Estimation of Environmental Effects and Response Time in Gas-Phase Explosives Detection Using Photoluminescence Quenching Method
Abstract
1. Introduction
2. Experimental Set-Up for Data Acquisition
2.1. Materials and Methods
2.2. Automatic Shutter Control and Real-Time PL Intensity Monitoring System
2.3. Measurements of Photoluminescence Spectra
2.4. In Situ Measurement of Temperature and Humidity
3. Results and Discussion
3.1. Shutter Exposure Time Dependence
3.2. Response Time Analysis
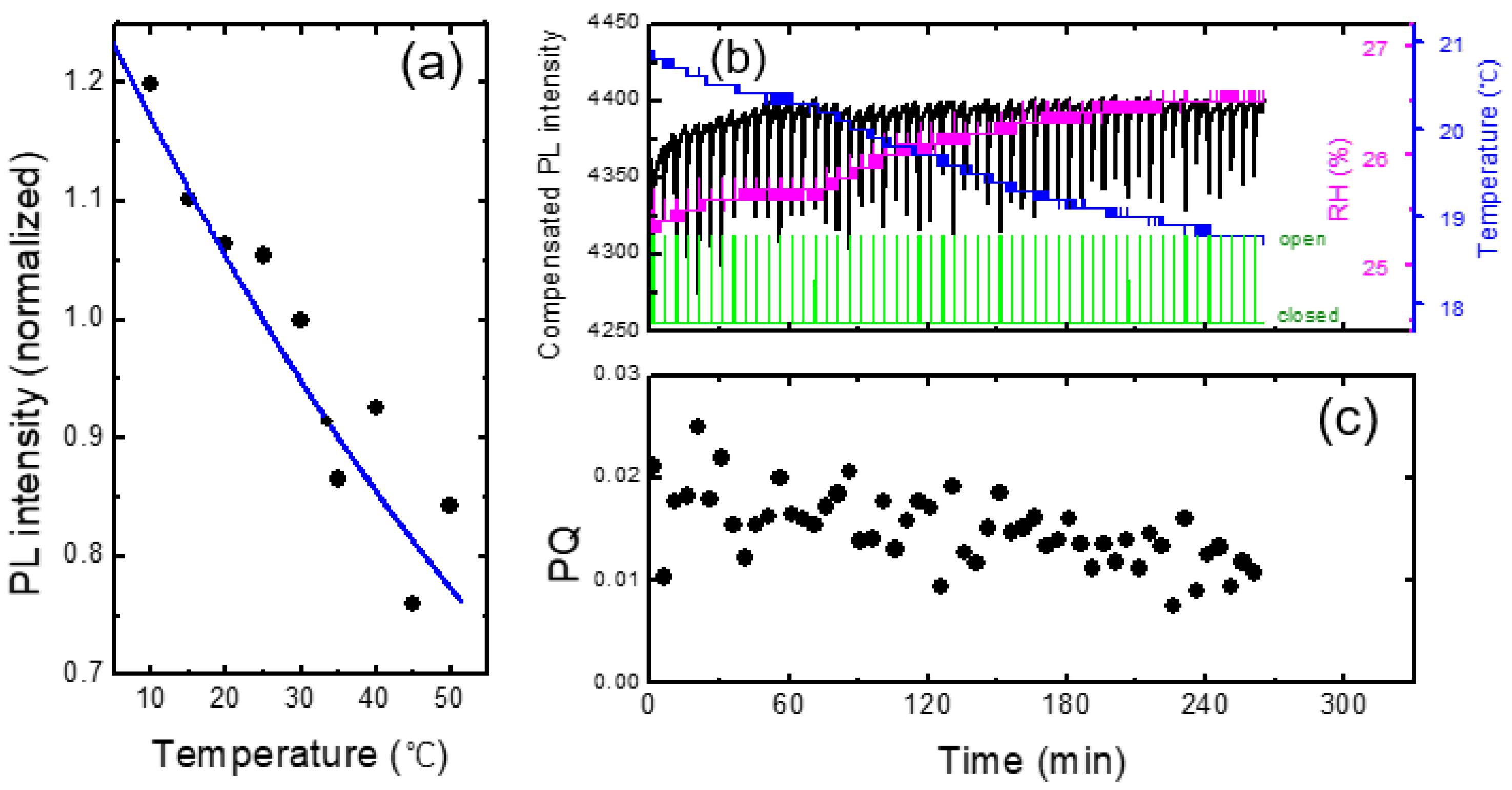
3.3. Effect of Temperature and Humidity
3.4. Analysis of Complicated Situations and Degradation of Polymer Films
4. Conclusions
Supplementary Materials
Author Contributions
Funding
Institutional Review Board Statement
Data Availability Statement
Acknowledgments
Conflicts of Interest
Dual-use Research Statement
- Ø
- Explanation of Potential Risks: The aim of our research is to provide some theoretical and experimental understanding for vapor phase explosives detection and our research does not pose any threat to public health or national security.
