Hardness and Surface Roughness of 3D-Printed ASA Components Subjected to Acetone Vapor Treatment and Different Production Variables: A Multi-Estimation Work via Machine Learning and Deep Learning
Abstract
1. Introduction
2. Materials and Methods
2.1. Utilized Thermoplastic Material, 3D Printing Stage, and Vaporizing Procedure
2.2. Machine Learning (ML) and Deep Learning (DL) Details
2.3. Performance Metrics
3. Results and Discussion
3.1. Experimental Analyses
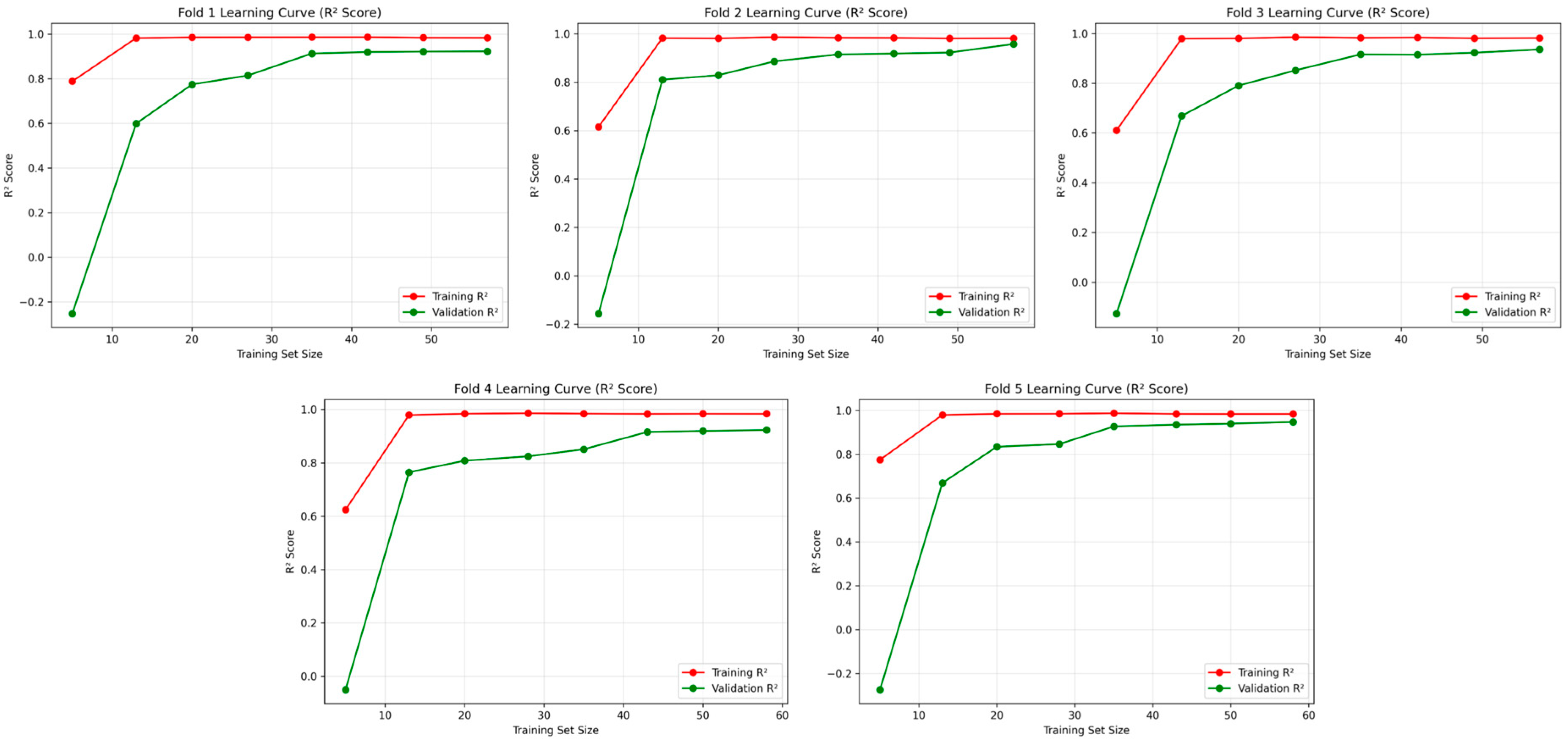
3.2. Machine Learning and Deep Learning Evaluations
4. Discussion
5. Conclusions
- The proposed ML–DL framework, which integrates 1D-CNN feature extraction with SVR, was highly effective in modeling the complex nonlinear relationships between process parameters and output properties.
- This approach successfully predicted two critical quality indicators, hardness and surface roughness, simultaneously, eliminating the need for separate models and additional sensing hardware.
- Among all the tested algorithms, the 1D-CNN model with SVR had the best overall performance, with an average R2 of 0.9614 and an MSE of 2.0941 across five-fold cross-validation. This model outperformed or matched the results of the leading single-target studies in the literature.
- The model demonstrated strong generalization capability, maintaining high predictive accuracy across all folds. This indicates robustness for industrial applications, where process variability is common.
- As the infill rate and layer thickness increase, the measured hardness values of the ASA parts gain an upward tendency, but this case is not valid for vaporizing time, and it should be optimized for target hardness levels.
- There is no direct increasing/decreasing relationship between surface roughness values and vaporizing time, so the best surface quality can be obtained with intermediate levels of acetone gas treatment duration.
