Correlation of Polymer–drug Composition with Micelle Properties, Performance, and Cytotoxicity for the Oligoelectrolyte-mediated pH-triggered Release of Hydrophobic Drugs
Abstract
1. Introduction
2. Materials and Methods
2.1. Materials
2.2. Instrumentation
2.3. Procedures
2.3.1. Characterisation of Diblock Copolymers and Oligo(2-Vinyl Pyridine)
2.3.2. Preparation and Characterisation of Copolymeric Micelle Solutions
2.3.3. Cell Studies
3. Results and Discussions
3.1. Influence of Copolymer Composition on Oligoelectrolyte Encapsulation and pH-Triggered Release
3.2. Influence of Copolymer Composition and OVP Loading on Drug Co-Encapsulation
3.3. Influence of Copolymer Composition and OVP Loading on pH-Dependent Drug Release
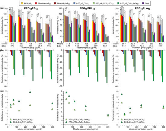
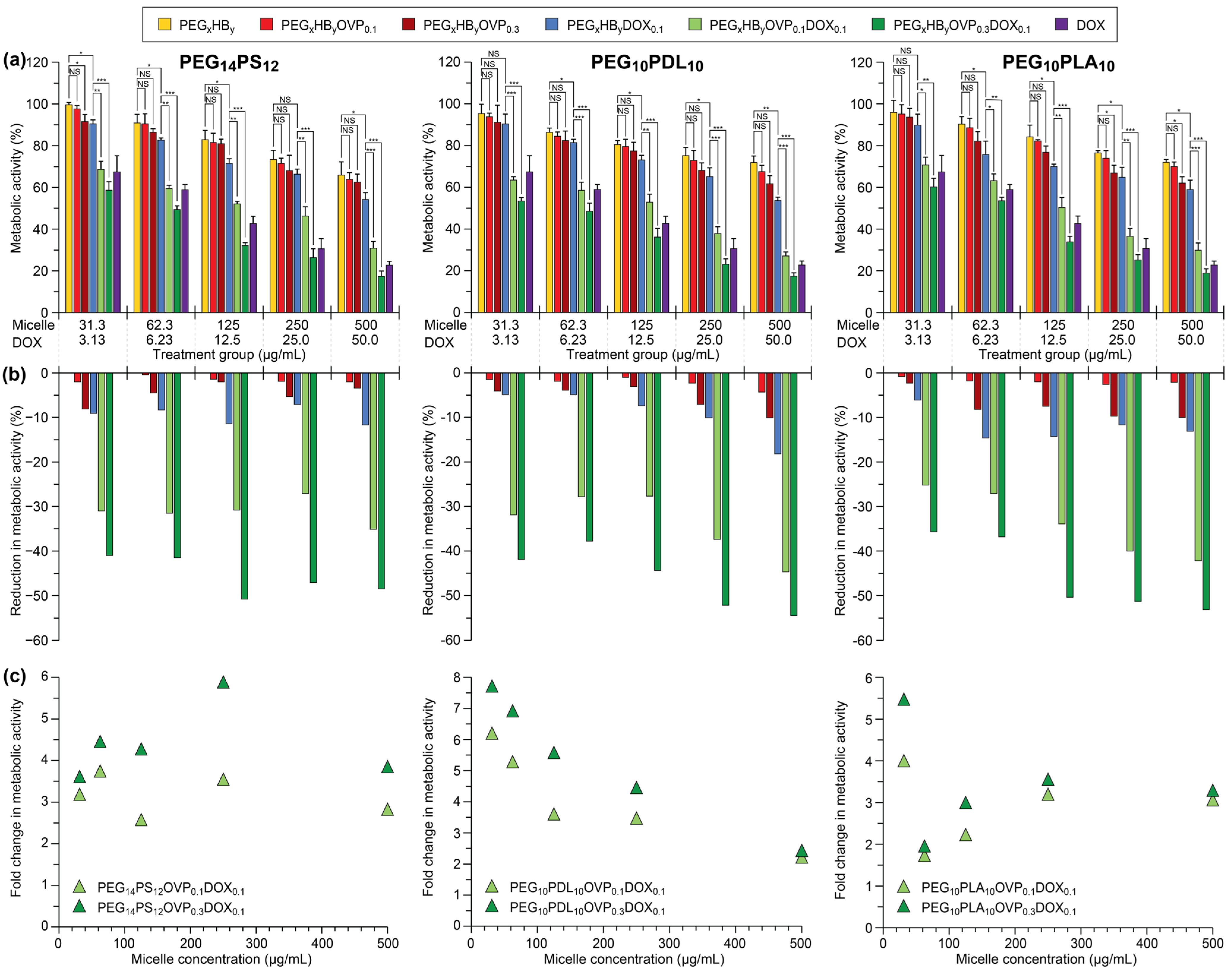
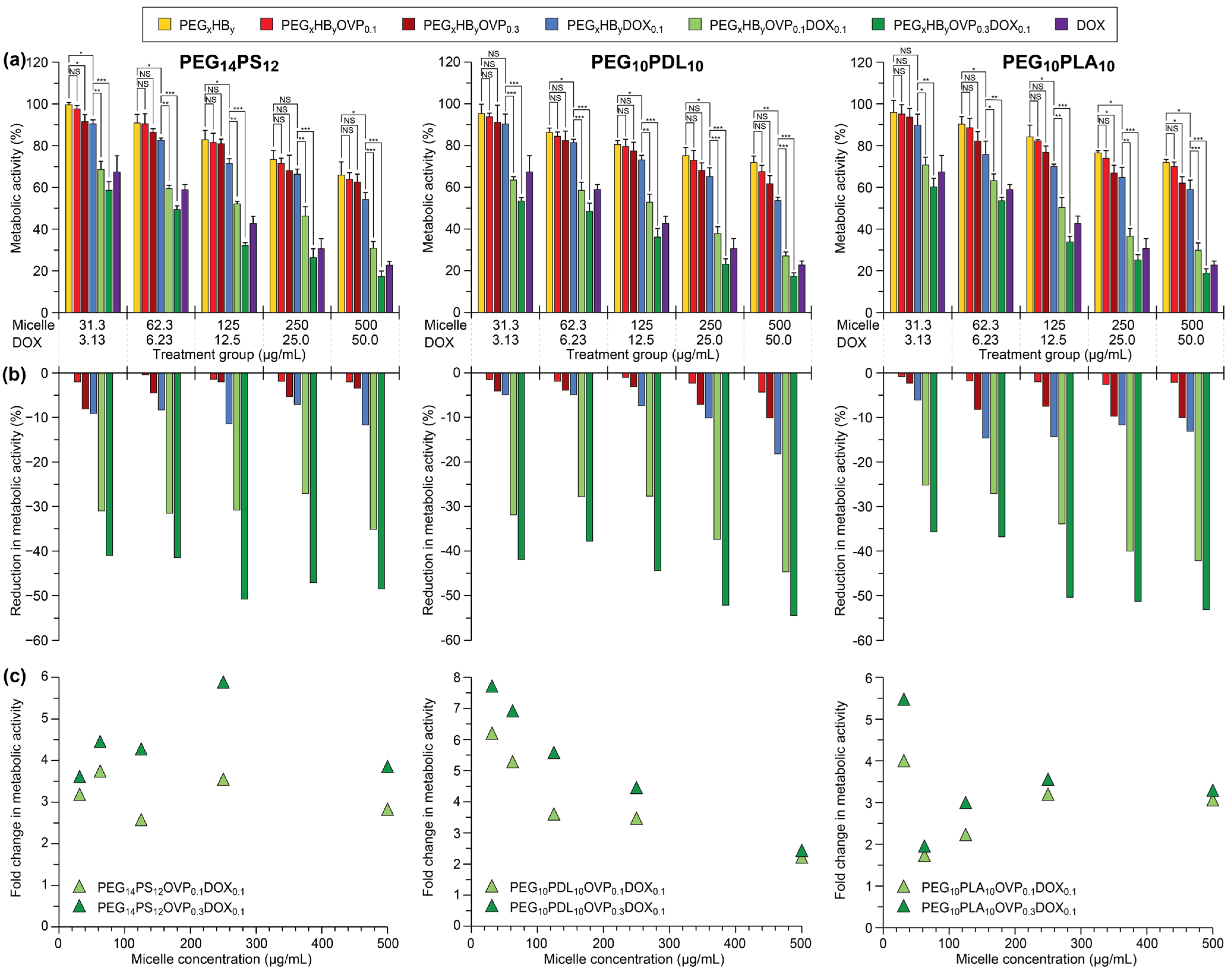
3.4. Effect of Polymer Composition and OVP Loading on the Cytotoxicity of Drug-Loaded Micelles
4. Conclusions
Supplementary Materials
Author Contributions
Funding
Institutional Review Board Statement
Data Availability Statement
Acknowledgments
Conflicts of Interest
References
- Lobo, S. Is there enough focus on lipophilicity in drug discovery? Expert Opin. Drug Discov. 2020, 15, 261–263. [Google Scholar]
- Basavaraj, S.; Betageri, G.V. Can formulation and drug delivery reduce attrition during drug discovery and development—Review of feasibility, benefits and challenges. Acta Pharm. Sin. 2014, 4, 3–17. [Google Scholar] [CrossRef]
