Self-Powered Ultraviolet Photodetectors Based on Conductive Polymers/Ga2O3 Heterojunctions: A Review
Abstract
1. Introduction
2. Structures and Parameters of Ga2O3/CPs UV PDs
2.1. Structures of Ga2O3/CPs UV PDs
2.2. Parameters of Ga2O3/CPs UV PDs
2.2.1. Responsivity
2.2.2. Rejection Ratio
2.2.3. Detectivity
2.2.4. External Quantum Efficiency (EQE)
2.2.5. Response Time
2.2.6. Open-Circuit Voltage, Self-Powered Current, and Dark Current
3. Structures and Properties of Ga2O3 and Conductive Polymers in Ga2O3/CPs UV PDs
3.1. Structures and Properties of Gallium Oxide in Ga2O3-Based UV PDs
3.2. Structures and Properties of Conductive Polymers in Ga2O3/CPs UV PDs
4. Preparation Methods of Ga2O3/CPs Heterojunctions
5. Types of Self-Powered Polymer-Gallium Oxide Ultraviolet Photodetectors
5.1. Types of Polythiophenes/Ga2O3-Based UV PDs



5.2. Types of Polyaniline/Ga2O3-Based UV PDs
5.3. Types of Polycarbazoles/Ga2O3-Based UV PDs
6. Summary and Outlook
Author Contributions
Funding
Institutional Review Board Statement
Data Availability Statement
Conflicts of Interest
References
- Chen, H.; Liu, K.; Hu, L.; Al-Ghamdi, A.A.; Fang, X. New concept ultraviolet photodetectors. Mater. Today 2015, 18, 493–502. [Google Scholar] [CrossRef]
- Kneissl, M.; Seong, T.-Y.; Han, J.; Amano, H. The emergence and prospects of deep-ultraviolet light-emitting diode technologies. Nat. Photonics 2019, 13, 233–244. [Google Scholar] [CrossRef]
- Kunwar, S.; Pandit, S.; Kulkarni, R.; Mandavkar, R.; Lin, S.; Li, M.Y.; Lee, J. Hybrid Device Architecture Using Plasmonic Nanoparticles, Graphene Quantum Dots, and Titanium Dioxide for UV Photodetectors. ACS Appl. Mater. Interfaces 2021, 13, 3408–3418. [Google Scholar] [CrossRef]
- Yan, Z.Y.; Li, S.; Liu, Z.; Zhi, Y.S.; Dai, J.; Sun, X.Y.; Sun, S.Y.; Guo, D.Y.; Wang, X.; Li, L.G.; et al. High Sensitivity and Fast Response Self-Powered Solar-Blind Ultraviolet Photodetector with β-Ga2O3/Spiro-MeOTAD p-n Heterojunction. J. Mater. Chem. C 2020, 8, 4502–4509. [Google Scholar] [CrossRef]
- Wang, J.; Li, S.; Wang, T.; Guan, F.; Zhao, L.; Li, L.; Zhang, J.; Qiao, G. Solution-Processed Sb2Se3 on TiO2 Thin Films Toward Oxidation- and Moisture-Resistant, Self-Powered Photodetectors. ACS Appl. Mater. Interfaces 2020, 12, 38341–38349. [Google Scholar] [CrossRef] [PubMed]
- Suchikova, Y.; Nazarovets, S.; Popov, A.I. Popov. Ga2O3 solar-blind photodetectors: From civilian applications to missile detection and research agenda. Opt. Mater. 2024, 157, 116397. [Google Scholar] [CrossRef]
- Kumar, M.; Saravanan, A.; Joshi, S.A.; Chen, S.-C.; Huang, B.-R.; Sun, H. High-performance self-powered UV photodetectors using SnO2 thin film by reactive magnetron sputtering. Sens. Actuators A Phys. 2024, 373, 115441. [Google Scholar] [CrossRef]
- Krishnamurthi, V.; Ahmed, T.; Mohiuddin, M.; Zavabeti, A.; Pillai, N.; McConville, C.F.; Mahmood, N.; Walia, S. A Visible-Blind Photodetector and Artificial Optoelectronic Synapse Using Liquid-Metal Exfoliated ZnO Nanosheets. Adv. Opt. Mater. 2021, 9, 2100449. [Google Scholar] [CrossRef]
- Al tahtamouni, T.M.; Lin, J.Y.; Jiang, H.X. High quality AlN grown on double layer AlN buffers on SiC substrate for deep ultraviolet photodetectors. Appl. Phys. Lett. 2012, 101, 192106. [Google Scholar] [CrossRef]
- Chen, S.; Cao, B.; Wang, W.; Tang, X.; Zheng, Y.; Chai, J.; Kong, D.; Chen, L.; Zhang, S.; Li, G. Large-scale m-GeS2 grown on GaN for self-powered ultrafast UV photodetection. Appl. Phys. Lett. 2022, 120, 111101. [Google Scholar] [CrossRef]
