic Carbamate Network and Photocatalytic Effect
Abstract
1. Introduction
2. Experimental Section
2.1. Experimental Materials
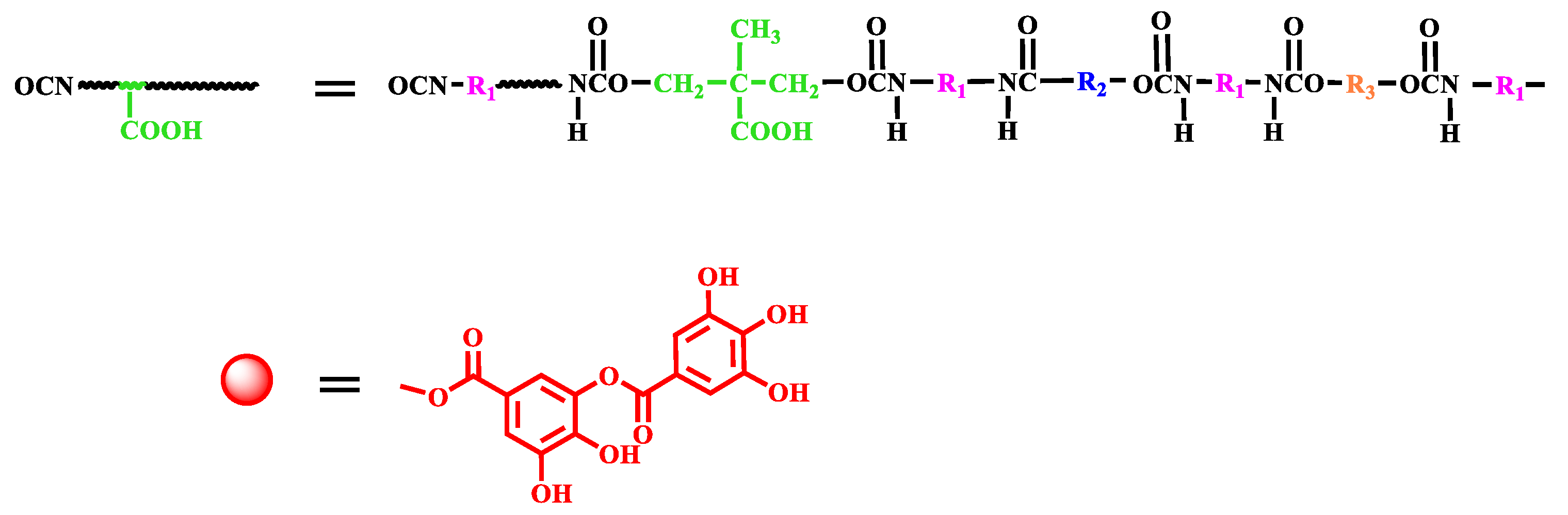
2.2. Synthesis of Synergistically Modified Waterborne Polyurethane (PTWPU)
2.3. Preparation of TPTWPU Composite Emulsion and Its Membrane
2.4. Characterization and Testing
3. Results and Discussion
3.1. FTIR and XPS Analysis
3.2. Microstructure of PTWPU and TPTWPU Composite Membranes
3.3. Mechanical Properties and Thermal Stability of PTWPU and TPTWPU Composite Membranes
3.4. Waterproofing and Moisture Permeability of PTWPU and TPTWPU Composite Membranes
3.5. Photocatalytic Performance and Self-Cleaning Property of TPTWPU Composite Membranes
3.6. Self-Healing Performance of TPTWPU Composite Membrane
4. Conclusions
Supplementary Materials
Author Contributions
Funding
Institutional Review Board Statement
Data Availability Statement
Conflicts of Interest
References
- Chang, Y.W.; Liu, F.J. Review of Waterproof Breathable Membranes: Preparation, Performance and Applications in the Textile Field. Materials 2023, 16, 5339. [Google Scholar] [CrossRef] [PubMed]
- Zhang, Y.H.; Ren, G.H.; Nie, G.W.; Hu, S.; Li, D.; Sun, W.; Li, Z.; Cui, Z.; Lu, D.; Shi, X.; et al. Facile fabrication of fluorine-free waterproof and breathable nanofiber membranes with UV-resistant and acid-alkali resistant performances. Colloids Surf. A Physicochem. Eng. Asp. 2024, 685, 133310. [Google Scholar] [CrossRef]
- Liu, S.Y.; Xu, L.; Yu, J.Y.; Si, Y.; Ding, B. Amphiphobic, Thermostable, and Stretchable PTFE Nanofibrous Membranes with Breathable and Chemical-Resistant Performances for Protective Applications. ACS Appl. Polym. Mater. 2023, 5, 1464–1473. [Google Scholar] [CrossRef]
- Gu, J.T.; Gu, H.H.; Cao, J.; Chen, S.; Li, N.; Xiong, J. Robust hydrophobic polyurethane fibrous membranes with tunable porous structure for waterproof and breathable application. Appl. Surf. Sci. 2018, 439, 589–597. [Google Scholar] [CrossRef]
- Gao, J.K.; Li, F.W.; Liu, S.J. A Research on the Air Permeability of High Polymer Materials Used to Produce Sports Clothing Fabrics. Fluid Dyn. Mater. Process. 2023, 19, 1173–1187. [Google Scholar] [CrossRef]
- Li, Y.; Zhu, Z.G.; Yu, J.Y.; Ding, B. Carbon Nanotubes Enhanced Fluorinated Polyurethane Macroporous Membranes for Waterproof and Breathable Application. ACS Appl. Mater. Interfaces 2015, 7, 13538–13546. [Google Scholar] [CrossRef]
- Wang, Y.; Ding, M.L.; Wang, F.; Surmenev, R.A.; Liu, X.; Yu, J.; Ding, B. Thermostable, reusable, waterproof, and breathable PTFE coated PAI nanofiber membrane for protective application. J. Text. Inst. 2025, 117, 473–482. [Google Scholar] [CrossRef]
- Tehrani-Bagha, A.R. Waterproof breathable layers—A review. Adv. Colloid Interface Sci. 2019, 268, 114–135. [Google Scholar] [CrossRef]
