Improved Performance, Seed Germination and Degradation Behavior of Bamboo Fiber Paper Mulch Film Reinforced by Nano Bacterial Cellulose
Abstract
1. Introduction
2. Materials and Methods
2.1. Materials
2.2. Bamboo Residue Biochemical Pretreatment
2.2.1. Biological Pretreatment
2.2.2. Low-Alkali Treatment
2.3. Preparation of BC Suspension
2.4. Preparation of BC-BFM and Drainability of Fiber Pulps
2.5. Properties of BC-BFM Test
2.5.1. Tensile Strength
2.5.2. Tearing Resistance
2.5.3. Bursting Strength
2.5.4. Measurement of Surface Contact Angle
2.5.5. Surface Color and ISO Brightness Measurement
2.5.6. Air Permeance of BC-BFM Test
2.6. Characterization of BC-BFM
2.6.1. FTIR Spectra and XRD Test
2.6.2. Surface/Cross-Section Micromorphology
2.7. Seed Germination
2.8. Degradation Behavior of BC-BFM
3. Results
3.1. The Structure and Morphology of BC
3.2. Mechanical Property Analysis
3.3. Surface Contact Angle and Surface Free Energy
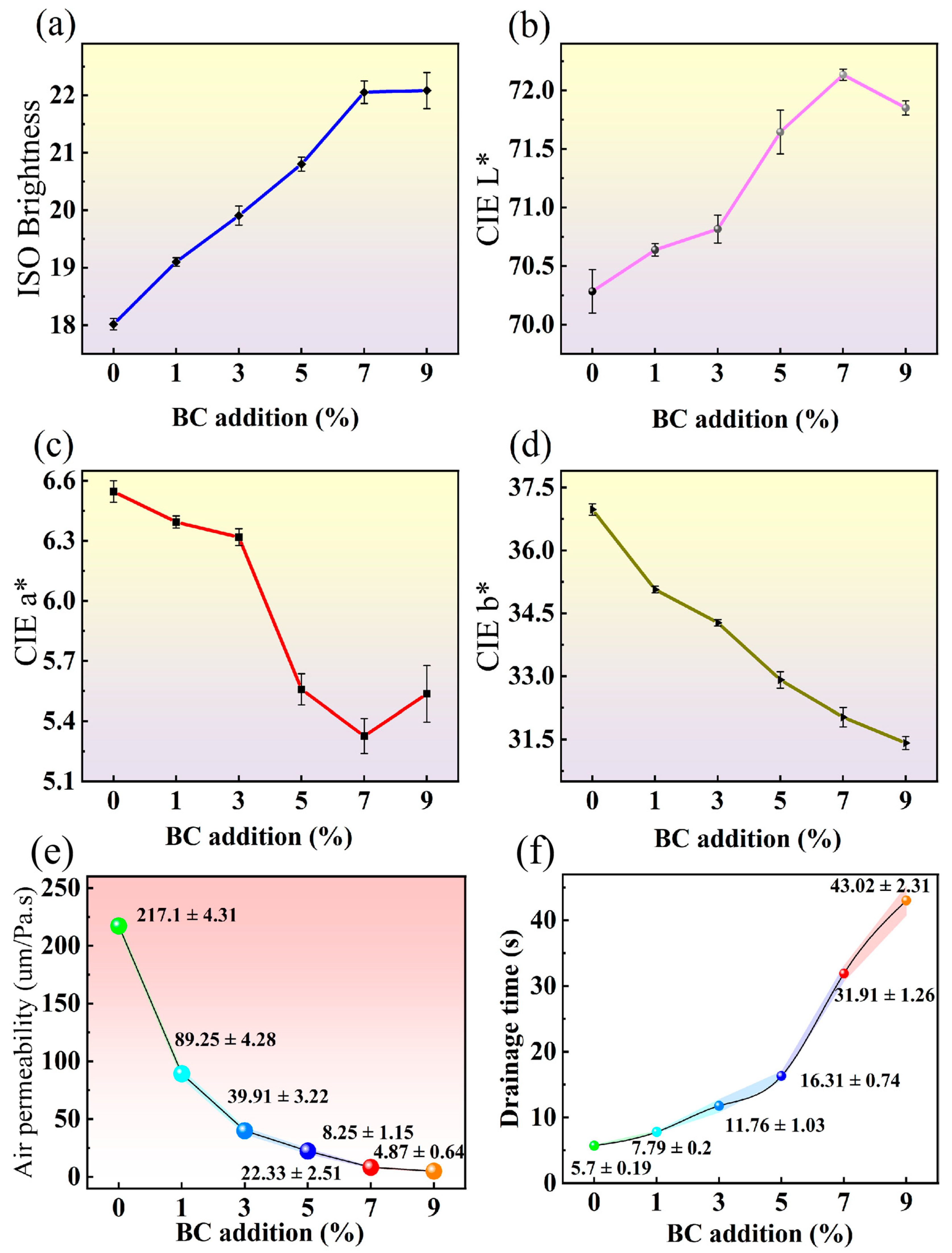
3.4. Surface Color and ISO Brightness Difference
3.5. Air Permeability and Drainage Time
3.6. FTIR and XRD Analysis of BC-BFM
3.7. SEM Analysis
3.8. Germination Experiment of BC-BFM
3.9. Degradability of BC-BFM
4. Conclusions
Author Contributions
Funding
Institutional Review Board Statement
Data Availability Statement
Conflicts of Interest
References
- Zhang, D.; Liu, H.B.; Hu, W.L.; Qin, X.H.; Ma, X.W.; Yan, C.R.; Wang, H.Y. The status and distribution characteristics of residual mulching film in Xinjiang, China. J. Integr. Agric. 2016, 15, 2639–2646. [Google Scholar] [CrossRef]
- Shao, Z.Y.; Xiao, K.Q.; Jin, M.K.; Chen, S.Y.; Huo, Y.X.; Zhu, Y.G. Environmental fate and effects of mulch films on agricultural soil: A systematic review from application to residual impact. Crit. Rev. Environ. Sci. Technol. 2025, 56, 43–66. [Google Scholar] [CrossRef]
- Guo, B.; Zhu, L.Y.; He, X.C.; Zhou, X.J.; Dong, B.R.; Liu, J.L. Modified Composite Biodegradable Mulch for Crop Growth and Sustainable Agriculture. Polymers 2024, 16, 1295. [Google Scholar] [CrossRef]
- Singh, T.; Patnaik, A.; Ranakoti, L.; Dogossy, G.; Lendvai, L. Thermal and Sliding Wear Properties of Wood Waste-Filled Poly(Lactic Acid) Biocomposites. Polymers 2022, 14, 2230. [Google Scholar] [CrossRef]
- Sun, Y.T.; Yang, W.L.; Shi, H.X.; Tanveer, S.K.; Hai, J.B. Past, present, and future perspectives of biodegradable films for soil: A 30-year systematic review. Front. Bioeng. Biotechnol. 2022, 10, 1006388. [Google Scholar] [CrossRef]
