New Composites Derived from the Natural Fiber Polymers of Discarded Date Palm Surface and Pineapple Leaf Fibers for Thermal Insulation and Sound Absorption
Abstract
1. Introduction
2. Materials and Methods
2.1. Collecting the Discarded Materials
2.2. Preparing the Samples for Testing
2.2.1. Loose Fiber Polymer Group Samples
2.2.2. Bound Composite Group Boards
2.2.3. Hybrid Composite Group Boards
3. Mechanical Test for Bound and Hybrid Composite Samples
4. Scanning Electron Microscopy (SEM) Analysis
5. Thermal Conductivity Coefficient Measurement Test
6. Sound Absorption Coefficient Test
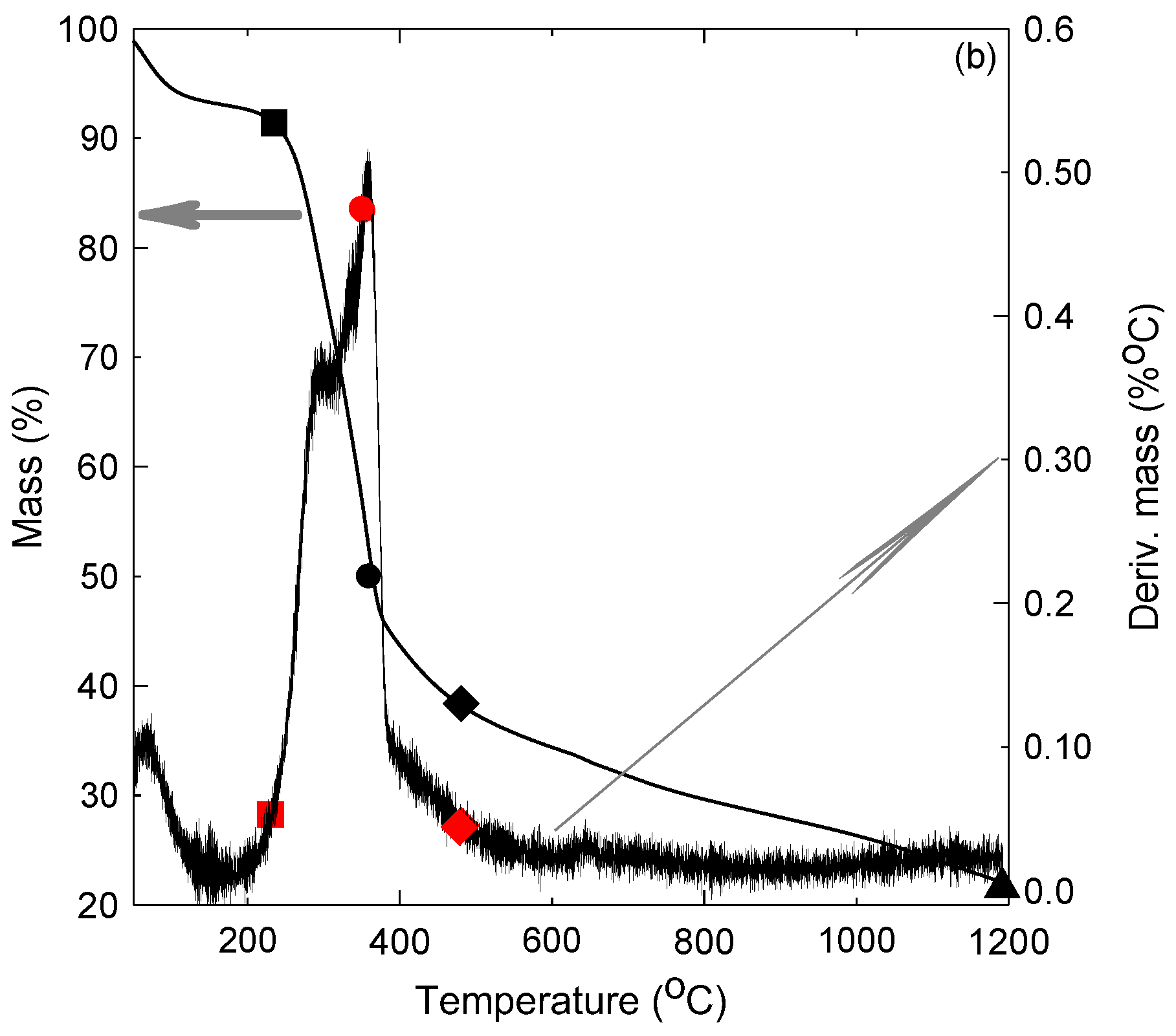
7. Thermal Stability and Decomposition Test
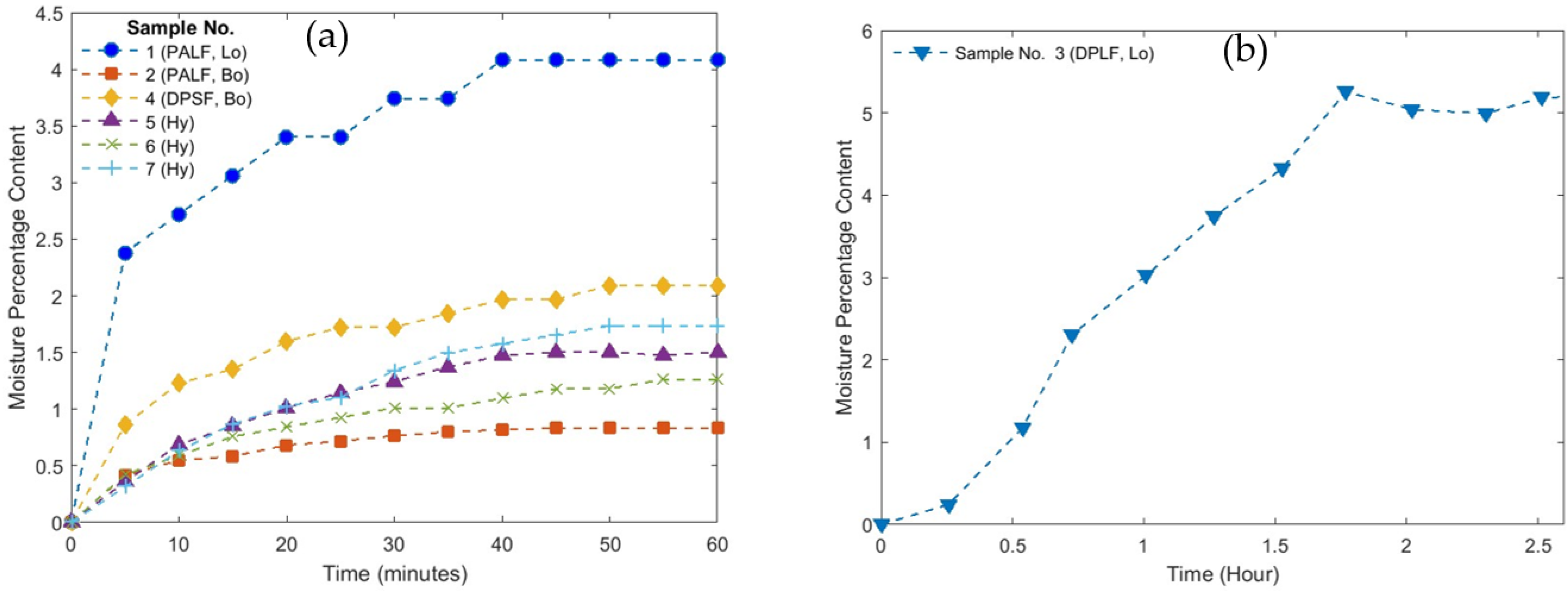
8. Moisture Content Test
9. Results and Discussion
10. Conclusions
Author Contributions
Funding
Data Availability Statement
Acknowledgments
Conflicts of Interest
References
- FAOSTAT. Crop Production, Statistics Division, Food and Agriculture Organization of United Nations; FAO: Rome, Italy; Available online: https://www.fao.org/food-agriculture-statistics/en/ (accessed on 20 March 2024).
