Relaxation of Shear-Induced Orientation and Textures in Semi-Dilute DNA Solutions
Abstract
1. Introduction
2. Materials and Methods
2.1. Materials and Preparation of Solutions
2.2. Small-Angle X-Ray Scattering Measurements
2.3. Rheological Measurements
- (a)
- Dynamic measurements: Strain measurements were performed to determine the behavior of CT-DNA/TE buffer solutions in the linear domain. The linear viscoelastic regime (LVR) was determined by performing strain sweeps at an angular frequency of 1 Hz, with strain values ranging from 0.1% to 500% and data points recorded every 10 s.
- (b)
- Steady state flow measurements: Upward and downward measurements were performed over a shear rate range from 10−3 to 1000 s−1. At each selected shear rate, the sample was allowed to flow until the measured shear stress reached a constant value, indicating that the stationary state had been reached.
- (c)
- Transient measurements: The transient shear stress behavior was evaluated by applying shear rates ranging from 10−2 to 1000 s−1, with measurement duration of at least 100 s, depending on the applied shear rate.
- (d)
- Relaxation measurements: To evaluate the relaxation behavior of CT-DNA/TE buffer solutions, shear rates ranging from 0.005 to 1000 s−1 were applied for at least 100 s, depending on the shear rate. After stopping the shear, the subsequent decrease in shear stress was recorded over a 400 s period.
2.4. Visual Observations Under Crossed-Polarizers
2.5. Small-Angle X-Ray Scattering Measurements Coupled to Rheology
3. Results and Discussion
3.1. Steady State Measurements
3.1.1. Organization of CT-DNA/TE Solutions by SAXS Measurements
3.1.2. Qualitative Flow Birefringence
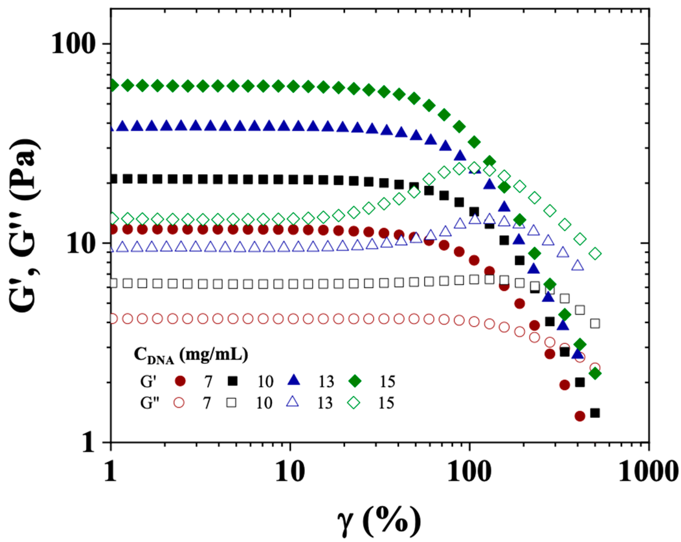
3.1.3. Steady State, Viscoelastic and Birefringence Properties
3.1.4. Steady State Rheo-SAXS
3.2. Relaxation of CT-DNA Solutions After Flow Shearing
3.2.1. Rheological Measurements Coupled with Birefringent Observations
3.2.2. Qualitative Birefringence Relaxation
3.2.3. Structural Relaxation of CT-DNA Solutions Observed by Rheo-SAXS Measurements
4. Conclusions
Supplementary Materials
Author Contributions
Funding
Data Availability Statement
Acknowledgments
Conflicts of Interest
References
- Wang, F.; Li, P.; Chu, H.C.; Lo, P.K. Nucleic Acids and Their Analogues for Biomedical Applications. Biosensors 2022, 12, 93. [Google Scholar] [CrossRef]
- Wood, R.D.; Mitchell, M.; Sgouros, J.; Lindahl, T. Human DNA repair genes. Science 2001, 291, 1284–1289. [Google Scholar] [CrossRef]
- Bravo-Anaya, L.M.; Rinaudo, M.; Soltero Martínez, F.A. Conformation and Rheological Properties of Calf-Thymus DNA in Solution. Polymers 2016, 8, 51. [Google Scholar] [CrossRef]
- Lipfert, J.; Doniach, S.; Das, R.; Herschlag, D. Understanding nucleic acid-ion interactions. Annu. Rev. Biochem. 2014, 83, 813–841. [Google Scholar] [CrossRef]
- Frank-Kamenetskii, M.D. Biophysics of the DNA Molecule. Phys. Rep. 1997, 288, 13–60. [Google Scholar] [CrossRef]