- Jiang, C.; Wu, J.M.; Wang, H.; Tao, Y.H.; Lu, J.; Hu, J.W.; Du, J.; Wang, H.S. Multiple cross-linked cellulosic paper-based waterproof and biodegradable mulch film for “green” agriculture. Int. J. Biol. Macromol. 2025, 284, 137977. [Google Scholar] [CrossRef]
- Lang, Q.; Liu, C.H.; Zhu, X.X.; Zhang, C.; Zhang, S.M.; Li, L.H.; Liu, S.; Chen, H.T. Fabrication and Characterization of Degradable Crop-Straw-Fiber Composite Film Using In Situ Polymerization with Melamine—Urea—Formaldehyde Prepolymer for Agricultural Film Mulching. Materials 2022, 15, 5170. [Google Scholar] [CrossRef]
- Li, A.L.; Zhang, J.Q.; Ren, S.Y.; Zhang, Y.; Zhang, F.W. Research progress on preparation and field application of paper mulch. Environ. Technol. Innov. 2021, 24, 101949. [Google Scholar] [CrossRef]
- Chen, X.Y.; Jiang, H.; Wang, G.; Wang, J.Z.; Chen, F.M. Disposable bamboo fiber meal boxes characterized by efficient preparation, excellent performance, and the potential for beneficial degradation. J. Clean. Prod. 2024, 434, 139973. [Google Scholar] [CrossRef]
- Chen, X.Y.; Zhong, T.H.; Jiang, H.; Wang, J.Z.; Chen, F.M.; Wang, G. Recyclable cellulose nanofibrils composite film derived from bamboo fiber tableware waste. Ind. Crops Prod. 2023, 205, 117539. [Google Scholar] [CrossRef]
- Guan, M.J.; Xu, X.J.; Tang, X.Y.; Li, Y.J. Optimization of supercritical CO2 extraction by response surface methodology, composition analysis and economic evaluation of bamboo green wax. J. Clean. Prod. 2022, 330, 129906. [Google Scholar] [CrossRef]
- Liao, Q.Z.; Wu, Y.L.; Chen, X.R.; Huang, Z.M.; Xiao, N.; Xie, S.X. Self-adhesive fiberboards fabricated from waste bamboo powder through biological pretreatment. Ind. Crops Prod. 2024, 221, 119404. [Google Scholar] [CrossRef]
- Chen, H.; Wang, Y.Y.; Qiu, J.; Song, J.S.; Wang, J.H.; Liu, M.F.; Wo, Q.H.; Jiang, L.H.; Yang, T. Properties and Application of Kraft Pulp Prepared from Waste Bamboo Powder. Bioresources 2022, 17, 6262–6276. [Google Scholar] [CrossRef]
- Leng, Y.; Dong, S.D.; Chen, Z.; Sun, Y.X.; Xu, Q.; Ma, L.X.; He, X.; Hai, C.X.; Zhou, Y. Preparation of high-performance anode materials for sodium-ion batteries using bamboo waste: Achieving resource recycling. J. Power Sources 2024, 613, 234826. [Google Scholar] [CrossRef]
- Ding, X.L.; Dai, R.; Chen, H.; Shan, Z.H. Gelatin as green adhesive for the preparation of a multifunctional biobased cryogel derived from bamboo industrial waste. Carbohydr. Polym. 2021, 255, 117340. [Google Scholar] [CrossRef]
