Impact of Silica Nanoparticles on Mechanical Properties and Self-Healing Performance of PVA Hydrogels
Abstract
1. Introduction
2. Materials and Methods
2.1. Materials
2.2. Preparation of PVA Hydrogels
- P1 = Mw ~88,100 g/mol, degree of hydrolysis ≥98.5%;
- P2 = Mw ~88,100 g/mol, degree of hydrolysis 80%;
- P3 = Mw ~145,000 g/mol, degree of hydrolysis >99%.
2.3. Characterization Methods
2.3.1. Mechanical Strength
2.3.2. Crystallization Properties
2.3.3. Swelling Behaviour
3. Results and Discussion
3.1. Hydrogel Synthesis
3.2. Self-Healing Mechanism
3.3. PVA Hydrogel Self-Healing Conditions
3.4. Mechanical Properties of Hydrogels
3.4.1. Self-Healing of PVA Hydrogels (H1) Without Si at Room Temperature
3.4.2. Self-Healing of H1 Hydrogels Without Si Under Thermal Stimulation
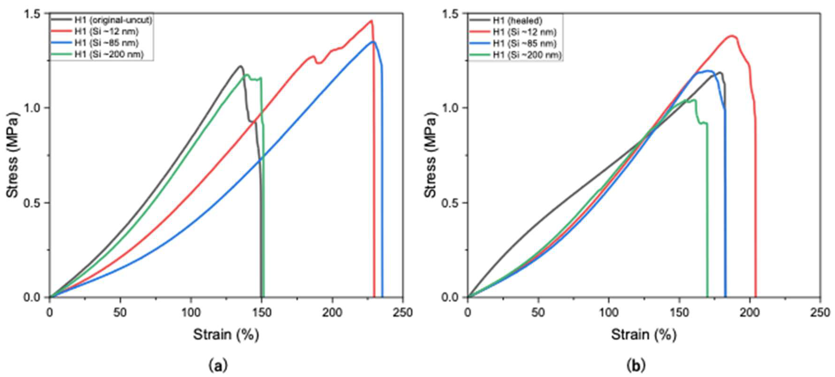
3.4.3. Self-Healing of H1 Hydrogels Containing Si Nanoparticles
3.5. XRD Results
3.6. Effect of Si on Hydrogel Swelling Performance
4. Conclusions
Author Contributions
Funding
Institutional Review Board Statement
Data Availability Statement
Conflicts of Interest
Abbreviations
| RT | Room temperature | 
| PVA | Polyvinyl alcohol | 
| F/T | Freeze/thaw | 
| Si | Silica | 
References
- Kumar, B.; Sauraj; Negi, Y.S. To Investigate the Effect of Ester-Linkage on the Properties of Polyvinyl Alcohol/Carboxymethyl Cellulose Based Hydrogel. Mater. Lett. 2019, 252, 308–312. [Google Scholar] [CrossRef]
- Wang, C.; Du, Y.; Chen, B.; Chen, S.; Wang, Y. A Novel Highly Stretchable, Adhesive and Self-Healing Silk Fibroin Powder-Based Hydrogel Containing Dual-Network Structure. Mater. Lett. 2019, 252, 126–129. [Google Scholar] [CrossRef]
- Wang, Z.; Tao, F.; Pan, Q. A Self-Healable Polyvinyl Alcohol-Based Hydrogel Electrolyte for Smart Electrochemical Capacitors. J. Mater. Chem. A Mater. 2016, 4, 17732–17739. [Google Scholar] [CrossRef]
- Meng, H.; Xiao, P.; Gu, J.; Wen, X.; Xu, J.; Zhao, C.; Zhang, J.; Chen, T. Self-Healable Macro-/Microscopic Shape Memory Hydrogels Based on Supramolecular Interactions. Chem. Commun. 2014, 50, 12277–12280. [Google Scholar] [CrossRef]
- Li, J.; Geng, L.; Wang, G.; Chu, H.; Wei, H. Self-Healable Gels for Use in Wearable Devices. Chem. Mater. 2017, 29, 8932–8952. [Google Scholar] [CrossRef]
- Ashraful Alam, M.; Takafuji, M.; Ihara, H. Thermosensitive Hybrid Hydrogels with Silica Nanoparticle-Cross-Linked Polymer Networks. J. Colloid. Interface Sci. 2013, 405, 109–117. [Google Scholar] [CrossRef]
- Wang, K.; Cheng, W.; Ding, Z.; Xu, G.; Zheng, X.; Li, M.; Lu, G.; Lu, Q. Injectable Silk/Hydroxyapatite Nanocomposite Hydrogels with Vascularization Capacity for Bone Regeneration. J. Mater. Sci. Technol. 2021, 63, 172–181. [Google Scholar] [CrossRef]
- Yang, J.; Zhao, J. Preparation and Mechanical Properties of Silica Nanoparticles Reinforced Composite Hydrogels. Mater. Lett. 2014, 120, 36–38. [Google Scholar] [CrossRef]
- Lee, J.; Jin Lee, K.; Jang, J. Effect of Silica Nanofillers on Isothermal Crystallization of Poly(Vinyl Alcohol): In-Situ ATR-FTIR Study. Polym. Test. 2008, 27, 360–367. [Google Scholar] [CrossRef]
