Experimental Study on Mechanical Performance of Basalt Fiber-Reinforced Polymer Plates with Different Bolted Connection Configurations
Abstract
1. Introduction
1.1. Experimental Setup
1.2. Physical and Mechanical Properties of Materials
1.3. Specimen Preparation
1.4. Loading Test Plan
1.4.1. Loading Device and System
1.4.2. Test Procedure
- (1)
- The study emphasizes comparative performance assessment—specifically, ultimate load and peak displacement—across different connection configurations under identical testing conditions. Crosshead displacement provides a consistent basis for such comparisons.
- (2)
- The failure modes of interest (e.g., shear slip, bearing failure) involve large, global displacements that are adequately captured by crosshead motion.
- (3)
- System compliance was accounted for via prior calibration, and the high stiffness of the testing frame and fixtures relative to the specimens ensured that recorded displacements primarily reflected deformation within the specimen connection.
- (4)
- A constant crosshead displacement rate of 2 mm/min was applied, which falls within the range (1–5 mm/min) permitted by the standard.
- (5)
- An initial preload of 1.5 kN was applied to ensure proper seating of the specimen within the grips and to eliminate any initial slack or misalignment.
2. Test Results and Analysis
2.1. Lap Joint (DJ) Specimen Failure Mode
2.2. Single Lap Joint Specimen (DP) Failure Mode
2.3. Double Lap Joint Specimen (SP) Failure Mode
SEM Electron Microscope Scanning Results
2.4. Load-Displacement Curves
2.4.1. Load-Displacement Curves for Single Lap Joint Specimens
2.4.2. Load-Displacement Curves for Lap Joint Specimens
2.4.3. Load-Displacement Curves for Double Lap Joint Specimens
2.5. Parameter Sensitivity Analysis
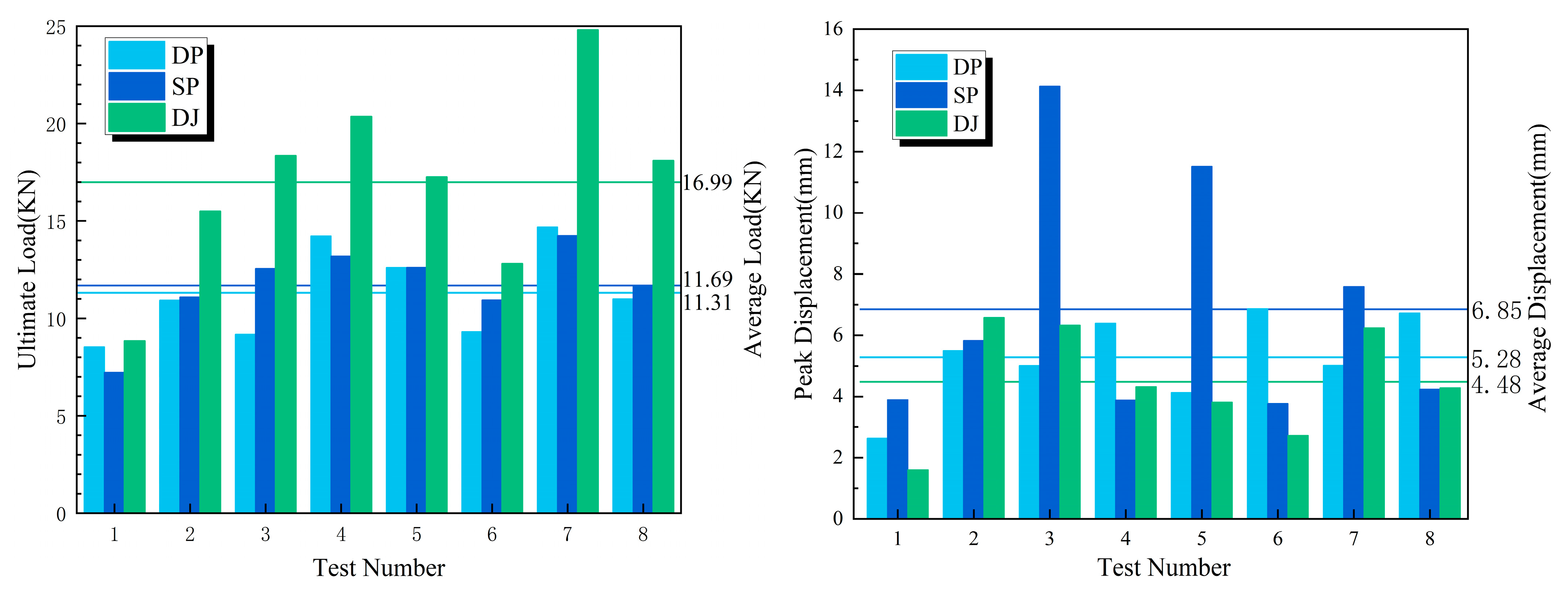
2.5.1. Analysis of Ultimate Load and Peak Displacement Response Values
2.5.2. Range Analysis
2.5.3. Analysis of Variance (ANOVA)
3. Calculation Model for the Load-Bearing Capacity of Bolted-Connection BFRP Plates
3.1. Friction Coefficient Test
3.1.1. Testing Method
3.1.2. Friction Test Results
3.2. Bearing Capacity Calculation
- (1)
- The shear contribution of the bolt shank is neglected (failure occurs exclusively in the base material);
- (2)
- Preload distribution is assumed to be uniform;
- (3)
- Failure progression begins at the first row of bolts and propagates gradually until complete connection failure occurs.


