Bond Properties Between Bimetallic Steel Bar and Polyoxymethylene Fiber-Reinforced Seawater Sea–Sand Concrete
Abstract
1. Introduction
2. Materials
2.1. Polyoxymethylene Fiber
2.2. Bimetallic Steel Bar
2.3. Seawater and Sea–Sand Concrete
3. Experimental Program
3.1. Test Specimen
3.2. Mechanical Property Test
3.3. Pull-Out Test
4. Results and Discussion
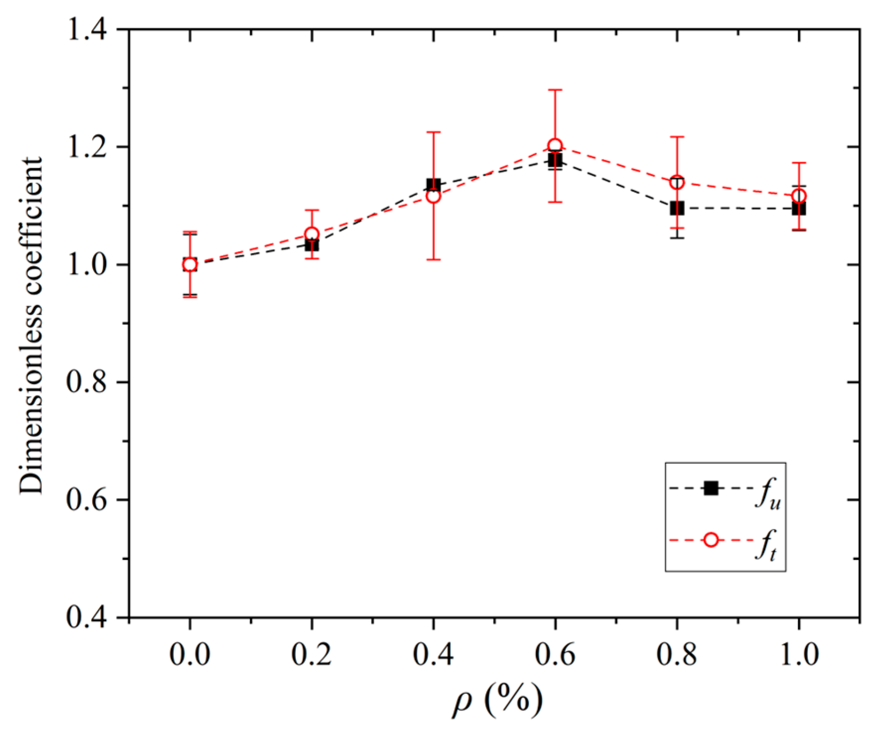
4.1. Mechanical Properties
4.2. Failure Mode
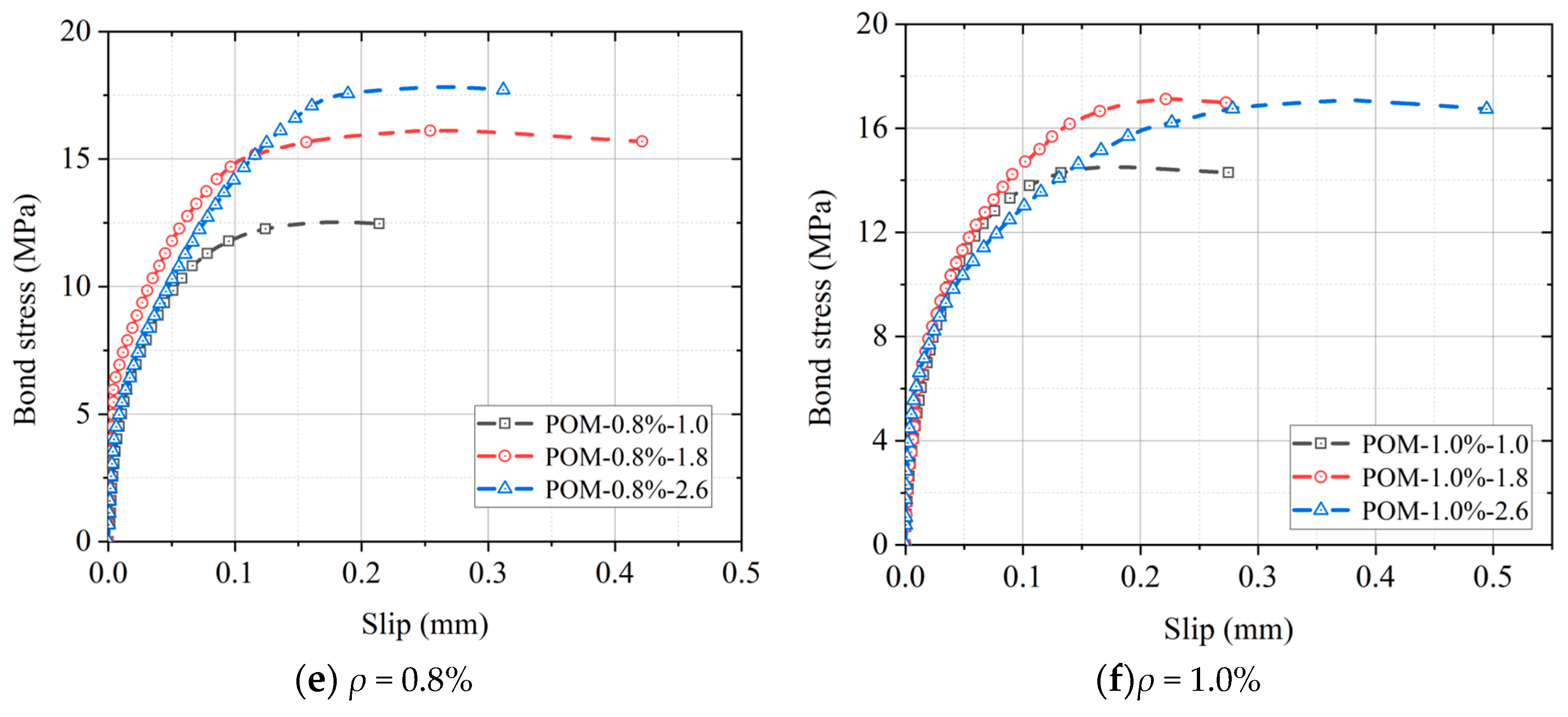