Supplementary Materials
Author Contributions
Funding
Institutional Review Board Statement
Data Availability Statement
Conflicts of Interest
References
- Meng, M.; Wang, J.; Huang, H.; Liu, X.; Zhang, J.; Li, Z. 3D Printing Metal Implants in Orthopedic Surgery: Methods, Applications and Future Prospects. J. Orthop. Translat. 2023, 42, 94–112. [Google Scholar] [CrossRef]
- Lo Russo, L.; Guida, L.; Mariani, P.; Ronsivalle, V.; Gallo, C.; Cicciù, M.; Laino, L. Effect of Fabrication Technology on the Accuracy of Surgical Guides for Dental-Implant Surgery. Bioengineering 2023, 10, 875. [Google Scholar] [CrossRef]
- Bolat, Ç.; Salmaz, S. An Investigation on the Wear Properties of the Photocurable Components Produced by Additive Manufacturing for Dentistry Applications: Combined Influences of UV Exposure Time, Building Direction, and Sliding Loads. Polym. Eng. Sci. 2024, 64, 5940–5958. [Google Scholar] [CrossRef]
- Mohanavel, V.; Ashraff Ali, K.S.; Ranganathan, K.; Allen Jeffrey, J.; Ravikumar, M.M.; Rajkumar, S. The Roles and Applications of Additive Manufacturing in the Aerospace and Automobile Sector. Mater. Today Proc. 2021, 47, 405–409. [Google Scholar] [CrossRef]
- Radhika, C.; Shanmugam, R.; Ramoni, M.; Gnanavel, B.K. A Review on Additive Manufacturing for Aerospace Application. Mater. Res. Express 2024, 11, 022001. [Google Scholar] [CrossRef]
- Ko, C.-H. Constraints and Limitations of Concrete 3D Printing in Architecture. J. Eng. Des. Technol. 2022, 20, 1334–1348. [Google Scholar] [CrossRef]
- Xiao, Y.-Q.; Kan, C.-W. Review on Development and Application of 3D-Printing Technology in Textile and Fashion Design. Coatings 2022, 12, 267. [Google Scholar] [CrossRef]
- Bolat, Ç.; Yıldırım, E. A Comparative Effort on the Influence of Liquid Treatment Media Type, Fiber Addition, and Deformation Load on the Wear Performance of Additively Manufactured Polyamide 6 and Acrylonitrile Butadiene Styrene Composites. Polym. Compos. 2025, 46, 10619–10635. [Google Scholar] [CrossRef]
- Izdebska-Podsiadły, J. Classification of 3D Printing Methods. In Polymers for 3D Printing; William Andrew Publishing: Norwich, NY, USA, 2022; Volume 1, pp. 23–34. [Google Scholar]
- Mohamed, O.A.; Masood, S.H.; Bhowmik, J.L. A Parametric Investigation of the Friction Performance of PC-ABS Parts Processed by FDM Additive Manufacturing Process. Polym. Adv. Technol. 2017, 28, 1911–1918. [Google Scholar] [CrossRef]
- Caussin, E.; Moussally, C.; Le Goff, S.; Fasham, T.; Troizier-Cheyne, M.; Tapie, L.; Dursun, E.; Attal, J.-P.; François, P. Vat Photopolymerization 3D Printing in Dentistry: A Comprehensive Review of Actual Popular Technologies. Materials 2024, 17, 950. [Google Scholar] [CrossRef]
- Han, M.; Kaşıkcıoğlu, S.; Ergene, B.; Atlıhan, G.; Bolat, Ç. An Experimental Investigation on the Mechanical and Wear Responses of Lightweight AlSi10Mg Components Produced by Selective Laser Melting: Effects of Building Direction and Test Force. Sci. Sinter. 2025, 57, 87–101. [Google Scholar] [CrossRef]
- Reyes-Luna, J.F.; Chang, S.; Tuck, C.J.; Ashcroft, I.A. Material Jetting High Quality Components via an Inverse Problem Framework. Addit. Manuf. 2023, 73, 103667. [Google Scholar] [CrossRef]
- Zhang, K.; Zhang, W.; Brune, R.; Herderick, E.; Zhang, X.; Cornell, J.; Forsmark, J. Numerical Simulation and Experimental Measurement of Pressureless Sintering of Stainless Steel Part Printed by Binder Jetting Additive Manufacturing. Addit. Manuf. 2021, 47, 102330. [Google Scholar] [CrossRef]
- Alammar, A.; Kois, J.C.; Revilla-León, M.; Att, W. Additive Manufacturing Technologies: Current Status and Future Perspectives. J. Prosthodont. 2022, 31, 4–12. [Google Scholar] [CrossRef]
- Riensche, A.; Severson, J.; Yavari, R.; Piercy, N.L.; Cole, K.D.; Rao, P. Thermal Modeling of Directed Energy Deposition Additive Manufacturing Using Graph Theory. Rapid Prototyp. J. 2023, 29, 324–343. [Google Scholar] [CrossRef]