- El Morsy, M.M.S. Studies on the rachis of Egyptain date palm leaves for hardboard production. Fibre Sci. Technol. 1980, 13, 317–321. [Google Scholar] [CrossRef]
- Barreveld, W.H. Date Palm Products; Bulletin No. 101; FAO Agricultural Services: Rome, Italy, 1993. [Google Scholar]
- Khiari, R.; Mhenni, M.F.; Belgacem, M.N.; Mauret, E. Chemical composition and pulping of date palm rachis and Posidonia oceanica—A comparison with other wood and non-wood fibre sources. Bioresour. Technol. 2010, 101, 775–780. [Google Scholar] [CrossRef]
- McKendry, P. Energy production from biomass (part 1): Overview of biomass. Bioresour Technol. 2002, 83, 37–46. [Google Scholar] [CrossRef] [PubMed]
- Nassour, A.; Majanny, A.; Nelles, M. Waste Management: Current Developments in the Arabic Countries. In Proceedings of the Tagungsband Anlässlich der Asian-European Environmental Technology and Knowledge Transfer Conference, Hefei, China, 5–6 June 2008; pp. 14–23, ISBN 978-3-00-024606-7. [Google Scholar]
- Saidik, M.W.; El-Shaer, H.M.; Yakot, H.M. Recycling of agriculture and animal from wastes into compost using compost activator in Saudi Arabia. J. Environ. Appl. Sci. 2010, 5, 397–403. [Google Scholar]
- Belatrache, D.; Bentouba, S.; Zioui, N.; Bourouis, M. Energy efficiency and thermal comfort of buildings in arid climates employing insulating material produced from date palm waste matter. Energy 2023, 283, 128453. [Google Scholar] [CrossRef]
- Raza, M.; Al Abdallah, H.; Kozal, M.; Al Khaldi, A.; Ammar, T.; Abu-Jdayil, B. Development and characterization of Polystyrene–Date palm surface fibers composites for sustainable heat insulation in construction. J. Build. Eng. 2023, 75, 106988. [Google Scholar] [CrossRef]
- Raza, M.; Al Abdallah, H.; Abdullah, A.; Abu-Jdayil, B. Date Palm Surface Fibers for Green Thermal Insulation. Buildings 2022, 12, 866. [Google Scholar] [CrossRef]
- Ali, M.E.; Alabdulkarem, A. On thermal characteristics and microstructure of a new insulation material extracted from date palm trees surface fibers. Constr. Build. Mater. 2017, 138, 276–284. [Google Scholar] [CrossRef]
- Ali, M.; Alabdulkarem, A.; Nuhait, A.; Al-Salem, K.; Iannace, G. Characteristics of Agro Waste Fibers as New Thermal Insulation and Sound Absorbing Materials: Hybrid of Date Palm Tree Leaves and Wheat Straw Fibers. J. Nat. Fibers 2022, 19, 6576–6594. Available online: https://www.tandfonline.com/doi/full/10.1080/15440478.2021.1929647 (accessed on 1 June 2021). [CrossRef]
- Alabdulkarem, A.; Ali, M.; Iannace, G.; Sadek, S.; Almuzaiqer, R. Thermal analysis, microstructure and acoustic characteristics of some hybrid natural insulating materials. Constr. Build. Mater. 2018, 187, 185–196. [Google Scholar] [CrossRef]
- Buckle, K.A. Biotechnology Opportunities in Waste Treatment and Utilisation for The Food Industry. In Biotechnology and The Food Industry; Rogers, P.L., Ed.; Breach Science Publishers: New York, NY, USA, 1989; pp. 261–277. [Google Scholar]
- Adhik, D.R.; Prasetiyo, I.; Noeriman, A.; Hidayah, N.; Widayani, S. Sound Absorption Characteristics of Pineapple Leaf/Epoxy Composite. Arch. Acoust. 2020, 45, 233–240. [Google Scholar] [CrossRef]
