Structure of Cellulose Isolated from Rapeseed Stalks
Abstract
1. Introduction
2. Materials and Methods
3. Results and Discussions
- Wavelength region 3700–3200 cm⁻1—The presence of absorption bands in this region suggests the existence of hydroxyl (-OH) groups characteristic of alcohols (νOH = 3418 cm⁻1). The broad appearance of the absorption band indicates hydrogen bonding. Confirmation of the alcohol structure is supported by an additional intense absorption band corresponding to the C-O stretching vibration located in the fingerprint region (νC-O = 1092 cm⁻1).
- Wavelength region 3200–2700 cm⁻1—Absorption bands in this region correspond to the stretching vibrations of C-H bonds in alkanes (νCH = 2922 and 2853 cm⁻1), including asymmetric and symmetric stretching vibrations of methylene (-CH2-) groups present in alkanes, such as R(CH2)4-C, R(CH2)4-OR, and R-CH2-R. The presence of these functional groups is further confirmed by absorption bands corresponding to alkane C-H stretching vibrations, particularly in the νCH = 1377 cm⁻1 region of the IR spectrum.
- Wavelength region 1900–1400 cm⁻1—This region exhibits intense absorptions primarily attributed to the stretching vibration of the heterogeneous C=O bond (νC=O = 1734 cm⁻1), which is characteristic of functional groups such as aldehydes, ketones, carboxylic acids, and esters. Additionally, this region contains bands indicative of C=C double bonds (νC=C = 1647 cm⁻1), which may appear less intense but are highly useful in structural assignments for alkenes and aromatic compounds. The absorption band at 1508 cm⁻1 is characteristic of benzene ring vibrations.
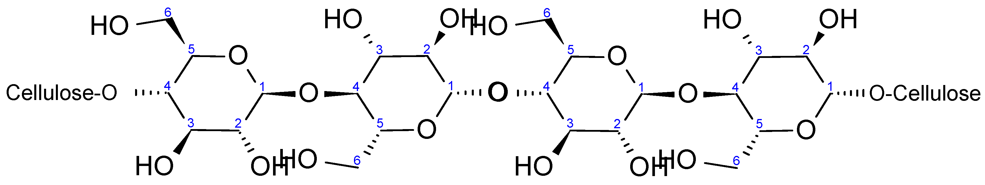
- Wavelength region 1400–400 cm⁻1 (fingerprint region)—This region contains numerous absorption bands that characterize the overall molecular structure, including skeletal vibrations such as deformation, combination, and harmonic vibrations that cannot be assigned to normal vibrational modes. This region is particularly useful for compound identification by comparison with reference IR spectra. Notable absorptions include those associated with C-H stretching vibrations in alkanes, alkenes, and aromatic hydrocarbons (νCH = 1377 cm⁻1), as well as C-O stretching vibrations in alcohols, ethers, esters, and carboxylic acids (νC-O = 1263 cm⁻1). Additionally, C-H deformation vibrations (both in-plane and out-of-plane) in alkanes, alkenes, and aromatic hydrocarbons appear at δC-H = 725 and 650 cm⁻1, respectively. The presence of C-O-C bonds is confirmed by asymmetric (νC-O-C = 1092 cm⁻1) and symmetric (νC-O-C = 806 cm⁻1) stretching vibrations, which are characteristic of pyranose derivatives.
- Wavelength region 3700–3200 cm−1: The presence of absorption bands in this region suggests the presence of OH groups, indicating the structure of an alcohol (νOH = 3420 cm−1). The broad nature of the absorption indicates hydrogen bonding. To confirm the alcohol structure, an additional absorption band due to the stretching vibration of the C-O bond in the fingerprint region (νC-O = 1103 and 1011 cm−1) is identified.
- Wavelength region 3200–2700 cm−1: The absorption bands in this region are attributed to the stretching vibrations of C-H bonds in alkanes (νCH = 2936 cm−1 and a shoulder at 2830 cm−1), as well as asymmetric and symmetric stretching vibrations specific to methylene groups in alkanes: R(CH2)4-C, R(CH2)4-OR, and R-CH2-R. To confirm the presence of these functional groups in the molecule, additional absorption bands due to the stretching vibration of C-H bonds in alkanes located at the characteristic νCH = 1398 cm−1 region of the IR spectrum should be identified.
