Repurposing of End-of-Life Dialysate Production Polymeric Membrane for Achieving Sustainable Hemodialysis Process Water Management
Abstract
1. Introduction
2. Materials and Methods
2.1. Dialysate Center RO Membrane Unit and EoLM Sample Preparation
2.2. Chemical Reagents
2.3. EoLM Rehabilitation Using Different Chemical Cleaning Agents
2.4. Physico-Chemical Characterization of EoL Membranes
2.5. Remediation of Creatinine Contaminated Water Under FCC-CCD Design
2.6. Creatinine Concentration Measurement
3. Results Discussions
3.1. Dialysate Production EoLM Cleaning Using Different Binary Chemical Agent
3.2. Characterization of REoLM Membranes
3.2.1. SEM and EDX Characterization in Relation to REoLM Performance
3.2.2. FTIR Characterization in Relation to REoLM Performance
4. Modeling and Optimization of Creatinine Remediation Using REoLM
4.1. Development RSM Models for Rehabilitated EoL Hemodialysis Membranes
4.2. Developed EoL Rehabilitation Models Diagnostics
4.3. ANOVA and Impact of Main and Interactive Effects of REoLM Models
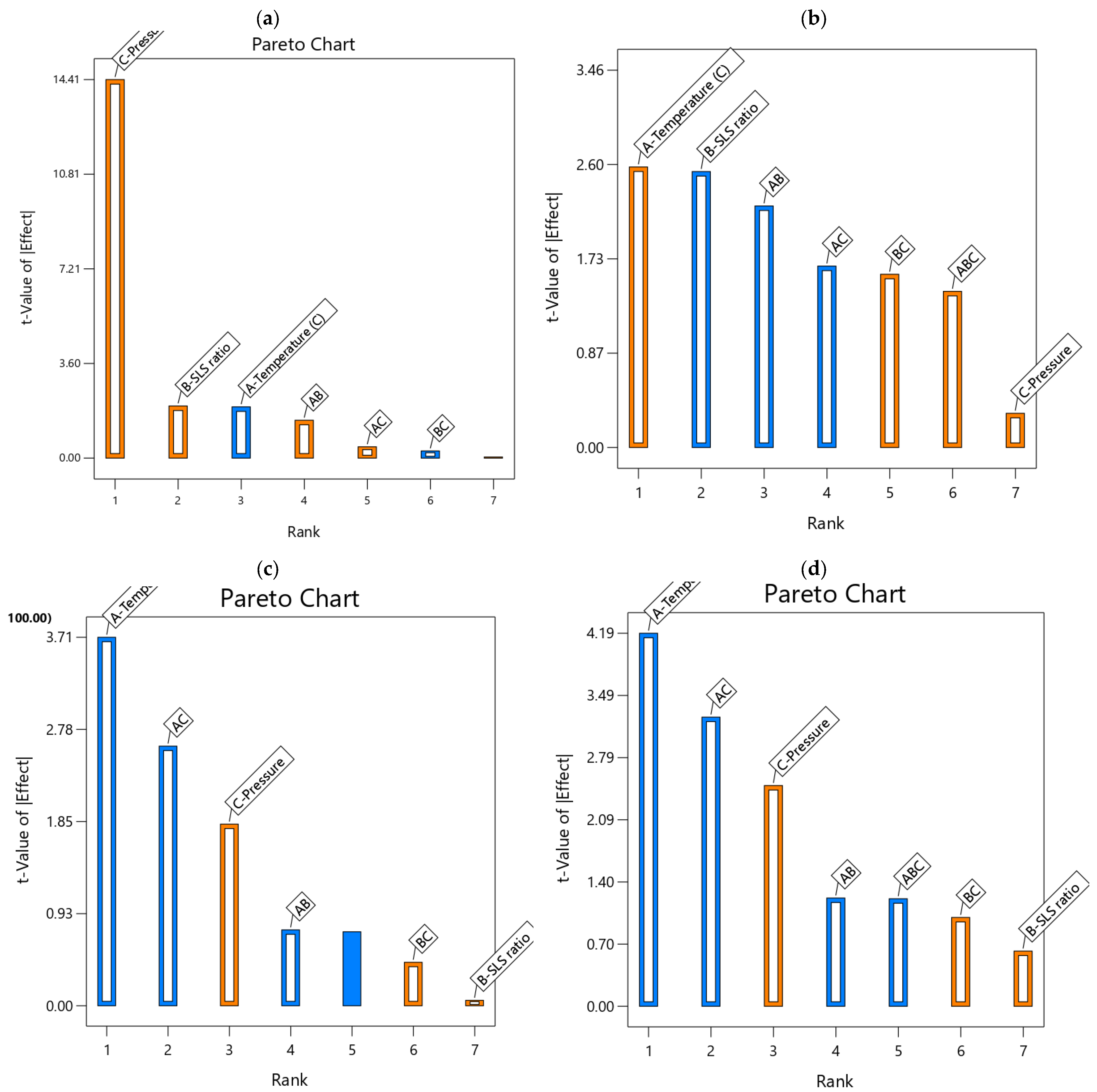
4.4. Pareto Charts for Hierarchical Influence of the Operational Conditions
5. Influence of Operational Conditions on REoLM Performance
5.1. Influence of Operational Conditions on Product Water Permeability
5.2. Influence of Operational Conditions on Remediation Creatinine from Water
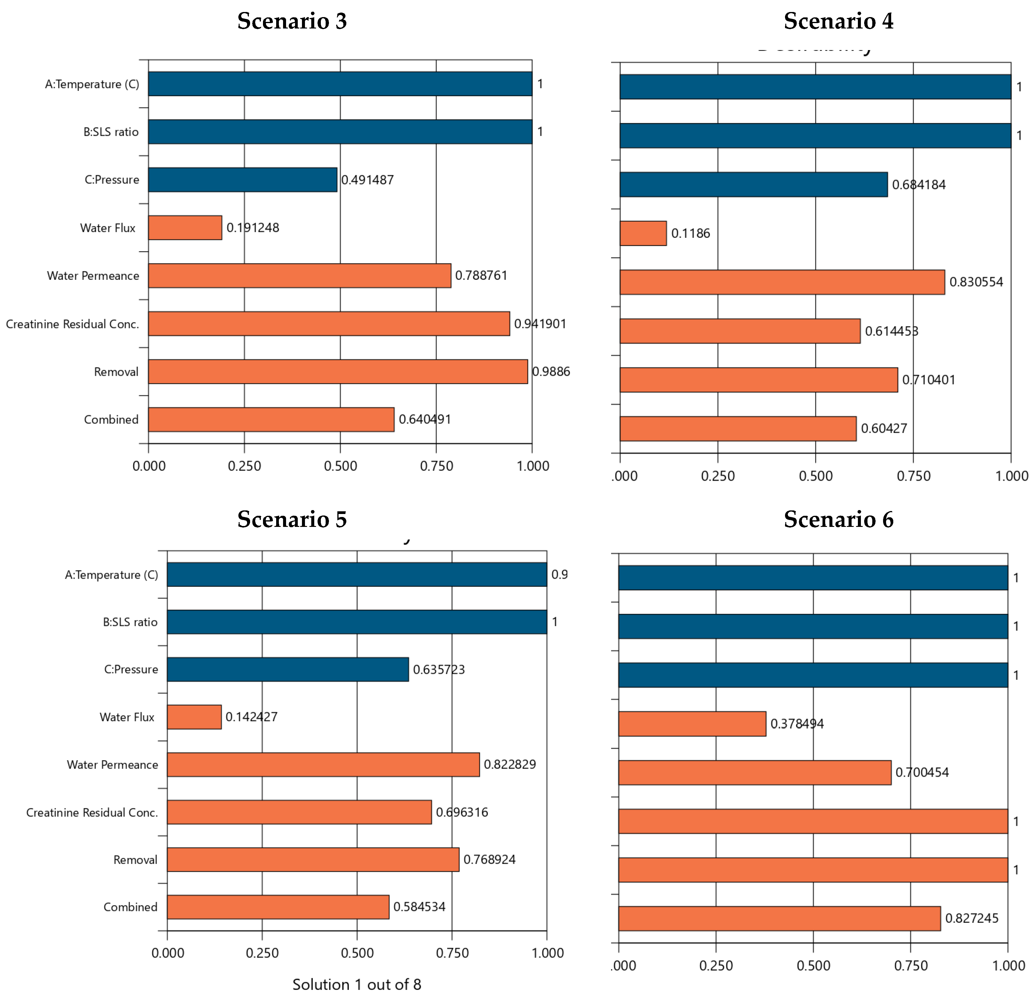
6. Numeral Optimization and Desirability Analysis for Sustainable Performance
6.1. Optimization Desirability Function Analysis
6.2. Optimization Results for EoLM Creatinine Filtration Performance
7. Conclusions
Supplementary Materials
Author Contributions
Funding
Data Availability Statement
Acknowledgments
Conflicts of Interest
References
- Yan, M.; Bai, Q.; Xu, Y.; Ma, S.; Bo, C.; Ou, J. Overview of hemodialysis membranes: Methods and strategies to improve hemocompatibility. J. Ind. Eng. Chem. 2024, 139, 94–110. [Google Scholar] [CrossRef]
- Mu’azu, N.D.; Zubair, M.; Alqahtani, H.A.; Haladu, S.A.; Manzar, M.S.; Alharthi, S.; Abdel-Naby, A.; Jagaba, A.H.; Alhamed, I.H.; Cevik, E.; et al. Polymeric membranes for sustainable closed-loop heamodialysis process water management: Recent advances and future perspectives. J. Environ. Chem. Eng. 2025, 13, 117934. [Google Scholar] [CrossRef]