- Tangjuank, S. Thermal insulation and physical properties of particleboards from pineapple leaves. Int. J. Phys. Sci. 2011, 6, 4528–4532. [Google Scholar]
- Kumfu, S.; Jintakosol, T. Thermal Insulation Produced from Pineapple Leaf and Natural Rubber Latex. Adv. Mater. Res. 2012, 506, 453–456. [Google Scholar] [CrossRef]
- Thilagavathi, G.; Muthukumar, N.; Neela Krishnanan, S.; Senthilram, T. Development and Characterization of Pineapple Fibre Nonwovens for Thermal and Sound Insulation Applications. J. Nat. Fibers 2020, 17, 1391–1400. [Google Scholar] [CrossRef]
- Do, N.H.; Tran, V.T.; Tran, Q.B.; Le, K.A.; Thai, Q.B.; Nguyen, P.T.; Duong, H.M.; Le, P.K. Recycling of Pineapple Leaf and Cotton Waste Fibers into Heat-insulating and Flexible Cellulose Aerogel Composites. J. Polym. Environ. 2021, 29, 1112–1121. [Google Scholar] [CrossRef]
- Saril, K.; Isnen, Y.Z.; Utomo, A.B.; Sunardi, S. Properties of Pineapple Leaf Fibers with Paper Waste as an Absorbing-Composite to Reduce Noise. J. Ilm. Pendidik. Fis. Al-Biruni 2022, 11, 175–184. [Google Scholar] [CrossRef]
- Suphamitmongkol, W.; Khanoonkon, N.; Rungruangkitkrai, N.; Boonyarit, J.; Changniam, C.; Sampoompuang, C.; Chollakup, R. Potential of Pineapple Leaf Fibers as Sound and Thermal Insulation Materials in Thailand. Progress. Appl. Sci. Technol. 2023, 13, 26–32. Available online: https://doi.nrct.go.th/ListDoi/listDetail?Resolve_DOI=10.14456/past.2023.5 (accessed on 25 March 2024).
- Ali, M.; Al-Suhaibani, Z.; Almuzaiqer, R.; Al-Salem, K.; Nuhait, A.; Algubllan, F.; Al-Howaish, M.; Aloraini, A.; Alqahtani, I. Sunflower and Watermelon Seeds and Their Hybrids with Pineapple Leaf Fibers as New Novel Thermal Insulation and Sound-Absorbing Materials. Polymers 2023, 15, 4422. [Google Scholar] [CrossRef]
- Namphonsane, A.; Amornsakchai, T.; Chia, C.H.; Goh, K.L.; Thanawan, S.; Wongsagonsup, R.; Smith, S.M. Development of Biodegradable Rigid Foams from Pineapple Field Waste. Polymers 2023, 15, 2895. [Google Scholar] [CrossRef]
- Fouladi, M.H.; Nassir, M.H.; Ghassem, M.; Shamel, M.; Peng, S.Y.; Wen, S.Y.; Xin, P.Z.; Nor, M.J.M. Utilizing Malaysian natural fibers as sound absorber. In Modeling and Measurement Methods for Acoustic Waves and for Acoustic Microdevices; BoD—Books on Demand: Norderstedts, Germany, 2013; pp. 161–170. [Google Scholar]
- Berardi, U.; Iannace, G. Acoustic characterization of natural fibers for sound absorption applications. Build. Environ. 2015, 94, 840–852. [Google Scholar] [CrossRef]
- SAAF Technologies Co., Ltd., Material Safety Data Sheet Wood Adhesive 78-1040, Oct 2016, Version: R2. Available online: https://www.gulfindustrialgroup.com/saaf/wp-content/uploads/2016/08/WOOD-ADHESIVE-78-1040-MSDS.pdf (accessed on 20 March 2024).
- ASTM D790-03; A Standard Test Methods for Flexural Properties of Unreinforced and Reinforced Plastics and Electrical Insulating Materials. ASTM International: West Conshohocken, PA, USA, 2003. Available online: www.astm.org (accessed on 20 March 2024).