- Wavelength region 1900–1400 cm−1: In this region, the spectral maxima characteristic of bending vibrations of C=O groups in ketones of the type C-(C=O)-C=C-OH (δC=O = 1616 cm−1) appear, as well as an absorption band at 1506 cm−1, which is typical for the benzene ring nucleus.
- Wavelength region 1400–400 cm−1 (fingerprint region): This region contains numerous intense absorption bands, but their structural significance is minor.
- -
- At 100× magnification: The overall cellular structure of the rapeseed stalk becomes visible, showing distinct fibrous regions along with the parenchyma tissue in the core. The fibers appear elongated and well organized, contributing to the mechanical strength of the stalk. The parenchyma cells, which are more loosely arranged, can be identified in the central region, serving as a storage and transport tissue.
- -
- At 500× magnification: The finer details of the fibrous network are more pronounced. The individual fibers appear more distinct, with their elongated structure and thick cell walls visible. The parenchyma cells, with their thinner walls and more irregular shapes, can be seen forming a matrix around the fibers. The contrast between these two tissue types highlights the hierarchical structure of cells in the rapeseed stalk, with the fibers providing rigidity and the parenchyma contributing to flexibility and metabolic functions.
- -
- At 100× magnification, the overall cellular organization is visible, highlighting the differentiation between the outer protective layers and the inner core. The parenchyma in the central region appears as a porous, loosely packed structure, with thin-walled cells forming an interconnected network. This tissue plays a key role in storage and transport, and its open structure suggests a high potential for moisture retention and enzymatic accessibility.
- -
- At 500× magnification, finer details of the parenchyma become more apparent, showing individual cell walls and the varying sizes of lumen spaces. The parenchyma cells appear somewhat collapsed or deformed in certain areas, likely due to the drying process, but their overall arrangement remains discernible.
4. Conclusions
Author Contributions
Funding
Institutional Review Board Statement
Data Availability Statement
Acknowledgments
Conflicts of Interest
References
- Klemm, D.; Heublein, B.; Fink, H.; Bohn, A. Cellulose: Fascinating biopolymer and sustainable raw material. Angew. Chem. Int. Ed. 2005, 44, 3358–3393. [Google Scholar] [CrossRef] [PubMed]
- Puitel, A.C.; Marin, N.; Petrea, P.; Gavrilescu, D. Lignocellulosic agricultural residues—A virgin fibre supply solution for paper-based packaging. Cellul. Chem. Technol. 2015, 49, 633–639. [Google Scholar]
- Lamoudan, H.; Abenghal, L.; Belosinschi, D.; Brouillette, F.; Dolez, P.; Panneton, R.; Fonrouge, C. Sustainable Transformation of Cellulose-Containing Textile Waste into Multifunctional Panels with Tailored FR-Lignocellulosic Fibres. Polymers 2024, 16, 3242. [Google Scholar] [CrossRef] [PubMed]