- Odijk, T. On the ionic-strength dependence of the intrinsic viscosity of DNA. Biopolymers 1979, 18, 3111–3113. [Google Scholar] [CrossRef]
- Manning, G.S. Is a Small Number of Charge Neutralizations Sufficient to Bend Nucleosome Core DNA onto Its Superhelical Ramp? J. Am. Chem. Soc. 2003, 125, 15087–15092. [Google Scholar] [CrossRef]
- Manning, G.S. The Persistence Length of DNA Is Reached from the Persistence Length of Its Null Isomer through an Internal Electrostatic Stretching Force. Biophys. J. 2006, 91, 3607–3616. [Google Scholar] [CrossRef]
- Bravo-Anaya, L.M.; Macías, E.R.; Pérez-López, J.H.; Galliard, H.; Roux, D.C.D.; Landazuri, G.; Carvajal Ramos, F.; Rinaudo, M.; Pignon, F.; Soltero, J.F.A. Supramolecular Organization in Calf-Thymus DNA Solutions under Flow in Dependence with DNA Concentration. Macromolecules 2017, 50, 8245–8257. [Google Scholar] [CrossRef]
- Duzdevich, D.; Redding, S.; Greene, E.C. DNA Dynamics and Single-Molecule Biology. Chem. Rev. 2014, 114, 3072–3086. [Google Scholar] [CrossRef]
- Linak, M.C.; Tourdot, R.; Dorfman, K.D. Moving beyond Watson–Crick Models of Coarse Grained DNA Dynamics. J. Chem. Phys. 2011, 135, 205102. [Google Scholar] [CrossRef]
- Regan, K.; Ricketts, S.; Robertson-Anderson, R. DNA as a Model for Probing Polymer Entanglements: Circular Polymers and Non-Classical Dynamics. Polymers 2016, 8, 336. [Google Scholar] [CrossRef]
- Sazer, S.; Schiessel, H. The biology and polymer physics underlying large-scale chromosome organization, The biology and polymer physics underlying large-scale chromosome organization. Traffic 2018, 19, 87–104. [Google Scholar] [CrossRef]
- Flory, P.J. Phase Equilibria in Solutions of Rod-like Particles. Proc. R. Soc. Lond. Ser. A Math. Phys. Sci. 1956, 234, 73–89. [Google Scholar] [CrossRef]
- Livolant, F. Precholesteric Liquid Crystalline States of DNA. J. Phys. 1987, 48, 1051–1066. [Google Scholar] [CrossRef]
- Bravo-Anaya, L.M.; Roux, D.C.D.; Soltero Martínez, J.F.A.; Carvajal Ramos, F.; Pignon, F.; Mannix, O.; Rinaudo, M. Role of Electrostatic Interactions on Supramolecular Organization in Calf-Thymus DNA Solutions under Flow. Polymers 2018, 10, 1204. [Google Scholar] [CrossRef]
- Porsch, B.; Laga, R.; Horský, J.; Konák, C.; Ulbrich, K. Molecular weight and polydispersity of calf-thymus DNA: Static light-scattering and size-exclusion chromatography with dual detection. Biomacromolecules 2009, 10, 3148–3150. [Google Scholar] [CrossRef]
- Tanigawa, M.; Suzuzuto, M.; Fukudome, K.; Yamaoka, K. Changes in Molecular Weights and Molecular Weight Distributions of Differently Stranded Nucleic Acids after Sonication: Gel Permeation Chromatography/Low Angle Laser Light Scattering Evaluation and Computer Simulation. Macromolecules 1996, 29, 7418–7425. [Google Scholar] [CrossRef]
- Sundaresan, N.; Suresh, C.H.; Thomas, T.; Thomas, T.J.; Pillai, C.K.S. Liquid Crystalline Phase Behavior of High Molecular Weight DNA: A Comparative Study of the Influence of Metal Ions of Different Size, Charge and Binding Mode. Biomacromolecules 2008, 9, 1860–1869. [Google Scholar] [CrossRef]