- (1)
- Variability in BFRP material properties;
- (2)
- Inaccuracies in hole positioning and dimensional tolerances during manufacturing;
- (3)
- Non-uniform load distribution among bolt groups;
- (4)
- Preload relaxation induced by testing vibrations.
| Test Number | DP | SP | DJ | ||||||
|---|---|---|---|---|---|---|---|---|---|
| Test Value (Mean) | Calculated Value | Error (%) | Test Value (Mean) | Calculated Value | Error (%) | Test Value (Mean) | Calculated Value | Error (%) | |
| 1 | 8.54 | 8.453 | −0.97 | 7.23 | 8.612 | 19.16 | 8.835 | 10.431 | 18.07 |
| 2 | 10.93 | 9.962 | −9.72 | 11.09 | 8.973 | −19.09 | 15.492 | 12.16 | −21.51 |
| 3 | 9.37 | 12.02 | 21.98 | 12.56 | 13.161 | 4.82 | 18.345 | 17.765 | −3.16 |
| 4 | 14.23 | 16.64 | 13.74 | 13.19 | 15.201 | 15.23 | 20.355 | 23.62 | 16.04 |
| 5 | 12.61 | 11.16 | −11.45 | 12.62 | 11.372 | −9.86 | 17.252 | 15.685 | −9.08 |
| 6 | 9.32 | 10.85 | 17.78 | 10.94 | 11.014 | 0.71 | 12.801 | 12.82 | 0.15 |
| 7 | 14.69 | 16.62 | 11.63 | 14.25 | 16.165 | 13.48 | 24.802 | 25.543 | 2.99 |
| 8 | 10.99 | 12.09 | 9.06 | 11.63 | 13.141 | 12.93 | 18.095 | 18.720 | 3.45 |

3.3. Sensitivity Analysis of the Semi-Empirical Model
3.4. Limitations and Applicability of the Model
- (1)
- Shear slip along the bolt hole to the end distance;
- (2)
- Pure tensile loading without significant bending moments;
- (3)
- Accurate and consistent bolt preload application.
3.5. Comparison with Design Code Requirements
- (1)
- Ultimate Bearing Capacity Comparison
- (2)
- Conformance with Deformation Requirements in Codes
- (3)
- Preload Control Consistency with Standards
4. Conclusions
- (1)
- In the lap joint group, stress concentration at the hole edges triggered longitudinal shear crack initiation, along with bolt hole deformation due to compression. Stress concentration at the bolt-hole wall interface caused base material cracking and fiber shear failure. In the single lap joint group, asymmetric loading induced bending moments, leading to bolt tilting and embedment into the hole walls, thereby exacerbating bolt hole compression damage. The double-lap joint’s bilateral constraints suppressed bolt tilting, extended the shear slip path, and resulted in a relatively singular failure mode.
- (2)
- The number of bolts and bolt preload control the ultimate load capacity of DJ and SP connection configurations. In contrast, bolt preload controls the ultimate load capacity of the DP connection configurations. Bolt material and connection length have no significant effect on the ultimate load capacity of these three connection configurations.
- (3)
- Ultimate load ranking: DJ > SP > DP; deformation capacity ranking: SP > DP > DJ. The DJ connection configurations (DJ7 and DJ3 offer the best overall performance) are suitable for critical load-bearing components such as main support structures and wind cable connection points. The DP connection configurations (DP4 offers the best overall performance) are only suitable for non-critical areas with very small loads such as purlin connections and secondary structural connections. Special attention should be paid to the long-term performance degradation risks caused by bolt tilting and embedment issues. The SP connection configurations (SP7 and SP5 offer the best overall performance) are relatively complex. They are suitable for distributed rooftop photovoltaic systems (where people or property exist below) and scenarios where maintenance is inconvenient.
