Enhanced Tribological and Electrical Performance of Graphene-Coated Polyetheretherketone Nanocomposites
Abstract
1. Introduction
2. Materials and Methods
2.1. Materials
2.2. Preparation of Nanofiller
2.3. Preparation of Nanocomposites
2.4. Characterization
3. Results
3.1. Characterization of GnPs and CMG+
3.2. Characterization of PEEK-Graphene Nanocomposites
3.2.1. Structural and Surface Analysis
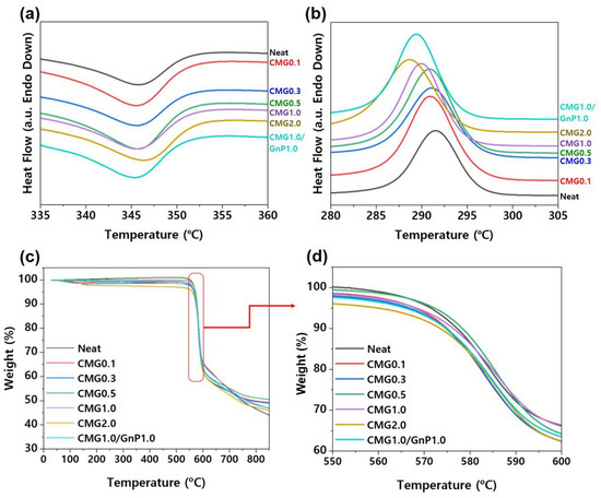
3.2.2. Thermal Properties
3.2.3. Tribological Properties
3.2.4. Electrical Properties
4. Conclusions
Supplementary Materials
Author Contributions
Funding
Institutional Review Board Statement
Data Availability Statement
Acknowledgments
Conflicts of Interest
References
- Puértolas, J.A.; Castro, M.; Morris, J.A.; Ríos, R.; Ansón-Casaos, A. Tribological and mechanical properties of graphene nanoplatelet/PEEK composites. Carbon 2019, 141, 107–122. [Google Scholar] [CrossRef]
- Kalin, M.; Zalaznik, M.; Novak, S. Wear and friction behavior of poly-ether-ether-ketone (PEEK) filled with graphene, WS2 and CNT nanoparticles. Wear 2015, 332, 855–862. [Google Scholar] [CrossRef]
- Díez-Pascual, A.M.; Naffakh, M.; Marco, C.; Ellis, G.; Gómez-Fatou, M.A. High-performance nanocomposites based on polyetherketones. Prog. Mater. Sci. 2012, 57, 1106–1190. [Google Scholar] [CrossRef]
- Bangarusampath, D.S.; Ruckdäschel, H.; Altstädt, V.; Sandler, J.K.W.; Garray, D.; Shaffer, M.S.P. Rheology and properties of melt-processed poly(ether ether ketone)/multi-wall carbon nanotube composites. Polymer 2009, 50, 5803–5811. [Google Scholar] [CrossRef]
- Coban, O.; Bora, M.O.; Avcu, E.; Sinmazcelik, T. The influence of annealing on the crystallization and tribological behavior of MWNT/PEEK nanocomposites. Polym. Compos. 2011, 32, 1766–1771. [Google Scholar] [CrossRef]
- Díez-Pascual, A.M.; Naffakh, M.; González-Domínguez, J.M.; Ansón, A.; Martínez-Rubi, Y.; Martínez, M.T.; Simard, B.; Gómez, M.A. High performance PEEK/carbon nanotube composites compatibilized with polysulfones-II. Mechanical and electrical properties. Carbon 2010, 48, 3500–3511. [Google Scholar] [CrossRef]
- Kuo, M.C.; Tsai, C.M.; Huang, J.C.; Chen, M. PEEK composites reinforced by nano-sized SiO2 and Al2O3 particulates. Mater. Chem. Phys. 2005, 90, 185–195. [Google Scholar] [CrossRef]
- Zhang, G.; Liao, H.; Li, H.; Mateus, C.; Bordes, J.M.; Coddet, C. On dry sliding friction and wear behaviour of PEEK and PEEK/SiC-composite coatings. Wear 2006, 260, 594–600. [Google Scholar] [CrossRef]
- Davim, J.P.; Cardoso, R. Effect of the reinforcement (carbon or glass fibres) on friction and wear behaviour of the PEEK against steel surface at long dry sliding. Wear 2009, 266, 795–799. [Google Scholar] [CrossRef]
- Schroeder, R.; Torres, F.W.; Binder, C.; Klein, A.N.; de Mello, J.D.B. Failure mode in sliding wear of PEEK based composites. Wear 2013, 301, 717–726. [Google Scholar] [CrossRef]
- Unal, H.; Sen, U.; Mimaroglu, A. Dry sliding wear characteristics of some industrial polymers against steel counterface. Tribol. Int. 2004, 37, 727–732. [Google Scholar] [CrossRef]