- Bolat, Ç.; Ergene, B. Wear Performance of Short Fiber Added Polyamide Composites Produced by Additive Manufacturing: Combined Impacts of Secondary Heat Treatment, Reinforcement Type, and Test Force. Polym. Compos. 2024, 45, 6885–6900. [Google Scholar] [CrossRef]
- Mendenhall, R.; Eslami, B. Experimental Investigation on Effect of Temperature on FDM 3D Printing Polymers: ABS, PETG, and PLA. Appl. Sci. 2023, 13, 11503. [Google Scholar] [CrossRef]
- Bolat, Ç.; Aslan, M.T.; Çebi, A.; Gene, T.E.; Ispartalı, H. A Comprehensive Analysis of the Influence of Adhesive Types and Layer Stacking Sequence on Tensile and Impact Responses of ASA/PLA Composite Sandwich Structures by Additive Manufacturing. J. Polym. Res. 2025, 32, 174. [Google Scholar] [CrossRef]
- Daly, M.; Tarfaoui, M.; Chihi, M.; Bouraoui, C. FDM Technology and the Effect of Printing Parameters on the Tensile Strength of ABS Parts. Int. J. Adv. Manuf. Technol. 2023, 126, 5307–5323. [Google Scholar] [CrossRef]
- Özen, A.; Abali, B.E.; Völlmecke, C.; Gerstel, J.; Auhl, D. Exploring the Role of Manufacturing Parameters on Microstructure and Mechanical Properties in Fused Deposition Modeling (FDM) Using PETG. Appl. Compos. Mater. 2021, 28, 1799–1828. [Google Scholar] [CrossRef]
- Desai, S.M.; Sonawane, R.Y.; More, A.P. Thermoplastic Polyurethane for Three-dimensional Printing Applications: A Review. Polym. Adv. Technol. 2023, 34, 2061–2082. [Google Scholar] [CrossRef]
- Wojnowski, W.; Marć, M.; Kalinowska, K.; Kosmela, P.; Zabiegała, B. Emission Profiles of Volatiles during 3D Printing with ABS, ASA, Nylon, and PETG Polymer Filaments. Molecules 2022, 27, 3814. [Google Scholar] [CrossRef]
- Hameed, A.Z.; Aravind Raj, S.; Kandasamy, J.; Shahzad, M.A.; Baghdadi, M.A. 3D Printing Parameter Optimization Using Taguchi Approach to Examine Acrylonitrile Styrene Acrylate (ASA) Mechanical Properties. Polymers 2022, 14, 3256. [Google Scholar] [CrossRef]
- Vidakis, N.; Petousis, M.; Michailidis, N.; Sagris, D.; David, C.; Papadakis, V.; Spyridaki, M.; Argyros, A.; Valsamos, I.; Dimitriou, E.; et al. Thermomechanical Recyclability of Acrylonitrile Styrene Acrylate (ASA) for Cyclic Economy-Driven MEX Additive Manufacturing. Clean. Eng. Technol. 2025, 25, 100925. [Google Scholar] [CrossRef]
- Tripathy, C.R.; Sharma, R.K.; Rattan, V.K. An Investigation on Mechanical Strength of Fused Filament Fabricated and Injection Molded ASA Parts. J. Micromanuf. 2025, 8, 44–59. [Google Scholar] [CrossRef]
- Rakshit, R.; Kalvettukaran, P.; Acharyya, S.K.; Panja, S.C.; Misra, D. Development of High Specific Strength Acrylonitrile Styrene Acrylate (ASA) Structure Using Fused Filament Fabrication. Prog. Addit. Manuf. 2023, 8, 1543–1553. [Google Scholar] [CrossRef]
- Raut, N.P.; Kolekar, A.B. Experimental Analysis of 3D Printed Specimens with Different Printing Parameters for Izod Impact Strength. Mater. Today Proc. 2023, 80, 156–162. [Google Scholar] [CrossRef]
- Maraş, S.; Bolat, Ç.; Çebi, A.; Ergene, B. Free Vibration Analysis of Polymer-Based Sandwich Composite Tapered Beams: Experimental and Numerical Investigation. Int. J. Struct. Stab. Dyn. 2025. [Google Scholar] [CrossRef]
- Gawali, S.K.; Jain, P.K. Effect of Natural Aging on Mechanical Properties of 3D-Printed Acrylonitrile Styrene Acrylate for Outdoor Applications. J. Mater. Eng. Perform. 2025, 34, 16430–16442. [Google Scholar] [CrossRef]
- Moreno Sánchez, D.; Hernández Saz, J.; Relinque Madroñal, J.J.; Burgos Pintos, P.; Molina Rubio, S.I.; Herrera Collado, M. Influence of Manufacturing Process in Pores, Fibre Distribution and Mechanical Properties of ASA-CF for 3D Large Format Additive Manufacturing Pieces. Rapid Prototyp. J. 2025, 31, 218–230. [Google Scholar] [CrossRef]
