A Novel Polyfunctional Polyurethane Acrylate Derived from Castor Oil-Based Polyols for Waterborne UV-Curable Coating Application
Abstract
1. Introduction
2. Experiment
2.1. Materials
2.2. Synthesis of Castor Oil with Ternary Carboxylic Acid
2.3. Synthesis of Castor Oil-Based Triacrylate
2.4. Synthesis of Waterborne Polyurethane Acrylate Emulsion (WPUA)
2.5. Preparation of Waterborne Polyurethane Acrylate Photocurable Film
2.6. Characterization
3. Results and Discussion
3.1. Structural Characterization of Products
3.2. Particle Size Analysis of Emulsion
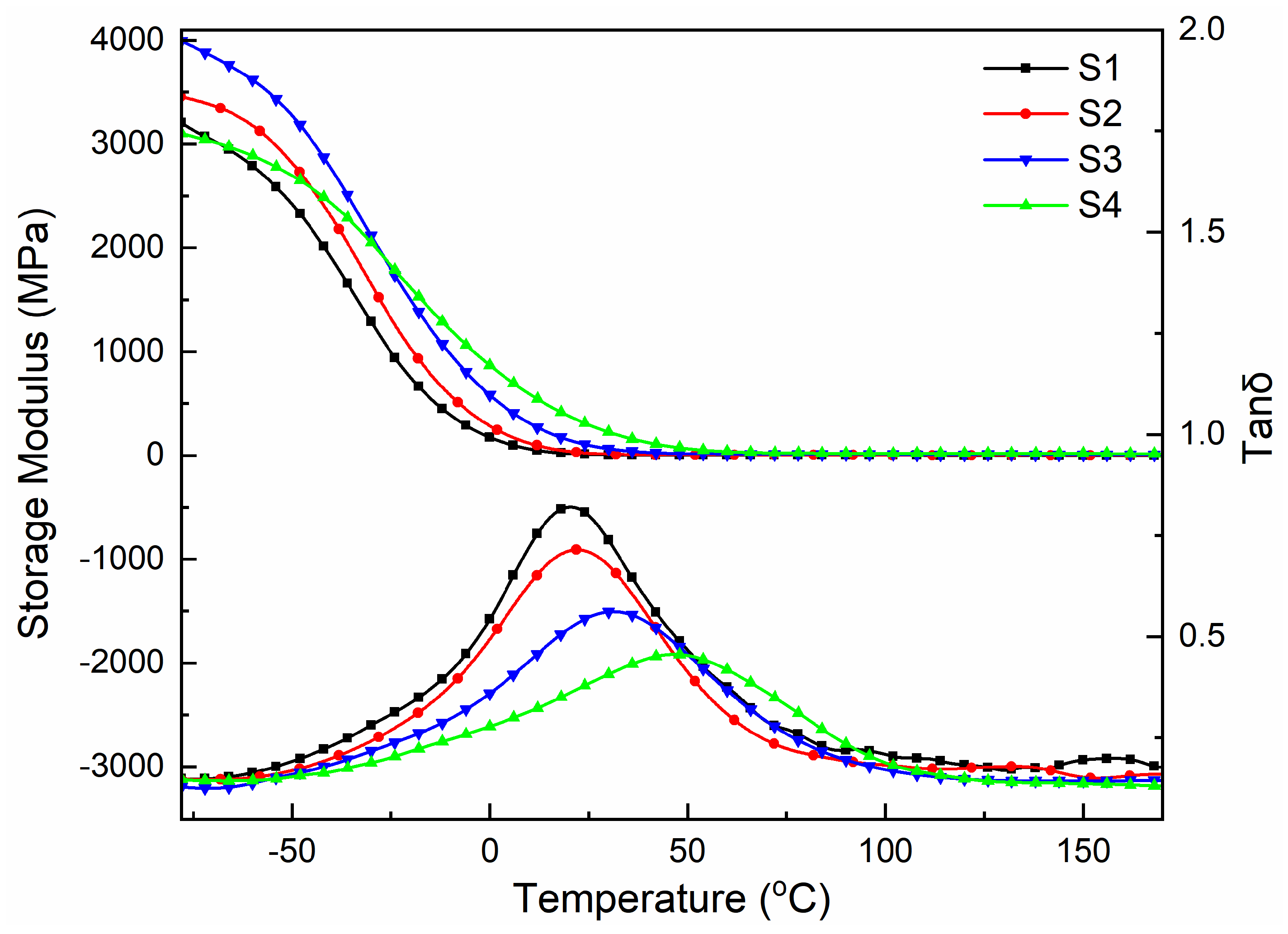
3.3. Dynamic Thermomechanical Properties
3.4. Mechanical Property
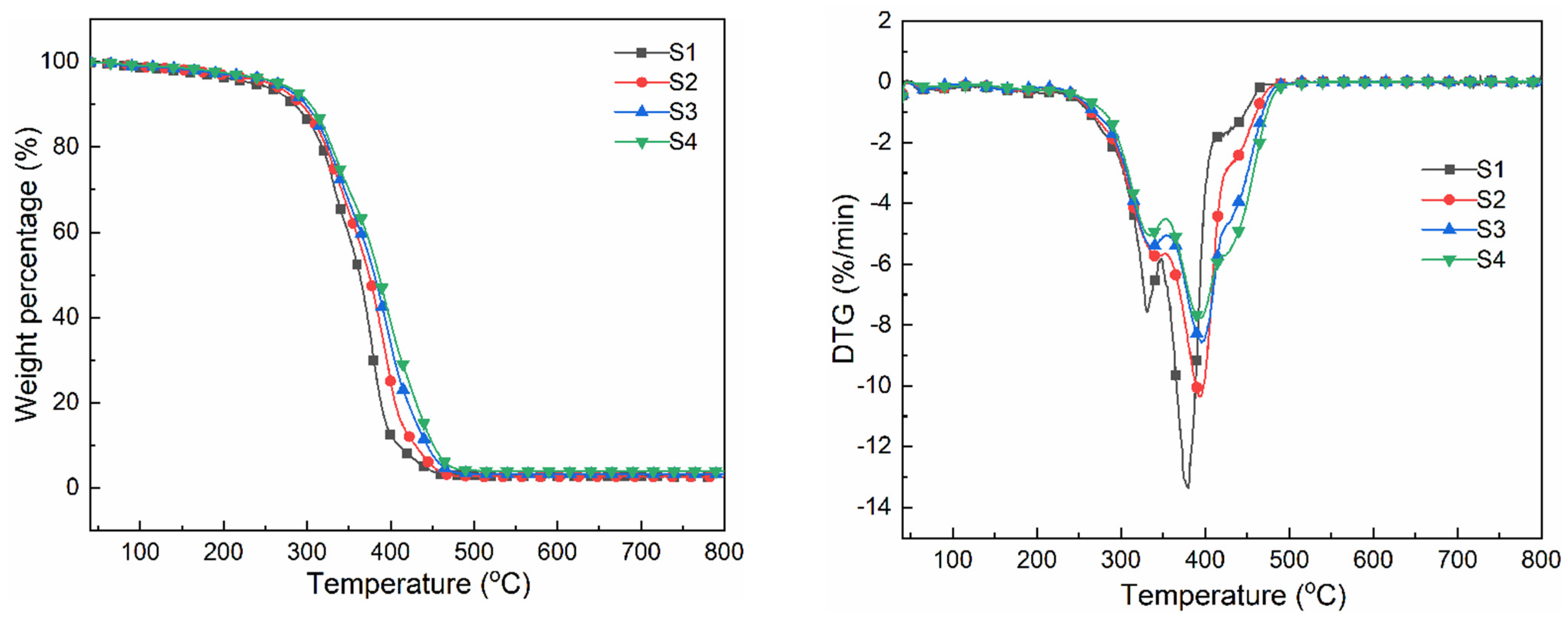
3.5. Thermal Stability
3.6. Contact Angle and Water Absorption
3.7. General Performance of Curing Film
4. Conclusions
Author Contributions
Funding
Institutional Review Board Statement
Data Availability Statement
Conflicts of Interest
References
- Kang, S.Y.; Ji, Z.; Tseng, L.F.; Turner, S.A.; Villanueva, D.A.; Johnson, R.; Albano, A.; Langer, R. Design and Synthesis of Waterborne Polyurethanes. Adv. Mater. 2018, 30, e1706237. [Google Scholar] [CrossRef]
- Shen, Y.; Liu, J.; Li, Z.; Luo, J.; Wang, S.; Tang, J.; Wang, P.; Wang, D.; Wang, X.; Hu, X.; et al. UV-curable organic silicone grafting modified waterborne polyurethane acrylate: Preparation and properties. Int. J. Adhes. Adhes. 2024, 129, 103583. [Google Scholar] [CrossRef]
- Xiao, Y.; Fu, X.; Zhang, Y.; Liu, Z.; Jiang, L.; Lei, J. Preparation of waterborne polyurethanes based on the organic solvent-free process. Green Chem. 2016, 18, 412–416. [Google Scholar] [CrossRef]
- Wang, J.; Zhang, H.; Miao, Y.; Qiao, L.; Wang, X. A whole-procedure solvent-free route to CO2-based waterborne polyurethane by an elevated-temperature dispersing strategy. Green Chem. 2017, 19, 2194–2200. [Google Scholar] [CrossRef]
- Zhang, C.; Wang, H.; Zhou, Q. Waterborne isocyanate-free polyurethane epoxy hybrid coatings synthesized from sustainable fatty acid diamine. Green Chem. 2020, 22, 1329–1337. [Google Scholar] [CrossRef]