- Ø
- Evaluation of Benefits to the General Public: Our research is beneficial to the development of material science. There is no risk to the general public.
- Ø
- Compliance with Laws: As an ethical responsibility, we strictly adhere to relevant national and international laws about dual-use research. We have considered and adhered to these regulations in our paper.
References
- Ewing, R.; Atkinson, D.; Eiceman, G.; Ewing, G. A Critical Review of Ion Mobility Spectrometry for the Detection of Explosives and Explosive Related Compounds. Talanta 2001, 54, 515–529. [Google Scholar] [CrossRef] [PubMed]
- Moore, D.S. Instrumentation for Trace Detection of High Explosives. Rev. Sci. Instrum. 2004, 75, 2499–2512. [Google Scholar] [CrossRef]
- Adhikari, S.; Ampadu, E.K.; Kim, M.; Noh, D.; Oh, E.; Lee, D. Detection of Explosives by SERS Platform Using Metal Nanogap Substrates. Sensors 2021, 21, 5567. [Google Scholar] [CrossRef] [PubMed]
- Caygill, J.S.; Davis, F.; Higson, S.P.J. Current Trends in Explosive Detection Techniques. Talanta 2012, 88, 14–29. [Google Scholar] [CrossRef] [PubMed]
- Yang, J.; Aschemeyer, S.; Martinez, H.P.; Trogler, W.C. Hollow Silica Nanospheres Containing a Silafluorene–Fluorene Conjugated Polymer for Aqueous TNT and RDX Detection. Chem. Commun. 2010, 46, 6804–6806. [Google Scholar] [CrossRef] [PubMed]
- Mathew, A.; Sajanlal, P.R.; Pradeep, T. Selective Visual Detection of TNT at the Sub-Zeptomole Level. Angew. Chem. Int. Ed. 2012, 51, 9596–9600. [Google Scholar] [CrossRef]
- Ma, Y.; Huang, S.; Deng, M.; Wang, L. White Upconversion Luminescence Nanocrystals for the Simultaneous and Selective Detection of 2,4,6-Trinitrotoluene and 2,4,6-Trinitrophenol. ACS Appl. Mater. Interfaces 2014, 6, 7790–7796. [Google Scholar] [CrossRef] [PubMed]
- Enkin, N.; Sharon, E.; Golub, E.; Willner, I. Ag Nanocluster/DNA Hybrids: Functional Modules for the Detection of Nitroaromatic and RDX Explosives. Nano Lett. 2014, 14, 4918–4922. [Google Scholar] [CrossRef] [PubMed]
- Ma, Y.; Wang, L. Upconversion Luminescence Nanosensor for TNT Selective and Label-Free Quantification in the Mixture of Nitroaromatic Explosives. Talanta 2014, 120, 100–105. [Google Scholar] [CrossRef] [PubMed]
- Yang, J.-S.; Swager, T.M. Fluorescent Porous Polymer Films as TNT Chemosensors: Electronic and Structural Effects. J. Am. Chem. Soc. 1998, 120, 11864–11873. [Google Scholar] [CrossRef]
- Noh, D.; Ampadu, E.K.; Oh, E. Influence of Air Flow on Luminescence Quenching in Polymer Films towards Explosives Detection Using Drones. Polymers 2022, 14, 483. [Google Scholar] [CrossRef] [PubMed]