- Savla, R.; Browne, J.; Plassat, V.; Wasan, K.M.; Wasan, E.K. Review and analysis of FDA approved drugs using lipid-based formulations. Drug Dev. Ind. Pharm. 2017, 43, 1743–1758. [Google Scholar] [CrossRef]
- Bulbake, U.; Doppalapudi, S.; Kommineni, N.; Khan, W. Liposomal formulations in clinical use: An updated review. Pharmaceutics 2017, 9, 12. [Google Scholar] [CrossRef]
- Sercombe, L.; Veerati, T.; Moheimani, F.; Wu, S.Y.; Sood, A.K.; Hua, S. Advances and challenges of liposome assisted drug delivery. Front. Pharmacol. 2015, 6, 286. [Google Scholar] [CrossRef]
- Hwang, D.; Ramsey, J.D.; Kabanov, A.V. Polymeric micelles for the delivery of poorly soluble drugs: From nanoformulation to clinical approval. Adv. Drug Deliv. Rev. 2020, 156, 80–118. [Google Scholar] [CrossRef]
- Kotta, S.; Aldawsari, H.M.; Badr-Eldin, S.M.; Nair, A.B.; Yt, K. Progress in polymeric micelles for drug delivery applications. Pharmaceutics 2022, 14, 1636. [Google Scholar] [CrossRef]
- Lu, H.; Zhang, S.; Wang, J.; Chen, Q. A review on polymer and lipid-based nanocarriers and its application to nano-pharmaceutical and food-based systems. Front. Nutr. 2021, 8, 783831. [Google Scholar] [CrossRef] [PubMed]
- Ahmad, Z.; Shah, A.; Siddiq, M.; Kraatz, H.-B. Polymeric micelles as drug delivery vehicles. Rsc Adv. 2014, 4, 17028–17038. [Google Scholar] [CrossRef]
- Ghezzi, M.; Pescina, S.; Padula, C.; Santi, P.; Del Favero, E.; Cantù, L.; Nicoli, S. Polymeric micelles in drug delivery: An insight of the techniques for their characterization and assessment in biorelevant conditions. J. Control. Release 2021, 332, 312–336. [Google Scholar] [CrossRef] [PubMed]