- Captan Prabakaran, A.; Senthil, P.; Sathies, T. Effect of Post-Processing Technique on the Mechanical, Tribological Behavior and Surface Characteristics of 3D-Printed Acrylonitrile Styrene Acrylate Parts. Surf. Rev. Lett. 2022, 29, 2250101. [Google Scholar] [CrossRef]
- Petousis, M.; Maniadi, A.; Papadakis, V.; Mountakis, N.; Argyros, A.; Efstratiadis, V.S.; David, C.; Sagris, D.; Michailidis, N.; Vidakis, N. Optimization of Nano-Silicon Nitride Content in Acrylonitrile Styrene Acrylate for Material Extrusion 3D Printing: Engineering Response Metrics. J. Mater. Eng. Perform. 2025, 34, 20505–20525. [Google Scholar] [CrossRef]
- Friedman, J.H. Greedy Function Approximation: A Gradient Boosting Machine. Ann. Stat. 2001, 29, 1189–1232. [Google Scholar] [CrossRef]
- Chen, T.; Guestrin, C. XGBoost: A Scalable Tree Boosting System. arXiv 2016, arXiv:1603.02754. [Google Scholar] [CrossRef]
- Breiman, L. Random Forests. Mach. Learn. 2001, 45, 5–32. [Google Scholar] [CrossRef]
- Geurts, P.; Ernst, D.; Wehenkel, L. Extremely Randomized Trees. Mach. Learn. 2006, 63, 3–42. [Google Scholar] [CrossRef]
- Breiman, L. Bagging Predictors. Mach. Learn. 1996, 24, 123–140. [Google Scholar] [CrossRef]
- Wolpert, D.H. Stacked Generalization. Neural Netw. 1992, 5, 241–259. [Google Scholar] [CrossRef]
- Freund, Y.; Schapire, R.E. A Decision-Theoretic Generalization of On-Line Learning and an Application to Boosting. J. Comput. Syst. Sci. 1997, 55, 119–139. [Google Scholar] [CrossRef]
- Amari, S.; Park, H.; Fukumizu, K. Adaptive Method of Realizing Natural Gradient Learning for Multilayer Perceptrons. Neural Comput. 2000, 12, 1399–1409. [Google Scholar] [CrossRef] [PubMed]
- LeCun, Y.; Bengio, Y.; Hinton, G. Deep Learning. Nature 2015, 521, 436–444. [Google Scholar] [CrossRef] [PubMed]
- Hochreiter, S.; Schmidhuber, J. Long Short-Term Memory. Neural Comput. 1997, 9, 1735–1780. [Google Scholar] [CrossRef]
- Evgeniou, T.; Pontil, M. Support Vector Machines: Theory and Applications. In Lecture Notes in Computer Science; Lecture Notes in Artificial Intelligence and Lecture Notes in Bioinformatics; Springer: Berlin/Heidelberg, Germany, 2001; Volume 2049, pp. 249–257. [Google Scholar]
- Quinlan, J.R. Induction of Decision Trees. Mach. Learn. 1986, 1, 81–106. [Google Scholar] [CrossRef]
- Cover, T.; Hart, P. Nearest Neighbor Pattern Classification. IEEE Trans. Inf. Theory 1967, 13, 21–27. [Google Scholar] [CrossRef]
- Hoerl, A.E.; Kennard, R.W. Ridge Regression: Biased Estimation for Nonorthogonal Problems. Technometrics 1970, 12, 55–67. [Google Scholar] [CrossRef]
- Hsiang, T.C. A Bayesian View on Ridge Regression. J. R. Stat. Soc. Ser. D Stat. 1975, 24, 267–268. [Google Scholar] [CrossRef]
- Stanton, J.M. Galton, Pearson, and the Peas: A Brief History of Linear Regression for Statistics Instructors. J. Stat. Educ. 2001, 9. [Google Scholar] [CrossRef]
- Demircali, A.A.; Yilmaz, D.; Yilmaz, A.; Keskin, O.; Keshavarz, M.; Uvet, H. Enhancing Mechanical Properties and Surface Quality of FDM-Printed ABS: A Comprehensive Study on Cold Acetone Vapor Treatment. Int. J. Adv. Manuf. Technol. 2024, 130, 4027–4039. [Google Scholar] [CrossRef]
- Aguilar, F.B.J.; Varela-Soriano, J.; Medina-Castro, A.; Torres-Cedillo, S.G.; Cortes-Perez, J.; Jimenez-Martinez, M. Post-Fabrication Treatment Process for ABS Printed Parts Using Acetone Vapor. Prog. Addit. Manuf. 2025, 10, 1561–1574. [Google Scholar] [CrossRef]
- Hossain, M.I.; Chowdhury, M.A.; Zahid, M.S.; Sakib-Uz-Zaman, C.; Rahaman, M.L.; Kowser, M.A. Development and Analysis of Nanoparticle Infused Plastic Products Manufactured by Machine Learning Guided 3D Printer. Polym. Test. 2022, 106, 107429. [Google Scholar] [CrossRef]