- Adhikari, S.; Noh, D.; Kim, M.; Ahn, D.; Jang, Y.; Oh, E.; Lee, D. Vapor Phase Detection of Explosives by Surface Enhanced Raman Scattering under Ambient Conditions with Metal Nanogap Structures. Spectrochim. Acta Part A Mol. Biomol. Spectrosc. 2024, 311, 123996. [Google Scholar] [CrossRef] [PubMed]
- Sun, X.; Wang, Y.; Lei, Y. Fluorescence Based Explosive Detection: From Mechanisms to Sensory Materials. Chem. Soc. Rev. 2015, 44, 8019–8061. [Google Scholar] [CrossRef] [PubMed]
- Campbell, I.A.; Turnbull, G.A. A Kinetic Model of Thin-Film Fluorescent Sensors for Strategies to Enhance Chemical Selectivity. Phys. Chem. Chem. Phys. 2021, 23, 10791–10798. [Google Scholar] [CrossRef] [PubMed]
- Yang, J.-S.; Swager, T.M. Porous Shape Persistent Fluorescent Polymer Films: An Approach to TNT Sensory Materials. J. Am. Chem. Soc. 1998, 120, 5321–5322. [Google Scholar] [CrossRef]
- Chang, C.-P.; Chao, C.-Y.; Huang, J.H.; Li, A.-K.; Hsu, C.-S.; Lin, M.-S.; Hsieh, B.R.; Su, A.-C. Fluorescent Conjugated Polymer Films as TNT Chemosensors. Synth. Met. 2004, 144, 297–301. [Google Scholar] [CrossRef]
- Glazier, S.; Barron, J.A.; Morales, N.; Ruschak, A.M.; Houston, P.L.; Abruña, H.D. Quenching Dynamics of the Photoluminescence of [Ru(bpy)3]2+-Pendant PAMAM Dendrimers by Nitro Aromatics and Other Materials. Macromolecules 2003, 36, 1272–1278. [Google Scholar] [CrossRef]
- Qin, A.; Tang, L.; Lam, J.W.Y.; Jim, C.K.W.; Yu, Y.; Zhao, H.; Sun, J.; Tang, B.Z. Metal-Free Click Polymerization: Synthesis and Photonic Properties of Poly(Aroyltriazole)s. Adv. Funct. Mater. 2009, 19, 1891–1900. [Google Scholar] [CrossRef]
- Chen, Y.; Chen, Z.; He, Y.; Lin, H.; Sheng, P.; Liu, C.; Luo, S.; Cai, Q. L-Cysteine-Capped CdTe QD-Based Sensor for Simple and Selective Detection of Trinitrotoluene. Nanotechnology 2010, 21, 125502. [Google Scholar] [CrossRef]
- Ogugu, E.B.; Gillanders, R.N.; Mohammed, S.; Turnbull, G.A. Thermal Control of Organic Semiconductors for Trace Detection of Explosives. Phys. Chem. Chem. Phys. 2023, 25, 29548–29555. [Google Scholar] [CrossRef] [PubMed]
- Geng, Y.; Ali, M.A.; Clulow, A.J.; Fan, S.; Burn, P.L.; Gentle, I.R.; Meredith, P.; Shaw, P.E. Unambiguous Detection of Nitrated Explosive Vapours by Fluorescence Quenching of Dendrimer Films. Nat. Commun. 2015, 6, 8240. [Google Scholar] [CrossRef] [PubMed]
- Cumming, C.J.; Aker, C.; Fisher, M.; Fok, M.; La Grone, M.J.; Reust, D.; Rockley, M.G.; Swager, T.M.; Towers, E.; Williams, V. Using Novel Fluorescent Polymers as Sensory Materials for Above-Ground Sensing of Chemical Signature Compounds Ema-nating from Buried Landmines. IEEE Trans. Geosci. Remote Sens. 2001, 39, 1119–1128. [Google Scholar] [CrossRef]