- Butt, A.M.; Abdullah, N.; Rani, N.N.I.M.; Ahmad, N.; Amin, M.C.I.M. Endosomal escape of bioactives deployed via nanocarriers: Insights into the design of polymeric micelles. Pharm. Res. 2022, 39, 1047–1064. [Google Scholar] [CrossRef]
- Rodríguez, A.G.; Carrazana, M.S.; Tanty, C.R.; Malessy, M.J.; Fuentes, G.; Cruz, L.J. Smart polymeric micelles for anticancer hydrophobic drugs. Cancers 2022, 15, 4. [Google Scholar] [CrossRef] [PubMed]
- Zhou, Q.; Zhang, L.; Yang, T.; Wu, H. Stimuli-responsive polymeric micelles for drug delivery and cancer therapy. Int. J. Nanomed. 2018, 13, 2921–2942. [Google Scholar] [CrossRef]
- Dharmayanti, C.; Gillam, T.A.; Klingler-Hoffmann, M.; Albrecht, H.; Blencowe, A. Strategies for the development of pH-responsive synthetic polypeptides and polymer-peptide hybrids: Recent advancements. Polymers 2021, 13, 624. [Google Scholar] [CrossRef] [PubMed]
- Fleige, E.; Quadir, M.A.; Haag, R. Stimuli-responsive polymeric nanocarriers for the controlled transport of active compounds: Concepts and applications. Adv. Drug Deliv. Rev. 2012, 64, 866–884. [Google Scholar] [CrossRef]
- Fatima, M.; Almalki, W.H.; Khan, T.; Sahebkar, A.; Kesharwani, P. Harnessing the Power of Stimuli-Responsive Nanoparticles as an Effective Therapeutic Drug Delivery System. Adv. Mater. 2024, 36, 2312939. [Google Scholar] [CrossRef]
- National Institute of Health. ClinicalTrials.gov Records for Polymeric Micelle Trials in Humans. Available online: https://clinicaltrials.gov/search?term=polymer%20micelles&viewType=Table#classicRedirect (accessed on 16 April 2025).