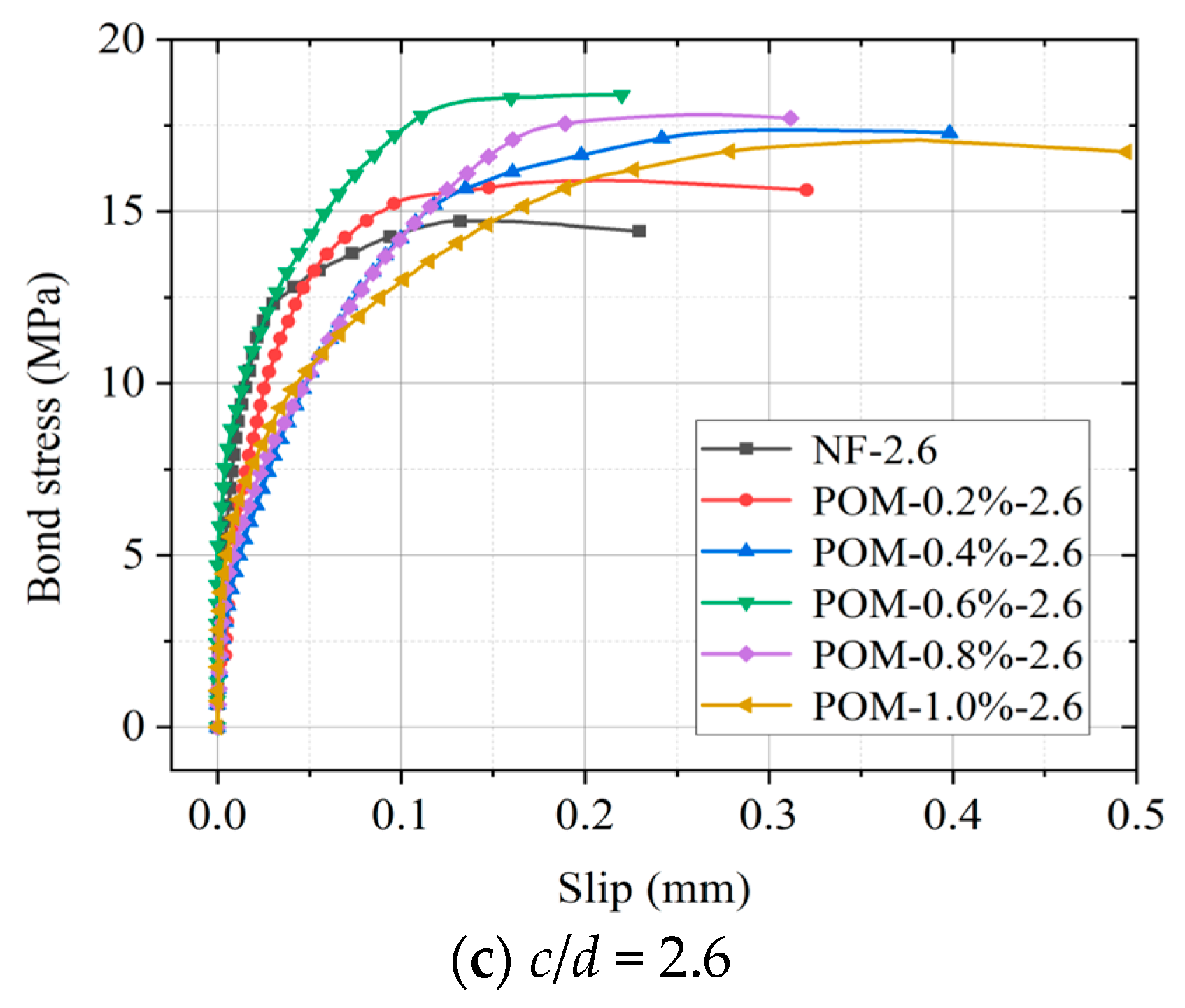
4.3. Bond Stress–Slip Curve
4.4. Bond Properties
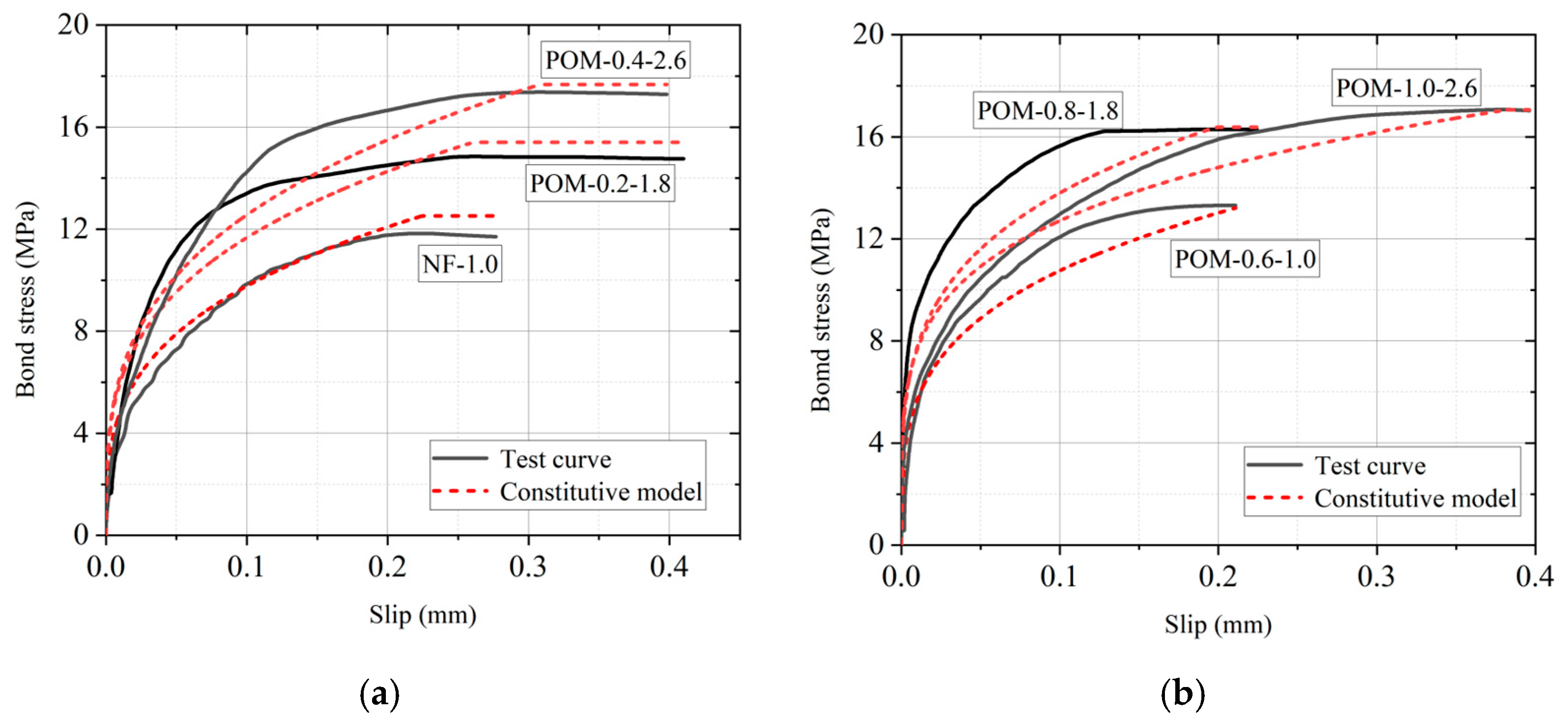
5. Bond Stress–Slip Constitutive Model
5.1. Bond Stress–Slip Model
5.2. Verification of the Proposed Models
6. Conclusions
- 1.
