Research on Bio-Inspired Decussated Bamboo-Fiber-Reinforced Epoxy Composites: The Effect of Vertical Fiber Proportion on Tribological Performances
Abstract
1. Introduction
2. Materials and Methods
2.1. Material and Preparation Process
2.2. Hardness Tests
2.3. Tribological Tests
3. Results
3.1. Fabrication Characterization
3.2. Vickers Hardness
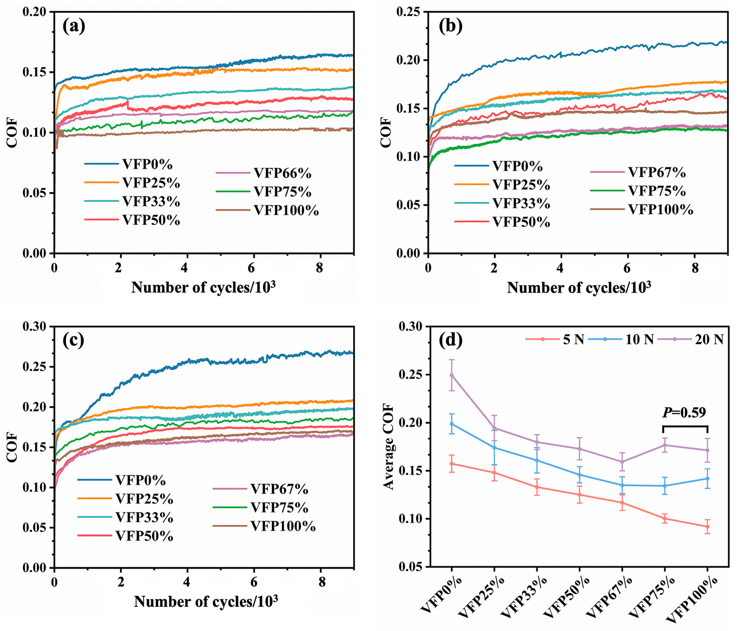
3.3. Tribological Performances
3.4. Micro-Topographies of the Worn Surfaces
4. Discussion
5. Conclusions
- (1)
- The bio-inspired fiber decussation can reduce the wear loss of the BFRE composites compared to BFRE composites with the fibers orientated uniformly. Among all the bio-inspired BFRE composites, those with the proportion of 67% vertical fibers (VFP67%) obtain the best wear resistance.
- (2)
- The vertical fibers in the BFRE composites can effectively withstand pressure to enhance the hardness and provide a “compression–rebound” effect, while the parallel fibers provide resistance against shear stress. And the decussated structure effectively inhibits crack initiation and propagation during the wear process and helps facilitate the formation of a transfer film that can reduce the wear loss.
- (3)
- The optimal PF/VF ratio of the decussated fiber structure in the BFRE composites is 1:2; an excessive or insufficient VF proportion will decrease the anti-wear properties.