- Shaw, P.E.; Burn, P.L. Real-Time Fluorescence Quenching-Based Detection of Nitro-Containing Explosive Vapours: What Are the Key Processes? Phys. Chem. Chem. Phys. 2017, 19, 29714–29730. [Google Scholar] [CrossRef] [PubMed]
- Ali, M.A.; Geng, Y.; Cavaye, H.; Burn, P.L.; Gentle, I.R.; Meredith, P.; Shaw, P.E. Molecular versus Exciton Diffusion in Fluorescence-Based Explosive Vapour Sensors. Chem. Commun. 2015, 51, 17406–17409. [Google Scholar] [CrossRef] [PubMed]
- Ali, M.A.; Shoaee, S.; Fan, S.; Burn, P.L.; Gentle, I.R.; Meredith, P.; Shaw, P.E. Detection of Explosive Vapors: The Roles of Exciton and Molecular Diffusion in Real-Time Sensing. Chemphyschem 2016, 17, 3350–3353. [Google Scholar] [CrossRef] [PubMed]
- Cavaye, H.; Shaw, P.E.; Smith, A.R.G.; Burn, P.L.; Gentle, I.R.; James, M.; Lo, S.-C.; Meredith, P. Solid State Dendrimer Sensors: Effect of Dendrimer Dimensionality on Detection and Sequestration of 2,4-Dinitrotoluene. J. Phys. Chem. C 2011, 115, 18366–18371. [Google Scholar] [CrossRef]
- Tamai, Y.; Ohkita, H.; Benten, H.; Ito, S. Exciton Diffusion in Conjugated Polymers: From Fundamental Understanding to Improvement in Photovoltaic Conversion Efficiency. J. Phys. Chem. Lett. 2015, 6, 3417–3428. [Google Scholar] [CrossRef] [PubMed]
- Rörich, I.; Schönbein, A.-K.; Mangalore, D.K.; Ribeiro, A.H.; Kasparek, C.; Bauer, C.; Crăciun, N.I.; Blom, P.W.M.; Ramanan, C. Temperature Dependence of the Photo- and Electroluminescence of Poly(p-Phenylene Vinylene) Based Polymers. J. Mater. Chem. C 2018, 6, 10569–10579. [Google Scholar] [CrossRef]
- Kawano, K.; Pacios, R.; Poplavskyy, D.; Nelson, J.; Bradley, D.D.; Durrant, J.R. Degradation of Organic Solar Cells Due to Air Exposure. Sol. Energy Mater. Sol. Cells 2006, 90, 3520–3530. [Google Scholar] [CrossRef]
- Gao, X.; Xue, D.; Gao, D.; Han, Q.; Ge, Q.; Ma, J.; Ding, J.; Zhang, W.; Zhang, B.; Feng, Y.; et al. High-Mobility Hydrophobic Conjugated Polymer as Effective Interlayer for Air-Stable Efficient Perovskite Solar Cells. Sol. RRL 2019, 3, 1800232. [Google Scholar] [CrossRef]
- Chen, Z.; Yu, C.; Bai, W.; Ye, W.; Wang, J.; Wei, J.; Wang, Y.; He, J.; Lu, J. Surface Functionalization of Ion-in-Conjugation Polymer Sensors for Humidity-Independent Gas Detection at Room Temperature. Sens. Actuators B Chem. 2022, 372, 132654. [Google Scholar] [CrossRef]
- Satrijo, A.; Kooi, S.E.; Swager, T.M. Enhanced Luminescence from Emissive Defects in Aggregated Conjugated Polymers. Macromolecules 2007, 40, 8833–8841. [Google Scholar] [CrossRef] [PubMed][Green Version]
- Eder, T.; Stangl, T.; Gmelch, M.; Remmerssen, K.; Laux, D.; Höger, S.; Lupton, J.M.; Vogelsang, J. Switching between H- and J-Type Electronic Coupling in Single Conjugated Polymer Aggregates. Nat. Commun. 2017, 8, 1641. [Google Scholar] [CrossRef]