- Tofanica, B.M.; Ungureanu, E.; Ungureanu, O.C.; Fortuna, M.E.; Volf, I.; Popa, V.I. Circular Economy Solutions: Exploring Agricultural Residues. Bulletin of the Polytechnic Institute of Iaşi. Chem. Chem. Eng. Sect. 2024, 70, 33–48. [Google Scholar] [CrossRef]
- Belosinschi, D.; Tofanica, B. A new bio-material with 3D lightweight network for energy and advanced applications. Cellulose 2018, 25, 897–902. [Google Scholar] [CrossRef]
- Alén, R. Manufacturing Cellulosic Fibres for Making Paper: A Historical Per-spective. In Technological Trans-Formation in the Global Pulp and Paper Industry 1800–2018; Särkkä, T., Gutiérrez-Poch, M., Kuhlberg, M., Eds.; World Forests; Springer: Cham, Switzerland, 2018; Volume 23. [Google Scholar] [CrossRef]
- Gavrilescu, D.; Tofanica, B.M.; Puitel, A.C. Environmental Friendly Pulping and Bleaching of Rapeseed Stalk Fibers. Environ. Eng. Manag. J. 2012, 11, 681–686. [Google Scholar] [CrossRef]
- Tofanica, B.M. Rapeseed—A Valuable Renewable Bioresource. Cellul. Chem. Technol. 2019, 53, 837–849. [Google Scholar] [CrossRef]
- Housseinpour, R.; Latibari, A.J.; Farnood, R.; Fatehi, P.; Sepiddehdam, S.J. Fiber morphology and chemical composition of rapeseed (Brassica napus) stems. IAWA J. 2010, 31, 457–464. [Google Scholar] [CrossRef]
- Tofanica, B.M.; Cappelletto, E.; Gavrilescu, D.; Mueller, K. Properties of Rapeseed (Brassica napus) Stalks Fibers. J. Nat. Fibers 2011, 8, 241–262. [Google Scholar] [CrossRef]
- Kiaei, M.; Mahdavi, S.; Kialashaki, A.; Nemati, M.; Samariha, A.; Saghaf, A. Chemical Composition and Morphological Properties of Canola Plant and Its Potential Application in Pulp and Paper Industry. Cellul. Chem. Technol. 2014, 48, 105. [Google Scholar]
- Aguado, R.; Moral, A.; Mutjé, P.; Tijero, A. Rapeseed stalks for papermaking: Studies on pulping, refining and dewatering. Cellul. Chem. Technol. 2015, 49, 833. [Google Scholar]
- Moral, A.; Aguado, R.; Tijero, A.; Tarrés, Q.; Delgado-Aguilar, M.; Mutjé, P. High-Yield Pulp from Brassica napus to Manufacture Packaging Paper. BioResources 2017, 12, 2792–2804. [Google Scholar] [CrossRef]
- Potůček, F.; Milichovský, M. Rapeseed straw as a possible source of non-wood fibre materials. Cellul. Chem. Technol. 2011, 45, 23. Available online: https://www.cellulosechemtechnol.ro/ (accessed on 15 January 2025).
- Ungureanu, E.; Samuil, C.; Țopa, D.C.; Ungureanu, O.C.; Tofanica, B.-M.; Fortună, M.E.; Brezuleanu, C.O. Adsorption of Ni(II) from Aqueous Media on Biodegradable Natural Polymers—Sarkanda Grass Lignin. Crystals 2024, 14, 381. [Google Scholar] [CrossRef]
- Mikhailidi, A.; Volf, I.; Belosinschi, D.; Tofanica, B.; Ungureanu, E. Cellulose-Based Metallogels—Part 2: Physico-Chemical Properties and Biological Stability. Gels 2023, 9, 633. [Google Scholar] [CrossRef]
- Simionescu, C.I.; Rusan, V.; Popa, V.I. Options Concerning Phytomass Valorification. Cellul. Chem. Technol. 1987, 21, 3–16. [Google Scholar]
- French, A.D.; Johnson, G.P. Cellulose: Molecular and Structural Biology; Brown, R.M., Saxena, I.M., Eds.; Springer: Berlin/Heidelberg, Germany, 2007; p. 257. [Google Scholar]
