Optimization Study of a High-Efficiency Preservative for Ammonia-Free Concentrated Natural Rubber Latex
Abstract
1. Introduction
2. Experimental
2.1. Materials
2.2. Preparation of CNRL Samples
2.3. Preparation of CNRL Dry Film
2.4. Preparation of Vilcanlzed Film
2.5. Preparation of Compound Film
2.6. Characteristics of CNRL
2.7. Characteristics of Dry Film
2.8. Characteristics of Compound Film and Vulcanized Film
3. Results and Discussion
3.1. Preservative Effect of TD Dosage on CNRL
3.2. Effect of the Stabilization System on Properties of CNRL
3.3. Effect of the Stabilization System on the Specific Conductance of CNRL
3.4. Effect of the Stabilization System on the CNRL Particle Size
3.5. Effect of the Stabilization System on the Physical and Mechanical Properties of CNRL
3.6. Effect of the Stabilization System on the Stability and Film Appearance of Pre-Vulcanized Latex
3.7. Effect of the Stabilization System on the Stability of CNRL
3.8. Vulcanization Characteristics of the Compounded Rubber Film
3.9. Characteristics of Vulcanized Rubber Films
3.10. Infrared Curve of CNRL Dry Film
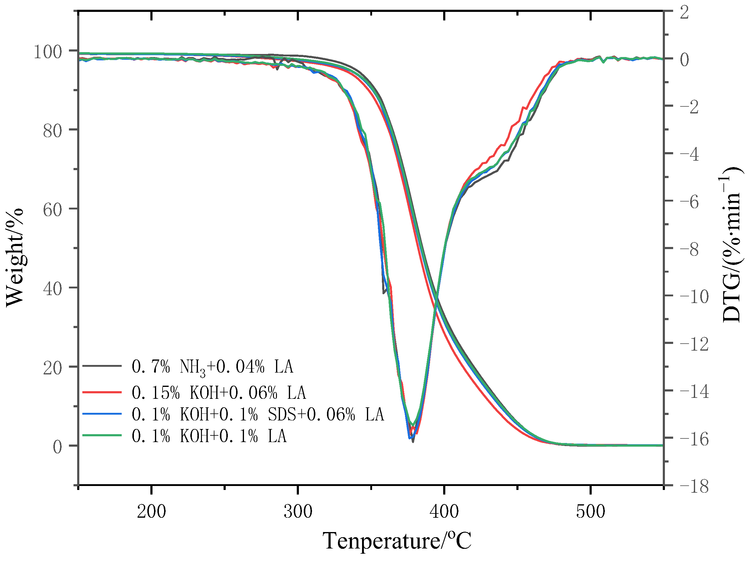
3.11. Thermal Characteristics of CNRL Dry Films
3.12. Molecular Weight Size and Distribution of CNRL Dry Films
3.13. Effect of the Stabilization System on the Mechanical Properties of CNRL Films
4. Conclusions
- (1)
- As the concentration of the TD preservative increases, both the VFA number and viscosity of ammonia-free CNRL increase progressively, whereas the MST decreases. Additionally, the pH value increases slightly. The optimal VFA number is observed at a TD content of 0.03%. Notably, when the viscosity value is reduced, the MST is enhanced, leading to superior preservation effects;
- (2)
- KOH, LA, and SDS play distinct roles in the preparation and property optimization of CNRL. KOH primarily influences the pH and specific conductance of the latex; however, an excessive amount can result in latex thickening. LA is crucial for enhancing the MST and reducing the viscosity, and SDS improves the MST, reduces the viscosity, and suppresses the increase in VFA number. In practical applications, the selection and regulation of these additives should be adjusted according to performance indicators and process requirements;
- (3)
- An increase in the LA dosage decreases marginally the tear strength, tensile strength, and constant elongation stress in the ammonia-free CNRL dry films, leading to enhanced mechanical and heat stability of pre-vulcanized latex. Additionally, it reduces the system viscosity, thereby facilitating the processing. However, an excessive LA content can result in minor surface wrinkles on the film, decreased curing speed, and reduced mechanical properties;
- (4)
- The addition of KOH markedly enhances the mechanical properties of the dry films, specifically the tensile strength, tear strength, and elongation stress. It also marginally improves the MST. Furthermore, KOH increases both the pH and the specific conductance of the latex. The incorporation of KOH notably accelerates the curing speed and increases the mechanical properties of the resultant cured film. However, it simultaneously decreases the flatness and smoothness of the film surface, thereby affecting the overall quality of the film;
- (5)