- The fu and ft of SWSSC increased initially and then decreased with increasing POM fiber content, with an optimal fiber volume fraction of 0.6%. At this optimal content, fu increased from 56.4 MPa to 66.4 MPa, and ft increased from 3.06 MPa to 3.68 MPa, representing increases of 17.7% and 20.3%, respectively.
- 2.
- The bond failure mode of the BSB and POM fiber reinforced SWSSC was splitting failure. Specimens without POM fiber exhibited wider cracks and more severe fragmentation, whereas POM fiber reinforced specimens showed finer cracks and better specimen integrity due to the bridging effect of the fibers. As the c/d increased, the ascending segment of the bond stress–slip curve became steeper.
- 3.
- The τu increased with increasing POM fiber content, reaching its maximum at 0.6%. Beyond this content, the growth of τu slowed down due to fiber agglomeration. Thicker concrete cover effectively resisted the radial expansion force exerted by BSB on the surrounding concrete during pull-out, thereby delaying the splitting failure of SWSSC. τu exhibited a monotonically increasing trend with c/d. Compared to specimens with c/d = 1, those with c/d = 2.6 showed an approximately 35% increase in τu. Notably, su was significantly more sensitive to the cover thickness than to the fiber content.
- 4.
- A predictive mathematical model for key parameters (τu, su, and α) was developed. Based on the bond stress–slip curves obtained from pull-out tests, a piecewise bond stress–slip constitutive model was proposed. By comparing the model-predicted values with the experimental results, it was demonstrated that the proposed model could accurately describe the bond behavior between BSB and POM fiber reinforced SWSSC, providing a theoretical basis for engineering design and numerical simulation.
Author Contributions
Funding
Data Availability Statement
Conflicts of Interest
Nomenclature
| FRC | fiber-reinforced concrete |
| SWSSC | seawater sea–sand concrete |
| POM | polyoxymethylene |
| BSB | bimetallic steel bar |
| c/d | ratios of concrete cover thickness to reinforcement diameter |
| ρ | fiber volume fraction, % |
| s0 | slip of the BSB, mm |
| s | relative slip between the BSB and concrete, mm |
| ES | elastic modulus of the BSB, MPa |
| AS | cross-sectional area of the BSB, mm2 |
| d | diameter of the BSB, mm |
| fu | compressive strength of SWSSC, MPa |
| ft | splitting tensile strength of SWSSC, MPa |
| τu | peak bond stress, MPa |
| su | relative slip at peak bond stress, mm |
| α | coefficient of the bond stress–slip model |
| p1–p9 | coefficient of the predictive model |
References
- Al-Rousan, E.T.; Khalid, H.R.; Rahman, M.K. Fresh, mechanical, and durability properties of basalt fiber-reinforced concrete (BFRC): A review. Dev. Built Environ. 2023, 14, 100155. [Google Scholar] [CrossRef]
- Yoo, D.-Y.; Yoon, Y.-S. A Review on Structural Behavior, Design, and Application of Ultra-High-Performance Fiber-Reinforced Concrete. Int. J. Concr. Struct. Mater. 2016, 10, 125–142. [Google Scholar] [CrossRef]
- Ahmed, W.; Lim, C.W. Production of sustainable and structural fiber reinforced recycled aggregate concrete with improved fracture properties: A review. J. Clean. Prod. 2021, 279, 123832. [Google Scholar] [CrossRef]
- Nurazzi, N.M.; Asyraf, M.R.M.; Athiyah, S.F.; Shazleen, S.S.; Rafiqah, S.A.; Harussani, M.M.; Kamarudin, S.H.; Razman, M.R.; Rahmah, M.; Zainudin, E.S.; et al. A Review on Mechanical Performance of Hybrid Natural Fiber Polymer Composites for Structural Applications. Polymers 2021, 13, 2170. [Google Scholar] [CrossRef] [PubMed]
- Yoo, D.-Y.; Banthia, N. Mechanical properties of ultra-high-performance fiber-reinforced concrete: A review. Cem. Concr. Compos. 2016, 73, 267–280. [Google Scholar] [CrossRef]