- Guan, M.J.; Fu, R.; Yong, C.; Li, Y.J.; Xu, X.J. Properties of binderless bamboo particleboards derived from biologically fermented bamboo green residues. Waste Manag. 2022, 151, 195–204. [Google Scholar] [CrossRef]
- Li, A.; Xu, D.Z.; Li, Y.; Wu, S.Z.; Madyan, O.A.; Rao, J.P.; Fan, M.Z. Binary additives of polyamide epichlorohydrin-nanocellulose for effective valorization of used paper. Int. J. Biol. Macromol. 2023, 226, 194–201. [Google Scholar] [CrossRef]
- Qin, C.R.; Li, J.; Wang, W.; Li, W. Improving Mechanical Strength and Water Barrier Properties of Pulp Molded Product by Wet-End Added Polyamide Epichlorohydrin/Cationic Starch. Acs Omega 2022, 7, 22173–22180. [Google Scholar] [CrossRef]
- Slonina, M.; Dziurka, D.; Molinska-Glura, M.; Smardzewski, J. Influence of Impregnation with Modified Starch of a Paper Core on Bending of Wood-Based Honeycomb Panels in Changing Climatic Conditions. Materials 2022, 15, 395. [Google Scholar] [CrossRef]
- Tosif, M.M.; Najda, A.; Bains, A.; Zawislak, G.; Maj, G.; Chawla, P. Starch–Mucilage Composite Films: An Inclusive on Physicochemical and Biological Perspective. Polymers 2021, 13, 2588. [Google Scholar] [CrossRef]
- Chiani, E.; Torshizi, H.J.; Ashori, A.; Rudi, H.; Nabid, M.R. Valorizing recycled paper through chitosan and glyoxal-chitosan treatments: Synergistic effects on mechanical and physical properties. J. Thermoplast. Compos. Mater. 2025, 38, 1122–1141. [Google Scholar] [CrossRef]
- Liu, W.; Liu, K.; Du, H.S.; Zheng, T.; Zhang, N.; Xu, T.; Pang, B.; Zhang, X.Y.; Si, C.L.; Zhang, K. Cellulose Nanopaper: Fabrication, Functionalization, and Applications. Nano-Micro Lett. 2022, 14, 104. [Google Scholar] [CrossRef]
- Rahmaninia, M.; Rahmati, Y.; Tabarsa, M. Upgrading recycled paper using Astragalus gossypinus tragacanth gum as a bio-based additive. Bioresources 2025, 20, 4365–4377. [Google Scholar] [CrossRef]
- de Amorim, J.D.P.; de Souza, K.C.; Duarte, C.R.; da Silva Duarte, I.; de Assis Sales Ribeiro, F.; Silva, G.S.; de Farias, P.M.A.; Stingl, A.; Costa, A.F.S.; Vinhas, G.M.; et al. Plant and bacterial nanocellulose: Production, properties and applications in medicine, food, cosmetics, electronics and engineering. A review. Environ. Chem. Lett. 2020, 18, 851–869. [Google Scholar] [CrossRef]
- Huang, M.L.; Zhang, C.H.; Hou, F.Q.; Zhan, Y.F.; Sun, Y.D. Enhancing quartz fiber dispersibility and wettability with bacterial cellulose for high-performance quartz paper. Carbohydr. Polym. 2025, 357, 123481. [Google Scholar] [CrossRef]