- (4)
- A semi-empirical bearing capacity model (Pu = ) applicable to slip-dominated failure modes was proposed. The introduction of the friction decay coefficient (α) and unilateral compression correction factor (Ks) in the formulation demonstrates reasonable accuracy.
Author Contributions
Funding
Data Availability Statement
Conflicts of Interest
Abbreviations
| BFRP | Basalt fiber-reinforced polymer |
| DJ | Lap joint |
| DP | Single lap joint |
| SP | Double lap joint |
References
- Nan, B.; Chi, Y.; Jiang, Y.; Bai, Y. Wind Load and Wind-Induced Vibration of Photovoltaic Supports: A Review. Sustainability 2024, 16, 2551. [Google Scholar] [CrossRef]
- Lou, Y.; Zhang, J.; Pan, Y. Static and Dynamic Response Analysis of Flexible Photovoltaic Mounts. Buildings 2024, 14, 2037. [Google Scholar] [CrossRef]
- Chen, R.; Qin, L.; You, Z.; Hou, P.; Hao, J.; Niu, D. Structural analysis of basalt fiber pultruded profiles for photovoltaic support in inner Mongolia desert region. J. Phys. Conf. Ser. 2025, 3009, 012092. [Google Scholar] [CrossRef]
- Al-Zu’bi, M.; Shamass, R.; Ferreira, F.P.V. Mechanical performance and life cycle assessment of BFRP-reinforced AAC slabs strengthened with basalt macro-fibers. Constr. Build. Mater. 2025, 461, 139917. [Google Scholar] [CrossRef]
- Wang, B.; Xu, L.; Chen, T.; Hou, B.; Liu, J.; Shen, Y.; Kuang, R. High-Temperature Mechanical Properties of Basalt Fibers: A Step Towards Fire-Safe Materials for Photovoltaic Applications. Sustainability 2024, 16, 10853. [Google Scholar] [CrossRef]
- Li, H.; Guo, F.; Han, C.; Su, W.; Wen, S. Mechanical Properties of Carbon Fiber-Reinforced Plastic with Two Types of Bolted Connections at Low Temperatures. Polymers 2024, 16, 1715. [Google Scholar] [CrossRef] [PubMed]
- Mohapatra, R.; Narayanamurthy, V.; Ramji, M.; Sidhardh, S. Modeling of CFRP hybrid lap joints via energy-based 2D framework. Int. J. Mech. Sci. 2025, 288, 109986. [Google Scholar] [CrossRef]
- Shulman, S.; Loss, C. High-performance grout-reinforced shear connectors for hybrid steel-cross-laminated timber building systems: Experimental study. J. Build. Eng. 2023, 67, 106014. [Google Scholar] [CrossRef]
- Zuo, Y.; Yue, T.; Cao, Z.; Yang, L. Bolt insertion damage and mechanical behaviors investigation of CFRP/CFRP interference fit bolted joints. Chin. J. Aeronaut. 2022, 35, 354–365. [Google Scholar] [CrossRef]
- Qin, X.; Cao, X.; Li, H.; Zhou, M.; Ge, E.; Li, Y. Effects of countersunk hole geometry errors on the fatigue performance of CFRP bolted joints. Proc. Inst. Mech. Eng. Part B J. Eng. Manuf. 2022, 236, 337–347. [Google Scholar] [CrossRef]
- Zou, F.; Dang, J.; Chen, T.; An, Q.; Chen, M. Evaluation of typical hole-making strategies on mechanical behavior of CFRP/Ti single-lap bolted joints. Compos. Struct. 2023, 305, 116511. [Google Scholar] [CrossRef]
- Lin, Q.; Zhao, Y.; Ren, Y.; Liu, Y.; Pan, W.; Yu, W.; Zhang, X. Simulation-Experiment Fusion-Driven Fast Prediction Method for Bearing Limits of Composite Bolted Assembly Systems. Thin-Walled Struct. 2025, 215, 113397. [Google Scholar] [CrossRef]
- Zhao, S.; Sun, Q.; Zhang, Y.; Jia, J. Parametric influences of geometric dimensions on high temperature mechanical behaviors and damage mechanisms of ceramic matrix composite and super alloy double bolted joints. Int. J. Aerosp. Eng. 2022, 2022, 7169123. [Google Scholar] [CrossRef]
- Shi, J.; Yang, X.; Du, K.; Guo, Q.; Bai, Z. Effects of structural parameters on the load distribution unevenness in CFRP hybrid bonded-bolted joint. Polym. Compos. 2025, 46, 4688–4702. [Google Scholar] [CrossRef]
- Zuo, Y.; Wang, Z.; Jiao, Y.; Pei, X. Progressive damage and stiffness degradation assessments of double-lap CFRP/Ti interference fit bolted joints under quasi-static tensile load. Polym. Compos. 2025, 46, 794–808. [Google Scholar] [CrossRef]