- Rajak, D.K.; Pagar, D.D.; Menezes, P.L.; Linul, E.; Composites, F.-R.P. Fiber-Reinforced Polymer Composites: Manufacturing, Properties, and Applications. Polymers 2019, 11, 1667. [Google Scholar] [CrossRef]
- Wang, J.; Dai, Q.; Si, R.; Guo, S. Mechanical, durability, and microstructural properties of macro synthetic polypropylene (PP) fiber-reinforced rubber concrete. J. Clean. Prod. 2019, 234, 1351–1364. [Google Scholar] [CrossRef]
- Wang, F.; Xue, X.; Hua, J.; Wang, N.; Yao, Y. Properties of polyoxymethylene fibre-reinforced seawater sea sand concrete exposed to high temperatures. Constr. Build. Mater. 2023, 409, 133854. [Google Scholar] [CrossRef]
- Wang, F.; Hua, J.; Xue, X.; Wang, N.; Yao, Y. Effects of Polyoxymethylene Fiber on Mechanical Properties of Seawater Sea-Sand Concrete with Different Ages. Polymers 2022, 14, 3472. [Google Scholar] [CrossRef]
- Xue, X.; Wang, F.; Hua, J.; Wang, N.; Huang, L.; Chen, Z.; Yao, Y. Effects of Polyoxymethylene Fiber on Fresh and Hardened Properties of Seawater Sea-Sand Concrete. Polymers 2022, 14, 4969. [Google Scholar] [CrossRef]
- Liu, G.; Hua, J.; Wang, N.; Deng, W.; Xue, X. Material Alternatives for Concrete Structures on Remote Islands: Based on Life-Cycle-Cost Analysis. Adv. Civ. Eng. 2022, 2022, 7329408. [Google Scholar] [CrossRef]
- Wang, F.; Hua, J.; Xue, X.; Wang, N.; Yan, F.; Feng, D. Effect of Superfine Cement Modification on Properties of Coral Aggregate Concrete. Materials 2023, 16, 1103. [Google Scholar] [CrossRef]
- Wang, F.; Sun, Y.; Xue, X.; Wang, N.; Zhou, J. Mechanical properties of modified coral aggregate seawater sea-sand concrete: Experimental study and constitutive model. Case Stud. Constr. Mater. 2023, 18, e02095. [Google Scholar] [CrossRef]
- Zhao, Y.; Hu, X.; Shi, C.; Zhang, Z.; Zhu, D. A review on seawater sea-sand concrete: Mixture proportion, hydration, microstructure and properties. Constr. Build. Mater. 2021, 295, 123602. [Google Scholar] [CrossRef]
- Li, Y.L.; Zhao, X.L.; Singh, R.K.R.; Al-Saadi, S. Tests on seawater and sea sand concrete-filled CFRP, BFRP and stainless steel tubular stub columns. Thin-Walled Struct. 2016, 108, 163–184. [Google Scholar] [CrossRef]
- Xiao, J.; Qiang, C.; Nanni, A.; Zhang, K. Use of sea-sand and seawater in concrete construction: Current status and future opportunities. Constr. Build. Mater. 2017, 155, 1101–1111. [Google Scholar] [CrossRef]
- Younis, A.; Ebead, U.; Suraneni, P.; Nanni, A. Fresh and hardened properties of seawater-mixed concrete. Constr. Build. Mater. 2018, 190, 276–286. [Google Scholar] [CrossRef]
- Wang, J.; Huang, Y. Mechanical properties and hydration of ultra-high-performance seawater sea-sand concrete (UHPSSC) with limestone calcined clay cement (LC3). Constr. Build. Mater. 2023, 376, 130950. [Google Scholar] [CrossRef]
- Wang, Y.S.; Meng, L.Y.; Chen, L.; Wang, X.Y. An innovative strategy for CO2 conversion and utilization: Semi-wet carbonation pretreatment of wollastonite to prepare carbon-fixing products and produce LC3. Cem. Concr. Compos. 2025, 160, 106050. [Google Scholar] [CrossRef]
- Wang, F.; Pan, M.; Xue, X.; Wang, N.; Huang, L.; Hua, J. Evaluation of the bond performance between non-uniformly corroded bimetallic steel bars and concrete. Structures 2025, 78, 109195. [Google Scholar] [CrossRef]
- Wang, F.; Hua, J.; Wang, N.; Yan, S.; Ding, Z.; Xue, X. Effects of corrosion on bond behavior between bimetallic steel bars and seawater concrete. Constr. Build. Mater. 2025, 475, 141193. [Google Scholar] [CrossRef]
- Wang, J.; Yang, L.; Yang, J. Bond behavior of epoxy-coated reinforcing bars with seawater sea-sand concrete. ACI Struct. J. 2020, 117, 193–208. [Google Scholar] [CrossRef]