- Tian, E.; Wang, J.; Zheng, Y.; Song, Y.; Jiang, L.; Zhu, D. Colorful Humidity Sensitive Photonic Crystal Hydrogel. J. Mater. Chem. 2008, 18, 1116–1122. [Google Scholar] [CrossRef]
- Gobato, Y.G.; Marletta, A.; Faria, R.M.; Guimarães, F.E.G.; de Souza, J.M.; Pereira, E.C. Photoinduced Photoluminescence Intensity Enhancement in Poly(p-Phenylene Vinylene) Films. Appl. Phys. Lett. 2002, 81, 942–944. [Google Scholar] [CrossRef]
- AlShetwi, Y.A.; Schiefer, D.; Sommer, M.; Reiter, G. Continuous Illumination of a Conjugated Polymer Causes Strong Enhancement of Photoluminescence. J. Phys. Chem. B 2021, 125, 5636–5644. [Google Scholar] [CrossRef] [PubMed]
- Wu, C.; Bull, B.; Szymanski, C.; Christensen, K.; McNeill, J. Multicolor Conjugated Polymer Dots for Biological Fluorescence Imaging. ACS Nano 2008, 2, 2415–2423. [Google Scholar] [CrossRef] [PubMed]










| Parameter | Value | Unit |
|---|---|---|
| P2,4-DNT | 1.93 × 10−7 | |
| kdesorption | 4.698 × 10−2 | s−1 |
| a | 8.755 × 10−1 | |
| b | 7.820 × 10−6 | s−1 |
| 1/τkqkadsorptionP2,4-DNTPr | 63.61 | s |
| kadsorptionP2,4-DNTPr + kdesorption | 4.701 × 10−2 | s−1 |
| (LD/d)tanh(d/LD) | 1.094 × 10−1 |
Disclaimer/Publisher’s Note: The statements, opinions and data contained in all publications are solely those of the individual author(s) and contributor(s) and not of MDPI and/or the editor(s). MDPI and/or the editor(s) disclaim responsibility for any injury to people or property resulting from any ideas, methods, instructions or products referred to in the content. |
© 2024 by the authors. Licensee MDPI, Basel, Switzerland. This article is an open access article distributed under the terms and conditions of the Creative Commons Attribution (CC BY) license (https://creativecommons.org/licenses/by/4.0/).
Share and Cite
Noh, D.; Oh, E. Estimation of Environmental Effects and Response Time in Gas-Phase Explosives Detection Using Photoluminescence Quenching Method. Polymers 2024, 16, 908. https://doi.org/10.3390/polym16070908
Noh D, Oh E. Estimation of Environmental Effects and Response Time in Gas-Phase Explosives Detection Using Photoluminescence Quenching Method. Polymers. 2024; 16(7):908. https://doi.org/10.3390/polym16070908
Chicago/Turabian StyleNoh, Daegwon, and Eunsoon Oh. 2024. "Estimation of Environmental Effects and Response Time in Gas-Phase Explosives Detection Using Photoluminescence Quenching Method" Polymers 16, no. 7: 908. https://doi.org/10.3390/polym16070908
APA StyleNoh, D., & Oh, E. (2024). Estimation of Environmental Effects and Response Time in Gas-Phase Explosives Detection Using Photoluminescence Quenching Method. Polymers, 16(7), 908. https://doi.org/10.3390/polym16070908