- Yang, W.; Li, R.; Fang, C.P.; Hao, W. Surface modification of polyamide nanofiber membranes by polyurethane to simultaneously improve their mechanical strength and hydrophobicity for breathable and waterproof applications. Prog. Org. Coat. 2019, 131, 67–72. [Google Scholar] [CrossRef]
- Guo, L.F.; Lu, S.F.; Shao, J.F.; Shi, W.; Sun, Y. Preparation and Properties of GMS/HTSF-Modified Waterborne Polyurethane Fluorine-Free Waterproof and Breathable Film. Langmuir 2024, 40, 16855–16866. [Google Scholar] [CrossRef]
- Li, F.Q.; Liang, Z.; Li, Y.X.; Wu, Z.; Yi, Z. Synthesis of waterborne polyurethane by inserting polydimethylsiloxane and constructing dual crosslinking for obtaining the superior performance of waterborne coatings. Compos. Part B Eng. 2022, 238, 109889. [Google Scholar] [CrossRef]
- Kim, M.G.; Jo, K.I.; Kim, E.; Park, J.H.; Ko, J.W.; Lee, J.H. Preparation of Polydimethylsiloxane-Modified Waterborne Polyurethane Coatings for Marine Applications. Polymers 2021, 13, 4283. [Google Scholar] [CrossRef] [PubMed]
- Zhou, H.T.; Liu, Y.; Lu, T.H.; Xia, W.; Qin, Y.; Kuang, G.; Xin, B. Novel waterborne polyurethanes extended by glycerol monostearate: Their synthesis and application to water repellency. J. Polym. Res. 2025, 32, 30. [Google Scholar] [CrossRef]
- Qian, Y.A.; Dong, F.H.; Guo, L.Z.; Xu, X.; Liu, H. Two-component waterborne polyurethane modified with terpene derivative-based polysiloxane for coatings via a thiol-ene click reaction. Ind. Crops Prod. 2021, 171, 113903. [Google Scholar] [CrossRef]
- Shin, E.A.; Lee, S.B.; Kim, G.H.; Jung, J.; Lee, C.K. Enhanced Interfacial Adhesion of Polydimethylsiloxane (PDMS) by Control of the Crosslink Density. J. Nanosci. Nanotechnol. 2020, 20, 6768–6775. [Google Scholar] [CrossRef]
- Liu, T.; Liu, D.Y.; Zhou, W.S.; Ni, L.; Quan, H.; Yang, Z. Effects of soft segment and microstructure of polysiloxane modified cationic waterborne polyurethane on the properties of its emulsion and membrane. Mater. Res. Express 2019, 6, 025304. [Google Scholar] [CrossRef]
- Aqeel, M.; Ikram, M.; Imran, M.; Ul-Hamid, A.; Qumar, U.; Shahbaz, A.; Saeed, A. TiO2 Co-doped with Zr and Ag shows highly efficient visible light photocatalytic behavior suitable for treatment of polluted water. RSC Adv. 2020, 10, 42235–42248. [Google Scholar] [CrossRef]
- Reid, D.L.; Draper, R.; Richardson, D.; Demko, A.; Allen, T.; Petersen, E.L.; Seal, S. synthesis of polyurethane-TiO2 nanocomposite and performance in solid propellants. J. Mater. Chem. A 2014, 2, 2313–2322. [Google Scholar] [CrossRef]
- Mahesh, K.P.O.; Kuo, D.H.; Huang, B.R.; Ujihara, M.; Imae, T. Chemically modified polyurethane-SiO2/TiO2hybrid composite film and its reusability for photocatalytic degradation of Acid Black 1 (AB 1) under UV light. Appl. Catal. A Gen. 2014, 475, 235–241. [Google Scholar] [CrossRef]
- Dai, S.B.; Yang, X.H.; Li, F.F.; He, Y.; Tao, X.; Li, Z. Synergistic effect of tannic acid and metal-doping for enhancing visible light-driven photocatalytic degradation performance of TiO2/TAPU composite membrane. Colloids Surf. A Physicochem. Eng. Asp. 2025, 709, 136175. [Google Scholar] [CrossRef]