- Zhang, Z.; Yang, T.; Li, Y.; Li, J.; Yang, Q.; Wang, L.; Jiang, L.; Su, B. Effects of expanded hemodialysis with medium cut-off membranes on maintenance hemodialysis patients: A review. Membranes 2022, 12, 253. [Google Scholar] [CrossRef] [PubMed]
- Radu, E.R.; Voicu, S.I. Functionalized Hemodialysis Polysulfone Membranes with Improved Hemocompatibility. Polymers 2022, 14, 1130. [Google Scholar] [CrossRef] [PubMed]
- Radu, E.R.; Voicu, S.I.; Thakur, V.K. Polymeric Membranes for Biomedical Applications. Polymers 2023, 15, 619. [Google Scholar] [CrossRef]
- Khulbe, K.C.; Matsuura, T. Thin Film Composite and/or Thin Film Nanocomposite Hollow Fiber Membrane for Water Treatment, Pervaporation, and Gas/Vapor Separation. Polymers 2018, 10, 1051. [Google Scholar] [CrossRef]
- Somrani, A.; Abohelal, K.; Pontié, M. A Mini Review of Reused End-of-Life Reverse Osmosis (EoL RO) Membranes. Membranes 2025, 15, 217. [Google Scholar] [CrossRef]
- Gul, A.; Hrůza, J.; Dvořák, L.; Yalcinkaya, F. Chemical Cleaning Process of Polymeric Nanofibrous Membranes. Polymers 2022, 14, 1102. [Google Scholar] [CrossRef]
- Lim, Y.J.; Goh, K.; Nadzri, N.; Wang, R. Thin-film composite (TFC) membranes for sustainable desalination and water reuse: A perspective. Desalination 2025, 599, 118451. [Google Scholar] [CrossRef]
- Rehman, Z.U.; Amjad, H.; Khan, S.J.; Yasmeen, M.; Khan, A.A.; Khanzada, N.K. Performance Evaluation of UF Membranes Derived from Recycled RO Membrane, a Step towards Circular Economy in Desalination. Membranes 2023, 13, 628. [Google Scholar] [CrossRef]
- Khaless, K.; Achiou, B.; Boulif, R.; Benhida, R. Recycling of Spent Reverse Osmosis Membranes for Second Use in the Clarification of Wet-Process Phosphoric Acid. Minerals 2021, 11, 637. [Google Scholar] [CrossRef]
- Coutinho de Paula, E.; Santos Amaral, M.C. Environmental and economic evaluation of end-of-life reverse osmosis membranes recycling by means of chemical conversion. J. Clean. Prod. 2018, 194, 85–93. [Google Scholar] [CrossRef]