- Batu, T.; Lemu, H.G.; Shimels, H. Application of Artificial Intelligence for Surface Roughness Prediction of Additively Manufactured Components. Materials 2023, 16, 6266. [Google Scholar] [CrossRef]
- Veeman, D.; Sudharsan, S.; Surendhar, G.J.; Shanmugam, R.; Guo, L. Machine Learning Model for Predicting the Hardness of Additively Manufactured Acrylonitrile Butadiene Styrene. Mater. Today Commun. 2023, 35, 106147. [Google Scholar] [CrossRef]
- Badogu, K.; Thakur, V.; Kumar, R.; Kumar, R.; Singh, S. Acrylonitrile Butadiene Styrene-ZrO2 Composites for Roller Burnishing as Post-Processing of 3D Printed Parts: Machine Learning Modeling Using Classification and Regression Trees. J. Mater. Eng. Perform. 2024, 33, 9522–9533. [Google Scholar] [CrossRef]
- Mahmoud, A.H.; Shanmugasundar, G.; Vyavahare, S.; Kumar, R.; Cep, R.; Salunkhe, S.; Gawade, S.; Abouel Nasr, E.S. Prediction of Machine Learning-Based Hardness for the Polycarbonate Using Additive Manufacturing. Front. Mater. 2024, 11, 1410277. [Google Scholar] [CrossRef]
- Wardhani, R.; Nurhadi, H.; Guntur, H.L. Prediction of Surface Roughness and Hardness on Multi 3D Printers with Machine Learning. In Proceedings of the 2024 International Automatic Control Conference (CACS), Taiwan, China, 31 October–3 November 2024. [Google Scholar]
- Kadauw, A.A.A. Neural Network Optimization of Mechanical Properties of ABS-like Photopolymer Utilizing Stereolithography (SLA) 3D Printing. J. Manuf. Mater. Process. 2025, 9, 116. [Google Scholar] [CrossRef]
- Mulugundam, S.S.; Gugulothu, S.K.; Varshith, M. A Machine Learning Approach to Refining Surface Quality and Material Durability in Additive Manufacturing. Prog. Addit. Manuf. 2025, 10, 7779–7790. [Google Scholar] [CrossRef]
- Özkül, M.; Kuncan, F.; Ulkir, O. Predicting Mechanical Properties of FDM-Produced Parts Using Machine Learning Approaches. J. Appl. Polym. Sci. 2025, 142, e56899. [Google Scholar] [CrossRef]
- Panico, A.; Corvi, A.; Collini, L.; Sciancalepore, C. Multi Objective Optimization of FDM 3D Printing Parameters Set via Design of Experiments and Machine Learning Algorithms. Sci. Rep. 2025, 15, 16753. [Google Scholar] [CrossRef] [PubMed]
- Reddy, B.V.S.; Shaik, A.M.; Sastry, C.C.; Krishnaiah, J.; Patil, S.; Nikhare, C.P. Performance Evaluation of Machine Learning Techniques in Surface Roughness Prediction for 3D Printed Micro-Lattice Structures. J. Manuf. Process 2025, 137, 320–341. [Google Scholar] [CrossRef]
- Tzotzis, A.; Maropoulos, P.; Kyratsis, P. A Dynamic Surface Roughness Prediction System Based on Machine Learning for the 3D-Printed Carbon-Fiber-Reinforced-Polymer (CFRP) Turning. J. Intell. Manuf. 2025. [Google Scholar] [CrossRef]












| Property | Outcome | 
|---|---|
| Color | black | 
| Diameter (mm) | 1.75 | 
| Density (kg/m3) | 1060 | 
| Bed Temperature (°C) | 90–110 | 
| Nozzle Temperature (°C) | 240–265 | 
| Material Flow (%) | 100 | 
| Printing Speed (mm/s) | 50–100 | 
| Fan Speed (%) | 100 | 
| Input Variable | Level | 
|---|---|
| Layer thickness (mm) | 0.1, 0.2, 0.4 | 
| Infill rate (%) | 25, 50, 100 | 
| Vaporizing time (min) | 15, 45, 90, 120 | 
| Layer Thickness (mm) | Vaporizing Time (min) | Infill Rate (%) | Hardness (Shore D) | Surface Roughness (μm) | Layer Thickness (mm) | Vaporizing Time (min) | Infill Rate (%) | Hardness (Shore D) | Surface Roughness (μm) | ||
|---|---|---|---|---|---|---|---|---|---|---|---|
| 1 | 0.1 | 15 | 25 | 59 | 4.02 | 55 | 0.2 | 90 | 50 | 43 | 0.53 | 
| 2 | 0.1 | 15 | 25 | 60 | 4.89 | 56 | 0.2 | 90 | 50 | 45 | 0.69 | 
| 3 | 0.1 | 15 | 25 | 61 | 5.12 | 57 | 0.2 | 90 | 50 | 46 | 0.52 | 
| 4 | 0.1 | 45 | 25 | 64 | 5.28 | 58 | 0.2 | 120 | 50 | 39 | 2.19 | 
| 5 | 0.1 | 45 | 25 | 65 | 4.33 | 59 | 0.2 | 120 | 50 | 43 | 2.22 | 
| 6 | 0.1 | 45 | 25 | 65 | 4.56 | 60 | 0.2 | 120 | 50 | 45 | 1.87 | 
| 7 | 0.1 | 90 | 25 | 47 | 0.34 | 61 | 0.4 | 15 | 50 | 54 | 6.19 | 