- ASTM-C518; Standard Test Method for Steady-State Thermal Transmission Properties by Means of the Heat Flow Meter Apparatus (C 518). American Society of Testing and Materials (ASTM): West Conshohocken, PA, USA, 2010; pp. 152–166.
- ISO 8301:1991; Thermal Insulation—Determination of Steady-State Thermal Resistance and Related Properties—Heat Flow Meter Apparatus, 1st ed.; 1991-08-01. Available online: https://webstore.ansi.org/standards/iso/iso83011991#:~:text=ISO%208301%3A1991%20Thermal%20insulation%20--%20Determination%20of%20steady-state,and%20the%20calculation%20of%20its%20heat%20transfer%20properties (accessed on 20 March 2024).
- JIS A 1412-1:1999; Test Method for Thermal Resistance and Related Properties of Thermal Insulations—Guarded Hot Plate Apparatus, Published date 04-20-1999. Available online: https://www.intertekinform.com/en-us/standards/jis-a-1412-1-1999-623369_saig_jsa_jsa_1436257/ (accessed on 20 March 2024).
- DIN EN 12667:2001; Thermal Performance of Building Materials and Products—Determination of Thermal Resistance by Means of Guarded Hot Plate and Heat Flow Meter Methods—Products of High and Medium Thermal Resistance; English Version of DIN EN 12667. Available online: https://webstore.ansi.org/standards/din/dinen126672001 (accessed on 20 March 2024).
- ISO 10534-1; Determination of Sound Absorption Coefficient and Impedance in Impedance Tubes—Part 1: Method using Standing Wave Ratio. ISO: Geneva, Switzerland, 1996.
- ISO 10534-2; Determination of Sound Absorption Coefficient and Impedance in Impedance Tubes—Part 2: Transfer-function Method. ISO: Geneva, Switzerland, 1998.
- Ali, M.; Almuzaiqer, R.; Al-Salem, K.; Alabdulkarem, A.; Nuhait, A. New novel thermal insulation and sound-absorbing materials from discarded facemasks of COVID-19 pandemic. Sci. Rep. 2021, 11, 23240. [Google Scholar] [CrossRef]
- ASTM D2974-07; Standard Test Methods for Moisture, Ash, and Organic Matter of Peat and Other Organic Soils. ASTM International: West Conshohocken, PA, USA, 2007.
- RILEM-TC. Test for the determination of modulus of rupture and limit of proportionality of thin fibre reinforced cement sections. In RILEM Recommendations for the Testing and Use of Constructions Materials; RILEM, Ed.; E&F Spon: London, UK, 1984; pp. 161–163. ISBN 2351580117. [Google Scholar]
- Nguyen, D.M.; Grillet, A.-C.; Diep, T.M.H.; Bui, Q.B.; Woloszyn, M. Influence of thermo-pressing conditions on insulation materials from bamboo fibers and proteins based bone glue. Ind. Crops Prod. 2018, 111, 834–845. [Google Scholar] [CrossRef]
- Dukhan, N.; Rayess, N.; Hadley, J. Characterization of aluminum foam–polypropylene interpenetrating phase composites: Flexural test results. Mech. Mater. 2010, 42, 134–141. [Google Scholar] [CrossRef]
- Kline, S.J.; McClintock, F.A. Describing Uncertainties in Single-Sample Experiments. ASME Mech. Eng. 1953, 75, 3–8. [Google Scholar]