- Mu’azu, N.D.; Abubakar, I.R.; Blaisi, N.I. Public acceptability of treated wastewater reuse in Saudi Arabia: Implications for water management policy. Sci. Total Environ. 2020, 721, 137659. [Google Scholar] [CrossRef]
- Lejarazu-Larrañaga, A.; Landaburu-Aguirre, J.; Senán-Salinas, J.; Ortiz, J.M.; Molina, S. Thin Film Composite Polyamide Reverse Osmosis Membrane Technology towards a Circular Economy. Membranes 2022, 12, 864. [Google Scholar] [CrossRef]
- Morales, N.; Ossandón, G.; Rivera, D.; Medina, V.; Poblete, R.; Chacana-Olivares, J. Recycling end-of-life reverse osmosis membranes: A combined sodium hypochlorite and ultrasonication treatment approach. J. Water Process Eng. 2025, 75, 107957. [Google Scholar] [CrossRef]
- Aghapour Aktij, S.; Taghipour, A.; Rahimpour, A.; Mollahosseini, A.; Tiraferri, A. A critical review on ultrasonic-assisted fouling control and cleaning of fouled membranes. Ultrasonics 2020, 108, 106228. [Google Scholar] [CrossRef] [PubMed]
- Kan, C.-C.; Genuino, D.A.D.; Rivera, K.K.P.; de Luna, M.D.G. Ultrasonic cleaning of polytetrafluoroethylene membrane fouled by natural organic matter. J. Membr. Sci. 2016, 497, 450–457. [Google Scholar] [CrossRef]
- Garcia-Fayos, B.; Arnal, J.M.; Gimenez, A.; Alvarez-Blanco, S.; Sancho, M. Static cleaning tests as the first step to optimize RO membranes cleaning procedure. Desalination Water Treat. 2015, 55, 3380–3390. [Google Scholar] [CrossRef]
- Jung, M.; Yaqub, M.; Lee, W. Optimization of chemical cleaning of discarded reverse osmosis membranes for reuse. Membr. Water Treat. 2021, 12, 1–9. [Google Scholar]
- Beyer, F.; Laurinonyte, J.; Zwijnenburg, A.; Stams, A.; Plugge, C. Membrane Fouling and Chemical Cleaning in Three Full-Scale Reverse Osmosis Plants Producing Demineralized Water. J. Eng. 2017, 2017, 6356751. [Google Scholar] [CrossRef]
- Madaeni, S.S.; Samieirad, S. Chemical cleaning of reverse osmosis membrane fouled by wastewater. Desalination 2010, 257, 80–86. [Google Scholar] [CrossRef]
- Masse, L.; Puig-Bargués, J.; Mondor, M.; Deschênes, L.; Talbot, G. Efficiency of EDTA, SDS and NaOH solutions to clean RO membranes processing swine wastewater. Sep. Sci. Technol. 2015, 50, 2509–2517. [Google Scholar] [CrossRef]