- Zheng, X.; Xie, J.; Zhang, X.; Sun, W.; Zhao, H.; Li, Y.; Wang, C. An overview of polymeric nanomicelles in clinical trials and on the market. Chin. Chem. Lett. 2021, 32, 243–257. [Google Scholar] [CrossRef]
- Singh, J.; Nayak, P. pH-responsive polymers for drug delivery: Trends and opportunities. J. Polym. Sci. 2023, 61, 2828–2850. [Google Scholar] [CrossRef]
- Ofridam, F.; Tarhini, M.; Lebaz, N.; Gagnière, É.; Mangin, D.; Elaissari, A. pH-sensitive polymers: Classification and some fine potential applications. Polym. Adv. Technol. 2021, 32, 1455–1484. [Google Scholar] [CrossRef]
- Wu, Y.; Chen, W.; Meng, F.; Wang, Z.; Cheng, R.; Deng, C.; Liu, H.; Zhong, Z. Core-crosslinked pH-sensitive degradable micelles: A promising approach to resolve the extracellular stability versus intracellular drug release dilemma. J. Control. Release 2012, 164, 338–345. [Google Scholar] [CrossRef]
- Tang, R.; Ji, W.; Panus, D.; Palumbo, R.N.; Wang, C. Block copolymer micelles with acid-labile ortho ester side-chains: Synthesis, characterization, and enhanced drug delivery to human glioma cells. J. Control. Release 2011, 151, 18–27. [Google Scholar] [CrossRef] [PubMed]
- Sonawane, S.J.; Kalhapure, R.S.; Govender, T. Hydrazone linkages in pH responsive drug delivery systems. Eur. J. Pharm. Sci. 2017, 99, 45–65. [Google Scholar] [CrossRef]
- Hu, X.; Wang, R.; Yue, J.; Liu, S.; Xie, Z.; Jing, X. Targeting and anti-tumor effect of folic acid-labeled polymer–doxorubicin conjugates with pH-sensitive hydrazone linker. J. Mater. Chem. 2012, 22, 13303–13310. [Google Scholar] [CrossRef]
- Nkazi, B.; Neuse, E.; Sadik, E.; Aderibigbe, B. Synthesis, characterization, kinetic release study and evaluation of hydrazone linker in ferrocene conjugates at different pH values. J. Drug Deliv. Sci. Technol. 2013, 23, 537–545. [Google Scholar] [CrossRef]
- Shahin, M.; Safaei-Nikouei, N.; Lavasanifar, A. Polymeric micelles for pH-responsive delivery of cisplatin. J. Drug Target. 2014, 22, 629–637. [Google Scholar] [CrossRef]
- Lee, E.-S.; Youn, Y.-S. Poly (benzyl-L-histidine)-b-Poly (ethylene glycol) Micelle Engineered for Tumor Acidic pH-Targeting, in vitro Evaluation. Bull. Korean Chem. Soc. 2008, 29, 1539–1544. [Google Scholar]
- Xu, B.; Zhu, Y.-J.; Wang, C.-H.; Qiu, C.; Sun, J.; Yan, Y.; Chen, X.; Wang, J.-C.; Zhang, Q. Improved cell transfection of siRNA by pH-responsive nanomicelles self-assembled with mPEG-b-PHis-b-PEI copolymers. ACS Appl. Mater. Interfaces 2018, 10, 21847–21860. [Google Scholar] [CrossRef]
- Lin, W.; Nie, S.; Zhong, Q.; Yang, Y.; Cai, C.; Wang, J.; Zhang, L. Amphiphilic miktoarm star copolymer (PCL) 3-(PDEAEMA-b-PPEGMA) 3 as pH-sensitive micelles in the delivery of anticancer drug. J. Mater. Chem. B 2014, 2, 4008–4020. [Google Scholar] [CrossRef]
- Li, Q.; Yao, W.; Yu, X.; Zhang, B.; Dong, J.; Jin, Y. Drug-loaded pH-responsive polymeric micelles: Simulations and experiments of micelle formation, drug loading and drug release. Colloids Surf. B Biointerfaces 2017, 158, 709–716. [Google Scholar] [CrossRef]
- Yang, C.; Xiao, J.; Xiao, W.; Lin, W.; Chen, J.; Chen, Q.; Zhang, L.; Zhang, C.; Guo, J. Fabrication of PDEAEMA-based pH-responsive mixed micelles for application in controlled doxorubicin release. Rsc Adv. 2017, 7, 27564–27573. [Google Scholar] [CrossRef]
- Brewer, K.; Bai, F.; Blencowe, A. pH-Responsive Poly (ethylene glycol)-b-poly (2-vinylpyridine) Micelles for the Triggered Release of Therapeutics. Pharmaceutics 2023, 15, 977. [Google Scholar] [CrossRef]
- Xu, Z.; Xue, P.; Gao, Y.-E.; Liu, S.; Shi, X.; Hou, M.; Kang, Y. pH-responsive polymeric micelles based on poly (ethyleneglycol)-b-poly (2-(diisopropylamino) ethyl methacrylate) block copolymer for enhanced intracellular release of anticancer drugs. J. Colloid Interface Sci. 2017, 490, 511–519. [Google Scholar] [CrossRef]