- Lin, C.-N.; Zhang, Z.-F.; Lu, Y.-J.; Yang, X.; Zhang, Y.; Li, X.; Zang, J.-H.; Pang, X.-C.; Dong, L.; Shan, C.-X. High performance diamond-based solar-blind photodetectors enabled by Schottky barrier modulation. Carbon 2022, 200, 510–516. [Google Scholar] [CrossRef]
- Liu, Z.; Sha, S.-L.; Shen, M.-M.; Jiang, M.-L.; Zhang, Y.-F.; Guo, W.-H.; Tang, W. Boosting β-Ga2O3 solar-blind detector via highly photon absorbance and carrier injection by localized surface plasmon resonance. IEEE Electron Device Lett. 2023, 44, 1324–1327. [Google Scholar] [CrossRef]
- Tan, Y.; Qiao, T.; Zhao, S.; Chang, Z.; Zhang, J.; Zang, C.; Lin, Y.; Shang, X.; Yang, J.; Zhou, X.; et al. Gallium oxide nanocrystals for self-powered deep ultraviolet photodetectors. J. Mater. Sci. Technol. 2024, 190, 200–209. [Google Scholar] [CrossRef]
- Ma, Y.; Shao, X.; Li, J.; Dong, B.; Hu, Z.; Zhou, Q.; Xu, H.; Zhao, X.; Fang, H.; Li, X.; et al. Electrochemically exfoliated platinum dichalcogenide atomic layers for high-performance air-stable infrared photodetectors. ACS Appl. Mater. Interfaces 2021, 13, 8518–8527. [Google Scholar] [CrossRef]
- Alvarez, J.; Liao, M.; Koide, Y. Large deep-ultraviolet photocurrent in metal-semiconductor-metal structures fabricated on as-grown boron-doped diamond. Appl. Phys. Lett. 2005, 87, 113507. [Google Scholar] [CrossRef]
- Chen, X.; Liu, K.; Zhang, Z.; Wang, C.; Li, B.; Zhao, H.; Zhao, D.; Shen, D. Self-powered solar-blind photodetector with fast response based on Au/β-Ga2O3 nanowires array film Schottky junction. ACS Appl. Mater. Interfaces 2016, 8, 4185–4191. [Google Scholar] [CrossRef]
- Guo, D.; Su, Y.; Shi, H.; Li, P.; Zhao, N.; Ye, J.; Wang, S.; Liu, A.; Chen, Z.; Li, C.; et al. Self-powered ultraviolet photodetector with superhigh photoresponsivity (3.05 A/W) based on the GaN/Sn: Ga2O3 pn junction. ACS Nano 2018, 12, 12827–12837. [Google Scholar] [CrossRef]
- Zhao, B.; Wang, F.; Chen, H.; Wang, Y.; Jiang, M.; Fang, X.; Zhao, D. Solar-blind avalanche photodetector based on single ZnO−Ga2O3 core−shell microwire. Nano Lett. 2015, 15, 3988–3993. [Google Scholar] [CrossRef]
- Zhang, H.; Liang, F.; Song, K.; Xing, C.; Wang, D.; Yu, H.; Huang, C.; Sun, Y.; Yang, L.; Zhao, X.; et al. Demonstration of AlGaN/GaN-based ultraviolet phototransistor with a record high responsivity over 3.6 × 10⁷ A/W. Appl. Phys. Lett. 2021, 118, 242105. [Google Scholar] [CrossRef]
- Wang, L.; Xu, S.; Yang, J.; Huang, H.; Huo, Z.; Li, J.; Xu, X.; Ren, F.; He, Y.; Ma, Y.; et al. Recent Progress in Solar-Blind Photodetectors Based on Ultrawide Bandgap Semiconductors. ACS Omega 2024, 9, 25429–25447. [Google Scholar] [CrossRef]
- Pearton, S.J.; Yang, J.; Cary, P.H., IV; Ren, F.; Kim, J.; Tadjer, M.J.; Mastro, M.A. A review of Ga2O3 materials, processing, and devices. Appl. Phys. Rev. 2018, 5, 011301. [Google Scholar] [CrossRef]
- Wang, Y.; Wu, C.; Guo, D.; Li, P.; Wang, S.; Liu, A.; Li, C.; Wu, F.; Tang, W. All-Oxide NiO/Ga2O3 p–n Junction for Self-Powered UV Photodetector. ACS Appl. Electron. Mater. 2020, 2, 2032–2038. [Google Scholar] [CrossRef]
- He, C.; Guo, D.; Chen, K.; Wang, S.; Shen, J.; Zhao, N.; Liu, A.; Zheng, Y.; Li, P.; Wu, Z.; et al. α-Ga2O3 Nanorod Array–Cu2O Microsphere p–n Junctions for Self-Powered Spectrum-Distinguishable Photodetectors. ACS Appl. Nano Mater. 2019, 2, 4095–4103. [Google Scholar] [CrossRef]