- Park, K.-B.; Choi, C.; Yu, H.-W.; Chae, S.-R.; Kim, I.S. Optimization of chemical cleaning for reverse osmosis membranes with organic fouling using statistical design tools. Environ. Eng. Res. 2018, 23, 474–484. [Google Scholar] [CrossRef]
- An, S.-A.; Cho, S.-M.; Woo, Y.C.; Kim, H.-S. Temperature-Dependent Performance of Citric Acid and EDTA Cleaning Sequences in Fouled RO Membranes. Desalination Water Treat. 2025, 323, 101269. [Google Scholar] [CrossRef]
- Ochando-Pulido, J.M.; Victor-Ortega, M.D.; Martínez-Ferez, A. On the cleaning procedure of a hydrophilic reverse osmosis membrane fouled by secondary-treated olive mill wastewater. Chem. Eng. J. 2015, 260, 142–151. [Google Scholar] [CrossRef]
- Li, Q.; Elimelech, M. Organic fouling and chemical cleaning of nanofiltration membranes: Measurements and mechanisms. Environ. Sci. Technol. 2004, 38, 4683–4693. [Google Scholar] [CrossRef]
- Ang, W.S.; Lee, S.; Elimelech, M. Chemical and physical aspects of cleaning of organic-fouled reverse osmosis membranes. J. Membr. Sci. 2006, 272, 198–210. [Google Scholar] [CrossRef]
- Ang, W.S.; Tiraferri, A.; Chen, K.L.; Elimelech, M. Fouling and cleaning of RO membranes fouled by mixtures of organic foulants simulating wastewater effluent. J. Membr. Sci. 2011, 376, 196–206. [Google Scholar] [CrossRef]
- Mu’azu, N.D. Insight into ANN and RSM Models’ Predictive Performance for Mechanistic Aspects of Cr(VI) Uptake by Layered Double Hydroxide Nanocomposites from Water. Water 2022, 14, 1644. [Google Scholar] [CrossRef]
- Mu’azu, N.D.; Zubair, M.; Ihsanullah, I. Process Optimization and Modeling of Phenol Adsorption onto Sludge-Based Activated Carbon Intercalated MgAlFe Ternary Layered Double Hydroxide Composite. Molecules 2021, 26, 4266. [Google Scholar] [CrossRef]













| Variable | Unit | Variables (Coded) Values | ||
|---|---|---|---|---|
| Independent (operational) values and levels | ||||
| Low (−1) | Mid (0) | Low(+1) | ||
| A: Temperature | °C | 25 | 4.5 | 65 |
| B: SLS ratio | % | 25 | 50 | 75 |
| C: Applied Pressure | psi | 150 | 350 | 550 |
| Membrane Type | Fouling Type | Cleaning Agents | Operational Condition and Performance | Reference |