- Denis, C.; Roux, D.C.; Berret, J.F.; Porte, G.; Peuvrel-Disdier, E.; Lindner, P. Shear-Induced Orientations and Textures of Nematic Wormlike Micelles. Macromolecules 1995, 28, 1681–1687. [Google Scholar] [CrossRef]
- Messner, E.; Becker, L.; DeSanctis, M.L.; Soranno, E.A.; Pianka, R.; Pierce, C.; Johnson, M.; Poulin, R.F.; Appiah-Madson, H.J.; Distel, D.L. Perish the thawed? EDTA reduces DNA degradation during extraction from frozen tissue. PLoS ONE 2025, 20, e0321872. [Google Scholar] [CrossRef]
- Yagi, N.; Satonaka, K.; Horio, M.; Shimogaki, H.; Tokuda, Y.; Maeda, S. The Role of DNase and EDTA on DNA Degradation in Formaldehyde Fixed Tissues. Biotech. Histochem. 1996, 71, 123–129. [Google Scholar] [CrossRef] [PubMed]
- Narayanan, T.; Sztucki, M.; Zinn, T.; Kieffer, J.; Homs-Puron, A.; Gorini, J.; Van Vaerenbergh, P.; Boesecke, P. Performance of the time-resolved ultra-small-angle X-ray scattering beamline with the Extremely Brilliant Source. J. Appl. Cryst. 2022, 55, 98. [Google Scholar] [CrossRef]
- Laporte, L.; Ducouret, G.; Gobeaux, F.; Lesaine, A.; Hotton, C.; Bizien, T.; Michot, L.; de Viguerie, L. Rheo-SAXS Characterization of Lead-Treated Oils: Understanding the Influence of Lead Driers on Artistic Oil Paint’s Flow Properties. J. Colloid Interface Sci. 2023, 633, 566–574. [Google Scholar] [CrossRef]
- Sztucki, M. SAXSutilities: A Graphical User Interface for Processing and Analysis of Small-Angle X-Ray Scattering Data; version 1.024; Zenodo. 2021. Available online: https://zenodo.org/records/5825707 (accessed on 13 July 2025).
- de Silva, J.P.; Petermann, D.; Kasmi, B.; Impéror-Clerc, M.; Davidson, P.; Pansu, B.; Meneau, F.; Perez, J.; Paineau, E.; Bihannic, I.; et al. RheoSAXS Studies of Anisotropic Complex Fluids under Shear. J. Phys. Conf. Ser. 2010, 247, 012052. [Google Scholar] [CrossRef]
- Torma, V.; Hüsing, N.; Peterlik, H.; Schubert, U. Small-Angle X-Ray Scattering Investigation of the Cluster Distribution in Inorganic-Organic Hybrid Polymers Prepared from Organically Substituted Metal Oxide Clusters. Comptes Rendus Chim. 2004, 7, 495–502. [Google Scholar] [CrossRef]
- Villetti, M.; Borsali, R.; Diat, O.; Soldi, V.; Fukada, K. SAXS from Polyelectrolyte Solutions under Shear: Xanthan and Na−Hyaluronate Examples. Macromolecules 2000, 33, 9418–9422. [Google Scholar] [CrossRef]
- Morfin, I.; Reed, W.F.; Rinaudo, M.; Borsali, R. Further Evidence of Liquid-like Correlations in Polyelectrolyte Solutions. J. Phys. II 1994, 4, 1001–1019. [Google Scholar] [CrossRef]
- Combet, J. Polyelectrolytes and small angle scattering. EPJ Web Conf. 2018, 188, 03001. [Google Scholar] [CrossRef]
- Reed, W.F. Light-scattering results on polyelectrolyte conformations, diffusion, and interparticle interactions and correlations. ACS Symp. Ser. 1994, 548, 297–314. [Google Scholar] [CrossRef]
- Mason, T.G.; Dhople, A.; Wirtz, D. Linear Viscoelastic Moduli of Concentrated DNA Solutions. Macromolecules 1998, 31, 3600–3603. [Google Scholar] [CrossRef]