- Ayhan, M.E.; Shinde, M.; Todankar, B.; Desai, P.; Ranade, A.K.; Tanemura, M.; Kalita, G. Ultraviolet radiation-induced photovoltaic action in γ-CuI/β-Ga2O3 heterojunction. Mater. Lett. 2020, 262, 127074. [Google Scholar] [CrossRef]
- Alonso-Orts, M.; Sánchez, A.M.; Hindmarsh, S.A.; López, I.; Nogales, E.; Piqueras, J.; Méndez, B. Shape Engineering Driven by Selective Growth of SnO2 on Doped Ga2O3 Nanowires. Nano Lett. 2017, 17, 515–522. [Google Scholar] [CrossRef]
- Li, P.; Shi, H.; Chen, K.; Guo, W.; Cui, Y.; Zhi, S.; Wang, Z.; Wu, Z.; Chen, W.; Tang, W. Construction of GaN/Ga2O3 p–n junction for an extremely high responsivity self-powered UV photodetector. J. Mater. Chem. C 2017, 5, 10562–10570. [Google Scholar] [CrossRef]
- Huynh, W.U.; Dittmer, J.J.; Alivisatos, A.P. Hybrid Nanorod-Polymer Solar Cells. Science 2002, 295, 2425–2427. [Google Scholar] [CrossRef]
- Yuan, Z.; Fu, M.; Ren, Y.; Huang, W.; Shuai, C. Fabrication and optoelectronic properties of ZnO nanoparticle/P3HT heterojunction photodiode. Microelectron. Eng. 2016, 163, 32–35. [Google Scholar] [CrossRef]
- Zhang, R.; Zhao, M.; Wang, Z.; Wang, Z.; Zhao, B.; Miao, Y.; Zhou, Y.; Wang, H.; Hao, Y.; Chen, G.; et al. Solution-Processable ZnO/Carbon Quantum Dots Electron Extraction Layer for Highly Efficient Polymer Solar Cells. ACS Appl. Mater. Interfaces 2018, 10, 4895–4903. [Google Scholar] [CrossRef]
- Shen, L.; Fang, Y.; Dong, Q.; Xiao, Z.; Huang, J. Improving the sensitivity of a near-infrared nanocomposite photodetector by enhancing trap induced hole injection. Appl. Phys. Lett. 2015, 106, 023301. [Google Scholar] [CrossRef]
- Hanna, B.; Pillai, L.R.; Rajeev, K.; Surendran, K.; Unni, K. Visible-blind UV photodetectors using a polymer/ZnO nanocomposite thin film. Sens. Actuators A Phys. 2022, 338, 113495. [Google Scholar] [CrossRef]
- Kadir, A.; Jamal, R.; Abdiryim, T.; Liu, X.; Zhang, H.; Serkjan, N.; Zou, D.; Liu, Y. Ultraviolet Photodetector Based on Poly(3,4-Ethylenedioxyselenophene)/ZnO Core-Shell Nanorods p-n Heterojunction. Nanoscale Res. Lett. 2022, 17, 67. [Google Scholar] [CrossRef]
- Rana, A.K.; Kumar, M.; Ban, D.K.; Wong, C.P.; Yi, J.; Kim, J. Enhancement in Performance of Transparent p-NiO/n-ZnO Heterojunction Ultrafast Self-Powered Photodetector via Pyro-Phototronic Effect. Appl. Electron. Mater. 2019, 5, 1900438. [Google Scholar] [CrossRef]
- Mattei, F.; Vurro, D.; Spoltore, D.; Pavesi, M.; Kalvani, P.R.; Pasini, S.; Foti, G.; D’Angelo, P.; Bosio, A.; Baraldi, A.; et al. Planar Hybrid UV-C Photodetectors Based on Aerosol-Jet Printed PEDOT:PSS on Different Ga2O3 Thin Films. Mater. Today Phys. 2025, 51, 101663. [Google Scholar]
- Wu, C.; Qiu, L.; Li, S.; Guo, D.; Li, P.; Wang, S.; Du, P.; Chen, Z.; Liu, A.; Wu, H.; et al. High Sensitive and Stable Self-powered Solar-blind Photodetector Based on Solution-Processed All Inorganic CuMO2/Ga2O3 Pn Heterojunction. Mater. Today Phys. 2021, 17, 100335. [Google Scholar] [CrossRef]
- Boulahia, N.; Filali, W.; Hocine, D.; Oussalah, S.; Sengouga, N. Electrical and Optical Performances Investigation of Planar Solar Blind Photodetector Based on IZTO/Ga2O3 Schottky Diode via TCAD Simulation. Opt. Quantum Electron. 2024, 56, 549. [Google Scholar] [CrossRef]
- Wang, H.; Ma, J.; Chen, H.; Wang, L.; Li, P.; Liu, Y. Ferroelectricity Enhanced Self-powered Solar-blind UV Photodetector Based on Ga2O3/ZnO:V Heterojunction. Mater. Today Phys. 2023, 30, 100929. [Google Scholar] [CrossRef]