- Zou, C.; Zhang, H.; Qiao, L.; Wang, X.; Wang, F. Near neutral waterborne cationic polyurethane from CO2-polyol, a compatible binder to aqueous conducting polyaniline for eco-friendly anti-corrosion purposes. Green Chem. 2020, 22, 7823–7831. [Google Scholar] [CrossRef]
- Peng, Z.; Zhu, A. The novel preparation of waterborne acrylic polyurethane-silica organic-inorganic interpenetrating network coatings. Prog. Org. Coat. 2024, 187, 108157. [Google Scholar] [CrossRef]
- Xu, C.-A.; Qu, Z.; Lu, M.; Meng, H.; Zhan, Y.; Chen, B.; Wu, K.; Shi, J. Effect of rosin on the antibacterial activity against S.aureus and adhesion properties of UV-curable polyurethane/polysiloxane pressure-sensitive adhesive. Colloids Surf. A Physicochem. Eng. Asp. 2021, 614, 126146. [Google Scholar] [CrossRef]
- Zhang, J.; Shang, Q.; Hu, Y.; Zhu, G.; Huang, J.; Yu, X.; Cheng, J.; Liu, C.; Chen, J.; Feng, G.; et al. Castor-oil-based UV-curable hybrid coatings with self-healing, recyclability, removability, and hydrophobicity. Prog. Org. Coat. 2022, 165, 106742. [Google Scholar] [CrossRef]
- Patil, R.S.; Thomas, J.; Patil, M.; John, J. To shed light on the UV curable coating technology: Current state of the art and perspectives. J. Compos. Sci. 2023, 7, 513. [Google Scholar] [CrossRef]
- Tong, J.; Xie, S.; Miao, J.-T.; Luo, J.; Liu, R. Preparation of UV-cured polyurethane-urea acrylate coatings with high hardness and toughness. Prog. Org. Coat. 2024, 186, 107969. [Google Scholar] [CrossRef]
- Zhang, J.; Wu, Y.-M.; Zhang, H.-L.; Yan, T.-H.; Huang, Y.-Z.; Jiang, J.-X.; Tang, J.-J. Castor oil-glycerol-based waterborne polyurethane dispersions. Prog. Org. Coat. 2021, 157, 106333. [Google Scholar] [CrossRef]
- Wu, Q.; Hu, Y.; Tang, J.; Zhang, J.; Wang, C.; Shang, Q.; Feng, G.; Liu, C.; Zhou, Y.; Lei, W. High-performance soybean-oil-based epoxy acrylate resins: “Green” synthesis and application in UV-curable coatings. ACS Sustain. Chem. Eng. 2018, 6, 8340–8349. [Google Scholar] [CrossRef]
- Yang, X.; Li, S.; Xia, J.; Song, J.; Huang, K.; Li, M. Novel renewable resource-based UV-curable copolymers derived from myrcene and tung oil: Preparation, characterization and properties. Ind. Crops Prod. 2015, 63, 17–25. [Google Scholar] [CrossRef]