- Liu, X.C.; Pu, S.H.; Zhang, A.L.; Zhan, X.X. Performance analysis and design of bolted connections in modularized prefabricated steel structures. J. Constr. Steel Res. 2017, 133, 360–373. [Google Scholar] [CrossRef]
- Olmedo, Á.; Santiuste, C. On the prediction of bolted single-lap composite joints. Compos. Struct. 2012, 94, 2110–2117. [Google Scholar] [CrossRef]
- Duc, T.Q.; Nhut, P.V.; Matsumoto, Y. Strengthening of multi-bolted connections in pultruded GFRP by glass fiber sheets: An experimental study. Appl. Compos. Mater. 2023, 30, 833–856. [Google Scholar] [CrossRef]
- Chybiński, M.; Polus, Ł. Experimental study of aluminium-timber composite bolted connections strengthened with toothed plates. Materials 2022, 15, 5271. [Google Scholar] [CrossRef]
- Sun, H.T.; Chang, F.K.; Qing, X. The response of composite joints with bolt-clam** loads, part II: Model verification. J. Compos. Mater. 2002, 36, 69–92. [Google Scholar] [CrossRef]
- Zhu, Q.; Liu, M.; Lv, B.; Zhang, L.; Wang, P.; Chen, L.; Jiang, L. Load-carrying capacity and design method for thread-fixed one-side bolts connected CHS K-joints. J. Constr. Steel Res. 2025, 234, 109753. [Google Scholar] [CrossRef]
- Liu, B.; Wang, Y.; Zhang, J.; Dong, Q.; Zhang, C.; Zhu, L. A novel approach to fatigue life prediction of lock bolt structures considering coating thickness and local plasticity effects. Eng. Fail. Anal. 2025, 180, 109878. [Google Scholar] [CrossRef]
- ASTM D3039/D3039M; Standard Test Method for Tensile Properties of Polymer Matrix Composite Materials. ASTM International: West Conshohocken, PA, USA, 2014.
- ASTM D 5961-17; Standard Test Method for Bearing Resp Onse of Polymer Matrix Composite Laminates. American Society for Testing of Materials: West Conshohocken, PA, USA, 2017.
- Luo, J.; Wu, G.; Zhao, G.; Ma, Y.; Fang, Z.; Fang, S. Experimental and numerical analysis on shear performance of single embedded nut bolted shear connectors in prefabricated steel-UHPC composite structures under cyclic loading. Structures 2025, 73, 108446. [Google Scholar] [CrossRef]
- Kumar, S.; Yoo, D.H.; Song, J.S.; Kim, H.S. Effect of Geometric Configurations and Heat Treatment on the Tensile Properties, Joint Performance, and Failure Behavior of 3D-Printed Carbon and Glass Fiber Composites. Compos. Part B Eng. 2025, 304, 112693. [Google Scholar] [CrossRef]
- Cui, H.; Ding, Q. Ultimate strength and fracture failure of hull stiffened plates based on plastic accumulation under cyclic loading. Ocean Eng. 2022, 261, 112016. [Google Scholar] [CrossRef]
- Han, L.J.; Li, G.J.; Wang, R. Study of Weldability of FSPR Joints in Steel/Al Alloy Hybrid Body. Mater. Sci. Forum 2025, 1151, 49–59. [Google Scholar] [CrossRef]
- Qin, X.; Feng, G.; Meng, X.; Zhang, S.; Li, S.; Li, H. The Investigation of Preload Relaxation Behavior of CFRP Bolted Joints Under Thermal-Oxygen Environment: Modeling and Experiments. Appl. Compos. Mater. 2024, 31, 1323–1342. [Google Scholar] [CrossRef]
- Elgohary, H.A. Comparative reliability analysis of punching shear design for edge column-flat slab connections without shear reinforcement. J. Umm Al-Qura Univ. Eng. Archit. 2025, 16, 682–693. [Google Scholar] [CrossRef]
- Xu, L.; Zhang, Y.; Zhang, Z.; Taylor, S.; Chen, M.; Wang, X. Experimental investigation on thermal performance of self-service cold storage cabinet based on the orthogonal test. Appl. Therm. Eng. 2024, 242, 122315. [Google Scholar] [CrossRef]
- Kim, Y.; Choi, S.; Kim, C. Effectiveness of prestressed CFRP sheets in alleviating heavy-weight impact sound. J. Build. Eng. 2025, 100, 111698. [Google Scholar] [CrossRef]
- Zheng, Y.H.; Zhong, W.H.; Zhang, Y.; Tan, Z.; Duan, S.C.; Meng, B.; Wang, H.C. Failure mechanism of steel frames with angle steel-bolted connections exposed to fire under progressive collapse condition. Eng. Fail. Anal. 2024, 155, 107744. [Google Scholar] [CrossRef]
- ASTM G133-22; Standard Test Method for Linearly Reciprocating Ball-on-Flat Sliding Wear. ASTM International: West Conshohocken, PA, USA, 2022.