- Son, I.; Lee, Y.; Baek, J.; Park, M.; Han, D.; Min, S.K.; Lee, D.; Kim, B.-S. pH-Responsive amphiphilic polyether micelles with superior stability for smart drug delivery. Biomacromolecules 2021, 22, 2043–2056. [Google Scholar] [CrossRef] [PubMed]
- Qu, J.-B.; Chapman, R.; Chen, F.; Lu, H.; Stenzel, M.H. Swollen micelles for the preparation of gated, squeezable, pH-responsive drug carriers. ACS Appl. Mater. Interfaces 2017, 9, 13865–13874. [Google Scholar] [CrossRef] [PubMed]
- Hussain, M.S.; Khetan, R.; Clulow, A.J.; Ganesan, R.; MacMillan, A.; Robinson, N.; Ahmed-Cox, A.; Krasowska, M.; Albrecht, H.; Blencowe, A. Teaching an Old Dog New Tricks: A Global Approach to Enhancing the Cytotoxicity of Drug-Loaded, Non-responsive Micelles Using Oligoelectrolytes. ACS Appl. Mater. Interfaces 2024, 16, 9736–9748. [Google Scholar] [CrossRef]
- Hussain, M.S.; Khetan, R.; Albrecht, H.; Krasowska, M.; Blencowe, A. Oligoelectrolyte-mediated, pH-triggered release of hydrophobic drugs from non-responsive micelles: Influence of oligo (2-vinyl pyridine)-loading on drug-loading, release and cytotoxicity. Int. J. Pharm. 2024, 661, 124368. [Google Scholar] [CrossRef] [PubMed]
- Krezel, A.; Bal, W. A formula for correlating pKa values determined in D2O and H2O. J. Inorg. Biochem. 2004, 98, 161–166. [Google Scholar] [CrossRef]
- Wang, J.; Li, S.; Han, Y.; Guan, J.; Chung, S.; Wang, C.; Li, D. Poly (ethylene glycol)–polylactide micelles for cancer therapy. Front. Pharmacol. 2018, 9, 202. [Google Scholar] [CrossRef]
- Lu, Z.; Zhang, Z.; Tang, Y. Conjugated polymers-based thermal-responsive nanoparticles for controlled drug delivery, tracking, and synergistic photodynamic therapy/chemotherapy. ACS Appl. Bio. Mater. 2019, 2, 4485–4492. [Google Scholar] [CrossRef]
- Bansal, K.K.; Kakde, D.; Purdie, L.; Irvine, D.J.; Howdle, S.M.; Mantovani, G.; Alexander, C. New biomaterials from renewable resources–amphiphilic block copolymers from δ-decalactone. Polym. Chem. 2015, 6, 7196–7210. [Google Scholar] [CrossRef]
- Bansal, K.K.; Gupta, J.; Rosling, A.; Rosenholm, J.M. Renewable poly (δ-decalactone) based block copolymer micelles as drug delivery vehicle: In vitro and in vivo evaluation. Saudi Pharm. J. 2018, 26, 358–368. [Google Scholar] [CrossRef] [PubMed]
- Rieger, J. The glass transition temperature of polystyrene: Results of a round robin test. Therm. Anal. Calorim. 1996, 46, 965–972. [Google Scholar] [CrossRef]
- Zhang, R.; Du, F.; Jariyavidyanont, K.; Zhuravlev, E.; Schick, C.; Androsch, R. Glass transition temperature of poly (d, l-lactic acid) of different molar mass. Thermochim. Acta 2022, 718, 179387. [Google Scholar] [CrossRef]
- Faisal, K.S.; Clulow, A.J.; MacWilliams, S.V.; Gillam, T.A.; Austin, A.; Krasowska, M.; Blencowe, A. Microstructure—Thermal Property Relationships of Poly (Ethylene Glycol-b-Caprolactone) Copolymers and Their Micelles. Polymers 2022, 14, 4365. [Google Scholar] [CrossRef]
- An, J.; Kim, H.; Chung, D.; Lee, D.; Kim, S. Thermal behaviour of poly (ε-caprolactone)-poly (ethylene glycol)-poly (ε-caprolactone) tri-block copolymers. J. Mater. Sci. 2001, 36, 715–722. [Google Scholar] [CrossRef]
- Wunderlich, B. Theory of cold crystallization of high polymers. J. Chem. Phys. 1958, 29, 1395–1404. [Google Scholar] [CrossRef]
- Zhou, C.; Li, H.; Zhang, W.; Li, J.; Huang, S.; Meng, Y.; de Claville Christiansen, J.; Yu, D.; Wu, Z.; Jiang, S. Thermal strain-induced cold crystallization of amorphous poly (lactic acid). Cryst. Eng. Comm. 2016, 18, 3237–3246. [Google Scholar] [CrossRef]
- Glavas, L.; Olsén, P.; Odelius, K.; Albertsson, A.-C. Achieving micelle control through core crystallinity. Biomacromolecules 2013, 14, 4150–4156. [Google Scholar] [CrossRef]