- Davari, N.; Falletta, E.; Bianchi, C.L.; Yargeau, V.; Boffito, D.C. TiO2 nanotubes immobilized on polyurethane foam as a floating photocatalyst for water treatment. Catal. Today 2024, 436, 114725. [Google Scholar] [CrossRef]
- Yi, L.H.; Dai, S.; Zhao, A.J.; Qiu, H.; Chen, K. Synthesis of waterborne multi-branched sulfonated lignin-based amphiphilic polyurethane and its application in fabric coatings. Prog. Org. Coat. 2025, 206, 109372. [Google Scholar] [CrossRef]
- Xia, Y.; He, L.F.; Feng, J.D.; Xu, S.; Yao, L.; Pan, G. Waterproof and Moisture-Permeable Polyurethane Nanofiber Membrane with High Strength, Launderability, and Durable Antimicrobial Properties. Nanomaterials 2022, 12, 1813. [Google Scholar] [CrossRef] [PubMed]
- Wang, Y.; Yu, Z.X.; Zhang, P.B.; Wang, Y.; Chang, Z.; Jiang, P.; Xia, J.; Gao, X.; Bao, Y. Development of a bio-based self-healing waterborne polyurethane with dynamic phenol-carbamate network for enhanced antimicrobial and antiseptic performance. J. Polym. Sci. 2024, 62, 4277–4288. [Google Scholar] [CrossRef]
- Liu, Y.; Li, Z.J.; Zhang, Z.T.; Wang, J.; Sun, L.; Xie, T. Thermal-driven self-healing waterborne polyurethane with robust mechanical properties based on reversible phenol-carbamate network and Fe-catechol coordination bond. Prog. Org. Coat. 2021, 153, 106153. [Google Scholar] [CrossRef]
- Peng, J.; Wang, H.X.; Chen, S.S.; Liu, W.; Qiu, X. Mechanically Robust, Reprocessable, and Light-Controlled Healable Solvent-Free Lignin-Containing Polyurethane Elastomers Based on Dynamic Phenol-Carbamate Network. Macromolecules 2025, 58, 836–854. [Google Scholar] [CrossRef]
- Liu, Y.; Zhang, Z.T.; Wang, J.C.; Xie, T.; Sun, L.; Yang, K.; Li, Z. Renewable tannic acid based self-healing polyurethane with dynamic phenol-carbamate network: Simultaneously showing robust mechanical properties, reprocessing ability and shape memory. Polymer 2021, 228, 123860. [Google Scholar] [CrossRef]
- Peng, H.Y.; Du, X.S.; Cheng, X.; Wang, H.; Du, Z. Room-temperature self-healable and stretchable waterborne polyurethane film fabricated via multiple hydrogen bonds. Prog. Org. Coat. 2021, 151, 106081. [Google Scholar] [CrossRef]
- Zhang, J.Q.; Zhai, R.X.; Zhang, J.S.; Li, J.; Hong, C.; Xu, Y.; Zhou, C. Waterborne polyurethane based on dual crosslinked structure with excellent mechanical properties, water and corrosion resistance. Prog. Org. Coat. 2024, 197, 108784. [Google Scholar] [CrossRef]
- Liu, Y.; Glenn, J.; Tran, K.; Zhang, M.; Zhou, H.; Soleimani, M.; Lucas, F.; Winnik, M.A.; Schackmann, E. Film Formation of Waterborne 2K Polyurethanes: Effect of Polyols Containing Different Carboxylic Acid Content. Macromolecules 2021, 54, 7943–7954. [Google Scholar] [CrossRef]