- Chen, Y.; Yamaguchi, T.; Hayashi, G.; Yamauchi, M.; Ueno, K. Load transfer mechanism and design strength of hybrid bolted joint with friction-and bearing-type connections. Structures 2025, 71, 108020. [Google Scholar] [CrossRef]
- Zhang, T.; Bu, Y.; Wang, Y.; Chen, Z.; He, W.; Heng, Y. Experimental study on mechanical properties and tightening method of stainless steel high-strength bolts. Eng. Struct. 2023, 290, 116176. [Google Scholar] [CrossRef]
- Xu, K.; Yang, L.; Mi, S.; Han, Y. Slip-resistant performance and design method of novel steel one-sided bolted slip-resistant connections. J. Constr. Steel Res. 2024, 222, 108943. [Google Scholar] [CrossRef]
- Gaiotti, M.; Ravina, E.; Rizzo, C.M.; Ungaro, A. Testing and simulation of a bolted and bonded joint between steel deck and composite side shell plating of a naval vessel. Eng. Struct. 2018, 172, 228–238. [Google Scholar] [CrossRef]

























| Levels | Factors | ||||||
|---|---|---|---|---|---|---|---|
| E (Bolt End Distance) | S (Number of Bolts) | L (Connection Length) | D (Bolt Diameter) | T (Bolt Preload Torque) | M (Bolt Material) | Empty Column | |
| 1 | 15 mm | 4 | 100 mm | 6 mm | 6 N·m | Carbon steel | - |
| 2 | 20 mm | 8 | 120 mm | 8 mm | 10 N·m | Stainless steel | - |
| Joint Configurations | Test Number | Factors | ||||||
|---|---|---|---|---|---|---|---|---|
| E (Bolt End Distance) (mm) | S (Number of Bolts) | L (Connection Length) (mm) | D (Bolt Diameter) (mm) | T (Bolt Preload Torque) (N·m) | M (Bolt Material) | Empty Column | ||
| DJ | 1 | 15 | 4 | 100 | 6 | 6 | Carbon steel | - |
| 2 | 15 | 4 | 120 | 8 | 10 | Stainless steel | ||
| DP | 3 | 15 | 8 | 100 | 8 | 6 | Stainless steel | |
| 4 | 15 | 8 | 120 | 6 | 10 | Carbon steel | ||
| 5 | 20 | 4 | 100 | 8 | 10 | Carbon steel | ||
| 6 | 20 | 4 | 120 | 6 | 6 | Stainless steel | ||
| SP | 7 | 20 | 8 | 100 | 6 | 10 | Stainless steel | |
| 8 | 20 | 8 | 120 | 8 | 6 | Carbon steel | ||
| Density | Longitudinal Tensile Strength | Longitudinal Tensile Modulus | Elongation at Break | Transverse Shear Strength | Longitudinal Shear Strength | Axial Compressive Strength |
|---|---|---|---|---|---|---|
| 20.26 kg/m2 | 649.97 MPa | 38.75 GPa | 6.12% | 60.12 MPa | 45.31 MPa | 406.00 MPa |
| Fiber Content | Ply Count | Manufacturing Process | Thickness | Fiber Volume Fraction | Post-Curing |
|---|---|---|---|---|---|
| 76.12% | 20 | Pultrusion | 2 ± 0.18 mm | 46.20% | - |
| Tensile Strength | Yield Strength | Density | Poisson’s Ratio | Elastic Modulus |
|---|---|---|---|---|
| 315.00 MPa | 280.00 MPa | 2.68 g/cm3 | 0.32 | 68.80 GPa |
| Test Number | Ultimate Load (kN) | Peak Displacement (mm) | ||||||||||||
|---|---|---|---|---|---|---|---|---|---|---|---|---|---|---|