- SDS can enhance the tensile strength, tear strength, and constant tensile stress of the dry films to a certain degree. However, its effect is less stable compared with that of KOH. SDS significantly improves the MST of pre-vulcanized latex and effectively reduces the viscosity, which is beneficial for processing. Additionally, SDS accelerates the vulcanization process, albeit not as much as KOH. However, an increase in the amount of SDS reduces the surface flatness and smoothness, adversely affecting the film-forming properties. Although it enhances the tensile strength, it also decreases the tear strength;
- (6)
- The CNRL dry films, regardless of the stabilization system used, exhibit stable molecular weight size and distribution, chemical construction, and thermal stability;
- (7)
- From the analysis of various performance data of rubber latex, the TD dosage is maintained at 0.02–0.03% for the best effect, the KOH dosage is controlled at 0.1–0.15% for the most suitable, and the LA dosage is controlled between 0.06 and 0.1% for the most suitable. The appropriate dosage of SDS is between 0 and 0.1%.
Author Contributions
Funding
Institutional Review Board Statement
Data Availability Statement
Acknowledgments
Conflicts of Interest
Abbreviations
| NR | Natural rubber |
| NRL | Natural rubber latex |
| CNRL | Concentrated natural rubber latex |
| TD | Thioacetamide derivative |
| KOH | Potassium hydroxide |
| SDS | Sodium dodecyl sulfate |
| LA | Lauric acid |
| VFA number | Volatile fatty acid number |
| MST | Mechanical stability time |
References
- Sirisomboon, P.; Lim, C.H. Rapid Evaluation of the Properties of Natural Rubber Latex and Its Products Using Near-Infrared Spectroscopy; IntechOpen: London, UK, 2019; ISBN 978-1-78984-573-0. [Google Scholar]
- Bushman, B.S.; Scholte, A.A.; Cornish, K.; Scott, D.J.; Brichta, J.L.; Vederas, J.C.; Ochoa, O.; Michelmore, R.W.; Shintani, D.K.; Knapp, S.J. Identification and comparison of natural rubber from two Lactuca species. Phytochemistry 2006, 67, 2590–2596. [Google Scholar] [CrossRef] [PubMed]
- Tarachiwin, L.; Sakdapipanich, J.; Ute, K.; Kitayama, T.; Bamba, T.; Fukusaki, E.; Kobayashi, A.; Tanaka, Y. Structural characterization of α-terminal group of natural rubber. 1. Decomposition of branch-points by lipase and phosphatase treatments. Biomacromolecules 2005, 6, 1851–1857. [Google Scholar] [CrossRef] [PubMed]
- Taysum, D.H. The numbers and growth rates of the bacteria in Hevea latex, ammoniated field latex and ammoniated latex concentrate. J. Appl. Microbiol. 1958, 21, 161–173. [Google Scholar] [CrossRef]
- Chaikumpollert, O.; Loykulnant, S.; Kongkaew, C. A novel preservative system for natural rubber latex. In Proceedings of the 10th Pacific Polymer Conference, Kobe, Japan, 4–7 December 2007. [Google Scholar]
- Taysum, D.H. The Establishment of a Bacterial Population of Latex Vessels During Normal Tapping. Microbial Latex II. J. Rubber Res. 1960, 16, 858–871. [Google Scholar]
- Luo, Y.; Yang, C.; Li, Z.; Liao, S. A study on preservatives on the structure and properties of natural rubber latex. J. Rubber Res. 2024, 27, 21–31. [Google Scholar] [CrossRef]
- John, C.K. Composite Preservation System for Hevea Latex. In Proceedings of the International Rubber Conference, Kuala Lumpur, Malaysia, 1975; pp. 339–357. [Google Scholar]
- Afreen, S.; Haque, K.R.; Huda, M.K. Troubleshooting for the observed problems in processing latex concentrate from natural resource. IOP Conf. Ser. Earth Environ. Sci. 2013, 16, 012007. [Google Scholar] [CrossRef]
- Agency for Toxic Substances and Disease Registry. Toxicological Profile for Ammonia; Public Health Statement for Ammonia; Agency for Toxic Substances and Disease Registry: Atlanta, GA, USA, 2011.