- Woo, S.; Lee, T.; Song, C.W.; Park, J.Y.; Jung, Y.; Hong, J.; Kyoung, S. Highperformance Self-powered Deep Ultraviolet Photodetector Based on NiO/β-Ga2O3 Heterojunction with High Responsivity and Selectivity. Phys. Status Solidi A-Appl. Mat. 2024, 221, 2400310. [Google Scholar] [CrossRef]
- Tang, H.; Lu, D.; Zhou, Q.; Luo, S.; Huang, K.; Li, Z.; Qi, X.; Zhong, J. Self-powered and Broadband Flexible Photodetectors based on Vapor Deposition Grown Antimony Film. Appl. Surf. Sci. 2022, 571, 151335. [Google Scholar] [CrossRef]
- Zhang, Q.; Xu, J.; Li, M.; Chen, J.; Xu, J.; Zheng, Q.; Shi, S.; Kong, L.; Zhang, X.; Li, L. High-performance Self-powered Ultraviolet Photodetector based on BiOCl/TiO2 Heterojunctions: Carrier Engineering of TiO2. Appl. Surf. Sci. 2022, 592, 153350. [Google Scholar] [CrossRef]
- Hu, Q.; Zheng, W.; Lin, R.; Xu, Y.; Huang, F. Oxides/graphene Heterostructure for Deep-ultraviolet Photovoltaic Photodetector. Carbon 2019, 147, 427–433. [Google Scholar] [CrossRef]
- Zheng, W.; Bian, T.; Li, X.; Chen, M.; Yan, X.; Dai, Y.; He, G. A Self-powered Ultraviolet Photodetector Driven by Opposite Schottky Junction. J. Alloys Compd. 2017, 712, 425–430. [Google Scholar] [CrossRef]
- Zhang, T.; Shen, Y.; Feng, Q.; Tian, X.; Cai, Y.; Hu, Z.; Yan, G.; Feng, Z.; Zhang, Y.; Ning, J.; et al. The Investigation of Hybrid PEDOT:PSS/β-Ga2O3 Deep Ultraviolet Schottky Barrier Photodetectors. Nanoscale Res. Lett. 2020, 15, 163–171. [Google Scholar] [CrossRef] [PubMed]
- Song, W.; Jia, Y.; Hu, S.; Hu, Z. Reaction pathways for α-Ga2O3 and β-Ga2O3 phase transition under pressure up to 40 GPa: A first-principles study. J. Phys. Chem. C. 2020, 124, 23280–23286. [Google Scholar] [CrossRef]
- Higashiwaki, M. Introduction. In Gallium Oxide, 1st ed.; Higashiwaki, M., Fujita, S., Eds.; Springer: Cham, Switzerland, 2020; Volume 293, pp. 1–12. [Google Scholar]
- Storm, P.; Kneiß, M.; Hassa, T.; Schultz, D.; Splith, H.; von Wenckstern, N.; Koch, M.; Lorenz, M.; Grundmann, M. Epitaxial κ-(AlxGa1−x)2O3 thin films and heterostructures grown by tin-assisted VCCS-PLD. APL Mater. 2019, 7, 111110. [Google Scholar] [CrossRef]
- Roy, R.; Hill, V.G.; Osborn, E.F. Polymorphism of Ga2O3 and the system Ga2O3-H2O. J. Am. Chem. Soc. 1952, 74, 719–722. [Google Scholar] [CrossRef]
- Geller, S. Crystal structure of β-Ga2O3. J. Chem. Phys. 1960, 33, 676–684. [Google Scholar] [CrossRef]
- Onuma, T.; Saito, S.; Sasaki, K.; Masui, T.; Yamaguchi, T.; Honda, M.; Higashiwaki, M. Valence band ordering in β-Ga2O3 studied by polarized transmittance and reflectance spectroscopy. Jpn. J. Appl. Phys. 2015, 54, 112601. [Google Scholar] [CrossRef]
- Guo, R.; Su, J.; Yuan, H.; Zhang, P.; Lin, Z.; Zhang, J.; Chang, J.; Hao, Y. Surface functionalization modulates the structural and optoelectronic properties of two-dimensional Ga2O3. Mater. Today Phys. 2020, 12, 100192. [Google Scholar] [CrossRef]
- Su, J.; Guo, R.; Lin, Z.; Zhang, S.; Zhang, J.; Chang, J.; Hao, Y. Unusual Electronic and Optical Properties of Two-Dimensional Ga2O3 Predicted by Density Functional Theory. J. Phys. Chem. C 2018, 122, 24592–24599. [Google Scholar] [CrossRef]
- Higashiwaki, M.; Sasaki, K.; Kuramata, A.; Masui, T.; Yamakoshi, S. Gallium Oxide (Ga2O3) Metal-Semiconductor Field-Effect Transistors on Single-Crystal β-Ga2O3 (010) Substrates. Appl. Phys. Lett. 2012, 100, 013504. [Google Scholar] [CrossRef]