- Huang, Y.; Pang, L.; Wang, H.; Zhong, R.; Zeng, Z.; Yang, J. Synthesis and properties of UV-curable tung oil based resins via modification of Diels–Alder reaction, nonisocyanate polyurethane and acrylates. Prog. Org. Coat. 2013, 76, 654–661. [Google Scholar] [CrossRef]
- Huang, J.; Zhang, J.; Zhu, G.; Yu, X.; Hu, Y.; Shang, Q.; Chen, J.; Hu, L.; Zhou, Y.; Liu, C. Self-healing, high-performance, and high-biobased-content UV-curable coatings derived from rubber seed oil and itaconic acid. Prog. Org. Coat. 2021, 159, 106391. [Google Scholar] [CrossRef]
- Liu, R.; Luo, J.; Ariyasivam, S.; Liu, X.; Chen, Z. High biocontent natural plant oil based UV-curable branched oligomers. Prog. Org. Coat. 2017, 105, 143–148. [Google Scholar] [CrossRef]
- Su, Y.; Zhang, S.; Chen, Y.; Yuan, T.; Yang, Z. One-step synthesis of novel renewable multi-functional linseed oil-based acrylate prepolymers and its application in UV-curable coatings. Prog. Org. Coat. 2020, 148, 105820. [Google Scholar] [CrossRef]
- Pezzana, L.; Wolff, R.; Stampfl, J.; Liska, R.; Sangermano, M. High temperature vat photopolymerization 3D printing of fully bio-based composites: Green vegetable oil epoxy matrix & bio-derived filler powder. Addit. Manuf. 2024, 79, 103929. [Google Scholar]
- Tran, K.; Liu, Y.; Soleimani, M.; Lucas, F.; Winnik, M.A. Waterborne 2-component polyurethane coatings based on acrylic polyols with secondary alcohols. Prog. Org. Coat. 2024, 190, 108374. [Google Scholar] [CrossRef]
- Wang, D.; Huang, Z.; Shi, S.; Ren, J.; Dong, X. Environmentally friendly plant-based waterborne polyurethane for hydrophobic and heat-resistant films. J. Appl. Polym. Sci. 2022, 139, e52437. [Google Scholar] [CrossRef]
- Zhang, C.; Garrison, T.F.; Madbouly, S.A.; Kessler, M.R. Recent advances in vegetable oil-based polymers and their composites. Prog. Polym. Sci. 2017, 71, 91–143. [Google Scholar] [CrossRef]
- Wang, L.; Xiang, J.; Wang, S.; Sun, Z.; Wen, J.; Li, J.; Zheng, Z.; Fan, H. Synthesis of oleic-based primary glycol with high molecular weight for bio-based waterborne polyurethane. Ind. Crops Prod. 2022, 176, 114276. [Google Scholar] [CrossRef]