- Chaikumpollert, O. Development of Preservative for Natural Rubber Latex. In Proceedings of the IV International Conference of Materials Science and Technology, Bangkok, Thailand, 19–20 July 2000; p. 15. [Google Scholar]
- John, C.K.; Wong, N.P.; Chin, H.C.; Latiff, A.; Lim, H.S. Recent Development in Natural Rubber Latex Preservation. In Proceedings of the Rubber Research Institute of Malaysia Rubber Growers’ Conference, Kuala Lumpur, Malaysia, 22–26 July 1986; pp. 320–341. [Google Scholar]
- Loykulnant, S.; Kongkaew, C.; Chaikumpollert, O.; Sanguanthammarong, P.; Naubol, P.; Suchiva, K. Study of Chitosan and its Derivatives as Preservatives for Field Natural Rubber. J. Appl. Polym. Sci. 2011, 123, 913–921. [Google Scholar] [CrossRef]
- Pastore, J.; Floriano, P.J. Using vegetable tannin to preserve natural rubber latex and to decrease or suppress its allergic action. Rubber World 2015, 257, 20–32. [Google Scholar]
- Krickl, S.; Touraud, D.; Kunz, W. Investigation of ethanolamine stabilized natural rubber latex from Taraxacum kok-saghyz and from Hevea brasiliensis using zeta-potential and dynamic light scattering measurements. Ind. Crops Prod. 2017, 103, 169–174. [Google Scholar] [CrossRef]
- Wisessirikul, W.; Loykulnant, S.; Montha, S.; Fhulua, T.; Prapainainar, P. 2-[(Hydroxymethyl) amino] ethanol in water as a preservative: Study of formaldehyde released by Taguchi’s method. IOP Conf. Ser. Earth Environ. Sci. 2016, 36, 012049. [Google Scholar]
- Guo, P.; Yan, D.X.; Zou, B. Study on Property of Ammonia-free Natural Latex. CRIA 2019, 66, 602–605. (In Chinese) [Google Scholar]
- Zhao, L.G.; Chen, S.; Song, Y.Z. Effects of Different Stabilizers on the Stability of Natural Rubber Latex. Chin. J. Trop. Crops. 2023, 44, 2073–2083. (In Chinese) [Google Scholar]
- Wang, T.; Gui, H.X.; Zhang, W.F.; Zhang, K.X.; Yu, W.Q. Novel non-ammonia preservative for concentrated natural rubber latex. J. Appl. Polym. Sci. 2015, 132, 4763–4768. [Google Scholar]
- Rojruthai, P.; Rodgerd, P.; Ho, C.-C.; Sakdapipanich, J. The use of 1, 2-benzisothiazolin-3-one (BIT) in preparation of low-ammonia and zinc-free natural rubber latex concentrate. J. Rubber Res. 2021, 24, 783–795. [Google Scholar] [CrossRef]
- Zhao, L.G.; Gui, H.X.; Ding, L. Properties of Ammonia-free Concentrated NR Latex Preserved with N,N′-methylene-bis-morpholine. Rubber Chem. Technol. 2023, 96, 162–174. [Google Scholar]
- Zhao, L.; Fan, R.; Li, P.; Ding, L.; Song, Y.; Li, J.; Wang, Y.; Dai, T.; Deng, D.; Gui, H. Impact of N,N′-Methylene-bis-morpholine on the preservation of natural rubber latex. Int. J. Polym. Sci. 2023, 2023, 5194052. [Google Scholar]