| DP1 | DP2 | DP3 | Mean | Std | Range | CV (%) | DP1 | DP2 | DP3 | Mean | Std | Range | CV (%) | |
| 1 | 7.82 | 8.92 | 8.88 | 8.54 | 0.58 | 1.1 | 6.8 | 2.41 | 2.72 | 2.78 | 2.64 | 0.19 | 0.37 | 8.2 |
| 2 | 9.65 | 11.48 | 11.72 | 10.93 | 1.04 | 2.07 | 9.5 | 5.12 | 5.67 | 5.68 | 5.49 | 0.32 | 0.56 | 5.8 |
| 3 | 8.95 | 9.36 | 9.73 | 9.37 | 0.64 | 1.28 | 7.0 | 4.63 | 5.21 | 5.22 | 5.02 | 0.34 | 0.59 | 6.8 |
| 4 | 13.05 | 14.68 | 14.93 | 14.22 | 0.94 | 1.88 | 6.6 | 5.92 | 6.67 | 6.58 | 6.39 | 0.41 | 0.75 | 6.4 |
| 5 | 11.58 | 12.84 | 13.41 | 12.61 | 0.92 | 1.83 | 7.3 | 3.78 | 4.28 | 4.35 | 4.14 | 0.31 | 0.57 | 7.5 |
| 6 | 8.52 | 9.68 | 9.76 | 9.32 | 0.65 | 1.24 | 6.9 | 6.32 | 7.25 | 7.05 | 6.87 | 0.47 | 0.93 | 6.8 |
| 7 | 13.58 | 15.12 | 15.37 | 14.69 | 0.90 | 1.79 | 6.1 | 4.58 | 5.27 | 5.22 | 5.02 | 0.38 | 0.69 | 9.6 |
| 8 | 10.25 | 11.38 | 11.34 | 10.99 | 0.61 | 1.13 | 5.5 | 6.18 | 7.13 | 6.95 | 6.75 | 0.49 | 0.95 | 7.3 |
| Test Number | Ultimate Load (kN) | Peak Displacement (mm) | ||||||||||||
|---|---|---|---|---|---|---|---|---|---|---|---|---|---|---|
| SP1 | SP2 | SP3 | Mean | Std | Range | CV (%) | SP1 | SP2 | SP3 | Mean | Std | Range | CV (%) | |
| 1 | 6.78 | 7.45 | 7.46 | 7.23 | 0.39 | 0.68 | 5.4 | 3.62 | 4.05 | 4.04 | 3.9 | 0.25 | 0.43 | 6.4 |
| 2 | 10.25 | 11.58 | 11.44 | 11.09 | 0.67 | 1.33 | 6 | 5.42 | 5.98 | 6.12 | 5.83 | 0.48 | 0.95 | 8.2 |
| 3 | 11.85 | 12.78 | 13.05 | 12.56 | 0.60 | 1.20 | 4.8 | 12.85 | 14.48 | 15.06 | 14.13 | 1.11 | 2.21 | 7.9 |
| 4 | 12.45 | 13.58 | 13.54 | 13.19 | 0.62 | 1.13 | 4.7 | 3.52 | 3.98 | 4.11 | 3.87 | 0.43 | 0.85 | 11.1 |
| 5 | 11.85 | 12.78 | 13.23 | 12.62 | 0.69 | 1.38 | 5.5 | 10.58 | 11.85 | 12.11 | 11.51 | 0.77 | 1.53 | 6.7 |
| 6 | 10.25 | 11.05 | 11.52 | 10.94 | 0.64 | 1.27 | 5.8 | 3.45 | 3.88 | 3.95 | 3.77 | 0.43 | 0.85 | 11.4 |
| 7 | 13.45 | 14.58 | 14.72 | 14.25 | 1.31 | 2.46 | 9.2 | 6.95 | 7.78 | 8.01 | 7.58 | 0.53 | 1.06 | 7 |
| 8 | 10.95 | 11.85 | 12.09 | 11.63 | 0.57 | 1.14 | 4.9 | 3.91 | 4.38 | 4.4 | 4.23 | 0.28 | 0.49 | 6.6 |
| Test Number | Ultimate Load (kN) | Peak Displacement (mm) | ||||||||||||
|---|---|---|---|---|---|---|---|---|---|---|---|---|---|---|
| DJ1 | DJ2 | DJ3 | Mean | Std | Range | CV (%) | DJ1 | DJ2 | DJ3 | Mean | Std | Range | CV (%) | |
| 1 | 8.25 | 8.95 | 9.32 | 8.84 | 0.54 | 1.07 | 6.1 | 1.40 | 1.75 | 1.70 | 1.62 | 0.18 | 0.35 | 11.1 |
| 2 | 14.58 | 15.78 | 16.11 | 15.49 | 1.29 | 2.57 | 8.3 | 5.95 | 6.85 | 6.95 | 6.58 | 0.50 | 1.00 | 7.6 |
| 3 | 17.45 | 18.55 | 19.05 | 18.35 | 0.80 | 1.60 | 4.4 | 5.65 | 6.55 | 6.75 | 6.32 | 0.55 | 1.10 | 8.7 |
| 4 | 19.65 | 20.45 | 20.95 | 20.35 | 1.67 | 3.13 | 8.2 | 3.85 | 4.55 | 4.55 | 4.32 | 0.40 | 0.71 | 9.3 |
| 5 | 16.45 | 17.35 | 17.95 | 17.25 | 1.51 | 3.02 | 8.8 | 3.35 | 4.05 | 4.00 | 3.8 | 0.35 | 0.69 | 8.2 |