- Li, X.; Wang, D.; Zhao, L.; Hou, X.; Liu, L.; Feng, B.; Li, M.; Zheng, P.; Zhao, X.; Wei, S. UV LED curable epoxy soybean-oil-based waterborne PUA resin for wood coatings. Prog. Org. Coat. 2021, 151, 105942. [Google Scholar] [CrossRef]
- Gaddam, S.K.; Kutcherlapati, S.N.R.; Palanisamy, A. Self-cross-linkable anionic waterborne polyurethane–silanol dispersions from cottonseed-oil-based phosphorylated polyol as ionic soft segment. ACS Sustain. Chem. Eng. 2017, 5, 6447–6455. [Google Scholar] [CrossRef]
- Hermens, J.G.H.; Jensma, A.; Feringa, B.L. Highly efficient biobased synthesis of acrylic acid. Angew. Chem. Int. Ed. 2021, 61, e202112618. [Google Scholar] [CrossRef] [PubMed]
- Liang, B.; Kuang, S.; Huang, J.; Man, L.; Yang, Z.; Yuan, T. Synthesis and characterization of novel renewable tung oil-based UV-curable active monomers and bio-based copolymers. Prog. Org. Coat. 2019, 129, 116–124. [Google Scholar] [CrossRef]
- Mistri, E.; Routh, S.; Ray, D.; Sahoo, S.; Misra, M. Green composites from maleated castor oil and jute fibres. Ind. Crops Prod. 2011, 34, 900–906. [Google Scholar] [CrossRef]
- Lei, W.; Zhou, X.; Fang, C.; Song, Y.; Li, Y. Eco-friendly waterborne polyurethane reinforced with cellulose nanocrystal from office waste paper by two different methods. Carbohydr. Polym. 2019, 209, 299–309. [Google Scholar] [CrossRef]
- Man, L.; Feng, Y.; Hu, Y.; Yuan, T.; Yang, Z. A renewable and multifunctional eco-friendly coating from novel tung oil-based cationic waterborne polyurethane dispersions. J. Clean. Prod. 2019, 241, 118341. [Google Scholar] [CrossRef]
- Hong, C.; Zhou, X.; Ye, Y.; Li, W. Synthesis and characterization of UV-curable waterborne Polyurethane–acrylate modified with hydroxyl-terminated polydimethylsiloxane: UV-cured film with excellent water resistance. Prog. Org. Coat. 2021, 156, 106251. [Google Scholar] [CrossRef]
- Liang, H.; Lu, Q.; Liu, M.; Ou, R.; Wang, Q.; Quirino, R.L.; Luo, Y.; Zhang, C. UV absorption; anticorrosion, and long-term antibacterial performance of vegetable oil based cationic waterborne polyurethanes enabled by amino acids. Chem. Eng. J. 2021, 421, 127774. [Google Scholar] [CrossRef]