- Zhao, L.G.; Ding, L.; Zhao, L.Y. Preservative Effect of Thione Derivatives LS on Natural Rubber Latex. Chin. J. Trop. Crops 2024, 45, 144–153. [Google Scholar]
- Gaboriaud, F.; De Gaudemaris, B.; Rousseau, T.; Derclaye, S.; Dufrêne, Y.F. Unravelling the nanometre-scale stimuli-responsive properties of natural rubber latex particles using atomic force microscopy. Soft Matter 2012, 8, 2724–2729. [Google Scholar] [CrossRef]
- Gaboriaud, F.; Parcha, B.S.; Gee, M.L.; Holden, J.A.; Strugnell, R.A. Spatially resolved force spectroscopy of bacterial surfaces using force-volume imaging. Colloid Surf. B 2008, 62, 206–213. [Google Scholar] [CrossRef]
- Hill, R.I.; Saville, D.A.; Russel, W.B. Flectrophoresis of spherical polymer-coated colloidal particles. J. Colloid Interface Sci. 2003, 258, 56–74. [Google Scholar] [CrossRef]
- Ho, C. The effect of metallic cations on the electrophoretic properties of a pretreatedHevea latex. Colloid Polym. Sci. 1988, 266, 70–76. [Google Scholar] [CrossRef]
- Ho, C. Changes in electrokinctic properties of natural rubber latex after surface chemical modifications. Colloid Polym. Sci. 1989, 267, 643–647. [Google Scholar] [CrossRef]
- Duval, J.F.L.; Ku, T.D.; Werner, C.; Zimmermann, R. Electrohydrodynamics of soft polyelectrolyte multilayers: Point of zero-streaming current. Langmuir 2011, 27, 10739–10752. [Google Scholar] [CrossRef]
- Langlet, J.; Gaboriaud, F.; Gantzer, C.; Duval, J.F.L. Impact of chemical and structural anisotropy on the electrophoretic mobility of spherical soft multilayer particles: The case of bacteriophage ms2. Biophys. J. 2008, 94, 3293–3312. [Google Scholar] [CrossRef] [PubMed]
- Raafatnia, S.; Hickey, O.A.; Holm, C. Electrophoresis of a spherical polyelectrolyte-grafted colloid in monovalent salt solutions: Comparison of molecular dynamics simulations with theory and numerical calculations. Macromolecules 2015, 48, 775–787. [Google Scholar] [CrossRef]
- Crassous, J.J.; Rochette, C.N.; Wittemann, A.; Schrinner, M.; Ballauff, M.; Drechsler, M. Quantitative analysis of polymer colloids by cryo-transmission electron microscopy. Langmuir 2009, 25, 7862–7871. [Google Scholar] [CrossRef] [PubMed]
- Rochette, C.N.; Crassous, J.J.; Drechsler, M.; Gaboriaud, F.; Eloy, M.; de Gaudemaris, B.; Duval, J.F.L. Shell Structure of Natural Rubber Particles: Evidence of Chemical Stratification by Electrokinetics and Cryo-TEM. Langmuir 2013, 29, 14655–14665. [Google Scholar] [CrossRef]
- Radulovic, J.; Sefiane, K.; Shanahan, M.E. On the effect of pH on spreading of surfactant solutions on hydrophobic surfaces. J. Colloid Interface Sci. 2009, 332, 497–504. [Google Scholar] [CrossRef] [PubMed]