| 8 | 0.1 | 90 | 25 | 46 | 0.46 | 62 | 0.4 | 15 | 50 | 55 | 7.39 | 
| 9 | 0.1 | 90 | 25 | 48 | 0.56 | 63 | 0.4 | 15 | 50 | 54 | 7.77 | 
| 10 | 0.1 | 120 | 25 | 43 | 2.12 | 64 | 0.4 | 45 | 50 | 58 | 7.95 | 
| 11 | 0.1 | 120 | 25 | 42 | 1.17 | 65 | 0.4 | 45 | 50 | 56 | 7.83 | 
| 12 | 0.1 | 120 | 25 | 43 | 1.44 | 66 | 0.4 | 45 | 50 | 59 | 7.91 | 
| 13 | 0.2 | 15 | 25 | 56 | 6.23 | 67 | 0.4 | 90 | 50 | 41 | 0.72 | 
| 14 | 0.2 | 15 | 25 | 56 | 6.34 | 68 | 0.4 | 90 | 50 | 44 | 0.79 | 
| 15 | 0.2 | 15 | 25 | 55 | 6.92 | 69 | 0.4 | 90 | 50 | 40 | 0.94 | 
| 16 | 0.2 | 45 | 25 | 59 | 6.34 | 70 | 0.4 | 120 | 50 | 41 | 2.05 | 
| 17 | 0.2 | 45 | 25 | 58 | 5.78 | 71 | 0.4 | 120 | 50 | 40 | 2.28 | 
| 18 | 0.2 | 45 | 25 | 59 | 6.18 | 72 | 0.4 | 120 | 50 | 38 | 2.72 | 
| 19 | 0.2 | 90 | 25 | 42 | 0.61 | 73 | 0.1 | 15 | 100 | 72 | 4.83 | 
| 20 | 0.2 | 90 | 25 | 43 | 0.54 | 74 | 0.1 | 15 | 100 | 70 | 4.37 | 
| 21 | 0.2 | 90 | 25 | 43 | 0.49 | 75 | 0.1 | 15 | 100 | 73 | 5.81 | 
| 22 | 0.2 | 120 | 25 | 39 | 1.82 | 76 | 0.1 | 45 | 100 | 75 | 5.64 | 
| 23 | 0.2 | 120 | 25 | 40 | 2.06 | 77 | 0.1 | 45 | 100 | 74 | 5.76 | 
| 24 | 0.2 | 120 | 25 | 38 | 1.67 | 78 | 0.1 | 45 | 100 | 78 | 4.45 | 
| 25 | 0.4 | 15 | 25 | 53 | 6.76 | 79 | 0.1 | 90 | 100 | 59 | 0.38 | 
| 26 | 0.4 | 15 | 25 | 52 | 7.02 | 80 | 0.1 | 90 | 100 | 58 | 0.41 | 
| 27 | 0.4 | 15 | 25 | 51 | 7.25 | 81 | 0.1 | 90 | 100 | 62 | 0.53 | 
| 28 | 0.4 | 45 | 25 | 55 | 7.19 | 82 | 0.1 | 120 | 100 | 54 | 2.49 | 
| 29 | 0.4 | 45 | 25 | 58 | 7.63 | 83 | 0.1 | 120 | 100 | 56 | 1.57 | 
| 30 | 0.4 | 45 | 25 | 57 | 7.96 | 84 | 0.1 | 120 | 100 | 58 | 1.66 | 
| 31 | 0.4 | 90 | 25 | 40 | 0.81 | 85 | 0.2 | 15 | 100 | 60 | 6.75 | 
| 32 | 0.4 | 90 | 25 | 39 | 0.85 | 86 | 0.2 | 15 | 100 | 63 | 6.97 | 
| 33 | 0.4 | 90 | 25 | 41 | 0.98 | 87 | 0.2 | 15 | 100 | 61 | 6.44 | 
| 34 | 0.4 | 120 | 25 | 38 | 2.67 | 88 | 0.2 | 45 | 100 | 69 | 7.14 | 
| 35 | 0.4 | 120 | 25 | 36 | 1.94 | 89 | 0.2 | 45 | 100 | 67 | 6.74 | 
| 36 | 0.4 | 120 | 25 | 36 | 2.83 | 90 | 0.2 | 45 | 100 | 69 | 6.58 | 
| 37 | 0.1 | 15 | 50 | 64 | 4.34 | 91 | 0.2 | 90 | 100 | 49 | 0.46 | 
| 38 | 0.1 | 15 | 50 | 65 | 4.96 | 92 | 0.2 | 90 | 100 | 53 | 0.62 | 
| 39 | 0.1 | 15 | 50 | 62 | 5.68 | 93 | 0.2 | 90 | 100 | 54 | 0.55 | 
| 40 | 0.1 | 45 | 50 | 69 | 5.45 | 94 | 0.2 | 120 | 100 | 45 | 2.44 | 
| 41 | 0.1 | 45 | 50 | 69 | 4.76 | 95 | 0.2 | 120 | 100 | 48 | 2.64 | 
| 42 | 0.1 | 45 | 50 | 66 | 4.31 | 96 | 0.2 | 120 | 100 | 50 | 1.77 | 
| 43 | 0.1 | 90 | 50 | 50 | 0.27 | 97 | 0.4 | 15 | 100 | 57 | 6.23 | 
| 44 | 0.1 | 90 | 50 | 51 | 0.38 | 98 | 0.4 | 15 | 100 | 56 | 7.86 | 
| 45 | 0.1 | 90 | 50 | 53 | 0.44 | 99 | 0.4 | 15 | 100 | 59 | 7.17 | 
| 46 | 0.1 | 120 | 50 | 50 | 2.36 | 100 | 0.4 | 45 | 100 | 62 | 8.15 | 
| 47 | 0.1 | 120 | 50 | 51 | 1.35 | 101 | 0.4 | 45 | 100 | 66 | 8.13 | 
| 48 | 0.1 | 120 | 50 | 51 | 1.59 | 102 | 0.4 | 45 | 100 | 61 | 7.96 | 
| 49 | 0.2 | 15 | 50 | 56 | 6.48 | 103 | 0.4 | 90 | 100 | 45 | 0.81 | 
| 50 | 0.2 | 15 | 50 | 57 | 6.93 | 104 | 0.4 | 90 | 100 | 47 | 0.86 | 
| 51 | 0.2 | 15 | 50 | 54 | 6.88 | 105 | 0.4 | 90 | 100 | 44 | 0.92 | 
| 52 | 0.2 | 45 | 50 | 63 | 5.94 | 106 | 0.4 | 120 | 100 | 42 | 2.56 | 
| 53 | 0.2 | 45 | 50 | 61 | 6.88 | 107 | 0.4 | 120 | 100 | 39 | 2.33 | 
| 54 | 0.2 | 45 | 50 | 60 | 6.77 | 108 | 0.4 | 120 | 100 | 37 | 2.64 | 
| Models | Parameters | 
|---|---|
| LR | fit_intercept = 1, normalize = ‘deprecated’, n_jobs = None, positive = 0 | 
| Ridge Regression | alpha = 1.0, fit_intercept = 1, max_iter = None, tol = 0.001, solver = ‘auto’, positive = 0, random_state = None | 
| Bayesian Ridge | alpha_1 = 10−6, alpha_2 = 10−6, lambda_1 = 10−6, lambda_2 = 10−6, fit_intercept = 1, normalize = 0 | 
| DT Regressor | random_state = 42, criterion = ‘squared_error’, max_depth = None, min_samples_split = 2, min_samples_leaf = 1 | 