- Tolbert, L.M. Power Electronics for Distributed Energy Systems and Transmission and Distribution Applications: Assessing the Technical Needs for Utility Applications; Oak Ridge National Laboratory: Oak Ridge, TN, USA, 2005. [Google Scholar]
- Baldini, M.; Galazka, Z.; Wagner, G. Recent progress in the growth of β-Ga2O3 for power electronics applications. Mater. Sci. Semicond. Process. 2018, 78, 132–146. [Google Scholar] [CrossRef]
- Pan, Y. First-principles investigation of the influence of point defect on the electronic and optical properties of α-Ga2O3. Int. J. Energy Res. 2022, 46, 13070–13078. [Google Scholar] [CrossRef]
- Oshima, Y.; Kawara, K.; Shinohe, T.; Hitora, T.; Kasu, M.; Fujita, S. Epitaxial lateral overgrowth of α-Ga2O3 by halide vapor phase epitaxy. APL Mater. 2019, 7, 022503. [Google Scholar] [CrossRef]
- Biswas, M.; Nishinaka, H. Thermodynamically metastable α-, ε-(or κ-), and γ-Ga2O3: From material growth to device applications. APL Mater. 2022, 10, 060701. [Google Scholar] [CrossRef]
- Namsheer, K.; Rout, C.S. Conducting polymers: A comprehensive review on recent advances in synthesis, properties and applications. RSC Adv. 2021, 11, 5659–5697. [Google Scholar]
- Shirakawa, H.; Louis, E.J.; MacDiarmid, A.G.; Chiang, C.K.; Heeger, A.J. Synthesis of electrically conducting organic polymers: Halogen derivatives of polyacetylene, (CH)x. J. Chem. Soc. Chem. Commun. 1977, 16, 578–580. [Google Scholar] [CrossRef]
- Chiang, C.K.; Fincher, C.R., Jr.; Park, Y.W.; Heeger, A.J.; Shirakawa, H.; Louis, E.J.; Gau, S.C.; MacDiarmid, A.G. Electrical Conductivity in Doped Polyacetylene. Phys. Rev. Lett. 1977, 39, 1098. [Google Scholar] [CrossRef]
- Bhadra, S.; Singha, N.K.; Khastgir, D. Electrochemical synthesis of polyaniline and its comparison with chemically synthesized polyaniline. J. Appl. Polym. Sci. 2007, 104, 1900–1904. [Google Scholar] [CrossRef]
- Le, T.-H.; Kim, Y.; Yoon, H. Electrical and electrochemical properties of conducting polymers. Polymers 2017, 9, 150. [Google Scholar] [CrossRef]
- Mishra, P.; Jain, R. Electrochemical deposition of MWCNT-MnO2/PPy nanocomposite application for microbial fuel cells. Int. J. Hydrog. Energy 2016, 41, 22394–22405. [Google Scholar] [CrossRef]
- Alhashmi Alamer, F.; Althagafy, K.; Alsalmi, O.; Aldeih, A.; Alotaiby, H.; Althebaiti, M.; Alghamdi, H.; Alotibi, N.; Saeedi, A.; Zabarmawi, Y.; et al. Review on PEDOT:PSS-Based Conductive Fabric. ACS Omega 2022, 7, 35371–35386. [Google Scholar] [CrossRef]
- Li, L.; Li, C.; Wang, S.; Lu, Q.; Jia, Y.; Chen, H. Preparation of Sn-doped Ga2O3 thin films and their solar-blind photoelectric detection performance. J. Semicond. 2023, 44, 062805. [Google Scholar] [CrossRef]
- Sun, X.Y.; Chen, X.H.; Hao, Z.P.; Wang, Y.; Xu, H.H.; Gong, Y.J.; Zhang, X.X.; Yu, C.D.; Zhang, F.F.; Ren, S.L.; et al. A self-powered solar-blind photodetector based on polyaniline/α-Ga2O3 p--n heterojunction. Appl. Phys. Lett. 2021, 119, 141601. [Google Scholar] [CrossRef]
- Wang, Y.; Lin, Z.; Ma, J.; Wu, Y.; Yuan, H.; Cui, D.; Kang, M.; Guo, X.; Su, J.; Miao, J.; et al. Multifunctional solar-blind ultraviolet photodetectors based on p-PCDTBT/n-Ga2O3 heterojunction with high photoresponse. InfoMat 2024, 6, e12503. [Google Scholar] [CrossRef]