- Moffat, R.J. Describing Uncertainties in Experimental Results. Exp. Therm. Fluid Sci. 1988, 1, 3–7. [Google Scholar] [CrossRef]
- Ali, M.; Alabdulkarem, A.; Nuhait, A.; Al-Salem, K.; Iannace, G.; Almuzaiqer, R.; Al-Turki, A.; Al-Ajlan, F.; Al-Mosabi, Y.; Al-Sulaimi, A. Thermal and acoustic characteristics of novel thermal insulating materials made of Eucalyptus Globulus leaves and wheat straw fibers. J. Build. Eng. 2020, 32, 101452. [Google Scholar] [CrossRef]
- Ali, M.; Alabdulkarem, A.; Nuhait, A.; Al-Salem, K.; Almuzaiqer, R.; Bayaquob, O.; Salah, H.; Alsaggaf, A.; Algafri, Z. Thermal Analyses of Loose Agave, Wheat Straw Fibers and Agave/Wheat Straw as New Hybrid Thermal Insulating Materials for Buildings. J. Nat. Fibers 2020, 18, 2173–2188. [Google Scholar] [CrossRef]
- Asdrubali, F.; D’Alessandro, F.; Schiavoni, S. A review of unconventional sustainable building insulation materials. Sustain. Mater. Technol. 2015, 4, 1–17. [Google Scholar] [CrossRef]
- Korjenic, A.; Petránek, V.; Zach, J.; Hroudová, J. Development and performance evaluation of natural thermal-insulation materials composed of renewable resources. Energy Build. 2011, 43, 2518–2523. [Google Scholar] [CrossRef]
- Manohar, K.; Ramlakhan, D.; Kochhar, G.; Haldar, S. Biodegradable fibrous thermal insulation. J. Braz. Soc. Mech. Sci. Eng. 2006, 28, 45–47. [Google Scholar] [CrossRef]
- Danihelova, A.; Nemec, M.; Gergel, T.; Gejdos, M.; Gordanova, J.; Scensny, P. Usage of Recycled Technical Textiles as Thermal Insulation and an Acoustic Absorber. Sustainability 2019, 11, 2968. [Google Scholar] [CrossRef]
- Pleban, D. Method of Testing of Sound Absorption Properties of Materials Induced for Ultrasonic Noise Protection. Arch. Acoust. 2013, 38, 191–195. [Google Scholar] [CrossRef]
- Li, Y.; Ren, S. (Eds.) Building Decorative Stone. In Woodhead Publishing Series in Civil and Structural Engineering; Woodhead Publishing: Sawston, UK, 2011; pp. 25–53. [Google Scholar] [CrossRef]
- Sagartzazu, X.; Hervella-Nieto, L.; Pagalday, J.M. Review in Sound Absorbing Materials. Arch. Comput. Methods Eng. 2008, 15, 311–342. [Google Scholar] [CrossRef]
- Bainbridge, D.A. High performance low cost buildings of straw. Agric. Ecosyst. Environ. 1986, 16, 281–284. [Google Scholar] [CrossRef]




















| Material | Sample Number | ||||||
| Lo (# 1) | Bo (# 2) | Lo (# 3) | Bo (# 4) | Hy (#5) | Hy (#6) | Hy (# 7) | |
| DPSF % | 0.0 | 0.0 | 100 | 75.9 | 46.0 | 33.0 | 18.0 |
| Mass of DPSF (g) | 0.0 | 0.0 | 500 | 500.2 | 272.3 | 150.15 | 107.6 |
| PALF % | 100 | 87 | 0.0 | 0.0 | 15.0 | 33.0 | 53.0 |
| Mass of PALF (g) | 106 | 321.9 | 0.0 | 0.0 | 88.8 | 150.15 | 317.0 |
| The ratio of the polymerized binder to the total mass % | 0.0 | 13 | 0.0 | 24.1 | 39.0 | 34.0 | 29.0 |
| Mass of the binder (g) | 0.0 | 48.1 | 0.0 | 158.8 | 230.9 | 154.7 | 173.4 |
| Thickness, (mm) | 21.0 | 13.0 | 46.0 | 44.0 | 30.0 | 30.0 | 24.0 |