- Sood, A.; Awasthi, S.K. Initial droplet size distribution in miniemulsion polymerization. J. Appl. Polym. Sci. 2003, 88, 3058–3065. [Google Scholar] [CrossRef]
- Safari, A.; Akbarzadeh, K.; Roayaei, A.; Motamedi, H. Isolation of BiosurfactantProducing Bacteria from the Caspian Sea and Determination of their Biosurfactant Activity. J. Kashan Univ. Med. Sci. 2011, 15, 331–337. [Google Scholar]
- Payungwong, N.; Sakdapipanich, J.; Wu, J.; Ho, C.C. The Interplay of Protein Hydrolysis and Ammonia in the Stability of Hevea Rubber Latex during Storage. Polymers 2023, 15, 4636. [Google Scholar] [CrossRef] [PubMed]
- Wei, Y.C.; Xia, J.H.; Zhang, L.; Zheng, T.T.; Liao, S. Influence of non-rubber components on film formation behavior of natural rubber latex. Colloid Polym. Sci. 2020, 298, 1263–1271. [Google Scholar] [CrossRef]
- Wiroonpochit, P.; Sarilak, D.; Insuan, W.; Chahomchuen, T.; Chollakup, R.; Chisti, Y.; Hansupalak, N. Surfactants affect urea deproteinization and subsequent prevulcanization of natural rubber latex. Mater. Chem. Phys. 2024, 311, 128557. [Google Scholar] [CrossRef]
- Sutanto, T.D.; Setiaji, B.; Wijaya, K.; Suharto, T.E. Effect of koh as stabilizer on mechanical and chemical properties of liquid rubber compound. Asian J. Chem. 2014, 26, 8371–8374. [Google Scholar] [CrossRef]
- Wei, Y.C.; Liu, G.X.; Zhang, H.F.; Zhao, F.; Luo, M.C.; Liao, S. Non-rubber components tuning mechanical properties of natural rubber from vulcanization kinetics. Polymer 2019, 183, 121911. [Google Scholar] [CrossRef]

















| Samples | NH3/% | TD/% | KOH/% | SDS/% | LA/% |
|---|---|---|---|---|---|
| 0.7%NH3 | 0.7 | - | - | - | 0.05 |
| 0.02%TD | - | 0.02 | 0.1 | 0.1 | 0.05 |
| 0.03%TD | - | 0.03 | 0.1 | 0.1 | 0.05 |
| 0.04%TD | - | 0.04 | 0.1 | 0.1 | 0.05 |
| 0.05%TD | - | 0.05 | 0.1 | 0.1 | 0.05 |
| Stabilization Systems | NH3/% | TD/% | KOH/% | SDS/% | LA/% |
|---|---|---|---|---|---|
| 0.7%NH3 + 0.04%LA | 0.7 | - | - | - | 0.04 |
| 0.1%KOH + 0.06%LA | - | 0.03 | 0.1 | - | 0.06 |
| 0.15%KOH + 0.06%LA | - | 0.03 | 0.15 | - | 0.06 |
| 0.1%KOH + 0.1%SDS + 0.06%LA | - | 0.03 | 0.1 | 0.1 | 0.06 |
| 0.1%KOH + 0.1%LA | - | 0.03 | 0.1 | - | 0.1 |
| 0.15%KOH + 0.1%LA | - | 0.03 | 0.15 | - | 0.1 |
| 0.1%KOH + 0.1%SDS + 0.1%LA | - | 0.03 | 0.1 | 0.1 | 0.1 |
| Stabilization Systems | Average Diameter /μm | Pitch Diameter/μm | D10/μm | D90/μm |
|---|---|---|---|---|
| 0.7%NH3 + 0.04%LA | 0.8761 | 0.8895 | 0.4573 | 1.2581 |
| 0.1%KOH + 0.06%LA | 0.8894 | 0.9025 | 0.4688 | 1.2702 |
| 0.15%KOH + 0.06%LA | 0.8633 | 0.8766 | 0.4590 | 1.2358 |
| 0.1%KOH + 0.1%SDS + 0.06%LA | 0.8636 | 0.8755 | 0.4607 | 1.2369 |
| 0.1%KOH + 0.1%LA | 0.8608 | 0.8742 | 0.4601 | 1.2297 |
| 0.15%KOH + 0.1%LA | 0.8647 | 0.8848 | 0.4793 | 1.2084 |