- Chen, J.; Lv, Q.; Wu, D.; Yao, X.; Wang, J.; Li, Z. Nucleation of a Thermoplastic Polyester Elastomer Controlled by Silica Nanoparticles. Ind. Eng. Chem. Res. 2016, 55, 5279–5286. [Google Scholar] [CrossRef]
- Annaka, M.; Mortensen, K.; Matsuura, T.; Ito, M.; Nochioka, K.; Ogata, N. Organic-Inorganic Nanocomposite Gels as an in Situ Gelation Biomaterial for Injectable Accommodative Intraocular Lens. Soft Matter 2012, 8, 7185–7196. [Google Scholar] [CrossRef]
- Yang, J.; Han, C.R.; Duan, J.F.; Xu, F.; Sun, R.C. Insitu Grafting Silica Nanoparticles Reinforced Nanocomposite Hydrogels. Nanoscale 2013, 5, 10858–10863. [Google Scholar] [CrossRef] [PubMed]
- Zhang, H.; Xia, H.; Zhao, Y. Poly(Vinyl Alcohol) Hydrogel Can Autonomously Self-Heal. ACS Macro Lett. 2012, 1, 1233–1236. [Google Scholar] [CrossRef]
- Zengin, A.; Castro, J.P.O.; Habibovic, P.; Van Rijt, S.H. Injectable, Self-Healing Mesoporous Silica Nanocomposite Hydrogels with Improved Mechanical Properties. Nanoscale 2021, 13, 1144–1154. [Google Scholar] [CrossRef] [PubMed]
- Huang, X.; Zhou, X.; Zhou, H.; Zhong, Y.; Luo, H.; Zhang, F. A High-Strength Self-Healing Nano-Silica Hydrogel with Anisotropic Differential Conductivity. Nano Res. 2021, 14, 2589–2595. [Google Scholar] [CrossRef]
- Zheng, J.; Xiao, P.; Liu, W.; Zhang, J.; Huang, Y.; Chen, T. Mechanical Robust and Self-Healable Supramolecular Hydrogel. Macromol. Rapid Commun. 2016, 37, 265–270. [Google Scholar] [CrossRef]
- Turturro, G.; Brown, G.R.; St-Pierre, L.E. Effect of Silica Nucleants on the Rates of Crystallization of Poly(Ethylene Terephthalate). Polymer 1984, 25, 659–663. [Google Scholar] [CrossRef]
- Holloway, J.L.; Lowman, A.M.; Palmese, G.R. The Role of Crystallization and Phase Separation in the Formation of Physically Cross-Linked PVA Hydrogels. Soft Matter 2013, 9, 826–833. [Google Scholar] [CrossRef]
- Zhang, A.; Huang, H.; Shen, J.; Feng, X.; Duan, L.; Wang, J.; Zhang, X. A Synergistic “Pre-Crosslinking-Freeze Thawing-Salting out-Coordination” Tactic to Design Antimicrobial and Highly Conductive PVA/PEI Hydrogels with Excellent Mechanical Performance. Chem. Eng. J. 2025, 524, 169140. [Google Scholar] [CrossRef]
- Shao, J.; Zhang, Z.; Zhao, S.; Wang, S.; Guo, Z.; Xie, H.; Hu, Y. Self-Healing Hydrogel of Poly (Vinyl Alcohol)/Agarose with Robust Mechanical Property. Starch 2019, 71, 1800281. [Google Scholar] [CrossRef]
- Samadi, N.; Sabzi, M.; Babaahmadi, M. Self-Healing and Tough Hydrogels with Physically Cross-Linked Triple Networks Based on Agar/PVA/Graphene. Int. J. Biol. Macromol. 2018, 107, 2291–2297. [Google Scholar] [CrossRef]
- Xu, K.; Wang, Y.; Zhang, B.; Zhang, C.; Liu, T. Stretchable and Self-Healing Polyvinyl Alcohol/Cellulose Nanofiber Nanocomposite Hydrogels for Strain Sensors with High Sensitivity and Linearity. Compos. Commun. 2021, 24, 100677. [Google Scholar] [CrossRef]
- Kamiyama, Y.; Tamate, R.; Hiroi, T.; Samitsu, S.; Fujii, K.; Ueki, T. Highly Stretchable and Self-Healable Polymer Gels from Physical Entanglements of Ultrahigh-Molecular Weight Polymers. Sci. Adv. 2022, 8, eadd0226. [Google Scholar] [CrossRef] [PubMed]