| Figure # | 3a | 5a | 3b | 5b | 5c | 5d | 5e |
| Density of dried specimen (kg/m3) | 76.5 | 329 | 121 | 166 | 212 | 169 | 277 |
| Total dried mass (g) | 106 | 370 | 500 | 659 | 592 | 455 | 598 |
| Specimen No. | Thickness d (mm) | Width b (mm) | Span (L1) (mm) |
|---|---|---|---|
| 2 | 13.5 | 49.5 | 150 |
| 4 | 43 | 59.50 | 130 |
| 5 | 23 | 55.0 | 150 |
| 6 | 30 | 51.0 | 150 |
| 7 | 23 | 55.0 | 150 |
| Specimen No. | Slop, m (N/mm) | Flexure Modulus (MPa), Ef | Density, kg/m3 | Flexural Stress (MPa), σf | Flexural Strain at Flexural Strength, ϵf |
|---|---|---|---|---|---|
| 2 | 6.4 | 44.2 ± 5.9 | 329 | 0.64 ± 0.057 | 0.01 ± 0.001 |
| 4 | 6.5 | 0.8 ± 0.1 | 166 | 0.04 ± 0.003 | 0.02 ± 0.001 |
| 5 | 12.3 | 15.4 ± 2.1 | 212 | 0.43 ± 0.039 | 0.04 ± 0.002 |
| 6 | 10.6 | 6.5 ± 0.9 | 169 | 0.53 ± 0.047 | 0.16 ± 0.007 |
| 7 | 50.9 | 64.2 ± 8.6 | 277 | 1.67 ± 0.149 | 0.05 ± 0.002 |
| Sample Number | C1 | C2 | R2 (%) | K at 24 °C | Density, kg/m3 |
|---|---|---|---|---|---|
| 1 (PALF, Lo) | 0.038 | 0.00017 | 99.6 | 0.0425 | 76.5 |
| 2 (PALF, Bo) | 0.049 | 0.00028 | 99.9 | 0.0557 | 329 |
| 3 (DPSF, Lo) | 0.046 | 0.00017 | 97.2 | 0.0498 | 121 |
| 4 (DPSF, Bo) | 0.052 | 0.00028 | 99.1 | 0.0592 | 166 |
| 5(Hy) | 0.051 | 0.00024 | 99.1 | 0.0568 | 212 |
| 6(Hy) | 0.048 | 0.00028 | 99.6 | 0.0546 | 169 |
| 7(Hy) | 0.049 | 0.00023 | 99.8 | 0.0547 | 277 |
| Polymer Fibers or Composites | Density (kg/m3) | Thermal Conductivity (w/mk) | References |
|---|---|---|---|
| PALF (Bo #2) | 329 | 0.0541–0.0721 | Current |
| DPSF (Bo # 4) | 166 | 0.05918–0.075302 | Current |
| Hy (# 5) | 212 | 0.05679–0.070622 | Current |
| Hy (# 6) | 169 | 0.054595–0.07065 | Current |
| Hy (#7) | 277 | 0.054717–0.068542 | Current |
| Bound sunflower seed fibers | 248 | 0.0617–0.0801 | [22] |
| Bound watermelon | 472 | 0.0669–0.0982 | [22] |
| Bound eucalyptus globulus leaves | 153.0 | 0.0472–0.0599 | [41] |
| Bound wheat straw fibers | 130.0 | 0.0466–0.0569 | [41] |
| The hybrid of eucalyptus globulus leaves and wheat straw fibers | 211.0 | 0.0460–0.0574 | [41] |
| Hybrid (date palm surface fibers + Apple of Sodom fibers) | 114.0–233.0 | 0.0423–0.0529 | [13] |
| Date palm surface fibers | 176–260 | 0.0475–0.0697 | [11] |
| Bagasse | 70–350 | 0.0460–0.0550 | [43] |
| Straw bale | 50–150 | 0.0380–0.0670 | [43] |
| Rice husk | 154–168 | 0.0464–0.566 | [43] |
| Corn cob | 171–334 | 0.101 | [44] |
| Jute | 26.1 | 0.0458 | [44] |
| Flax | 32.1 | 0.0429 | [44] |
| Technical hemp | 30.2 | 0.0486 | [44] |
| Coconut fiber | 40–90 | 0.0480–0.0576 | [45] |
| Kenaf | 30–180 | 0.034–0.043 | [43] |
| Sample Number | Density, kg/m3 | Frequency (Hz) | NRC | |||
|---|---|---|---|---|---|---|
| 250 Hz | 500 Hz | 1000 Hz | 2000 Hz | |||
| Sound Absorption Coefficients (SACs) | ||||||
| 2 | 329 | 0.047 | 0.073 | 0.054 | 0.101 | 0.069 |
| 4 | 166 | 0.501 | 0.482 | 0.853 | 0.725 | 0.641 |