- Hua, Y.; Yin, S.; Wang, Z. Analysis of influence factors on interfacial bond between BFRP bars and seawater sea-sand concrete. J. Reinf. Plast. Compos. 2021, 40, 16–28. [Google Scholar] [CrossRef]
- Wang, F.; Xue, X.; Hua, J.; Chen, Z.; Huang, L.; Wang, N.; Jin, J. Non-uniform corrosion influences on mechanical performances of stainless-clad bimetallic steel bars. Mar. Struct. 2022, 86, 103276. [Google Scholar] [CrossRef]
- Wang, F.; Wang, N.; Hua, J.; Xiao, C.; Xue, X. Assessment of residual bonding performance for bimetallic steel bar-seawater concrete after exposure to high temperature. J. Build. Eng. 2024, 97, 110714. [Google Scholar] [CrossRef]
- Chu, S.H.; Kwan, A.K.H. A new bond model for reinforcing bars in steel fibre reinforced concrete. Cem. Concr. Compos. 2019, 104, 103405. [Google Scholar] [CrossRef]
- Reddy, E.S.; Kumar, G.A.S.; Harika, R. Bond and durability studies of fiber reinforced no aggregate concrete. Mater. Today Proc. 2021, 60, 115–122. [Google Scholar] [CrossRef]
- Farhan, N.A.; Sheikh, M.N.; Hadi, M.N.S. Experimental Investigation on the Effect of Corrosion on the Bond Between Reinforcing Steel Bars and Fibre Reinforced Geopolymer Concrete. Structures 2018, 14, 251–261. [Google Scholar] [CrossRef]
- Bediwy, A.G.; El-Salakawy, E.F. Assessment of Bond Strength of GFRP Bars Embedded in Fiber-Reinforced Cementitious Composites. J. Compos. Constr. 2022, 26, 4022012. [Google Scholar] [CrossRef]
- Zhou, L.; Yu, Y.; Zheng, Y.; Ye, Y.; Wang, Y.; Lao, J. Investigation on bond behavior of GFRP bar embedded in ultra-high performance polyoxymethylene fiber reinforced concrete. Eng. Struct. 2025, 324, 119324. [Google Scholar] [CrossRef]
- Liang, M.; Yu, Y.; Xu, G.; Li, Q.; Pan, Y. Experimental study on bond performance between carbon/glass-hybrid-fiber-reinforced polymer bars and concrete. Adv. Struct. Eng. 2024, 27, 525–541. [Google Scholar] [CrossRef]
- Liu, Q.; Song, Y.; Wang, X.; Zhu, Y.; Wang, D. Bond-slip behavior between polypropylene fiber concrete and corroded reinforcement. Struct. Concr. 2025, 26, 531–549. [Google Scholar] [CrossRef]
- Pattnaik, S.S.; Behera, D.; Das, N.; Dash, A.K.; Behera, A.K. Fabrication and characterization of natural fiber reinforced cowpea resin-based green composites: An approach towards agro-waste valorization. RSC Adv. 2024, 14, 25728–25739. [Google Scholar] [CrossRef]
- Venkataravanappa, R.Y.; Lakshmikanthan, A.; Kapilan, N.; Chandrashekarappa, M.P.G.; Der, O.; Ercetin, A. Physico-Mechanical Property Evaluation and Morphology Study of Moisture-Treated Hemp–Banana Natural-Fiber-Reinforced Green Composites. J. Compos. Sci. 2023, 7, 266. [Google Scholar] [CrossRef]
- Choi, S.I.; Park, J.K.; Han, T.H.; Pae, J.; Moon, J.; Kim, M.O. Early-age mechanical properties and microstructures of Portland cement mortars containing different admixtures exposed to seawater. Case Stud. Constr. Mater. 2022, 16, e01041. [Google Scholar] [CrossRef]
- Park, S.; Park, J.K.; Lee, N.; Kim, M.O. Exploring structural evolution of portland cement blended with supplementary cementitious materials in seawater. Materials 2021, 14, 1210. [Google Scholar] [CrossRef]
- Hua, J.; Wang, F.; Xiang, Y.; Yang, Z.; Xue, X.; Huang, L.; Wang, N. Mechanical properties of stainless-clad bimetallic steel bars exposed to elevated temperatures. Fire Saf. J. 2022, 127, 103521. [Google Scholar] [CrossRef]
- Millero, F.J.; Feistel, R.; Wright, D.G.; McDougall, T.J. The composition of Standard Seawater and the definition of the Reference-Composition Salinity Scale. Deep. Res. Part I Oceanogr. Res. Pap. 2008, 55, 50–72. [Google Scholar] [CrossRef]
- JGJ2025; Standard for Technical Requirements and Test Method of Sand and Crushed Stone (or Gravel) for Ordinary Concrete. China Standard Press: Beijing, China, 2025.