- Mahamoud, M.M.; Ketema, T.M.; Kuwahara, Y.; Takafuji, M. Enhancement of Mechanical Properties of Benign Polyvinyl Alcohol/Agar Hydrogel by Crosslinking Tannic Acid and Applying Multiple Freeze/Thaw Cycles. Gels 2024, 10, 527. [Google Scholar] [CrossRef] [PubMed]
- Thomas, D.; Cebe, P. Self-Nucleation and Crystallization of Polyvinyl Alcohol. J. Therm. Anal. Calorim. 2017, 127, 885–894. [Google Scholar] [CrossRef]
- Taylor, D.L.; In Het Panhuis, M. Self-Healing Hydrogels. Adv. Mater. 2016, 28, 9060–9093. [Google Scholar] [CrossRef]
- Zaragoza, J.; Babhadiashar, N.; O’Brien, V.; Chang, A.; Blanco, M.; Zabalegui, A.; Lee, H.; Asuri, P. Experimental Investigation of Mechanical and Thermal Properties of Silica Nanoparticle-Reinforced Poly(Acrylamide) Nanocomposite Hydrogels. PLoS ONE 2015, 10, e0136293. [Google Scholar] [CrossRef]








| Aqueous PVA Solution | PVA | F/T Cycle (Times) | Gel Formation a | |
|---|---|---|---|---|
| Grade | Weight (g) | |||
| H1 | P1 | 15 | 1 | G | 
| H2 | P2 | 15 | 1 | VS | 
| H3 | P3 | 15 | 1 | G | 
| Samples | Temperature | |||
|---|---|---|---|---|
| RT (25 °C) | 40 °C | 50 °C | 60 °C | |
| H1 | SHF | SHF | SHF | SHF | 
| H3 | NSHF | NSHF | SHF | SHF | 
| PVA Samples | Crystallinity % | Average Crystal Size (nm) | 
|---|---|---|
| H1 1 F/T (no silica) | 14.3 ±1.3 | 5.9 | 
| H1 (Si ~12 nm) | 29.0 ±0.9 | 4.9 | 
| H1 (Si ~85 nm) | 27.5 ±1.0 | 4.2 | 
| H1 (Si ~200 nm) | 19.5 ±1.6 | 4.1 | 
| PVA Samples | Crystallinity (%) | Average Crystal Size (nm) | 
|---|---|---|
| H1 2 F/T | 39.1 ± 1.1 | 4.1 | 
| H1 3 F/T | 44.3 ± 1.5 | 4.1 | 
| Disclaimer/Publisher’s Note: The statements, opinions and data contained in all publications are solely those of the individual author(s) and contributor(s) and not of MDPI and/or the editor(s). MDPI and/or the editor(s) disclaim responsibility for any injury to people or property resulting from any ideas, methods, instructions or products referred to in the content. | 
© 2025 by the authors. Licensee MDPI, Basel, Switzerland. This article is an open access article distributed under the terms and conditions of the Creative Commons Attribution (CC BY) license (https://creativecommons.org/licenses/by/4.0/).
Share and Cite
Mahamoud, M.M.; Kuwahara, Y.; Ihara, H.; Takafuji, M. Impact of Silica Nanoparticles on Mechanical Properties and Self-Healing Performance of PVA Hydrogels. Polymers 2025, 17, 2883. https://doi.org/10.3390/polym17212883
Mahamoud MM, Kuwahara Y, Ihara H, Takafuji M. Impact of Silica Nanoparticles on Mechanical Properties and Self-Healing Performance of PVA Hydrogels. Polymers. 2025; 17(21):2883. https://doi.org/10.3390/polym17212883
Chicago/Turabian StyleMahamoud, Moustapha Mohamed, Yutaka Kuwahara, Hirotaka Ihara, and Makoto Takafuji. 2025. "Impact of Silica Nanoparticles on Mechanical Properties and Self-Healing Performance of PVA Hydrogels" Polymers 17, no. 21: 2883. https://doi.org/10.3390/polym17212883
APA StyleMahamoud, M. M., Kuwahara, Y., Ihara, H., & Takafuji, M. (2025). Impact of Silica Nanoparticles on Mechanical Properties and Self-Healing Performance of PVA Hydrogels. Polymers, 17(21), 2883. https://doi.org/10.3390/polym17212883
 
        




 
       