- Lupascu, R.E.; Ghica, M.V.; Dinu-Pîrvu, C.E.; Popa, L.; Velescu, B.S.; Arsene, A.L. An Overview Regarding Microbial Aspects of Production and Applications of Bacterial Cellulose. Materials 2022, 15, 676. [Google Scholar] [CrossRef]
- Lourenço, A.F.; Martins, D.; Dourado, F.; Sarmento, P.; Ferreira, P.J.T.; Gamelas, J.A.F. Impact of bacterial cellulose on the physical properties and printing quality of fine papers. Carbohydr. Polym. 2023, 314, 120915. [Google Scholar] [CrossRef]
- Srichola, P.; Kongsin, K.; Apipatpapha, T.; Boonyarit, J.; Ounu, P.; Chollakup, R. Coated High-Performance Paper from Bacterial Cellulose Residue and Eucalyptus Pulp: Enhanced Mechanical Strength, Water Resistance, and Air Barrier Properties. Coatings 2025, 15, 720. [Google Scholar] [CrossRef]
- Wu, X.; Mou, H.Y.; Fan, H.M.; Yin, J.Y.; Liu, Y.B.; Liu, J.A. Improving the flexibility and durability of aged paper with bacterial cellulose. Mater. Today Commun. 2022, 32, 103827. [Google Scholar] [CrossRef]
- Kumar, U.V.; Narayanasamy, S.; Uthandi, S. Bacterial cellulose: A comprehensive review on biosynthesis, sustainable production, and multifaceted industrial applications. Food Bioprod. Process. 2025, 154, 153–174. [Google Scholar] [CrossRef]
- Li, S.J.; Niu, M.C.; Li, S.N.; Qi, Q.Y.T.; Liu, Z.C.; Shi, R.Y.; Zhao, X.H. Three-in-one: Fungal-degradable bacterial cellulose film to improve soil fertility. Int. J. Biol. Macromol. 2025, 321, 146351. [Google Scholar] [CrossRef]
- Xiang, Z.Y.; Zhang, J.; Liu, Q.G.; Chen, Y.; Li, J.; Lu, F.C. Improved Dispersion of Bacterial Cellulose Fibers for the Reinforcement of Paper Made from Recycled Fibers. Nanomaterials 2019, 9, 58. [Google Scholar] [CrossRef]
- Campano, C.; Merayo, N.; Negro, C.; Blanco, A. Low-fibrillated bacterial cellulose nanofibers as a sustainable additive to enhance recycled paper quality. Int. J. Biol. Macromol. 2018, 114, 1077–1083. [Google Scholar] [CrossRef]
- Guan, M.J.; Liu, X.; Wu, M.Y.; Che, P.L.; Qian, S.; Xiao, F. Preparation, performance and degradation mechanism of a green bamboo fiber mulch by microbial fermentation/low alkali pretreatment. Ind. Crops Prod. 2025, 235, 121720. [Google Scholar] [CrossRef]
- GB/T 18402; Pulps—Determination of Drainability (Drainage Time Method). General Administration of Quality Supervision, Inspection and Quarantine of the People Republic of China: Beijing, China, 2001.