- De Gennes, P.G. Dynamics of Entangled Polymer Solutions. I. The Rouse Model. Macromolecules 1976, 9, 587–593. [Google Scholar] [CrossRef]
- Meeker, S.P.; Bonnecaze, R.T.; Cloitre, M. Slip and Flow in Pastes of Soft Particles: Direct Observation and Rheology. J. Rheol. 2004, 48, 1295–1320. [Google Scholar] [CrossRef]
- Talansier, E.; Bacconnier, A.; Caton, F.; Chastel, C.; Costa, L.; Gunes, D.Z.; Roux, D.C.D. Accurate Methodology to Determine Slip Velocity, Yield Stress and the Constitutive Relation for Molten Chocolate. J. Food Eng. 2019, 244, 220–227. [Google Scholar] [CrossRef]
- Moldenaers, P.; Mewis, J. Transient Behavior of Liquid Crystalline Solutions of Poly(Benzylglutamate). J. Rheol. 1986, 30, 567–584. [Google Scholar] [CrossRef]
- Larson, R.G.; Mead, D.W. Time and Shear-Rate Scaling Laws for Liquid Crystal Polymers. J. Rheol. 1989, 33, 1251–1281. [Google Scholar] [CrossRef]
- De Kort, G.W.; Leoné, N.; Stellamanns, E.; Auhl, D.; Wilsens, C.H.R.M.; Rastogi, S. Effect of Shear Rate on the Orientation and Relaxation of a Vanillic Acid Based Liquid Crystalline Polymer. Polymers 2018, 10, 935. [Google Scholar] [CrossRef] [PubMed]















Disclaimer/Publisher’s Note: The statements, opinions and data contained in all publications are solely those of the individual author(s) and contributor(s) and not of MDPI and/or the editor(s). MDPI and/or the editor(s) disclaim responsibility for any injury to people or property resulting from any ideas, methods, instructions or products referred to in the content. |
© 2025 by the authors. Licensee MDPI, Basel, Switzerland. This article is an open access article distributed under the terms and conditions of the Creative Commons Attribution (CC BY) license (https://creativecommons.org/licenses/by/4.0/).
Share and Cite
López-Alvarez, S.E.; Caton, F.; Roux, D.C.D.; Soltero Martínez, F.A.; Scholkopf, F.; Nallet, F.; Toriz, G.; Saint-Jalmes, A.; Rinaudo, M.; Bravo-Anaya, L.M. Relaxation of Shear-Induced Orientation and Textures in Semi-Dilute DNA Solutions. Polymers 2025, 17, 2452. https://doi.org/10.3390/polym17182452
López-Alvarez SE, Caton F, Roux DCD, Soltero Martínez FA, Scholkopf F, Nallet F, Toriz G, Saint-Jalmes A, Rinaudo M, Bravo-Anaya LM. Relaxation of Shear-Induced Orientation and Textures in Semi-Dilute DNA Solutions. Polymers. 2025; 17(18):2452. https://doi.org/10.3390/polym17182452
Chicago/Turabian StyleLópez-Alvarez, Scarlett Elizabeth, François Caton, Denis C. D. Roux, Félix Armando Soltero Martínez, Florian Scholkopf, Frédéric Nallet, Guillermo Toriz, Arnaud Saint-Jalmes, Marguerite Rinaudo, and Lourdes Mónica Bravo-Anaya. 2025. "Relaxation of Shear-Induced Orientation and Textures in Semi-Dilute DNA Solutions" Polymers 17, no. 18: 2452. https://doi.org/10.3390/polym17182452
APA StyleLópez-Alvarez, S. E., Caton, F., Roux, D. C. D., Soltero Martínez, F. A., Scholkopf, F., Nallet, F., Toriz, G., Saint-Jalmes, A., Rinaudo, M., & Bravo-Anaya, L. M. (2025). Relaxation of Shear-Induced Orientation and Textures in Semi-Dilute DNA Solutions. Polymers, 17(18), 2452. https://doi.org/10.3390/polym17182452