- Baeza, J.; Freer, J. Chemical characterization of wood and its components. In Wood and Cellulosic Chemistry; Hon, D.N.-S., Shiraishi, N., Eds.; Marcel Dekker: New York, NY, USA, 2000; pp. 275–384. [Google Scholar]
- Ona, T.; Sonoda, T.; Shibata, M.; Fukazawa, K. Small-scale method to determine the content of wood components from multiple eucalypt samples. Tappi J. 1995, 78, 121–126. [Google Scholar]
- Technical Association of the Pulp and Paper Industry. TAPPI Test Methods; TAPPI Press: Norcross, USA, GA, 1992. [Google Scholar]
- Wise, L.E.; Murphy, M.; D’Addieco, A.A. Chlorite holocellulose, its fractionation and bearing on summative wood analysis and on studies on hemicellulose. Pap. Trade J. 1946, 122, 35–43. [Google Scholar]
- Jayme, G. Preparation of holocellulose and cellulose with sodium chlorite. Cellul. Chem. 1942, 20, 43–49. [Google Scholar]
- French, A.D. Glucose, not cellobiose, is the repeating unit of cellulose and why that is important. Cellulose 2017, 24, 4605–4609. [Google Scholar] [CrossRef]
- Gruber, E. Analytical Characterization of Pulps. In Handbook of Pulp; Sixta, H., Ed.; Wiley-VCH: Weinheim, Germany, 2006; pp. 1211–1290. [Google Scholar]
- Callone, E.; Carturan, G.; Ischia, M.; Sicurelli, A. Size stabilization of nanoparticles by polysaccharides: Effectiveness in the wet and curing steps. J. Mater. Res./Pratt’s Guide Ventur. Cap. Sources 2007, 22, 3344–3354. [Google Scholar] [CrossRef]
- Sinnott, M.L. Carbohydrate Chemistry and Biochemistry; The Royal Society of Chemistry: London, UK, 2007; pp. 168–170. [Google Scholar]
- Rotaru, R.; Fortună, M.E.; Ungureanu, E.; Brezuleanu, C.O. Effects of Ultrasonication in Water and Isopropyl Alcohol on High-Crystalline Cellulose: A Fourier Transform Infrared Spectrometry and X-ray Diffraction Investigation. Polymers 2024, 16, 2363. [Google Scholar] [CrossRef] [PubMed]
- Menges, F. Spectragryph—Optical Spectroscopy Software. Version 1.2.16.1. 2025. Available online: http://www.effemm2.de/spectragryph/ (accessed on 15 January 2025).
- Ungureanu, E.; Fortună, M.E.; Țopa, D.C.; Lobiuc, A.; Ungureanu, O.C.; Jităreanu, D.C. Design of Functional Polymer Systems to Optimize the Filler Retention in Obtaining Cellulosic Substrates with Improved Properties. Materials 2023, 16, 1904. [Google Scholar] [CrossRef] [PubMed]
- Ungureanu, E.; Fortună, M.E.; Țopa, D.C.; Brezuleanu, C.O.; Ungureanu, V.I.; Chiruță, C.; Rotaru, R.; Tofanica, B.M.; Popa, V.I.; Jităreanu, D.C. Comparison Adsorption of Cd (II) onto Lignin and Polysaccharide-Based Polymers. Polymers 2023, 15, 3794. [Google Scholar] [CrossRef]
- Heinze, T.; Liebert, T.; Koschella, A. Esterification of Polysaccharides; Springer: Berlin/Heidelberg, Germany, 2006; p. 6. [Google Scholar]
- Klemm, D.; Schmauder, H.-P.; Heinze, T. Biopolymers—Volume 6: Polysaccharides II; Vandamme, E.J., de Baets, S., Steinbuchel, A., Eds.; Wiley-Vch.: Hoboken, NJ, USA, 2002; p. 280. [Google Scholar]
- O’Sullivan, A.C. Cellulose: The structure slowly unravels. Cellulose 1997, 4, 173–207. [Google Scholar] [CrossRef]