|---|---|---|---|---|
| TFN RO (BW440-ES, LG) | Organic (humic acids) + Inorganic (salts, gypsum) | Citric acid (0.2%) + EDTA·4Na (0.1%) (CA → EDTA vs. EDTA → CA) | Filtration 12 bar, 24 h, 5–45 °C; fouling thickness with temperature (4.03–6.54 µm); FRR > 95% when citric acid used first; FRR declined to ~90% after 3 cycles; CE sequence (CA first) more effective at foulant removal | [24] |
| TFC Polyamide RO (spiral wound) | Mixed organic, protein, inorganic | CA, CA + (SDS, SLS or EDTA binary) | CA alone: 45.2 LMH, 76.8% cond. removal @ 68.97 bar; CA + SLS: 46.9 LMH, 90.2% cond. removal, 1.24 LMH/bar @ 37.93 bar; CA + SDS: 77.3 LMH @ 51.72 bar; EDTA (2:1) lowest flux 28 LMH, 48.9% cond. removal | Present study (Dialysis EoL RO) |
| TFC-1 RO (Hydranautics) | Organic (alginate, SRNOM) in the presence of Ca2+ | NaOH (pH 11), EDTA (0.5–2 mM, pH 11), SDS (2–10 mM, pH 11) | NaOH ineffective (<15% recovery); EDTA efficiency increased with dose and pH (up to ~100% at 2 mM, pH 11, 40 °C, 60 min); SDS effective only above CMC (~8 mM), nearly 100% recovery at 10 mM, pH 11, 60 min; | [27] |
| TFC RO (LFC-1, Hydranautics) | Mixture of organic foulants alginate, BSA, SRNOM, and octanoic acid) with Ca2+ | SDS, NaCl and EDTA (pH 11) | Effective foulant removal and flux restoration (>90% FRR). 15 bar | [28] |
| TFC-PA RO | Organic + Inorganic | NaOH (pH 11), HCl (pH 2), | 45 °C, 3 h; 65–75% → >85% @ 15 bar | [28] |
| Hydrophilic RO membrane oily wastewater treated | Organic + inorganic | Citric acid + NaOH + SDS (2-step) | Complete permeability restoration; 0.1% CA + NaOH + SDS; 2.7 bar; 30–35 °C; 20–25 min | [25] |
| Seawater RO membrane | Mainly colloidal/inorganic (silica, NOM) | SDS 0.5% @ 40 °C; NaOH alt. | Permeate flux: 0.60 L/m2·h·bar; SRI 96.8%; SDS 0.5% @ 40 °C, 1 h static cleaning | [18] |
| RO membrane (type not specified) | Organic fouling (humics, NOM) | NaOH + detergent | Alkaline–detergent > acids; effective organic cake removal; no specific flux given | [26] |
| Nanofibrous PAN membrane | Organic/protein | SDS, NaOH, Triton (varied conc.) | Flux recovery: up to 288.8%; Optimal 1 wt% NaOH + Triton; Excess SDS in acidic cleaning caused flux stopper effect | [8] |