- Xing, J.M.; Geng, B.; Fatehi, P.; Zhu, H.F.; Lei, M.; Zhu, H.W.; Zhao, M.K.; Liang, L.; Shen, K.Z.; Fang, G.G.; et al. Chemo-enzymatic treatment of mechanical pulping: An efficient method for energy reduction and pulp strengthening. Ind. Crop. Prod. 2025, 235. [Google Scholar] [CrossRef]
- ISO 1924-2:2010; Paper and Board—Determination of Tensile Properties—Part 2: Constant Rate of Elongation Method (20 mm/min). International Organization for Standardization: Geneva, Switzerland, 2010.
- ISO 1974:2012; Paper—Determination of Tearing Resistance—Elmendorf Method. International Organization for Standardization: Geneva, Switzerland, 2012.
- ISO 2758:2014; Paper—Determination of Bursting Strength. International Organization for Standardization: Geneva, Switzerland, 2014.
- Jiang, C.; Wang, M.; Wang, B.; Wang, H.; Li, C.; Fu, C.; Hu, J.; Tao, Y.; Du, J.; Wang, H. Structurally engineered cellulose-based mulch film with enhanced hydrophobicity and strength for green agriculture. Int. J. Biol. Macromol. 2026, 339, 150010. [Google Scholar] [CrossRef]
- ISO 5636-1:1984; Paper and Board—Determination of Air Permeance (Medium Range)—Part 1: General Method. International Organization for Standardization: Geneva, Switzerland, 1984.
- Chen, X.; Liu, J.F.; Gao, D.L.; Wu, M.; Huang, Y. Preparation of ultrafine hydrophobic lignin-contained cellulose nanofiber via mechanochemical method and its films. Ind. Crops Prod. 2024, 222, 120064. [Google Scholar] [CrossRef]
- Liang, P.; Chen, X.P.; Wang, J.M.; Cai, C.S.; He, M.; Li, X.X.; Li, Y.B.; Koskela, S.; Xu, D.F. Regenerated cellulose films with controllable microporous structure for enhanced seed germination. Int. J. Biol. Macromol. 2024, 279, 135287. [Google Scholar] [CrossRef]
- Tabarsa, T.; Sheykhnazari, S.; Ashori, A.; Mashkour, M.; Khazaeian, A. Preparation and characterization of reinforced papers using nano bacterial cellulose. Int. J. Biol. Macromol. 2017, 101, 334–340. [Google Scholar] [CrossRef]
- Bharimalla, A.K.; Patil, S.; Dhakane-Lad, J.; Mahawar, M.K.; Nadanathangam, V.; Kautkar, S. Blending of cellulose nanofibers with cotton linter pulp to enhance the mechanical and barrier properties of paper. Sci. Rep. 2025, 15, 11788. [Google Scholar] [CrossRef]
- Rahman, S.; Uddin, A.J. Unusable cotton spinning mill waste: A viable source of raw material in paper making. Heliyon 2022, 8, e10055. [Google Scholar] [CrossRef]
- Khaksaar, A.B.; Torshizi, H.J.; Hamzeh, Y. Valorization and Development of Acorn Starch as Sustainable and High-Performance Papermaking Additive for Improving Bagasse Pulp and Paper Properties. Waste Biomass Valorization 2023, 14, 937–947. [Google Scholar] [CrossRef]
- Campano, C.; Merayo, N.; Negro, C.; Blanco, A. In situ production of bacterial cellulose to economically improve recycled paper properties. Int. J. Biol. Macromol. 2018, 118, 1532–1541. [Google Scholar] [CrossRef]
- Santos, S.M.; Carbajo, J.M.; Gómez, N.; Quintana, E.; Ladero, M.; Sánchez, A.; Chinga-Carrasco, G.; Villar, J.C. Use of bacterial cellulose in degraded paper restoration. Part I: Application on model papers. J. Mater. Sci. 2016, 51, 1541–1552. [Google Scholar] [CrossRef]
- Makarov, I.S.; Smyslov, A.G.; Palchikova, E.E.; Vinogradov, M.I.; Shandryuk, G.A.; Levin, I.S.; Arkharova, N.A.; Kulichikhin, V.G. Nonwoven materials based on natural and artificial fibers. Cellulose 2024, 31, 1927–1940. [Google Scholar] [CrossRef]