- Kokubun, Y.; Miura, K.; Endo, F.; Nakagomi, S. Sol-gel prepared β-Ga2O3 thin films for ultraviolet photodetectors. Appl. Phys. Lett. 2007, 90, 031912. [Google Scholar] [CrossRef]
- Leedy, K.D.; Chabak, K.D.; Vasilyev, D.; Look, D.C.; Boeckl, J.L.; Brown, S.E.; Tetlak, A.J.; Green, N.A.; Moser, A.; Crespo, D.B.; et al. Highly conductive homoepitaxial Si-doped Ga2O3 films on (010) β-Ga2O3 by pulsed laser deposition. Appl. Phys. Lett. 2017, 111, 012103. [Google Scholar] [CrossRef]
- Yang, Y.; Liu, W.; Huang, T.; Qiu, M.; Zhang, R.; Yang, W.; He, J.; Chen, X.; Dai, N. Low deposition temperature amorphous ALD-Ga2O3 thin films and decoration with MoS2 multilayers toward flexible solar-blind photodetectors. ACS Appl. Mater. Interfaces 2021, 13, 41802–41809. [Google Scholar] [CrossRef]
- Terasako, T.; Kawasaki, Y.; Yagi, M. Growth and morphology control of β-Ga2O3 nanostructures by atmospheric-pressure CVD. Thin Solid Film. 2016, 620, 23–29. [Google Scholar] [CrossRef]
- Abdullah, Q.N.; Yam, F.K.; Mohmood, K.H.; Hassan, Z.; Qaeed, M.A.; Bououdina, M.; Almessiere, M.A.; Al-Otaibi, A.L.; Abdulateef, S.A. Free growth of one-dimensional β-Ga2O3 nanostructures including nanowires, nanobelts and nanosheets using a thermal evaporation method. Ceram. Int. 2016, 42, 13343–13349. [Google Scholar] [CrossRef]
- Song, D.; Wu, Z.; Cui, W.; Fu, R.; Fu, S.; Wang, Y.; Li, B.; Shen, A.; Liu, Y. Laser-MBE Improving growth of β-Ga2O3 films by introducing a Homo-Amorphous nucleation seed layer for solar-blind deep UV photodetector applications. Mater. Sci. Eng. B 2025, 313, 117890. [Google Scholar] [CrossRef]
- Zi-Qi, Y.; Yan-Ming, W.; Shuo, W.; Xue, S.; Jia-Hui, S.; Yi-Han, Y.; De-Yu, W.; Qiu-Ju, F.; Jing-Chang, S.; Hong-Wei, L. Performance of UV photodetector of mechanical exfoliation prepared PEDOT:PSS/β-Ga2O3 microsheet heterojunction. Acta Phys. Sin. 2024, 73, 157102. [Google Scholar]
- Fan, M.-M.; Xu, K.-L.; Li, X.-Y.; He, G.-H.; Cao, L. Self-powered Solar-blind UV/visible Dual-band Photodetection based on a Solid-state PEDOT:PSS/α-Ga2O3 Nanorod Array/FTO Photodetector. J. Mater. Chem. C 2021, 9, 16459–16467. [Google Scholar] [CrossRef]
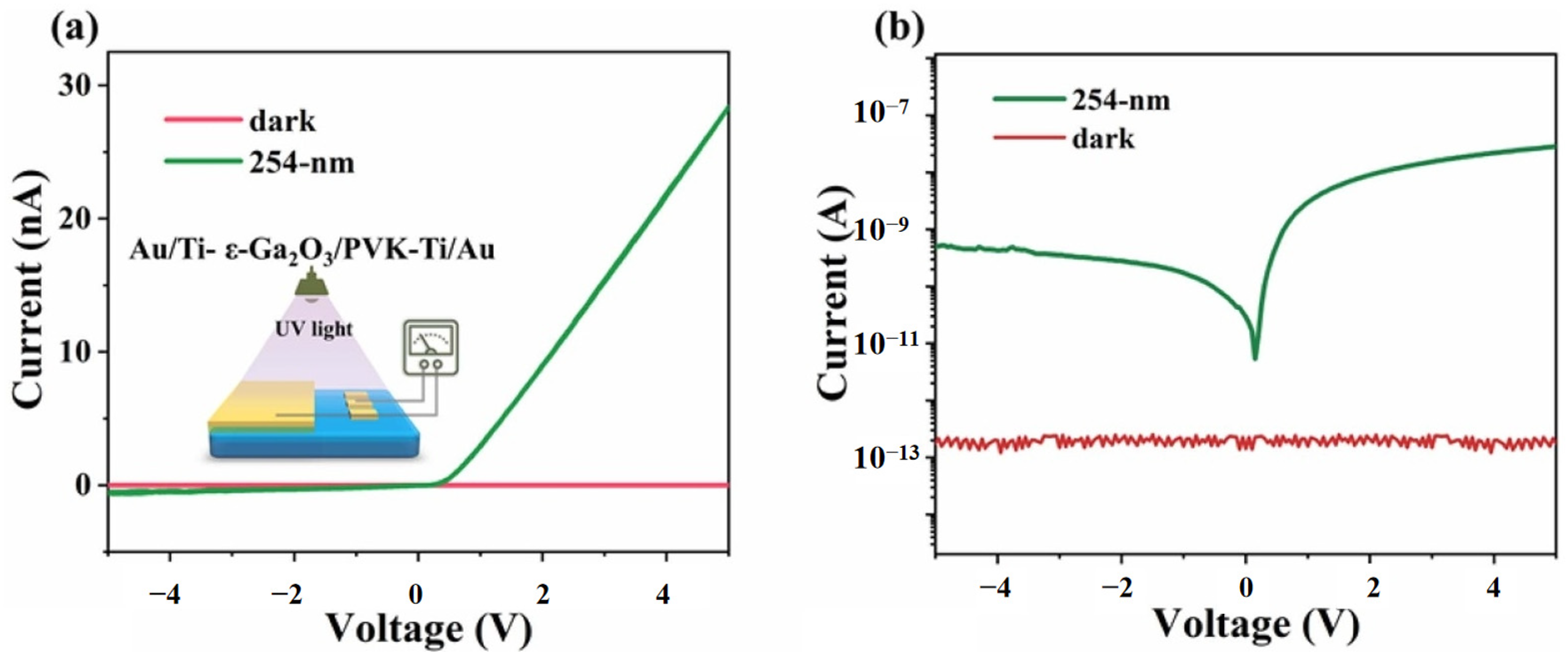
- Dai, J.; Li, S.; Liu, Z.; Yan, Z.; Zhi, Y.; Wu, Z.; Li, P.; Tang, W. Fabrication of a poly(N-vinyl carbazole)/ε-Ga2O3 organic–inorganic heterojunction diode for solar-blind sensing applications. J. Phys. D Appl. Phys. 2021, 54, 215104. [Google Scholar] [CrossRef]
- Zhou, H.; Si, M.; Alghamdi, S.; Qiu, G.; Yang, L.; Ye, P.D. High-performance depletion/enhancement-mode β-Ga2O3 on insulator (GOOI) field-effect transistors with record drain currents of 600/450 mA/mm. IEEE Electron Device Lett. 2017, 38, 103–106. [Google Scholar] [CrossRef]
- Son, J.; Kwon, Y.; Kim, J.; Kim, J. Tuning the threshold voltage of exfoliated β-Ga2O3 flake-based field-effect transistors by photo-enhanced H3PO4 wet etching. ECS J. Solid State Sci. Technol. 2018, 7, Q148. [Google Scholar] [CrossRef]
- Montes, J.; Yang, C.; Fu, H.; Yang, T.-H.; Fu, K.; Chen, H.; Zhou, J.; Huang, X.; Zhao, Y. Demonstration of mechanically exfoliated β-Ga2O3/GaN p-n heterojunction. Appl. Phys. Lett. 2019, 114, 162103. [Google Scholar] [CrossRef]
- Rahaman, I.; Sultana, M.; Medina, R.; Emu, I.; Haque, A. Optimization of electrostatic seeding technique for wafer-scale diamond fabrication on β-Ga2O3. Mater. Sci. Semicond. Process. 2024, 184, 108808. [Google Scholar] [CrossRef]