- Atalla, R.; VanderHart, D. The role of solid state NMR spectroscopy in studies of the nature of native celluloses. Solid State Nucl. Magn. Reson. 1999, 15, 1–19. [Google Scholar] [CrossRef]
- Santoni, I.; Callone, E.; Sandak, A.; Sandak, J.; Dirè, S. Solid state NMR and IR characterization of wood polymer structure in relation to tree provenance. Carbohydr. Polym. 2014, 117, 710–721. [Google Scholar] [CrossRef]
- Callone, E.; Fletcher, J.M.; Carturan, G.; Raj, R. A low-cost method for pro-ducing high-performance nanocomposite thin-films made from silica and CNTs on cellulose substrates. J. Mater. Sci. 2008, 43, 4862–4869. [Google Scholar] [CrossRef]
- Nishiyama, Y.; Langan, P.; Chanzy, H. Crystal Structure and Hydrogen-Bonding System in Cellulose Iβ from Synchrotron X-ray and Neutron Fiber Diffraction. J. Am. Chem. Soc. 2002, 124, 9074–9082. [Google Scholar] [CrossRef]
- Nishiyama, Y.; Sugiyama, J.; Chanzy, H.; Langan, P. Crystal Structure and Hydrogen Bonding System in Cellulose Iα from Synchrotron X-ray and Neutron Fiber Diffraction. J. Am. Chem. Soc. 2003, 125, 14300–14306. [Google Scholar] [CrossRef]
- Zugenmaier, P. Crystalline Cellulose and Derivatives: Characterization and Structures; Springer: Berlin/Heidelberg, Germany, 2008; pp. 129–138. [Google Scholar]
- Klemm, D.; Philipp, B.; Heinze, T.; Heinze, U.; Wagenknecht, W. Comprehensive Cellulose Chemistry, Volume 1: Fundamentals and Analytical Methods; Wiley-Vch.: Hoboken, NJ, USA, 1998; p. 14. [Google Scholar]
- Hesse, S.; Jäger, C. Determination of the 13C chemical shift anisotropies of cellulose I and cellulose II. Cellulose 2005, 12, 5–14. [Google Scholar] [CrossRef]
- Zugenmaier, P. Conformation and packing of various crystalline cellulose fibers. Prog. Polym. Sci. 2001, 26, 1341–1417. [Google Scholar] [CrossRef]
- Langan, P.; Nishiyama, Y.; Chanzy, H. X-ray structure of mercerized cellulose II at 1 å resolution. Biomacromolecules 2001, 2, 410–416. [Google Scholar] [CrossRef] [PubMed]
- Sixta, H. (Ed.) Pulp Purification. In Handbook of Pulp; Wiley-Vch.: Hoboken, NJ, USA, 2006; pp. 933–966. [Google Scholar]
- Raymond, S.; Kvick, A.; Chanzy, H. The structure of Cellulose II: A revisit. Macromolecules 1995, 28, 8422–8425. [Google Scholar] [CrossRef]
- O’Neill, M.A.; York, W.S. The composition and structure of plant primary cell walls. In Annual Plant Reviews; The Plant Cell Wall; Rose, J.K.C., Ed.; Blackwell Publishing Ltd.: Oxford, UK, 2003; Volume 8, ISBN 978-1-841-27328-0. [Google Scholar]









| Functional Group | Extractive-Free | Holocellulose | α-Cellulose |
|---|---|---|---|
| Alkyl (0–50 ppm) | 20.34 (methyl in H) | 20.92 (methyl in H) | n.d. |
| Methoxyl (50–60 ppm) | 55.41 (methoxyl in L) | n.d. | n.d. |
| O-alkyl (60–110 ppm) | 62.05 (C6 in C) 64.33 (C6 in C) 71.86 (C2, C3, C5 in C) 73.85 (C2, C3, C5 in C) 83.61 (C4 amorphous C) 88.50 (C4 crystalline C) 104.66 (C1 in C) | 62.95 (C6 in C) 64.40 (C6 in C) 72.01 (C2, C3, C5 in C) 74.62 (C2, C3, C5 in C) 82.54 (C4 amorphous C) 88.39 (C4 crystalline C) 104.64 (C1 in C) | 62.18 (C6 in C) - - 74.47 (C2, C3, C5 in C) 84.25 (C4 amorphous C) 87.29 (C4 crystalline C) 104.81 (C1 in C) |