| RF Regressor | n_estimators = 100, random_state = 42, criterion = ‘squared_error’, max_depth = None, min_samples_split = 2, min_samples_leaf = 1 | 
| GB Regressor | n_estimators = 100, random_state = 42, learning_rate = 0.1, max_depth = 3, min_samples_split = 2, min_samples_leaf = 1 | 
| AdaBoost Regressor | n_estimators = 100, random_state = 42, learning_rate = 1.0, loss = ‘linear’ | 
| ET Regressor | n_estimators = 100, random_state = 42, criterion = ‘squared_error’, max_depth = None, min_samples_split = 2, min_samples_leaf = 1 | 
| SVR | kernel = ‘rbf’, C = 10, gamma = ‘scale’, epsilon = 0.1 | 
| KNN Regressor | n_neighbors = 5, weights = ‘uniform’, algorithm = ‘auto’, leaf_size = 30, p = 2 | 
| XGBoost Regressor | verbosity = 0, random_state = 42, n_estimators = 100, learning_rate = 0.3, max_depth = 6, min_child_weight = 1, gamma = 0, subsample = 1, colsample_bytree = 1 | 
| Bagging Regressor | n_estimators = 50, random_state = 42, max_samples = 1.0, max_features = 1.0 | 
| Stacking Regressor | Base estimators: RF (n_estimators = 50, random_state = 42), SVR (kernel = ‘rbf’, C = 10, gamma = ‘scale’)—Final estimator: Ridge (alpha = 1.0) | 
| MLP Regressor | hidden_layer_sizes = (100,), max_iter = 500, random_state = 42, activation = ‘relu’, solver = ‘adam’, learning_rate_init = 0.001 | 
| 1D-CNN | layers = 5, units = 64, filters = 32, kernel_size = 2, activation = ‘relu’, optimizer = ‘adam’, learning_rate = 0.001, loss = ‘mse’ | 
| 2D-CNN | layers = 5, units = 64, filters = 32, kernel_size = (2.1), activation = ‘relu’, optimizer = ‘adam’, learning_rate = 0.001, loss = ‘mse’ | 
| RNN | layers = 4, units = 64, rnn_units = 32, activation = ‘relu’, optimizer = ‘adam’, learning_rate = 0.001, loss = ‘mse’ | 
| LSTM | layers = 4, units = 64, lstm_units = 32, activation = ‘relu’, optimizer = ‘adam’, learning_rate = 0.001, loss = ‘mse’ | 
| Models | Parameters | 
|---|---|
| 1D-CNN Feature Extractor | layers = 6, units = 64, feature_units = 32, filters = 32, kernel_size = 2, activation = ‘relu’, optimizer = ‘adam’, learning_rate = 0.001, loss = ‘mse’ | 
| RF Regression Head | n_estimators = 100, random_state = 42 | 
| Ridge Regression Head | alpha = 1.0, fit_intercept = 1, max_iter = None, tol = 0.001, solver = ‘auto’ | 
| SVR Regression Head | kernel = ‘rbf’, C = 1.0, gamma = ‘scale’, epsilon = 0.1 | 
| Models | Avg MSE | MSE Std | Std | |
|---|---|---|---|---|
| Feature Extraction with SVR | 2.0941 | 0.4468 | 0.9614 | 0.0112 | 
| GB | 2.2007 | 0.7024 | 0.9580 | 0.0090 | 
| RNN | 2.0339 | 0.3210 | 0.9575 | 0.0104 | 
| 1D-CNN | 1.7933 | 0.3546 | 0.9571 | 0.0095 | 
| 2D-CNN | 1.9171 | 0.4500 | 0.9559 | 0.0093 | 
| Feature Extraction with Ridge | 2.1783 | 0.3985 | 0.9556 | 0.0111 | 
| SVR | 2.0916 | 0.5130 | 0.9547 | 0.0085 | 
| Bagging | 2.4673 | 0.1428 | 0.9544 | 0.0114 | 
| Feature Extraction with RF | 2.5630 | 0.4478 | 0.9540 | 0.0134 | 
| RF | 2.5202 | 0.3583 | 0.9539 | 0.0123 | 
| XGBoost | 2.5491 | 0.5790 | 0.9500 | 0.0108 | 
| Stacking | 3.0780 | 0.5632 | 0.9472 | 0.0077 | 
| DT | 2.8042 | 0.8436 | 0.9467 | 0.0106 | 
| ET | 3.0263 | 1.4123 | 0.9446 | 0.0134 | 
| AdaBoost | 4.7585 | 1.3566 | 0.9365 | 0.0171 | 
| MLP | 3.5403 | 1.1507 | 0.9237 | 0.0064 | 
| LSTM | 3.7081 | 2.0702 | 0.9048 | 0.0227 | 
| KNN | 5.1686 | 1.5720 | 0.8964 | 0.0388 | 
| Ridge | 13.0352 | 2.3789 | 0.6942 | 0.0400 | 
| Bayesian Ridge | 13.0423 | 2.3626 | 0.6942 | 0.0395 | 
| LR | 13.0641 | 2.3040 | 0.6933 | 0.0398 | 
| Models | Fold 1 | Fold 2 | Fold 3 | Fold 4 | Fold 5 | |||||
|---|---|---|---|---|---|---|---|---|---|---|
| (%) | MSE | (%) | MSE | (%) | MSE | (%) | MSE | (%) | MSE | |
| Feature Extraction with SVR | 94.62 | 2.494 | 97.37 | 22.229 | 97.45 | 14.168 | 95.98 | 25.878 | 95.28 | 17.491 | 
| GB | 94.98 | 1.738 | 97.15 | 21.283 | 96.62 | 20.053 | 95.24 | 35.515 | 95.03 | 15.804 | 