- Qi, X.; Ji, X.; Yue, J.; Li, L.; Wang, X.; Du, L.; Liu, Z.; Li, P.; Guo, Y.; Tang, W. A self-powered deep-ultraviolet photodetector based on a hybrid organic-inorganic p-P3HT/n-Ga2O3 heterostructure. Phys. Scr. 2022, 97, 075804. [Google Scholar] [CrossRef]
- Cho, A.; Kim, S.; Kim, S.; Cho, W.; Park, C.; Kim, F.S.; Kim, J.H. Influence of Imidazole-Based Acidity Control of PEDOT:PSS on Its Electrical Properties and Environmental Stability. J. Polym. Sci. Part B Polym. Phys. 2016, 54, 1530–1536. [Google Scholar] [CrossRef]
- Bedeloglu, A.; Demir, A.; Bozkurt, Y.; Sariciftci, N.S. A Photovoltaic Fiber Design for Smart Textiles. Text. Res. J. 2010, 80, 1065–1074. [Google Scholar] [CrossRef]
- Oshima, T.; Okuno, T.; Arai, N.; Suzuki, N.; Hino, H.; Fujita, S. Flame Detection by a β-Ga2O3-Based Sensor. Jpn. J. Appl. Phys. 2009, 48, 011605. [Google Scholar] [CrossRef]
- Zhang, D.; Zheng, W.; Lin, R.; Li, Y.; Huang, F. Ultrahigh EQE (15%) Solar-Blind UV Photovoltaic Detector with Organic–Inorganic Heterojunction via Dual Built-In Fields Enhanced Photogenerated Carrier Separation Efficiency Mechanism. Adv. Funct. Mater. 2019, 29, 1900935. [Google Scholar] [CrossRef]
- Wang, H.; Chen, H.; Li, L.; Wang, Y.; Su, L.; Bian, W.; Li, B.; Fang, X. High Responsivity and High Rejection Ratio of Self-Powered SolarBlind Ultraviolet Photodetector Based on PEDOT:PSS/β-Ga2O3 Organic/Inorganic p−n Junction. J. Phys. Chem. Lett. 2019, 10, 6850–6856. [Google Scholar] [CrossRef] [PubMed]
- Yu, X.-X.; Yin, H.; Li, H.-X.; Zhang, W.; Zhao, H.; Li, C.; Zhu, M.-Q. Piezo-phototronic effect modulated self-powered UV/visible/near-infrared photodetectors based on CdS:P3HT microwires. Nano Energy 2017, 34, 155–163. [Google Scholar] [CrossRef]
- Wang, X.; Song, W.; Liu, B.; Chen, G.; Chen, D.; Zhou, C.; Shen, G. High-Performance Organic-Inorganic Hybrid Photodetectors Based on P3HT:CdSe Nanowire Heterojunctions on Rigid and Flexible Substrates. Adv. Funct. Mater. 2013, 23, 1202–1209. [Google Scholar] [CrossRef]
- Hisamuddin, S.N.; Abdullah, S.M.; Alwi, S.A.K.; Majid, S.R.; Anuar, A.; Sulaiman, K.; Tunmee, S.; Chanlek, N.; Bawazeer, T.M.; Alsoufi, M.S.; et al. Optimizing the performance of P3HT-based photodetector by tuning the composition of OXCBA. Synth. Met. 2020, 268, 116506. [Google Scholar] [CrossRef]
- Zhang, L.; Yang, D.; Yang, S.; Zou, B. Solution-processed P3HT-based photodetector with field-effect transistor configuration. Appl. Phys. A 2014, 116, 1511–1516. [Google Scholar] [CrossRef]
- Lai, J.-J.; Li, Y.-H.; Feng, B.-R.; Tang, S.-J.; Jian, W.-B.; Fu, C.-M.; Chen, J.-T.; Wang, X.; Lee, P.S. Interplay of Nanoscale, Hybrid P3HT/ZTO Interface on Optoelectronics and Photovoltaic Cell. ACS Appl. Mater. Interfaces 2017, 9, 33212–33219. [Google Scholar] [CrossRef]
- Zhou, D.D.; Cui, X.T.; Hines, R.J.; Greenberg, R.J. Conducting polymers in neural stimulation applications. In Implantable Neural Prostheses 2: Techniques and Engineering Approaches; Springer Science & Business Media: Berlin/Heidelberg, Germany, 2010. [Google Scholar]
- Beygisangchin, M.; Baghdadi, A.H.; Kamarudin, S.K.; Rashid, S.A.; Jakmunee, J.; Shaari, N. Recent progress in polyaniline and its composites; Synthesis, properties, and applications. Eur. Polym. J. 2024, 210, 112948. [Google Scholar] [CrossRef]
- Beygisangchin, M.; Rashid, S.A.; Shafie, S.; Sadrolhosseini, A.R.; Lim, H.N. Preparations, Properties, and Applications of Polyaniline and Polyaniline Thin Films—A Review. Polymers 2021, 13, 2003. [Google Scholar] [CrossRef]