- Zhu, X.L.; Han, K.; Li, C.; Wang, J.; Yuan, J.; Pan, Z.; Pan, M. Tough, Photoluminescent, Self-Healing Waterborne Polyurethane Elastomers Resulting from Synergistic Action of Multiple Dynamic Bonds. Acs Appl. Mater. Interfaces 2023, 15, 19414–19426. [Google Scholar] [CrossRef]
- Hong, C.Y.; Li, J.W.; Zhang, J.Q.; Zhai, R.; Fei, B.; Zhou, C. Rational design of a novel siloxane-branched waterborne polyurethane coating with waterproof and antifouling performance. Prog. Org. Coat. 2024, 194, 108576. [Google Scholar] [CrossRef]
- Bae, E.H.; Park, J.H.; Chung, I.D.; Park, H.J. Preparation and characteristics of polydimethylsiloxane (PDMS)-based waterborne polyurethane coatings with cold resistance. Mol. Cryst. Liq. Cryst. 2024, 768, 104–113. [Google Scholar] [CrossRef]
- Pan, Z.; Feng, G.D.; Xue, Y.J.; Song, F.; Zhang, M.; Zhou, Y. A novel green polyurethane adhesive based on castor oil and tannic acid with excellent water, salt, acid, alkali and antibacterial properties. Ind. Crops Prod. 2023, 204, 117325. [Google Scholar] [CrossRef]
- Liu, Y.; Zhang, Z.T.; Fan, W.W.; Yang, K.; Li, Z. Preparation of renewable gallic acid-based self-healing waterborne polyurethane with dynamic phenol-carbamate network: Toward superior mechanical properties and shape memory function. J. Mater. Sci. 2022, 57, 5679–5696. [Google Scholar] [CrossRef]
- Xia, Z.Y.; Singh, A.; Kiratitanavit, W.; Mosurkal, R.; Kumar, J.; Nagarajan, R. Unraveling the mechanism of thermal and thermo-oxidative degradation of tannic acid. Thermochim. Acta 2015, 605, 77–85. [Google Scholar] [CrossRef]
- Sui, Z.H.; Li, Y.P.; Guo, Z.; Zhang, Q.; Xu, Y.; Zhao, X. Preparation and properties of polysiloxane modified fluorine-containing waterborne polyurethane emulsion. Prog. Org. Coat. 2022, 166, 106783. [Google Scholar] [CrossRef]
- Luo, S.; Yang, K.; Zhong, Z.; Wu, X.; Ren, T. Facile preparation of degradable multi-arm-star-branched waterborne polyurethane with bio-based tannic acid. RSC Adv. 2018, 8, 37765–37773. [Google Scholar] [CrossRef]
- Yuan, Z.; Shang, X.Y.; Fang, J.; Li, H. A simple method for preparation of lignin/TiO nanocomposites by sulfonation degree regulation and their application in polyurethane films. Int. J. Biol. Macromol. 2022, 198, 18–25. [Google Scholar] [CrossRef]
- Zhou, W.; Bo, C.Y.; Jia, P.Y.; Zhou, Y.; Zhang, M. Effects of Tung Oil-Based Polyols on the Thermal Stability, Flame Retardancy, and Mechanical Properties of Rigid Polyurethane Foam. Polymers 2019, 11, 45. [Google Scholar] [CrossRef]
- Hou, X.Y.; Zhao, H.T.; Zhang, W.B.; Ma, H.; Li, R.; Han, B.; Zhang, Y.; Wang, J.J. Moisture-regulating microcapsule and its enhanced water vapor permeability of leather polyurethane coating. Prog. Org. Coat. 2022, 166, 106792. [Google Scholar] [CrossRef]
- Zhou, W.J.; Wang, P.; Chen, Z.P.; Wang, X.; Yu, H. Constructing stable Fe-coordinated tannate acid three-dimensional network for long-lasting superhydrophilicity of TiO. Colloids Surf. A Physicochem. Eng. Asp. 2025, 704, 135495. [Google Scholar] [CrossRef]