- Zhao, C.L.; Winnik, M.A.; Riess, G.; Croucher, M.D. Fluorescence probe techniques used to study micelle formation in water-soluble block copolymers. Langmuir 1990, 6, 514–516. [Google Scholar] [CrossRef]
- Wilhelm, M.; Zhao, C.L.; Wang, Y.; Xu, R.; Winnik, M.A.; Mura, J.L.; Riess, G.; Croucher, M.D. Poly (styrene-ethylene oxide) block copolymer micelle formation in water: A fluorescence probe study. Macromolecules 1991, 24, 1033–1040. [Google Scholar] [CrossRef]
- Burt, H.M.; Zhang, X.; Toleikis, P.; Embree, L.; Hunter, W.L. Development of copolymers of poly (D, L-lactide) and methoxypolyethylene glycol as micellar carriers of paclitaxel. Colloids Surf. B Biointerfaces 1999, 16, 161–171. [Google Scholar] [CrossRef]
- Cabral, H.; Miyata, K.; Osada, K.; Kataoka, K. Block copolymer micelles in nanomedicine applications. Chem. Rev. 2018, 118, 6844–6892. [Google Scholar] [CrossRef]
- Bae, Y.; Kataoka, K. Intelligent polymeric micelles from functional poly (ethylene glycol)-poly (amino acid) block copolymers. Adv. Drug Deliv. Rev. 2009, 61, 768–784. [Google Scholar] [CrossRef]
- Glavas, L.; Odelius, K.; Albertsson, A.C. Tuning loading and release by modification of micelle core crystallinity and preparation. Polym. Adv. Technol. 2015, 26, 880–888. [Google Scholar] [CrossRef]
- Faisal, K.S.; Clulow, A.J.; Krasowska, M.; Gillam, T.; Miklavcic, S.J.; Williamson, N.H.; Blencowe, A. Interrogating the relationship between the microstructure of amphiphilic poly (ethylene glycol-b-caprolactone) copolymers and their colloidal assemblies using non-interfering techniques. J. Colloid Interface Sci. 2022, 606, 1140–1152. [Google Scholar] [CrossRef] [PubMed]
- Lamch, Ł.; Gancarz, R.; Tsirigotis-Maniecka, M.; Moszyńska, I.M.; Ciejka, J.; Wilk, K.A. Studying the “Rigid-Flexible” Properties of Polymeric Micelle Core-Forming Segments with a Hydrophobic Phthalocyanine Probe Using NMR and UV Spectroscopy. Langmuir 2021, 37, 4316–4330. [Google Scholar] [CrossRef]
- Hernández-Orta, M.; Pérez, E.; Cruz-Barba, L.E.; Sánchez-Castillo, M.A. Synthesis of bactericidal polymer coatings by sequential plasma-induced polymerization of 4-vinyl pyridine and gas-phase quaternization of poly-4-vinyl pyridine. J. Mater. Sci. 2018, 53, 8766–8785. [Google Scholar] [CrossRef]
- Elsayed, M. Successive advanced oxidation of pyridine by ultrasonic irradiation: Effect of additives and kinetic study. Desalin. Water Treat. 2015, 53, 57–65. [Google Scholar] [CrossRef]
- Cutright, D.E.; Perez, B.; Beasley, J.D., III; Larson, W.J.; Posey, W.R. Degradation rates of polymers and copolymers of polylactic and polyglycolic acids. Oral Surg. Oral Med. Oral Pathol. 1974, 37, 142–152. [Google Scholar] [CrossRef] [PubMed]
- Codari, F.; Lazzari, S.; Soos, M.; Storti, G.; Morbidelli, M.; Moscatelli, D. Kinetics of the hydrolytic degradation of poly (lactic acid). Polym. Degrad. Stab. 2012, 97, 2460–2466. [Google Scholar] [CrossRef]
- Duan, K.; Zhang, X.; Tang, X.; Yu, J.; Liu, S.; Wang, D.; Li, Y.; Huang, J. Fabrication of cationic nanomicelle from chitosan-graft-polycaprolactone as the carrier of 7-ethyl-10-hydroxy-camptothecin. Colloids Surf. B Biointerfaces 2010, 76, 475–482. [Google Scholar] [CrossRef]
- Duan, X.; Xiao, J.; Yin, Q.; Zhang, Z.; Yu, H.; Mao, S.; Li, Y. Smart pH-sensitive and temporal-controlled polymeric micelles for effective combination therapy of doxorubicin and disulfiram. ACS Nano 2013, 7, 5858–5869. [Google Scholar] [CrossRef]
- Li, L.; Liang, N.; Wang, D.; Yan, P.; Kawashima, Y.; Cui, F.; Sun, S. Amphiphilic polymeric micelles based on deoxycholic acid and folic acid modified chitosan for the delivery of paclitaxel. Int. J. Mol. Sci. 2018, 19, 3132. [Google Scholar] [CrossRef] [PubMed]