| 0.1%KOH + 0.1%SDS + 0.1%LA | 0.8723 | 0.8892 | 0.4804 | 1.2269 |
| Stabilization Systems | NH3/% | 0.7 | - | - | - | - | - | - |
|---|---|---|---|---|---|---|---|---|
| KOH/% | - | 0.1 | 0.15 | 0.1 | 0.1 | 0.15 | 0.1 | |
| SDS/% | - | - | - | 0.1 | - | - | 0.1 | |
| LA/% | 0.04 | 0.06 | 0.06 | 0.06 | 0.1 | 0.1 | 0.1 | |
| Tensile stress at 100% elongation/MPa | 0.35 | 0.23 | 0.27 | 0.24 | 0.23 | 0.23 | 0.26 | |
| Tensile stress at 300% elongation/MPa | 0.37 | 0.26 | 0.29 | 0.26 | 0.24 | 0.25 | 0.28 | |
| Tensile stress at 500% elongation/MPa | 0.38 | 0.29 | 0.33 | 0.3 | 0.28 | 0.31 | 0.32 | |
| Tensile strength/MPa | 1.45 | 0.68 | 1.05 | 0.77 | 0.66 | 0.75 | 0.9 | |
| Elongation at break/% | 950 | 937 | 996 | 901 | 894 | 847 | 913 | |
| Tear strength/KN∙m−1 | 6.38 | 3.77 | 4.13 | 3.5 | 3.44 | 3.81 | 4.08 | |
| Hardness (shore)/° | 13 | 8 | 9 | 7 | 7 | 6 | 7 | |
| Stabilization Systems | MST /s | Heat Stability /s | Viscosity /MPa∙s−1 | pH | Specific Conductance /μS∙cm−1 | Film Appearance |
|---|---|---|---|---|---|---|
| 0.7%NH3 + 0.04%LA | 350 | 50 | 20 | 9.95 | 3781 | Flat and shrinkage |
| 0.1%KOH + 0.06%LA | 425 | 51 | 52.5 | 8.15 | 4800 | Smooth |
| 0.15%KOH + 0.06%LA | 500 | 23 | 98.4 | 8.31 | 5136 | Relatively flat |
| 0.1%KOH + 0.1%SDS + 0.06%LA | 680 | 43 | 46.8 | 8.13 | 4767 | Relatively flat |
| 0.1%KOH + 0.1%LA | 820 | 63 | 35.1 | 8.09 | 4829 | A few wrinkles |
| 0.15%KOH + 0.1%LA | 880 | 32 | 55.6 | 8.30 | 5047 | Relatively flat, with a few wrinkles |
| 0.1%KOH + 0.1%SDS + 0.1%LA | >900 | 59 | 32.1 | 8.23 | 4823 | Much wrinkles, uneven |
| Stabilization Systems | ML | MH | MH − ML | T10/min | T50/min | T90/min |
|---|---|---|---|---|---|---|
| 0.7%NH3 + 0.04%LA | 2.0 | 3.18 | 1.18 | 1.01 | 7.22 | 25.87 |
| 0.1%KOH + 0.06%LA | 1.64 | 3.19 | 1.55 | 0.25 | 4.82 | 26.16 |
| 0.15%KOH + 0.06%LA | 1.59 | 3.19 | 1.6 | 0.33 | 5.54 | 26.40 |
| 0.1%KOH + 0.1%SDS + 0.06%LA | 1.70 | 3.26 | 1.56 | 0.34 | 5.27 | 25.76 |
| 0.1%KOH + 0.1%LA | 1.68 | 2.70 | 1.02 | 0.23 | 3.84 | 17.81 |
| 0.15%KOH + 0.1%LA | 1.61 | 3.23 | 1.62 | 0.2 | 4.52 | 25.08 |
| 0.1%KOH + 0.1%SDS + 0.1%LA | 1.66 | 2.98 | 1.32 | 0.25 | 3.97 | 21.74 |
| Stabilization Systems | NH3/% | 0.7 | - | - | - | - | - | - |
|---|---|---|---|---|---|---|---|---|
| KOH/% | - | 0.1 | 0.15 | 0.1 | 0.1 | 0.15 | 0.1 | |
| SDS/% | - | - | - | 0.1 | - | - | 0.1 | |
| LA/% | 0.04 | 0.06 | 0.06 | 0.06 | 0.1 | 0.1 | 0.1 | |
| Tensile stress at 100% elongation/MPa | 0.58 | 0.61 | 0.64 | 0.56 | 0.51 | 0.62 | 0.53 | |
| Tensile stress at 300% elongation/MPa | 0.99 | 1.09 | 1.15 | 1.05 | 0.87 | 1.1 | 0.94 | |
| Tensile stress at 500% elongation/MPa | 1.37 | 1.65 | 1.75 | 1.63 | 1.3 | 1.64 | 1.42 | |