Supplementary Materials
Author Contributions
Funding
Data Availability Statement
Acknowledgments
Conflicts of Interest
References
- Hagino, H.; Oyama, M.; Sasaki, S. Laboratory testing of airborne brake wear particle emissions using a dynamometer system under urban city driving cycles. Atmos. Environ. 2016, 131, 269–278. [Google Scholar]
- Zhang, K.; Wang, F.; Liang, W.; Wang, Z.; Duan, Z.; Yang, B. Thermal and mechanical properties of bamboo fiber reinforced epoxy composites. Polymers 2018, 10, 608. [Google Scholar] [CrossRef]
- Dessalegn, Y.; Singh, B.; Vuure, A.W.v.; Rajhi, A.A.; Duhduh, A.A.; Hossain, N.; Ahmed, G.M.S. Mechanical properties of bambusa oldhamii and yushania-alpina bamboo fibers reinforced polypropylene composites. Polymers 2022, 14, 2733. [Google Scholar]
- Gao, X.; Zhu, D.; Fan, S.; Rahman, M.Z.; Guo, S.; Chen, F. Structural and mechanical properties of bamboo fiber bundle and fiber/bundle reinforced composites: A review. J. Mater. Res. Technol. 2022, 19, 1162–1190. [Google Scholar] [CrossRef]
- Mandal, S.; Alam, S. Dynamic mechanical analysis and morphological studies of glass/bamboo fiber reinforced unsaturated polyester resin-based hybrid composites. J. Appl. Polym. Sci. 2012, 125, E382–E387. [Google Scholar]
- Ma, Y.H.; Ma, S.S.; Shen, S.L.; Tong, J.; Guo, L. Hybrid biological fiber-reinforced resin-based friction materials friction and wear performance test. Appl. Mech. Mater. 2014, 461, 388–396. [Google Scholar]
- Ma, Y.; Song, H.; Niu, X.; Chen, Y.; Suo, T. Effect of fiber roughness on interfacial friction of fiber reinforced ceramic matrix composites. Ceram. Int. 2024, 50, 7086–7100. [Google Scholar]
- Bai, T.; Wang, D.; Yan, J.; Cheng, W.; Cheng, H.; Shi, S.Q.; Wang, G.; Han, G. Wetting mechanism and interfacial bonding performance of bamboo fiber reinforced epoxy resin composites. Compos. Sci. Technol. 2021, 213, 108951. [Google Scholar] [CrossRef]
- Chin, S.C.; Tee, K.F.; Tong, F.S.; Ong, H.R.; Gimbun, J. Thermal and mechanical properties of bamboo fiber reinforced composites. Mater. Today Commun. 2020, 23, 100876. [Google Scholar] [CrossRef]
- Zhang, J.; Ma, M.; Bi, Y.; Liao, Z.; Ma, Y.; Huang, W.; Feng, C. A review of epoxy-based composite materials: Synthesis, structure and application for electromagnetic wave absorption. J. Alloys Compd. 2022, 922, 166096. [Google Scholar]
- Abdullah, M.d.; Saha, S.; Motayed, M.S.H.; Ali, M.H.; Habib, M.A. Banana and bamboo filler-reinforced epoxy resin composites: Analysis of mechanical and physical properties. Results Eng. 2025, 28, 107293. [Google Scholar] [CrossRef]
- Ozun, E.; Ceylan, R.; Bora, M.Ö.; Fidan, S.; Ürgün, S.; Özsoy, M.İ.; Güleç, E. Scratch Resistance and Tribological Enhancement of Epoxy Composites Reinforced with Chopped Glass Fiber and Nano Silica Through Taguchi Analysis. Polymers 2025, 17, 2550. [Google Scholar] [CrossRef]
- Huang, J.-K.; Young, W.-B. The mechanical, hygral, and interfacial strength of continuous bamboo fiber reinforced epoxy composites. Compos. Part B-Eng. 2019, 166, 272–283. [Google Scholar]
- Nirmal, U.; Hashim, J.; Low, K. Adhesive wear and frictional performance of bamboo fibers reinforced epoxy composite. Tribol. Int. 2012, 47, 122–133. [Google Scholar]
- Oliver, B.A.; Dong, Q.; Ramezani, M.; Selles, M.A.; Sanchez-Caballero, S. Tribological performance of bamboo fabric reinforced epoxy composites. Macromol. Mater. Eng. 2023, 308, 2300077. [Google Scholar] [CrossRef]