| 6 | 12.25 | 12.85 | 13.30 | 12.80 | 0.53 | 1.05 | 4.1 | 2.40 | 2.90 | 2.85 | 2.72 | 0.27 | 0.50 | 9.9 |
| 7 | 23.85 | 24.95 | 25.60 | 24.8 | 2.23 | 4.46 | 9.0 | 5.65 | 6.55 | 6.50 | 6.23 | 0.45 | 0.90 | 7.4 |
| 8 | 17.45 | 18.25 | 18.57 | 18.09 | 1.59 | 3.17 | 8.8 | 3.85 | 4.55 | 4.45 | 4.28 | 0.35 | 0.70 | 8.2 |
| Bolt Joint Configurations | Range of Ultimate Load R1 (kN) | |||||
|---|---|---|---|---|---|---|
| Bolt End Distance | Number of Bolts | Connection Length | Bolt Diameter | Bolt Preload | Bolt Material | |
| DJ | 0.756 | 7.153 | 0.629 | 0.923 | 8.108 | 0.049 |
| DP | 1.208 | 1.901 | 0.040 | 0.688 | 3.681 | 0.887 |
| SP | 0.894 | 2.342 | 0.500 | 0.672 | 3.594 | 1.186 |
| Bolt Joint Configurations | Range of Peak Displacement R2 (mm) | |||||
|---|---|---|---|---|---|---|
| Bolt End Distance | Number of Bolts | Connection Length | Bolt Diameter | Bolt Preload | Bolt Material | |
| DJ | 0.447 | 1.557 | 1.503 | 1.514 | 1.503 | 1.965 |
| DP | 0.804 | 1.006 | 2.166 | 0.186 | 0.935 | 0.950 |
| SP | 0.208 | 1.256 | 3.814 | 1.002 | 0.750 | 3.010 |
| Factors | DP | F (Critical Value) | Significance | |||||
|---|---|---|---|---|---|---|---|---|
| MS | p | df (Between Groups) | df (Within Groups) | α | F | |||
| Bolt edge distance | 2.588 | 0.532 | 1 | 6 | 0.05 | 0.448 | 5.987 | - |
| Number of bolts | 5.600 | 0.283 | 4.021 | - | ||||
| Connection length | 0.003 | 0.983 | 0.002 | - | ||||
| Bolt diameter | 18.214 | 0.047 | 6.350 | * | ||||
| Bolt preload | 18.00 | 0.143 | 13.546 | * | ||||
| Bolt material | 0.520 | 0.780 | 0.842 | - | ||||
| Factors | SP | F (Critical Value) | Significance | |||||
|---|---|---|---|---|---|---|---|---|
| MS | p | df (Between Groups) | df (Within Groups) | α | F | |||
| Bolt edge distance | 0.055 | 0.940 | 1 | 6 | 0.05 | 0.882 | 5.987 | - |
| Number of bolts | 42.780 | 0.009 | 6.671 | * | ||||
| Connection length | 5.198 | 0.395 | 0.263 | - | ||||
| Bolt diameter | 0.240 | 0.863 | 0.464 | - | ||||
| Bolt preload | 17.694 | 0.031 | 12.889 | * | ||||
| Bolt material | 1.530 | 0.645 | 1.460 | - | ||||
| Factors | DJ | F (Critical Value) | Significance | |||||
|---|---|---|---|---|---|---|---|---|
| MS | p | df (Between Groups) | df (Within Groups) | α | F | |||
| Bolt edge distance | 6.250 | 0.629 | 1 | 6 | 0.05 | 3.156 | 5.987 | - |
| Number of bolts | 19.440 | 0.935 | 51.302 | * | ||||
| Connection length | 0.005 | 0.989 | 0.876 | - | ||||
| Bolt diameter | 0.240 | 0.928 | 0.256 | - | ||||
| Bolt preload | 93.872 | 0.034 | 65.780 | ** | ||||
| Bolt material | 0.255 | 0.450 | 0.002 | - | ||||
| Mean Friction Coefficient | Standard Deviation | Minimum Value | Maximum Value | |
|---|---|---|---|---|
| μ1 The friction coefficient between BFRP plates | 0.3026 | 0.093 | 0.162 | 0.442 |