- Davim, J.P.; Marques, N. Evaluation of tribological behavior of polymeric materials for hip prostheses application. Tribol. Lett. 2001, 11, 91–94. [Google Scholar] [CrossRef]
- Burris, D.L.; Sawyer, W.G. A low friction and ultra low wear rate PEEK/PTFE composite. Wear 2006, 261, 410–418. [Google Scholar] [CrossRef]
- Qiao, H.B.; Guo, Q.; Tian, A.G.; Pan, G.L.; Xu, L.B. A study on friction and wear characteristics of nanometer Al2O3 /PEEK composites under the dry sliding condition. Tribol. Int. 2007, 40, 105–110. [Google Scholar] [CrossRef]
- Puhan, D.; Wong, J.S.S. Properties of polyetheretherketone (PEEK) transferred materials in a PEEK-steel contact. Tribol. Int. 2019, 135, 189–199. [Google Scholar] [CrossRef]
- Berer, M.; Major, Z.; Pinter, G. Elevated pitting wear of injection molded polyetheretherketone (PEEK) rolls. Wear 2013, 297, 1052–1063. [Google Scholar] [CrossRef]
- Pascual, A.; Toma, M.; Tostra, P.; Grob, M.C. On the stability of PEEK for short processing cycles at high temperatures and oxygen-containing atmosphere. Polym. Degrad. Stabil. 2019, 165, 161–169. [Google Scholar] [CrossRef]
- Yun, S.-S.; Shin, D.-H.; Jang, K.-S. Influence of ionomer and cyanuric acid on antistatic, mechanical, thermal, and rheological properties of extruded carbon nanotube (CNT)/polyoxymethylene (POM) nanocomposites. Polymers 2022, 14, 1849. [Google Scholar] [CrossRef]
- Rosner, R.B. Conductive materials for ESD applications: An overview, IEEE Trans. Device Mater. Reliab. 2001, 1, 9–16. [Google Scholar] [CrossRef]
- Osman, A.; Elhakeem, A.; Kaytbay, S.; Ahmed, A. A comprehensive review on the thermal, electrical, and mechanical properties of graphene-based multi-functional epoxy composites. Adv. Compos. Hybrid Mater. 2022, 5, 547–605. [Google Scholar] [CrossRef]
- Tomanik, E.; Christinelli, W.; Souza, R.M.; Oliveira, V.L.; Ferreira, F.; Zhmud, B. Review of graphene-based materials for tribological engineering applications. Eng 2023, 4, 2764–2811. [Google Scholar] [CrossRef]
- Lee, P.-C.; Kim, S.Y.; Ko, Y.K.; Ha, J.U.; Jeoung, S.K.; Shin, D.; Kim, J.H.; Kim, M.-G. Tribological properties of polyamide 46/graphene nanocomposites. Polymers 2022, 14, 1139. [Google Scholar] [CrossRef] [PubMed]
- Martínez-Gómez, A.; Quiles-Díaz, S.; Enrique-Jimenez, P.; Flores, A.; Ania, F.; Gómez-Fatou, M.A.; Salavagione, H.J. Searching for effective compatibilizing agents for the preparation of poly(ether ether ketone)/graphene nanocomposites with enhanced properties. Compos. A 2018, 113, 180–188. [Google Scholar] [CrossRef]
- Potts, J.R.; Dreyer, D.R.; Bielawski, C.W.; Ruoff, R.S. Graphene-based polymer nanocomposites. Polymer 2011, 52, 5–25. [Google Scholar] [CrossRef]
- Berman, D.; Erdemir, A.; Sumant, A.V. Graphene: A new emerging lubricant. Mater. Today 2014, 17, 31–42. [Google Scholar] [CrossRef]
- Vasić, B.; Matković, A.; Ralević, U.; Belić, M.; Gajić, R. Nanoscale wear of graphene and wear protection by graphene. Carbon 2017, 120, 137–144. [Google Scholar] [CrossRef]