| RNN | 94.59 | 17.855 | 97.18 | 19.946 | 96.44 | 19.725 | 95.99 | 26.484 | 94.53 | 17.683 | 
| LR | 62.49 | 12.39 | 67.16 | 16.84 | 72.46 | 11.59 | 71.71 | 14.27 | 72.81 | 10.20 | 
| Author(s)-Paper | Material/Process | Target Property(ies) | Model(s) | Best Performance Metrics | 
|---|---|---|---|---|
| Hossain et al. (2022) [52] | FDM–Generic | Nozzle Temperature | ANN | = 0.985–0.996 | 
| Batu et al. (2023) [53] | Various AM | Surface Roughness | CNN, SVM, Ensemble | Accuracy = 99.2% | 
| Veeman et al. (2023) [54] | FDM–ABS | Hardness | RF | = 0.9136 | 
| Badogu et al. (2024) [55] | FDM–PLA | Hardness | Ensemble Learning | = 0.955 | 
| Mahmoud et al. (2024) [56] | FDM–PC | Hardness | RF | = 0.995 RMSE = 0.0069 | 
| Wardhani et al. (2024) [57] | Batik Motif Dataset | Pattern Classification | CNN | Accuracy = 99.5% | 
| Kadauw et al. (2025) [58] | SLM–Ti6Al4V | Defect Detection | CNN | Accuracy = 99.15% F1 = 0.991 | 
| Mulugumdam et al. (2025) [59] | FDM–Generic | Single Target (Quality Metric) | XGBoost | MSE = 0.799 | 
| Özkül et al. (2025) [60] | FDM–ABS | Hardness, Tensile Strength, Flexural Strength, Surface Roughness | KSTAR (hardness and roughness), MLP (tensile and flexural) | Hardness: MAE = 0.006 ≈ 0.99 Surface Roughness: MAE = 0.009 ≈ 0.99 Tensile and Flexural Strength: ≈ 0.99 | 
| Panico et al. (2025) [61] | Laser Powder Bed Fusion | Mechanical Properties | CNN-based models | ≈ 0.94 | 
| Reddy et al. (2025) [62] | FDM–ABS | Tensile Strength | XGBoost | = 0.9876 MSE = 0.214 MAE = 0.342 | 
| Tzotzis et al. (2025) [63] | CFRP Machining | Surface Roughness | ANN (Vibration Features) | MAPE = 1.51% | 
| This study | FDM–PLA | Hardness and Surface Roughness | CNN-based Feature Extraction with SVR | = 0.9614 = 0.0112 MSE = 2.0941 | 
| Disclaimer/Publisher’s Note: The statements, opinions and data contained in all publications are solely those of the individual author(s) and contributor(s) and not of MDPI and/or the editor(s). MDPI and/or the editor(s) disclaim responsibility for any injury to people or property resulting from any ideas, methods, instructions or products referred to in the content. | 
© 2025 by the authors. Licensee MDPI, Basel, Switzerland. This article is an open access article distributed under the terms and conditions of the Creative Commons Attribution (CC BY) license (https://creativecommons.org/licenses/by/4.0/).
Share and Cite
Bolat, Ç.; Demircan, F.; Gür, İ.; Yalçın, B.; Şener, R.; Ercetin, A. Hardness and Surface Roughness of 3D-Printed ASA Components Subjected to Acetone Vapor Treatment and Different Production Variables: A Multi-Estimation Work via Machine Learning and Deep Learning. Polymers 2025, 17, 2881. https://doi.org/10.3390/polym17212881
Bolat Ç, Demircan F, Gür İ, Yalçın B, Şener R, Ercetin A. Hardness and Surface Roughness of 3D-Printed ASA Components Subjected to Acetone Vapor Treatment and Different Production Variables: A Multi-Estimation Work via Machine Learning and Deep Learning. Polymers. 2025; 17(21):2881. https://doi.org/10.3390/polym17212881
Chicago/Turabian StyleBolat, Çağın, Furkancan Demircan, İlker Gür, Bekir Yalçın, Ramazan Şener, and Ali Ercetin. 2025. "Hardness and Surface Roughness of 3D-Printed ASA Components Subjected to Acetone Vapor Treatment and Different Production Variables: A Multi-Estimation Work via Machine Learning and Deep Learning" Polymers 17, no. 21: 2881. https://doi.org/10.3390/polym17212881
APA StyleBolat, Ç., Demircan, F., Gür, İ., Yalçın, B., Şener, R., & Ercetin, A. (2025). Hardness and Surface Roughness of 3D-Printed ASA Components Subjected to Acetone Vapor Treatment and Different Production Variables: A Multi-Estimation Work via Machine Learning and Deep Learning. Polymers, 17(21), 2881. https://doi.org/10.3390/polym17212881
 
        




 
       