| Discarded polyamide RO membrane | Mixed foulants | Acid (pH 3) + base (pH 12) + EDTA/SDS | Flux recovery: ~72.4%; Salt rejection > 85%; 0.5% EDTA, 0.01% SDS; 45 °C; 3 h | [19] |
| RO membrane (organic fouling) | Organic fouling | EDTA 0.68% (optimized via DoE) | FR ~86.6% predicted; R2 = 83.95%; 0.68 wt% EDTA; 20 °C; 20 min; flow rate 409 mL/min | [23] |
| Protein/inorganic (swine wastewater) | SDS-NaOH (pH 11–12), EDTA (varied) | FR highest with 18 mM SDS @ pH 11/40 °C (60 min); NaOH @ pH 12/33 °C (120 min); 4 cycles | [22] | |
| FT-30 hydrophilic polyamide membrane | Organic + inorganic (industrial waste) | NaOH + SDS followed by acid | Two-stage NaOH–SDS then acid; fouled 540 min; high FR; acids alone ineffective | [21] |
| Standard | Run Order | Operational Conditions | Performance Indicators | |||||
|---|---|---|---|---|---|---|---|---|
| Design | ||||||||
| Order | ||||||||
| A: Temperature, °C | B: SLS Ratio, | C: Applied Pressure, | Y1: Water Flux, L/m2/hr | Y2: Water Permeance, L/m2/h/bar | Y3: Creatinine Residual, mg/L | Y4: Creatinine Removal, | ||
| % | psi | % | ||||||
| 11 | R1 | 45 | 25 | 350 | 32.15 | 1.29 | 19.43 | 75.71 |
| 4 | R2 | 65 | 75 | 150 | 17.97 | 1.68 | 2.66 | 96.68 |
| 13 | R3 | 45 | 50 | 150 | 23.17 | 2.16 | 16 | 80 |
| 16 | R4 | 45 | 50 | 350 | 29.79 | 1.19 | 0.08 | 99.89 |
| 8 | R5 | 65 | 75 | 550 | 58.63 | 1.49 | 1.53 | 98.09 |
| 1 | R6 | 25 | 25 | 150 | 17.97 | 1.68 | 5.69 | 92.89 |
| 14 | R7 | 45 | 50 | 550 | 58.63 | 1.49 | 3.47 | 95.66 |
| 5 | R8 | 25 | 25 | 550 | 57.68 | 1.47 | 26.45 | 66.94 |
| 17 | R9 | 45 | 50 | 350 | 24.59 | 0.98 | 0.08 | 99.89 |
| 9 | R10 | 25 | 50 | 350 | 45.39 | 1.82 | 26.48 | 66.91 |
| 3 | R11 | 25 | 75 | 150 | 17.97 | 1.68 | 4.48 | 94.41 |
| 10 | R12 | 65 | 50 | 350 | 30.73 | 1.23 | 2.97 | 96.29 |
| 2 | R13 | 65 | 25 | 150 | 9.46 | 0.88 | 4.04 | 94.94 |
| 7 | R14 | 25 | 75 | 550 | 55.79 | 1.42 | 37.82 | 52.73 |
| 15 | R15 | 45 | 50 | 350 | 29.31 | 1.17 | 0.08 | 99.89 |
| 12 | R16 | 45 | 75 | 350 | 45.39 | 1.82 | 17.31 | 78.37 |
| 6 | R17 | 45 | 25 | 550 | 51.54 | 1.31 | 5.85 | 92.69 |