| Tensile strength/MPa | 25.94 | 21.68 | 25.45 | 26.64 | 16.36 | 23.07 | 18.3 | |
| Elongation at break/% | 1156 | 1014 | 1019 | 1058 | 1080 | 1029 | 1013 | |
| Tear strength/KN∙m−1 | 51.04 | 54.78 | 53.44 | 42.89 | 40.27 | 44.31 | 46.98 | |
| Hardness (shore)/° | 31.5 | 31 | 31 | 30.5 | 27.5 | 32 | 30.5 | |
| Stabilization Systems | T0/°C | T50%/°C | Tp/°C | Tf/°C |
|---|---|---|---|---|
| 0.7%NH3 + 0.04%LA | 352.7 | 381.1 | 383.6 | 414.6 |
| 0.15%KOH + 0.06%LA | 353.1 | 376.5 | 384.6 | 413.4 |
| 0.1%KOH + 0.1%SDS + 0.06%LA | 352.7 | 377.5 | 384.6 | 415.9 |
| 0.1%KOH + 0.1%LA | 353.0 | 378.1 | 385.8 | 415.4 |
| Stabilization Systems | Mn/104 | Mw/104 | Distribution Coefficient |
|---|---|---|---|
| 0.7%NH3 + 0.04%LA | 29.52 | 124.14 | 4.21 |
| 0.15%KOH + 0.06%LA | 28.23 | 122.25 | 4.33 |
| 0.1%KOH + 0.1%SDS + 0.06%LA | 30.44 | 129.41 | 4.25 |
| 0.1%KOH + 0.1%LA | 30.00 | 127.31 | 4.24 |
Disclaimer/Publisher’s Note: The statements, opinions and data contained in all publications are solely those of the individual author(s) and contributor(s) and not of MDPI and/or the editor(s). MDPI and/or the editor(s) disclaim responsibility for any injury to people or property resulting from any ideas, methods, instructions or products referred to in the content. |
© 2025 by the authors. Licensee MDPI, Basel, Switzerland. This article is an open access article distributed under the terms and conditions of the Creative Commons Attribution (CC BY) license (https://creativecommons.org/licenses/by/4.0/).
Share and Cite
Zhao, L.; Xing, P.; Zhao, L.; Yang, Q.; Song, Y.; Ding, L.; Zhao, T.; Wang, Y.; Xin, Z.; Gui, H. Optimization Study of a High-Efficiency Preservative for Ammonia-Free Concentrated Natural Rubber Latex. Polymers 2025, 17, 188. https://doi.org/10.3390/polym17020188
Zhao L, Xing P, Zhao L, Yang Q, Song Y, Ding L, Zhao T, Wang Y, Xin Z, Gui H. Optimization Study of a High-Efficiency Preservative for Ammonia-Free Concentrated Natural Rubber Latex. Polymers. 2025; 17(2):188. https://doi.org/10.3390/polym17020188
Chicago/Turabian StyleZhao, Liguang, Peng Xing, Liyang Zhao, Qigui Yang, Yazhong Song, Li Ding, Tao Zhao, Yuekun Wang, Zhenxiang Xin, and Hongxing Gui. 2025. "Optimization Study of a High-Efficiency Preservative for Ammonia-Free Concentrated Natural Rubber Latex" Polymers 17, no. 2: 188. https://doi.org/10.3390/polym17020188
APA StyleZhao, L., Xing, P., Zhao, L., Yang, Q., Song, Y., Ding, L., Zhao, T., Wang, Y., Xin, Z., & Gui, H. (2025). Optimization Study of a High-Efficiency Preservative for Ammonia-Free Concentrated Natural Rubber Latex. Polymers, 17(2), 188. https://doi.org/10.3390/polym17020188