- Wang, Y.; Li, L.; Wang, H.; Su, L.; Chen, H.; Bian, W.; Ma, J.; Li, B.; Liu, Z.; Shen, A. An ultrahigh responsivity self-powered solar-blind photodetector based on a centimeter-sized β-Ga2O3/polyaniline heterojunction. Nanoscale 2020, 12, 1406–1413. [Google Scholar] [CrossRef] [PubMed]
- Blouin, N.; Michaud, A.; Leclerc, M. A low-bandgap poly(2,7-Carbazole) derivative for use in high-performance solar cells. Adv. Mater. 2007, 19, 2295–2300. [Google Scholar] [CrossRef]
- Cho, S.; Seo, J.H.; Park, S.H.; Beaupré, S.; Leclerc, M.; Heeger, A.J. A thermally stable semiconducting polymer. Adv. Mater. 2010, 22, 1253–1257. [Google Scholar] [CrossRef]
- Beaupré, S.; Leclerc, M. PCDTBT: En route for low cost plastic solar cells. J. Mater. Chem. A 2013, 1, 11097. [Google Scholar] [CrossRef]
- Wang, S.; Yang, S.; Yang, C.; Li, Z.; Wang, J.; Ge, W. Poly(N-vinylcarbazole) (PVK) Photoconductivity Enhancement Induced by Doping with CdS Nanocrystals through Chemical Hybridization. J. Phys. Chem. B 2000, 104, 11853–11858. [Google Scholar] [CrossRef]










| Structures | Wavelength (nm) | R (A/W) | D* (Jones) | trise/tdecay (s/s) | Ref. |
|---|---|---|---|---|---|
| PEDOT:PSS/Ga2O3 | 255 | 2.9 × 10–2 | - | 0.06/0.088 | [85] |
| P3HT/Ga2O3 | 254 | 57.2 m | 1.47 × 1017 | 0.16/0.01 | [81] |
| PANI/Ga2O3 | 220 | 6.76 × 10–2 | 6.63 × 1013 | 0.36 m/1.76 m | [66] |
| PCDTBT/Ga2O3 | 255 | 187 | 1.3 × 1016 | 1.72/1.26 | [67] |
| PVK/Ga2O3 | 254 | - | - | 0.52/0.11 | [76] |
| GaN/Sn:Ga2O3 | 254 | 3.05 | 1.69 × 1013 | -/18 m | [17] |
| NiO/Ga2O3 | 254 | 5.7 × 10–2 | 5.45 × 109 | 0.34/3.65 | [22] |
Disclaimer/Publisher’s Note: The statements, opinions and data contained in all publications are solely those of the individual author(s) and contributor(s) and not of MDPI and/or the editor(s). MDPI and/or the editor(s) disclaim responsibility for any injury to people or property resulting from any ideas, methods, instructions or products referred to in the content. |
© 2025 by the authors. Licensee MDPI, Basel, Switzerland. This article is an open access article distributed under the terms and conditions of the Creative Commons Attribution (CC BY) license (https://creativecommons.org/licenses/by/4.0/).
Share and Cite
Xiao, Z.; Chen, H.; Ning, H.; Luo, D.; Fang, X.; Li, M.; Su, G.; He, H.; Yao, R.; Peng, J. Self-Powered Ultraviolet Photodetectors Based on Conductive Polymers/Ga2O3 Heterojunctions: A Review. Polymers 2025, 17, 1384. https://doi.org/10.3390/polym17101384
Xiao Z, Chen H, Ning H, Luo D, Fang X, Li M, Su G, He H, Yao R, Peng J. Self-Powered Ultraviolet Photodetectors Based on Conductive Polymers/Ga2O3 Heterojunctions: A Review. Polymers. 2025; 17(10):1384. https://doi.org/10.3390/polym17101384
Chicago/Turabian StyleXiao, Zerui, Haoyan Chen, Honglong Ning, Dongxiang Luo, Xuecong Fang, Muyun Li, Guoping Su, Han He, Rihui Yao, and Junbiao Peng. 2025. "Self-Powered Ultraviolet Photodetectors Based on Conductive Polymers/Ga2O3 Heterojunctions: A Review" Polymers 17, no. 10: 1384. https://doi.org/10.3390/polym17101384
APA StyleXiao, Z., Chen, H., Ning, H., Luo, D., Fang, X., Li, M., Su, G., He, H., Yao, R., & Peng, J. (2025). Self-Powered Ultraviolet Photodetectors Based on Conductive Polymers/Ga2O3 Heterojunctions: A Review. Polymers, 17(10), 1384. https://doi.org/10.3390/polym17101384