- Sun, L.; Cao, M.; Xiao, F.; Xu, J.; Chen, Y. POSS functionalized graphene oxide nanosheets with multiple reaction sites improve the friction and wear properties of polyamide 6. Tribol. Int. 2021, 154, 106747. [Google Scholar] [CrossRef]
- Mo, Y.; Yang, M.; Lu, Z.; Huang, F. Preparation and tribological performance of chemically modified reduced graphene oxide/polyacrylonitrile composites. Compos. A 2013, 54, 153–158. [Google Scholar] [CrossRef]
- Ye, X.Y.; Liu, X.H.; Yang, Z.G.; Wang, Z.F.; Wang, H.G.; Wang, J.Q.; Yang, S.R. Tribological properties of fluorinated graphene reinforced polyimide composite coatings under different lubricated conditions. Compos. A 2016, 81, 282–288. [Google Scholar] [CrossRef]
- Kang, D.; Kim, S.H.; Shin, D.; Oh, J.T.; Kim, M.-G.; Lee, P.-C. Hygroscopic behavior of polypropylene nanocomposites filled with graphene functionalized by alkylated chains. Nanomaterials 2022, 12, 4130. [Google Scholar] [CrossRef]
- Lee, P.-C.; Kang, D.; Oh, J.T.; Seo, J.Y.; Shin, D.; Jung, J.-U.; Ko, Y.K.; Ha, J.U.; Kim, M.-G. Reducing moisture absorption in polypropylene nanocomposites for automotive headlamps using hydrophobicity-modified graphene/montmorillonite. Nanomaterials 2023, 13, 1439. [Google Scholar] [CrossRef] [PubMed]










| C (at.%) | O (at.%) | N (at.%) | |
|---|---|---|---|
| GO | 55.37 | 44.63 | 0 |
| CMG+ | 80.10 | 9.85 | 10.05 |
| GnP | 99.87 | 0.12 | 0.01 |
Disclaimer/Publisher’s Note: The statements, opinions and data contained in all publications are solely those of the individual author(s) and contributor(s) and not of MDPI and/or the editor(s). MDPI and/or the editor(s) disclaim responsibility for any injury to people or property resulting from any ideas, methods, instructions or products referred to in the content. |
© 2025 by the authors. Licensee MDPI, Basel, Switzerland. This article is an open access article distributed under the terms and conditions of the Creative Commons Attribution (CC BY) license (https://creativecommons.org/licenses/by/4.0/).
Share and Cite
Lee, P.-C.; Hong, S.-H.; Kim, J.-H.; Seo, J.-Y.; Ko, Y.-K.; Ha, J.-U.; Jeoung, S.-K.; Kim, M.-G.; Cho, B.-G. Enhanced Tribological and Electrical Performance of Graphene-Coated Polyetheretherketone Nanocomposites. Polymers 2025, 17, 721. https://doi.org/10.3390/polym17060721
Lee P-C, Hong S-H, Kim J-H, Seo J-Y, Ko Y-K, Ha J-U, Jeoung S-K, Kim M-G, Cho B-G. Enhanced Tribological and Electrical Performance of Graphene-Coated Polyetheretherketone Nanocomposites. Polymers. 2025; 17(6):721. https://doi.org/10.3390/polym17060721
Chicago/Turabian StyleLee, Pyoung-Chan, Seo-Hwa Hong, Jung-Hoon Kim, Jae-Young Seo, Youn-Ki Ko, Jin-Uk Ha, Sun-Kyoung Jeoung, Myeong-Gi Kim, and Beom-Gon Cho. 2025. "Enhanced Tribological and Electrical Performance of Graphene-Coated Polyetheretherketone Nanocomposites" Polymers 17, no. 6: 721. https://doi.org/10.3390/polym17060721
APA StyleLee, P.-C., Hong, S.-H., Kim, J.-H., Seo, J.-Y., Ko, Y.-K., Ha, J.-U., Jeoung, S.-K., Kim, M.-G., & Cho, B.-G. (2025). Enhanced Tribological and Electrical Performance of Graphene-Coated Polyetheretherketone Nanocomposites. Polymers, 17(6), 721. https://doi.org/10.3390/polym17060721