- Chandra, S.; Karak, N. Environmentally friendly polyurethane dispersion derived from dimer acid and citric acid. ACS Sustain. Chem. Eng. 2018, 6, 16412–16423. [Google Scholar] [CrossRef]
- Lin, S.; Huang, J.; Chang, P.R.; Wei, S.; Xu, Y.; Zhang, Q. Structure and mechanical properties of new biomass-based nanocomposite: Castor oil-based polyurethane reinforced with acetylated cellulose nanocrystal. Carbohydr. Polym. 2013, 95, 91–99. [Google Scholar] [CrossRef] [PubMed]
- Bai, C.Y.; Zhang, X.Y.; Dai, J.B.; Zhang, C.Y. Water resistance of the membranes for UV curable waterborne polyurethane dispersions. Prog. Org. Coat. 2007, 59, 331–336. [Google Scholar] [CrossRef]
- Dai, Z.; Jiang, P.; Lou, W.; Zhang, P.; Bao, Y.; Gao, X.; Xia, J.; Haryono, A. Preparation of degradable vegetable oil-based waterborne polyurethane with tunable mechanical and thermal properties. Eur. Polym. J. 2020, 139, 109994. [Google Scholar] [CrossRef]










| Samples | Mass Fraction of MACOG (wt%) | Raw Material Formula (g) | |||||
|---|---|---|---|---|---|---|---|
| IPDI | PBA | MACOG | DMBA | HEA | TEA | ||
| S1 | 10 | 4.82 | 10 | 1.84 | 1.14 | 0.6 | 0.78 |
| S2 | 20 | 5.30 | 10 | 4.72 | 1.14 | 0.6 | 0.78 |
| S3 | 30 | 5.97 | 10 | 7.60 | 1.14 | 0.6 | 0.78 |
| S4 | 40 | 6.95 | 10 | 12.47 | 1.14 | 0.6 | 0.78 |
| Samples | DMBA Content (wt%) | Mean Particle Size (nm) | Dispersion Coefficient (PDI) | Zeta Potential (mV) |
|---|---|---|---|---|
| S1 | 6.20 | 36.87 ± 0.17 | 0.136 ± 0.009 | 44.43 ± 2.32 |
| S2 | 5.24 | 45.63 ± 0.27 | 0.134 ± 0.010 | 42.73 ± 1.27 |
| S3 | 4.50 | 66.37 ± 0.19 | 0.138 ± 0.004 | 45.30 ± 1.24 |
| S4 | 3.66 | 118.60 ± 0.08 | 0.165 ± 0.003 | 55.17 ± 1.69 |
| Samples | E25 (MPa) | Tg (°C) | E’ at Tg + 30 °C (MPa) | υe (×103 mol/m3) |
|---|---|---|---|---|
| S1 | 9.21 | 20.3 | 2.82 | 0.35 |
| S2 | 22.89 | 22.1 | 6.39 | 0.79 |
| S3 | 99.08 | 31.2 | 13.08 | 1.57 |
| S4 | 298.59 | 46.6 | 23.74 | 2.72 |
| Samples | T5% (°C) | T30% (°C) | Carbon Residue Rate (790 °C, wt%) |