- Jakob, M.; Mahendran, A.R.; Gindl-Altmutter, W.; Bliem, P.; Konnerth, J.; Mueller, U.; Veigel, S. The strength and stiffness of oriented wood and cellulose-fiber materials: A review. Prog. Mater. Sci. 2022, 125, 100916. [Google Scholar]
- Wang, H.; An, X.; Li, W.; Wang, H.; Yu, Y. Variation of mechanical properties of single bamboo fibers (Dendrocalamus latiflorus Munro) with respect to age and location in culms. Holzforschung 2014, 68, 291–297. [Google Scholar]
- Meng, X.; Zhang, Z.; Wu, Y.; Xu, F.; Feng, P. A comprehensive evaluation of the effects of bamboo nodes on the mechanical properties of bamboo culms. Eng. Struct. 2023, 297, 116975. [Google Scholar] [CrossRef]
- Xiao, H.; Lei, L.; Peng, J.; Yang, D.; Zeng, Q.; Zheng, J.; Zhou, Z. Research of the role of microstructure in the wear mechanism of canine and bovine enamel. J. Mech. Behav. Biomed. 2019, 92, 33–39. [Google Scholar]
- Xiao, H.; Arsecularatne, J.A.; Zheng, J.; Hoffman, M.J.; Zhou, Z. Effect of HAP crystallite orientation upon corrosion and tribocorrosion behavior of bovine and human dental enamel. Corros. Sci. 2021, 190, 109670. [Google Scholar] [CrossRef]
- Lei, L.; Yang, D.; Zheng, J.; Wu, Z.; Xiao, H.; Zhou, Z. Bioinspired inverse enamel-like columnar composites reproducing the mechanical properties and tribological performance of human enamel. Appl. Mater. Today 2022, 29, 101645. [Google Scholar] [CrossRef]
- Ma, Z.; Pan, G.; Xu, H.; Huang, Y.; Yang, Y. Cellulosic fibers with high aspect ratio from cornhusks via controlled swelling and alkaline penetration. Carbohyd. Polym. 2015, 124, 50–56. [Google Scholar] [CrossRef] [PubMed]
- Liu, M.; Hou, D.; Zheng, K.; Gao, C. Characterization of friction and wear of phenolic resin matrix composites reinforced by bamboo fibers of alkaline and LaCl3 treatment. Mater. Today Commun. 2023, 35, 106361. [Google Scholar] [CrossRef]
- Chen, H.; Wu, J.; Shi, J.; Zhang, W.; Wang, H. Effect of alkali treatment on microstructure and thermal stability of parenchyma cell compared with bamboo fiber. Ind. Crops Prod. 2021, 164, 113380. [Google Scholar] [CrossRef]
- Salih, A.A.; Zulkifli, R.; Azhari, C.H. Tensile Properties and Microstructure of Single-Cellulosic Bamboo Fiber Strips after Alkali Treatment. Fibers 2020, 8, 26. [Google Scholar] [CrossRef]
- Liu, S.; Dong, C.; Yuan, C.; Bai, X. Study of the synergistic effects of fiber orientation, fiber phase and resin phase in a fiber-reinforced composite material on its tribological properties. Wear 2019, 426, 1047–1055. [Google Scholar] [CrossRef]
- Archard, J. Contact and rubbing of flat surfaces. J. Appl. Phys. 1953, 24, 981–988. [Google Scholar] [CrossRef]
- Wang, S.; Liao, X.; Zheng, Z.; Long, J.; Shen, M.; Chen, W.; Wang, J.; Berdiev, D.; Zheng, K. Exploring the hardness-independent wear behavior of typical wear-resistant materials under dynamic and static conditions. J. Mater. Res. Technol. 2024, 33, 6798–6809. [Google Scholar] [CrossRef]
- Cliche, M.-L.; Mone, R.; Liberati, A.C.; Stoyanov, P. Influence of fiber direction on the tribological behavior of carbon reinforced PEEK for application in gas turbine engines. Surf. Coat. Tech. 2025, 511, 132212. [Google Scholar] [CrossRef]
- Mahesh, V.; Joladarashi, S.; Kulkarni, S.M. Three body abrasive wear assessment of novel jute/natural rubber flexible green composite. J. Thermoplast. Compos. 2021, 34, 1566–1576. [Google Scholar] [CrossRef]