- Riedel, J.; Calienni, M.N.; Bernabeu, E.; Calabro, V.; Lázaro-Martinez, J.M.; Prieto, M.J.; Gonzalez, L.; Martinez, C.S.; del Valle Alonso, S.; Montanari, J. Paclitaxel and curcumin co-loaded mixed micelles: Improving in vitro efficacy and reducing toxicity against Abraxane®. J. Drug Deliv. Technol. 2021, 62, 102343. [Google Scholar] [CrossRef]
- Jabri, T.; Imran, M.; Aziz, A.; Rao, K.; Kawish, M.; Irfan, M.; Malik, M.I.; Simjee, S.U.; Arfan, M.; Shah, M.R. Design and synthesis of mixed micellar system for enhanced anticancer efficacy of Paclitaxel through its co-delivery with Naringin. Drug Dev. Ind. Pharm. 2019, 45, 703–714. [Google Scholar] [CrossRef] [PubMed]
- Ukawala, M.; Rajyaguru, T.; Chaudhari, K.; Manjappa, A.; Pimple, S.; Babbar, A.; Mathur, R.; Mishra, A.; Murthy, R. Investigation on design of stable etoposide-loaded PEG-PCL micelles: Effect of molecular weight of PEG-PCL diblock copolymer on the in vitro and in vivo performance of micelles. Drug Deliv. 2012, 19, 155–167. [Google Scholar] [CrossRef]
- Aliabadi, H.M.; Elhasi, S.; Mahmud, A.; Gulamhusein, R.; Mahdipoor, P.; Lavasanifar, A. Encapsulation of hydrophobic drugs in polymeric micelles through co-solvent evaporation: The effect of solvent composition on micellar properties and drug loading. Int. J. Pharm. 2007, 329, 158–165. [Google Scholar] [CrossRef]
- Chang, Y.-C.; Chu, I.-M. Methoxy poly (ethylene glycol)-b-poly (valerolactone) diblock polymeric micelles for enhanced encapsulation and protection of camptothecin. Eur. Polym. J. 2008, 44, 3922–3930. [Google Scholar] [CrossRef]
- Polunin, Y.; Alferiev, I.S.; Brodeur, G.M.; Voronov, A.; Chorny, M. Environment-sensitive polymeric micelles encapsulating SN-38 potently suppress growth of neuroblastoma cells exhibiting intrinsic and acquired drug resistance. ACS Pharmacol. Transl. Sci. 2020, 4, 240–247. [Google Scholar] [CrossRef]
- Gu, Q.; Xing, J.Z.; Huang, M.; He, C.; Chen, J. SN-38 loaded polymeric micelles to enhance cancer therapy. Nanotechnology 2012, 23, 205101. [Google Scholar] [CrossRef]
- Eawsakul, K.; Chinavinijkul, P.; Saeeng, R.; Chairoungdua, A.; Tuchinda, P.; Nasongkla, N. Preparation and characterizations of RSPP050-loaded polymeric micelles using poly (ethylene glycol)-b-poly (ε-caprolactone) and poly (ethylene glycol)-b-poly (D, L-lactide). Chem. Pharm. Bull. 2017, 65, 530–537. [Google Scholar] [CrossRef] [PubMed]
- Mohammadi, F.; Moradi, A.; Tavakoli, F.; Rahmati, S.; Giti, R.; Ramezani, V. Development and characterization of a copolymeric micelle containing soluble and insoluble model drugs. PLoS ONE 2023, 18, e0286251. [Google Scholar] [CrossRef] [PubMed]
- Sanna, V.; Roggio, A.M.; Posadino, A.M.; Cossu, A.; Marceddu, S.; Mariani, A.; Alzari, V.; Uzzau, S.; Pintus, G.; Sechi, M. Novel docetaxel-loaded nanoparticles based on poly(lactide-co-caprolactone) and poly(lactide-co-glycolide-co-caprolactone) for prostate cancer treatment: Formulation, characterization, and cytotoxicity studies. Nanoscale Res. Lett. 2011, 6, 260. [Google Scholar] [CrossRef] [PubMed]
- Martuscelli, E.; Silvestre, C.; Addonizio, M.L.; Amelino, L. Phase structure and compatibility studies in poly (ethylene oxide)/poly (methyl methacrylate) blends. Macromol. Chem. Phys. 1986, 187, 1557–1571. [Google Scholar] [CrossRef]
- Zhang, Y.; Huo, M.; Zhou, J.; Zou, A.; Li, W.; Yao, C.; Xie, S. DDSolver: An add-in program for modeling and comparison of drug dissolution profiles. AAPS J. 2010, 12, 263–271. [Google Scholar] [CrossRef]
- Kosmidis, K.; Argyrakis, P.; Macheras, P. Fractal kinetics in drug release from finite fractal matrices. J. Chem. Phys. 2003, 119, 6373–6377. [Google Scholar] [CrossRef]
- Fosca, M.; Rau, J.V.; Uskoković, V. Factors influencing the drug release from calcium phosphate cements. Bioact. Mater. 2022, 7, 341–363. [Google Scholar] [CrossRef]