|---|---|---|---|
| S1 | 231.9 | 332.9 | 2.5 |
| S2 | 253.9 | 340.9 | 2.6 |
| S3 | 262.0 | 344.5 | 3.2 |
| S4 | 264.7 | 349.6 | 3.8 |
| Classification | S1 | S2 | S3 | S4 |
|---|---|---|---|---|
| Gel rate (wt%) | 78.44 | 87.27 | 91.88 | 94.71 |
| Pencil hardness | HB | H | 2H | 2H |
| Flexibility (mm) | 2 | 2 | 2 | 2 |
| Acid resistance (0.1 mol/L HCl) | Unchanged | Unchanged | Unchanged | Unchanged |
| Alkali resistance (0.1 mol/L NaOH) | Bleach | Bleach | Bleach | Bleach |
Disclaimer/Publisher’s Note: The statements, opinions and data contained in all publications are solely those of the individual author(s) and contributor(s) and not of MDPI and/or the editor(s). MDPI and/or the editor(s) disclaim responsibility for any injury to people or property resulting from any ideas, methods, instructions or products referred to in the content. |
© 2024 by the authors. Licensee MDPI, Basel, Switzerland. This article is an open access article distributed under the terms and conditions of the Creative Commons Attribution (CC BY) license (https://creativecommons.org/licenses/by/4.0/).
Share and Cite
Tuo, Y.; Luo, X.; Xiong, Y.; Xu, C.-A.; Yuan, T. A Novel Polyfunctional Polyurethane Acrylate Derived from Castor Oil-Based Polyols for Waterborne UV-Curable Coating Application. Polymers 2024, 16, 949. https://doi.org/10.3390/polym16070949
Tuo Y, Luo X, Xiong Y, Xu C-A, Yuan T. A Novel Polyfunctional Polyurethane Acrylate Derived from Castor Oil-Based Polyols for Waterborne UV-Curable Coating Application. Polymers. 2024; 16(7):949. https://doi.org/10.3390/polym16070949
Chicago/Turabian StyleTuo, Youmin, Xubiao Luo, Yahong Xiong, Chang-An Xu, and Teng Yuan. 2024. "A Novel Polyfunctional Polyurethane Acrylate Derived from Castor Oil-Based Polyols for Waterborne UV-Curable Coating Application" Polymers 16, no. 7: 949. https://doi.org/10.3390/polym16070949
APA StyleTuo, Y., Luo, X., Xiong, Y., Xu, C.-A., & Yuan, T. (2024). A Novel Polyfunctional Polyurethane Acrylate Derived from Castor Oil-Based Polyols for Waterborne UV-Curable Coating Application. Polymers, 16(7), 949. https://doi.org/10.3390/polym16070949