- Fu, R.; Guan, M.J.; Wang, G.N.; Pan, L.C.; Li, Y.J. Optimised fermentation of bamboo waste using three types lactic acid bacteria and forming mechanism of binderless particleboard. Ind. Crops Prod. 2023, 196, 116522. [Google Scholar] [CrossRef]
- Low, L.Q.; Ilyas, R.A.; Jalil, R.; Hawanis, H.S.N.; Ibrahim, R.; Azriena, H.A.A.; Zuhri, M.Y.M.; Ainun, Z.M.A.; Fatriasari, W.; Hastuti, N.; et al. Physical and mechanical properties enhancement of beaten oil palm trunk pulp and paper by optimizing starch addition: Towards sustainable packaging solutions. Ind. Crops Prod. 2024, 221, 119232. [Google Scholar] [CrossRef]
- Mou, H.Y.; Wu, T.; Wu, X.; Zhang, H.J.; Ji, X.X.; Fan, H.M.; Song, H.L. Improvement of interface bonding of bacterial cellulose reinforced aged paper by amino-silanization. Int. J. Biol. Macromol. 2024, 275, 133130. [Google Scholar] [CrossRef]
- Kalyoncu, E.E.; Pesman, E. Bacterial Cellulose as Reinforcement in Paper Made from Recycled Office Waste Pulp. Bioresources 2020, 15, 8496–8514. [Google Scholar] [CrossRef]
- Kazmierczak, M.; Olejnik, T.P.; Kmiotek, M. Natural Paper-layered Composites with Air Barrier Properties Achieved by Coating with Bacterial Cellulose. Bioresources 2020, 15, 9569–9574. [Google Scholar] [CrossRef]
- Yuan, J.X.; Wang, T.; Huang, X.N.; Wei, W. Dispersion and Beating of Bacterial Cellulose and their Influence on Paper Properties. Bioresources 2016, 11, 9290–9301. [Google Scholar] [CrossRef]
- Santos, S.M.; Carbajo, J.M.; Gómez, N.; Ladero, M.; Villar, J.C. Paper reinforcing by in situ growth of bacterial cellulose. J. Mater. Sci. 2017, 52, 5882–5893. [Google Scholar] [CrossRef]










Disclaimer/Publisher’s Note: The statements, opinions and data contained in all publications are solely those of the individual author(s) and contributor(s) and not of MDPI and/or the editor(s). MDPI and/or the editor(s) disclaim responsibility for any injury to people or property resulting from any ideas, methods, instructions or products referred to in the content. |
© 2026 by the authors. Licensee MDPI, Basel, Switzerland. This article is an open access article distributed under the terms and conditions of the Creative Commons Attribution (CC BY) license.
Share and Cite
Liu, X.; Li, Y.; Liu, S.; Guan, M.; Qian, S.; Xiao, F.; Yong, C.; Wu, M.; Che, P. Improved Performance, Seed Germination and Degradation Behavior of Bamboo Fiber Paper Mulch Film Reinforced by Nano Bacterial Cellulose. Polymers 2026, 18, 815. https://doi.org/10.3390/polym18070815
Liu X, Li Y, Liu S, Guan M, Qian S, Xiao F, Yong C, Wu M, Che P. Improved Performance, Seed Germination and Degradation Behavior of Bamboo Fiber Paper Mulch Film Reinforced by Nano Bacterial Cellulose. Polymers. 2026; 18(7):815. https://doi.org/10.3390/polym18070815
Chicago/Turabian StyleLiu, Xu, Ying Li, Siyu Liu, Mingjie Guan, Shuai Qian, Fei Xiao, Cheng Yong, Mengyu Wu, and Pulin Che. 2026. "Improved Performance, Seed Germination and Degradation Behavior of Bamboo Fiber Paper Mulch Film Reinforced by Nano Bacterial Cellulose" Polymers 18, no. 7: 815. https://doi.org/10.3390/polym18070815
APA StyleLiu, X., Li, Y., Liu, S., Guan, M., Qian, S., Xiao, F., Yong, C., Wu, M., & Che, P. (2026). Improved Performance, Seed Germination and Degradation Behavior of Bamboo Fiber Paper Mulch Film Reinforced by Nano Bacterial Cellulose. Polymers, 18(7), 815. https://doi.org/10.3390/polym18070815