- Zhang, L.L.; Guan, Q.H.; Jiang, J.C.; Khan, M.S. Tannin complexation with metal ions and its implication on human health, environment and industry: An overview. Int. J. Biol. Macromol. 2023, 253, 127485. [Google Scholar] [CrossRef]
- Cui, Z.X.; Tian, S.N.; Liu, X.L.; Wang, Q.; Zeng, S.; Si, J. Electrospinning preparation of TPU/TiO2/PANI fiber membrane with enhanced dye degradation and photocatalytic Cr(VI) reduction. Colloids Surf. A Physicochem. Eng. Asp. 2023, 664, 131111. [Google Scholar] [CrossRef]
- Bai, X.Y.; Zhang, Q.; Zhou, X.T.; Yao, J.; Wan, P.; Chen, D.W. Use of egg yolk phospholipids to improve the thermal-oxidative stability of fatty acids, capsaicinoids and carotenoids in chili oil. Food Chem. 2024, 451, 139423. [Google Scholar] [CrossRef]
- Chen, W.J.; Hsu, K.C.; Fang, T.H.; Chen, T.H.; Li, M.H. Characteristics and heterostructure of metal-doped TiO2/ZnO nanocatalysts. Curr. Appl. Phys. 2022, 38, 1–6. [Google Scholar] [CrossRef]








Disclaimer/Publisher’s Note: The statements, opinions and data contained in all publications are solely those of the individual author(s) and contributor(s) and not of MDPI and/or the editor(s). MDPI and/or the editor(s) disclaim responsibility for any injury to people or property resulting from any ideas, methods, instructions or products referred to in the content. |
© 2026 by the authors. Licensee MDPI, Basel, Switzerland. This article is an open access article distributed under the terms and conditions of the Creative Commons Attribution (CC BY) license.
Share and Cite
He, Y.; Yang, X.; Li, F.; Tao, X.; Liu, C.; Li, Z. Waterproof and Breathable Polyurethane Membranes with Self-Healing and Self-Cleaning Properties: Synergistic Enhancement by Polydimethylsiloxane and Phenolic Carbamate Network and Photocatalytic Effect. Polymers 2026, 18, 881. https://doi.org/10.3390/polym18070881
He Y, Yang X, Li F, Tao X, Liu C, Li Z. Waterproof and Breathable Polyurethane Membranes with Self-Healing and Self-Cleaning Properties: Synergistic Enhancement by Polydimethylsiloxane and Phenolic Carbamate Network and Photocatalytic Effect. Polymers. 2026; 18(7):881. https://doi.org/10.3390/polym18070881
Chicago/Turabian StyleHe, Yuqing, Xiaohan Yang, Fufen Li, Xiudan Tao, Chenhui Liu, and Zhengjun Li. 2026. "Waterproof and Breathable Polyurethane Membranes with Self-Healing and Self-Cleaning Properties: Synergistic Enhancement by Polydimethylsiloxane and Phenolic Carbamate Network and Photocatalytic Effect" Polymers 18, no. 7: 881. https://doi.org/10.3390/polym18070881
APA StyleHe, Y., Yang, X., Li, F., Tao, X., Liu, C., & Li, Z. (2026). Waterproof and Breathable Polyurethane Membranes with Self-Healing and Self-Cleaning Properties: Synergistic Enhancement by Polydimethylsiloxane and Phenolic Carbamate Network and Photocatalytic Effect. Polymers, 18(7), 881. https://doi.org/10.3390/polym18070881