| 5 | 212 | 0.087 | 0.213 | 0.704 | 0.534 | 0.384 |
| 6 | 169 | 0.066 | 0.113 | 0.432 | 0.640 | 0.313 |
| 7 | 277 | 0.050 | 0.171 | 0.471 | 0.816 | 0.377 |
| Bound Composite Sample 2 (Figure 18a) | |||||||
|---|---|---|---|---|---|---|---|
| Thermally Stable | T50% Degradation | Inflection | Char Formation | ||||
| Mass % 90.0 | Temp. (°C) 272.8 | Mass % 50.0 | Temp. (°C) 362.6 | Mass % 45.0 | Temp. (°C) 393.8 | Mass % 20.0 | Temp. (°C) 787.0 |
| Hybrid composite sample 5 (Figure 18c) | |||||||
| Thermally stable | T50% degradation | inflection | Char formation | ||||
| Mass % 90.0 | Temp. (°C) 287.8 °C | Mass % 50.0 | Temp. (°C) 366.8 | Mass % 38.0 | Temp. (°C) 391.7 | Mass % 15.0 | Temp. (°C) 800.0 |
| Bound composite sample 4 (Figure 18b) | |||||||
| Thermally stable | T50% degradation | inflection | Char formation | ||||
| Mass % 90.0 | Temp. (°C) 275.8 | Mass % 50.0 | Temp. (°C) 400.0 | Mass % 45.0 | Temp. (°C) 432.5 | Mass % 20.0 | Temp. (°C) 800 |
Disclaimer/Publisher’s Note: The statements, opinions and data contained in all publications are solely those of the individual author(s) and contributor(s) and not of MDPI and/or the editor(s). MDPI and/or the editor(s) disclaim responsibility for any injury to people or property resulting from any ideas, methods, instructions or products referred to in the content. |
© 2024 by the authors. Licensee MDPI, Basel, Switzerland. This article is an open access article distributed under the terms and conditions of the Creative Commons Attribution (CC BY) license (https://creativecommons.org/licenses/by/4.0/).
Share and Cite
Ali, M.; Al-Suhaibani, Z.; Almuzaiqer, R.; Albahbooh, A.; Al-Salem, K.; Nuhait, A. New Composites Derived from the Natural Fiber Polymers of Discarded Date Palm Surface and Pineapple Leaf Fibers for Thermal Insulation and Sound Absorption. Polymers 2024, 16, 1002. https://doi.org/10.3390/polym16071002
Ali M, Al-Suhaibani Z, Almuzaiqer R, Albahbooh A, Al-Salem K, Nuhait A. New Composites Derived from the Natural Fiber Polymers of Discarded Date Palm Surface and Pineapple Leaf Fibers for Thermal Insulation and Sound Absorption. Polymers. 2024; 16(7):1002. https://doi.org/10.3390/polym16071002
Chicago/Turabian StyleAli, Mohamed, Zeyad Al-Suhaibani, Redhwan Almuzaiqer, Ali Albahbooh, Khaled Al-Salem, and Abdullah Nuhait. 2024. "New Composites Derived from the Natural Fiber Polymers of Discarded Date Palm Surface and Pineapple Leaf Fibers for Thermal Insulation and Sound Absorption" Polymers 16, no. 7: 1002. https://doi.org/10.3390/polym16071002
APA StyleAli, M., Al-Suhaibani, Z., Almuzaiqer, R., Albahbooh, A., Al-Salem, K., & Nuhait, A. (2024). New Composites Derived from the Natural Fiber Polymers of Discarded Date Palm Surface and Pineapple Leaf Fibers for Thermal Insulation and Sound Absorption. Polymers, 16(7), 1002. https://doi.org/10.3390/polym16071002