- Varona, F.; Baeza, F.; Bru, D.; Ivorra, S. Evolution of the bond strength between reinforcing steel and fibre reinforced concrete after high temperature exposure. Constr. Build. Mater. 2018, 176, 359–370. [Google Scholar] [CrossRef]
- Guan, H.; Hao, B.; Zhang, G. Mechanical properties of concrete prepared using seawater, sea sand and spontaneous combustion coal gangue. Structures 2023, 48, 172–181. [Google Scholar] [CrossRef]
- Gao, S.; Zhao, X.; Qiao, J.; Guo, Y.; Hu, G. Study on the bonding properties of Engineered Cementitious Composites (ECC) and existing concrete exposed to high temperature. Constr. Build. Mater. 2019, 196, 330–344. [Google Scholar] [CrossRef]
- Liu, C.; Zheng, J.; Ning, N.; Yan, L.; Zheng, C. Experimental study of bond performance of corroded reinforcement in concrete under various cooling methods. J. Build. Eng. 2024, 84, 108569. [Google Scholar] [CrossRef]
- GB/T 50081-2019; Standard for Test Methods of Concrete Physical and Mechanical Properties. Ministry of Construction of the PR China: Beijing, China, 2019.
- Sun, J.; Ding, Z.; Li, X.; Wang, Z. Bond behavior between BFRP bar and basalt fiber reinforced seawater sea-sand recycled aggregate concrete. Constr. Build. Mater. 2021, 285, 122951. [Google Scholar] [CrossRef]
- Yan, L.; Liu, L.; Liu, C. Bonding performances of polypropylene fiber reinforced concrete beam-type specimen at corrosion conditions: Experimental and simulation study. J. Build. Eng. 2025, 105, 112479. [Google Scholar] [CrossRef]
- Zhang, X.; Zhang, W.; Cao, C.; Xu, F.; Yang, C. Positive effects of aligned steel fiber on bond behavior between steel rebar and concrete. Cem. Concr. Compos. 2020, 114, 103828. [Google Scholar] [CrossRef]
- Li, Q.; Ren, Z.; Su, X.; Li, P. Bond performance of corroded rebars in sustainable alkali-activated slag-based concrete incorporating steel fibers. J. Build. Eng. 2024, 85, 108689. [Google Scholar] [CrossRef]
- Zerfu, K.; Ekaputri, J.J.; Java, E. Bond strength in PVA fibre reinforced fly ash-based geopolymer concrete. Mag. Civ. Eng. 2021, 101, 10105. [Google Scholar] [CrossRef]
- Sun, S.; Du, Y.; Sun, S.; Yu, Q.; Li, Y. Mechanical Properties of Recycled Concrete with Polypropylene Fiber and Its Bonding Performance with Rebars. Medziagotyra 2024, 30, 396–403. [Google Scholar] [CrossRef]
- Wang, Q.; Cheng, J.; Chen, Q.; Zhang, J. Bond Performance Between Recycled Coarse Aggregate Concrete Reinforced with Polypropylene Fibers and Steel Bars After High-temperature Treatment. Medziagotyra 2024, 30, 526–532. [Google Scholar] [CrossRef]
- Xiao, J.; Hou, Y.; Huang, Z. Beam test on bond behavior between high-grade rebar and high-strength concrete after elevated temperatures. Fire Saf. J. 2014, 69, 23–35. [Google Scholar] [CrossRef]
- Yang, H.; Lan, W.; Qin, Y.; Wang, J. Evaluation of bond performance between deformed bars and recycled aggregate concrete after high temperatures exposure. Constr. Build. Mater. 2016, 112, 885–891. [Google Scholar] [CrossRef]


















| Material | Tensile Strength (MPa) | Elastic Modulus (GPa) | Elongation (%) | Density (kg/m3) |
|---|---|---|---|---|
| POM fiber | 970 | 8 | 18 | 1400 |
| Material | Yield Tensile Strength (MPa) | Ultimate Tensile Strength (MPa) | Elastic Modulus (GPa) | Elongation (%) |