| Aromatic (110–145 ppm) | 134.66 (aromatic in L) | n.d. | n.d. |
| Phenolic (145–160 ppm) | 151.98 (phenolic in L) | n.d. | n.d. |
| Carbonyl (160–200 ppm) | (173.5) (carbonyl in H) | (174.48) (carbonyl in H) | n.d. |
| Absorption Bands (cm−1) | Vibration Type * | Intensity ** | Chemical Bond *** | Functional Group | Extractive-Free | Holocellulose | α-Cellulose |
|---|---|---|---|---|---|---|---|
| 3650–3000 | ν (O-H) | s | H-OH; R-CH2-OH; (R)2CH-OH; (R)3C-OH Ar-OH | Water, alcohols | 3354 | 3381 | 3381 |
| 3300; 3100–3000 3000–2800 | ν (C-H) | s; m; s | ≡C-H; =C-H; -C-H | - | 2906 | 2920 | 2897 |
| 1820–1680 | ν (C=O) | vs | R-HC=O; R-CO-OH C=C-CO-O-R Ph-CO-O-R | Aldehydes, carboxylic acids, esters, phenolic esters | 1732 | 1736 | 1732 |
| 1900–1500 | ν (C=C) | 0-w | -HC=CH- | Alkenes | 1632 | 1630 | 1641 |
| 1525–1470 | ν (C=C), aromatics | m-s | Ar-R | Phenols: m-disubstituted, p-disubstituted, 1,3,4-substituted, 1,3,4,5-substituted | 1506 | - | - |
| 1440–1395 | δ (O-H) | w | -CO-OH | Carboxylic acids | 1427 | 1429 | 1425 |
| 1450–1330 | δ (O-H) | s-m | -R-OH | Alcohols | 1383 | 1379 | 1375 |
| 1400–1300 1350–1320 | δ (C=O) δ (O-H) | s | R-CO-OH R-O-H | Carboxylic acids, alcohols | 1335 | 1321 | 1319 |
| 1300–1100 | ν (C-O-C) | s | R-OC-O-C | Esters | 1244 | 1252 | - |
| 1320–1211 | ν (C-O) | s | -C-OC-OH | Carboxylic acids | - | - | 1271, 1230 |
| 1300–1100 | ν (C-O-C) | s | R-OC-O-C | Esters | 1161 | 1163 | 1161 |
| 1150–1060 1125–1090 | ν (C-O-C) ν (C-O) | m-s | -H2C-O-CH2- R2HC-OH | Ethers, alcohols | 1111 | 1111 | - |
| 1100–1000 | ν (C-O) | s | -C-OH | Alcohols | 1061 | 1063 | 1063 |
Disclaimer/Publisher’s Note: The statements, opinions and data contained in all publications are solely those of the individual author(s) and contributor(s) and not of MDPI and/or the editor(s). MDPI and/or the editor(s) disclaim responsibility for any injury to people or property resulting from any ideas, methods, instructions or products referred to in the content. |
© 2025 by the authors. Licensee MDPI, Basel, Switzerland. This article is an open access article distributed under the terms and conditions of the Creative Commons Attribution (CC BY) license (https://creativecommons.org/licenses/by/4.0/).
Share and Cite
Tofanica, B.-M.; Callone, E.; Ungureanu, E.; Ungureanu, O.C.; Popa, V.I. Structure of Cellulose Isolated from Rapeseed Stalks. Polymers 2025, 17, 1032. https://doi.org/10.3390/polym17081032
Tofanica B-M, Callone E, Ungureanu E, Ungureanu OC, Popa VI. Structure of Cellulose Isolated from Rapeseed Stalks. Polymers. 2025; 17(8):1032. https://doi.org/10.3390/polym17081032
Chicago/Turabian StyleTofanica, Bogdan-Marian, Emanuela Callone, Elena Ungureanu, Ovidiu C. Ungureanu, and Valentin I. Popa. 2025. "Structure of Cellulose Isolated from Rapeseed Stalks" Polymers 17, no. 8: 1032. https://doi.org/10.3390/polym17081032
APA StyleTofanica, B.-M., Callone, E., Ungureanu, E., Ungureanu, O. C., & Popa, V. I. (2025). Structure of Cellulose Isolated from Rapeseed Stalks. Polymers, 17(8), 1032. https://doi.org/10.3390/polym17081032