| Parameter | Y1: Water Flux | Y2: Water Permeance | Y3: Creatinine Residual | Y4: Creatinine Removal |
|---|---|---|---|---|
| R2 | 0.962 | 0.818 | 0.775 | 0.848 |
| Absolute error | 2.669 | 0.054 | 0.044706 | 0.000653 |
| RMSE | 1.634 | 0.231 | 0.211438 | 0.025553 |
| Chi-Square | 13.040 | 0.184 | 0.0869 | 0.000077 |
| MAPE (%) | 8.290 | 6.280 | 0.13 | 7.22 |
Disclaimer/Publisher’s Note: The statements, opinions and data contained in all publications are solely those of the individual author(s) and contributor(s) and not of MDPI and/or the editor(s). MDPI and/or the editor(s) disclaim responsibility for any injury to people or property resulting from any ideas, methods, instructions or products referred to in the content. |
© 2025 by the authors. Licensee MDPI, Basel, Switzerland. This article is an open access article distributed under the terms and conditions of the Creative Commons Attribution (CC BY) license (https://creativecommons.org/licenses/by/4.0/).
Share and Cite
Mu’azu, N.D.; AlAmri, A.H.; Alhamed, I.H.; Zubair, M.; Manzar, M.S.; Nawaz, M. Repurposing of End-of-Life Dialysate Production Polymeric Membrane for Achieving Sustainable Hemodialysis Process Water Management. Polymers 2025, 17, 2922. https://doi.org/10.3390/polym17212922
Mu’azu ND, AlAmri AH, Alhamed IH, Zubair M, Manzar MS, Nawaz M. Repurposing of End-of-Life Dialysate Production Polymeric Membrane for Achieving Sustainable Hemodialysis Process Water Management. Polymers. 2025; 17(21):2922. https://doi.org/10.3390/polym17212922
Chicago/Turabian StyleMu’azu, Nuhu Dalhat, Aesha H. AlAmri, Ishraq H. Alhamed, Mukarram Zubair, Muhammad Saood Manzar, and Muhammad Nawaz. 2025. "Repurposing of End-of-Life Dialysate Production Polymeric Membrane for Achieving Sustainable Hemodialysis Process Water Management" Polymers 17, no. 21: 2922. https://doi.org/10.3390/polym17212922
APA StyleMu’azu, N. D., AlAmri, A. H., Alhamed, I. H., Zubair, M., Manzar, M. S., & Nawaz, M. (2025). Repurposing of End-of-Life Dialysate Production Polymeric Membrane for Achieving Sustainable Hemodialysis Process Water Management. Polymers, 17(21), 2922. https://doi.org/10.3390/polym17212922