|---|---|---|---|---|
| BSB | 472.5 | 648.4 | 191.2 | 31.3 |
| Chemical Composition | Cl− | SO42− | Na+ | K+ | Mg2+ | Ca2+ |
|---|---|---|---|---|---|---|
| Content | 19,365.5 | 2537.5 | 11,208.7 | 389.9 | 1321.7 | 395.8 |
| Groups | Cement | Fly Ash | Mineral Powder | Sea–Sand | Coarse Aggregate | Seawater | Fiber |
|---|---|---|---|---|---|---|---|
| NF | 264 | 88 | 88 | 831 | 1016 | 160 | 0.0 |
| POM-0.2 | 2.8 | ||||||
| POM-0.4 | 5.6 | ||||||
| POM-0.6 | 8.4 | ||||||
| POM-0.8 | 11.2 | ||||||
| POM-1.0 | 14.0 |
| Specimen Number | c/d | ρ | Replicates |
|---|---|---|---|
| NF-c/d | 1, 1.8, 2.6 | 0 | 3 |
| POM-ρ-c/d | 1, 1.8, 2.6 | 0.2%, 0.4%, 0.6%, 0.8%, 1.0% | 3 |
| Mechanical Properties | NF | POM-0.2 | POM-0.4 | POM-0.6 | POM-0.8 | POM-1.0 |
|---|---|---|---|---|---|---|
| fu (MPa) | 56.4 | 58.3 | 64.0 | 66.4 | 61.8 | 61.8 |
| ft (MPa) | 3.06 | 3.22 | 3.42 | 3.68 | 3.49 | 3.42 |
| Coefficients | c/d = 1.0 | c/d = 1.8 | c/d = 2.6 |
|---|---|---|---|
| p1 | −5.30 | −5.90 | −8.41 |
| p2 | 4.75 | 7.88 | 10.76 |
| p3 | 12.03 | 14.39 | 14.71 |
| p4 | 11.33 | — | — |
| p5 | 3.18 | — | — |
| Coefficients | NF | POM-0.2 | POM-0.4 | POM-0.6 | POM-0.8 | POM-1.0 |
|---|---|---|---|---|---|---|
| p6 | 0.01519 | 0.01936 | 0.03152 | 0.03623 | 0.05252 | 0.04021 |
| p7 | 0.1817 | 0.1921 | 0.1578 | 0.1611 | 0.1315 | 0.1680 |
| p8 | −0.03994 | −0.01627 | 0.02158 | −0.02673 | 0.00606 | −0.05034 |
| p9 | 0.3466 | 0.3191 | 0.2471 | 0.3019 | 0.2388 | 0.3501 |
| Evaluation Index | R2 | MSE | RMSE | MAE | MAPE |
|---|---|---|---|---|---|
| τu | 0.9685 | 0.1284 | 0.3583 | 0.2776 | 1.80% |
| su | 0.8381 | 0.0001 | 0.0109 | 0.0079 | 3.46% |
Disclaimer/Publisher’s Note: The statements, opinions and data contained in all publications are solely those of the individual author(s) and contributor(s) and not of MDPI and/or the editor(s). MDPI and/or the editor(s) disclaim responsibility for any injury to people or property resulting from any ideas, methods, instructions or products referred to in the content. |
© 2025 by the authors. Licensee MDPI, Basel, Switzerland. This article is an open access article distributed under the terms and conditions of the Creative Commons Attribution (CC BY) license (https://creativecommons.org/licenses/by/4.0/).
Share and Cite
Wang, F.; Xue, X.; Wang, N.; Li, S.; Yang, Z.; Chang, Y. Bond Properties Between Bimetallic Steel Bar and Polyoxymethylene Fiber-Reinforced Seawater Sea–Sand Concrete. Polymers 2025, 17, 2866. https://doi.org/10.3390/polym17212866
Wang F, Xue X, Wang N, Li S, Yang Z, Chang Y. Bond Properties Between Bimetallic Steel Bar and Polyoxymethylene Fiber-Reinforced Seawater Sea–Sand Concrete. Polymers. 2025; 17(21):2866. https://doi.org/10.3390/polym17212866
Chicago/Turabian StyleWang, Fei, Xuanyi Xue, Neng Wang, Shuai Li, Zhengtao Yang, and Yuruo Chang. 2025. "Bond Properties Between Bimetallic Steel Bar and Polyoxymethylene Fiber-Reinforced Seawater Sea–Sand Concrete" Polymers 17, no. 21: 2866. https://doi.org/10.3390/polym17212866
APA StyleWang, F., Xue, X., Wang, N., Li, S., Yang, Z., & Chang, Y. (2025). Bond Properties Between Bimetallic Steel Bar and Polyoxymethylene Fiber-Reinforced Seawater Sea–Sand Concrete. Polymers, 17(21), 2866. https://doi.org/10.3390/polym17212866