| μ2The friction coefficient between BFRP plate and aluminum alloy plate | 0.2547 | 0.081 | 0.158 | 0.418 |
| α\μ | 0.20 | 0.22 | 0.24 | 0.26 | 0.28 | 0.30 |
|---|---|---|---|---|---|---|
| 0.75 | 13,946.67 | 14,613.33 | 15,280.00 | 15,946.67 | 16,613.33 | 17,280.00 |
| 0.77 | 14,124.44 | 14,808.89 | 15,493.33 | 16,177.78 | 16,862.22 | 17,546.67 |
| 0.79 | 14,302.22 | 15,004.44 | 15,706.67 | 16,408.89 | 17,111.11 | 17,813.33 |
| 0.81 | 14,480.00 | 15,200.00 | 15,920.00 | 16,640.00 | 17,360.00 | 18,080.00 |
| 0.83 | 14,657.78 | 15,395.56 | 16,133.33 | 16,871.11 | 17,608.89 | 18,346.67 |
| 0.85 | 14,835.56 | 15,591.11 | 16,346.67 | 17,102.22 | 17,857.78 | 18,613.33 |
| α\μ | 0.20 | 0.22 | 0.24 | 0.26 | 0.28 | 0.30 |
|---|---|---|---|---|---|---|
| 0.75 | −10.0% | −5.7% | −1.4% | 2.9% | 7.2% | 11.5% |
| 0.77 | −8.8% | −4.4% | 0.0% | 4.4% | 8.8% | 13.2% |
| 0.79 | −7.7% | −3.1% | 1.4% | 5.9% | 9.4% | 15.0% |
| 0.81 | −6.5% | −1.9% | 2.8% | 7.4% | 11.0% | 16.7% |
| 0.83 | −5.4% | −0.6% | 4.1% | 8.9% | 12.6% | 17.4% |
| 0.85 | −4.3% | 0.6% | 5.5% | 10.4% | 13.2% | 19.1% |
Disclaimer/Publisher’s Note: The statements, opinions and data contained in all publications are solely those of the individual author(s) and contributor(s) and not of MDPI and/or the editor(s). MDPI and/or the editor(s) disclaim responsibility for any injury to people or property resulting from any ideas, methods, instructions or products referred to in the content. |
© 2025 by the authors. Licensee MDPI, Basel, Switzerland. This article is an open access article distributed under the terms and conditions of the Creative Commons Attribution (CC BY) license (https://creativecommons.org/licenses/by/4.0/).
Share and Cite
Gao, Z.; Pan, D.; Qin, Q.; Zhang, C.; He, J.; Lin, Q. Experimental Study on Mechanical Performance of Basalt Fiber-Reinforced Polymer Plates with Different Bolted Connection Configurations. Polymers 2025, 17, 2627. https://doi.org/10.3390/polym17192627
Gao Z, Pan D, Qin Q, Zhang C, He J, Lin Q. Experimental Study on Mechanical Performance of Basalt Fiber-Reinforced Polymer Plates with Different Bolted Connection Configurations. Polymers. 2025; 17(19):2627. https://doi.org/10.3390/polym17192627
Chicago/Turabian StyleGao, Zhigang, Dongzi Pan, Qing Qin, Chenghua Zhang, Jiachen He, and Qi Lin. 2025. "Experimental Study on Mechanical Performance of Basalt Fiber-Reinforced Polymer Plates with Different Bolted Connection Configurations" Polymers 17, no. 19: 2627. https://doi.org/10.3390/polym17192627
APA StyleGao, Z., Pan, D., Qin, Q., Zhang, C., He, J., & Lin, Q. (2025). Experimental Study on Mechanical Performance of Basalt Fiber-Reinforced Polymer Plates with Different Bolted Connection Configurations. Polymers, 17(19), 2627. https://doi.org/10.3390/polym17192627