- Hussain, H.S.; Mohd Jamir, M.R.; Abdul Majid, M.S.; Sapuan, S.; Yudhanto, F.; Nugroho, A.W.; Rani, M.F.H. Friction and wear characteristics of Furcraea foetida fiber-reinforced epoxy composites. Polym. Composite. 2023, 44, 8559–8577. [Google Scholar] [CrossRef]
- Sridhara, P.K.; Vilaseca, F. Assessment of fiber orientation on the mechanical properties of PA6/cellulose composite. Appl. Sci. 2020, 10, 5565. [Google Scholar] [CrossRef]
- Zhang, E.; Gao, F.; Fu, R.; Lu, Y.; Han, X.; Su, L. Tribological behavior of phenolic resin-based friction composites filled with graphite. Materials 2021, 14, 742. [Google Scholar] [CrossRef]
- Rasheva, Z.; Zhang, G.; Burkhart, T. A correlation between the tribological and mechanical properties of short carbon fibers reinforced PEEK materials with different fiber orientations. Tribol. Int. 2010, 43, 1430–1437. [Google Scholar] [CrossRef]
- Mouritz, A. Review of z-pinned composite laminates. Compos. Part A-Appl. S. 2007, 38, 2383–2397. [Google Scholar] [CrossRef]











| Material | Bisphenol-A-Diglycidyl-Ether | Chlorendic Anhydride | HK-66 | Bamboo Fibers |
|---|---|---|---|---|
| Mass Percentage/wt% | 33.8 | 33.8 | 2.36 | 30 |
| Group Name | VF/PF Ratio of Testing Surface | Hardness Test | Wear Test | ||||
|---|---|---|---|---|---|---|---|
| Duration and Load | Number of Samples | Reciprocating Stroke | Frequency and Duration | Loads | Number of Samples | ||
| VFP0% | All PFs | 20 s and 0.49 N | 10 | 0.4 mm | 5 Hz and 30 min | 5/10/20 N | 12 |
| VFP25% | 1/3 | 10 | 12 | ||||
| VFP33% | 1/2 | 10 | 12 | ||||
| VFP50% | 1/1 | 10 | 12 | ||||
| VFP67% | 2/1 | 10 | 12 | ||||
| VFP75% | 3/1 | 10 | 12 | ||||
| VFP100% | All VFs | 10 | 12 | ||||
Disclaimer/Publisher’s Note: The statements, opinions and data contained in all publications are solely those of the individual author(s) and contributor(s) and not of MDPI and/or the editor(s). MDPI and/or the editor(s) disclaim responsibility for any injury to people or property resulting from any ideas, methods, instructions or products referred to in the content. |
© 2025 by the authors. Licensee MDPI, Basel, Switzerland. This article is an open access article distributed under the terms and conditions of the Creative Commons Attribution (CC BY) license (https://creativecommons.org/licenses/by/4.0/).
Share and Cite
Xiao, H.; Yi, H.; Zhou, Z.; Wu, N.; Liang, S.; Ma, L.; Zhong, W. Research on Bio-Inspired Decussated Bamboo-Fiber-Reinforced Epoxy Composites: The Effect of Vertical Fiber Proportion on Tribological Performances. Polymers 2025, 17, 2765. https://doi.org/10.3390/polym17202765
Xiao H, Yi H, Zhou Z, Wu N, Liang S, Ma L, Zhong W. Research on Bio-Inspired Decussated Bamboo-Fiber-Reinforced Epoxy Composites: The Effect of Vertical Fiber Proportion on Tribological Performances. Polymers. 2025; 17(20):2765. https://doi.org/10.3390/polym17202765
Chicago/Turabian StyleXiao, Heng, Hao Yi, Zijie Zhou, Ningfeng Wu, Shengwei Liang, Lei Ma, and Wen Zhong. 2025. "Research on Bio-Inspired Decussated Bamboo-Fiber-Reinforced Epoxy Composites: The Effect of Vertical Fiber Proportion on Tribological Performances" Polymers 17, no. 20: 2765. https://doi.org/10.3390/polym17202765
APA StyleXiao, H., Yi, H., Zhou, Z., Wu, N., Liang, S., Ma, L., & Zhong, W. (2025). Research on Bio-Inspired Decussated Bamboo-Fiber-Reinforced Epoxy Composites: The Effect of Vertical Fiber Proportion on Tribological Performances. Polymers, 17(20), 2765. https://doi.org/10.3390/polym17202765