| Polymer | fHB (kDa) a | Mn,NMR (kDa) a | Mn,GPC (kDa) b | Ð b |
|---|---|---|---|---|
| PEG5PS5 | 0.48 | 10.7 | 8.9 | 1.12 |
| PEG14PS12 | 0.45 | 26.5 | 17.9 | 1.09 |
| PEG10PDL10 | 0.49 | 19.8 | 15.4 | 1.11 |
| PEG10PLA10 | 0.49 | 19.5 | 14.3 | 1.22 |
| OVP | - | 1.3 | 1.3 | 1.22 |
| Copolymer | OVP Loading (mg/mg) | CMC (mg/L) a | OVP EE% b | OVP Loading (wt%) c | Dh (nm) at pH 7.3 d | PDI at pH 7.3 d | Dh,theo (nm) e | ζ (mV) f |
|---|---|---|---|---|---|---|---|---|
| PEG5PS5 | 0 | 0.60 | --- | --- | 25.1 ± 1.0 | 0.13 ± 0.02 | 25 | −1.1 ± 0.2 |
| 0.1 | 0.70 | 92.9 ± 1.6 | 8.5 ± 0.2 | 28.6 ± 0.3 | 0.15 ± 0.01 | 29 | 3.6 ± 0.4 | |
| 0.2 | 0.70 | 86.4 ± 1.7 | 14.7 ± 0.3 | 31.9 ± 0.7 | 0.17 ± 0.01 | 33 | 4.8 ± 0.6 | |
| 0.3 | 0.65 | 79.5 ± 1.8 | 19.3 ± 0.5 | 34.2 ± 0.4 | 0.20 ± 0.01 | 37 | 6.5 ± 0.3 | |
| PEG14PS12 | 0 | 0.75 | --- | --- | 61.5 ± 1.9 | 0.16 ± 0.02 | 62 | −0.9 ± 0.3 |
| 0.1 | 0.70 | 96.2 ± 1.1 | 8.8 ± 0.1 | 74.1 ± 2.7 | 0.18 ± 0.02 | 75 | −0.2 ± 0.2 | |
| 0.2 | 0.75 | 94.2 ± 0.6 | 15.9 ± 0.1 | 80.5 ± 2.1 | 0.20 ± 0.01 | 82 | 0.7 ± 0.2 | |
| 0.3 | 0.80 | 92.9 ± 1.9 | 21.8 ± 0.6 | 85.9 ± 4.4 | 0.24 ± 0.01 | 88 | 1.5 ± 0.6 | |
| PEG10PDL10 | 0 | 0.50 | --- | --- | 34.9 ± 1.1 | 0.14 ± 0.01 | 35 | −2.4 ± 0.4 |
| 0.1 | 0.50 | 92.1 ± 0.8 | 8.4 ± 0.1 | 40.2 ± 2.6 | 0.16 ± 0.01 | 41 | −0.7 ± 0.2 | |
| 0.2 | 0.65 | 89.6 ± 1.3 | 15.2 ± 0.3 | 46.1 ± 2.8 | 0.17 ± 0.01 | 47 | −0.2 ± 0.2 | |
| 0.3 | 0.60 | 87.9 ± 1.8 | 20.9 ± 0.5 | 49.8 ± 2.2 | 0.19 ± 0.01 | 52 | 0.4 ± 0.3 | |
| PEG10PLA10 | 0 | 0.60 | --- | --- | 50.1 ± 1.2 | 0.17 ± 0.02 | 50 | −2.4 ± 0.6 |
| 0.1 | 0.60 | 95.5 ± 1.1 | 8.7 ± 0.1 | 62.4 ± 5.1 | 0.18 ± 0.03 | 63 | 0.8 ± 0.2 | |
| 0.2 | 0.70 | 89.9 ± 2.3 | 15.2 ± 0.5 | 67.8 ± 3.5 | 0.21 ± 0.02 | 70 | 1.7 ± 0.1 | |
| 0.3 | 0.70 | 82.9 ± 1.6 | 19.9 ± 0.5 | 72.1 ± 4.4 | 0.22 ± 0.02 | 77 | 3.0 ± 0.2 |
Disclaimer/Publisher’s Note: The statements, opinions and data contained in all publications are solely those of the individual author(s) and contributor(s) and not of MDPI and/or the editor(s). MDPI and/or the editor(s) disclaim responsibility for any injury to people or property resulting from any ideas, methods, instructions or products referred to in the content. |
© 2026 by the authors. Licensee MDPI, Basel, Switzerland. This article is an open access article distributed under the terms and conditions of the Creative Commons Attribution (CC BY) license.
Share and Cite
Hussain, M.S.; Khetan, R.; Albrecht, H.; Krasowska, M.; Blencowe, A. Correlation of Polymer–drug Composition with Micelle Properties, Performance, and Cytotoxicity for the Oligoelectrolyte-mediated pH-triggered Release of Hydrophobic Drugs. Polymers 2026, 18, 247. https://doi.org/10.3390/polym18020247
Hussain MS, Khetan R, Albrecht H, Krasowska M, Blencowe A. Correlation of Polymer–drug Composition with Micelle Properties, Performance, and Cytotoxicity for the Oligoelectrolyte-mediated pH-triggered Release of Hydrophobic Drugs. Polymers. 2026; 18(2):247. https://doi.org/10.3390/polym18020247
Chicago/Turabian StyleHussain, Md. Saddam, Riya Khetan, Hugo Albrecht, Marta Krasowska, and Anton Blencowe. 2026. "Correlation of Polymer–drug Composition with Micelle Properties, Performance, and Cytotoxicity for the Oligoelectrolyte-mediated pH-triggered Release of Hydrophobic Drugs" Polymers 18, no. 2: 247. https://doi.org/10.3390/polym18020247
APA StyleHussain, M. S., Khetan, R., Albrecht, H., Krasowska, M., & Blencowe, A. (2026). Correlation of Polymer–drug Composition with Micelle Properties, Performance, and Cytotoxicity for the Oligoelectrolyte-mediated pH-triggered Release of Hydrophobic Drugs. Polymers, 18(2), 247. https://doi.org/10.3390/polym18020247

