Polyurethanes Synthesized with Blends of Polyester and Polycarbonate Polyols—New Evidence Supporting the Dynamic Non-Covalent Exchange Mechanism of Intrinsic Self-Healing at 20 °C
Abstract
1. Introduction
2. Materials and Methods
2.1. Materials
2.2. Methods
2.2.1. Synthesis of the Polyurethanes (PUs)
2.2.2. Experimental Techniques
3. Results
3.1. Assessment of PUs Self-Healing at 20 °C
3.2. Chemical Compositions of the PUs
3.3. Structural Properties of the PUs
- -
- The diffraction peak of the polycarbonate soft segments at 2θ = 20.3° in Y8CD2PE is more intense than the one in YCD, and a new peak at 2θ = 21.8° due to polyester soft segments–polycarbonate soft segments interactions appears; furthermore, the diffraction peaks of the polyester soft segments are absent. Therefore, in Y8CD2PE, the few polyester soft segments are intercalated between the dominant polycarbonate soft segments, which results in higher crystallinity. The mixture of 80 wt.% CD + 20 wt.% PE polyols shows a similar X-ray diffractogram to Y8CD2PE, although the diffraction peaks are less intense in Y8CD2PE (Figure 11). Thus, the interactions between polycarbonate soft segments are dominant in Y8CD2PE, similarly to YCD, so both PUs show somewhat similar short self-healing times and fast kinetics of self-healing at 20 °C (Figure 3).
- -
- The X-ray diffractograms of Y6CD4PE and Y4CD6PE show similarly intense peaks of polycarbonate soft segments at 2θ = 20.1–20.3°, the peaks of the polyester soft segments at 2θ = 21.1–21.4° (more intense in Y4CD6PE), and additional peaks at 2θ = 21.5–21.8° due to polyester soft segments–polycarbonate soft segments interactions (more intense in Y4CD6PE). Therefore, in Y6CD4PE and Y4CD6PE, the crystallinities due to each kind of soft segments can be distinguished, as well as the one due to the interactions between soft segments of different nature; this indicates the intercalation of the polycarbonate and polyester soft segments. Because the interactions between the polycarbonate soft segments are less intense than the ones among the polycarbonate and polyester soft segments, the self-healing times are longer and the kinetics of self-healing at 20 °C of Y6CD4PE and Y4CD6PE are slower than in YCD and Y8CD2PE (Figure 3).
- -
- The X-ray diffractogram of Y2CD8PE shows the most intense peak of the polyester soft segments at 2θ = 21.4° and the one of the polyester soft segments–polycarbonate soft segments interactions at 2θ = 21.7°; the diffraction peaks of the polycarbonate soft segments are absent. Therefore, the structure of Y2CD8PE is dominated by the interactions between the polyester soft segments with some contribution of the interactions between polyester and polycarbonate soft segments. Thus, the polycarbonate soft segments are intercalated between the dominant polyester soft segments, enhancing the crystallinity of Y2CD8CD with respect to YPE. YPE and Y2CD8PE have somewhat similar structures, but, due to the polycarbonate soft segments–polyester soft segments interactions, Y2CD8PE is the only one exhibiting self-healing at 20 °C (Figure 3).
3.4. Mechanical Properties of the PUs
4. Discussion
- YCD and Y8CD2PE—The PUs made with only CD polyol and with 80 wt.% CD + 20 wt.% PE show short self-healing times (1.4–2.0 s) and fast kinetics of self-healing.
- Y6CD4PE and Y4CD6PE—The PUs made with 40–60 wt.% CD + 60 − 40 wt.% PE show somewhat similar intermediate self-healing times (4.6–6.2 s) and intermediate kinetics of self-healing.
- Y2CD8PE—The PU made with 20 wt.% CD + 80 wt.% PE shows a long self-healing time (20.3 s) and slow kinetics of self-healing.
5. Conclusions
Supplementary Materials
Author Contributions
Funding
Institutional Review Board Statement
Data Availability Statement
Acknowledgments
Conflicts of Interest
References
- Eschweiler, N.; Keul, H.; Millaruelo, M.; Weberskirch, R.; Moeller, M. Synthesis of α, ω-isocyanate telechelic polymethacrylate soft segments with activated ester side functionalities and their use for polyurethane synthesis. Polym. Int. 2014, 63, 114–126. [Google Scholar] [CrossRef]
- Kim, S.M.; Jeon, H.; Shin, S.H.; Park, S.A.; Jegal, J.; Hwang, S.Y.; Oh, D.X.; Park, J. Superior toughness and fast self-healing at room temperature engineered by transparent elastomers. Adv. Mater. 2018, 30, 1705145. [Google Scholar] [CrossRef]
- Gündüz, G.; Kisakürek, R.R. Structure property study of waterborne polyurethane coatings with different hydrophilic contents and polyols. J. Dispersion Sci. Technol. 2004, 25, 217–228. [Google Scholar] [CrossRef]
- Kwak, Y.S.; Park, S.W.; Lee, Y.H.; Kim, H.D. Preparation and properties of waterborne polyurethanes for water vapor permeable coating materials. J. Appl. Polym. Sci. 2003, 89, 123–129. [Google Scholar] [CrossRef]
- Cakić, S.M.; Ristić, I.S.; Krakovský, I.; Stojiljković, D.T.; Bělský, P.; Kollová, L. Crystallization and thermal properties in waterborne polyurethane elastomers: Influence of mixed soft segment block. Mater. Chem. Phys. 2014, 144, 31–40. [Google Scholar] [CrossRef]
- Fuensanta, M.; Jofre-Reche, J.A.; Rodríguez-Llansola, F.; Costa, V.; Iglesias, J.I.; Martín-Martínez, J.M. Structural characterization of polyurethane ureas and waterborne polyurethane urea dispersions made with blends of polyester polyol and polycarbonate diol. Prog. Org. Coat. 2017, 112, 141–152. [Google Scholar] [CrossRef]
- Paez-Amieva, Y.; Martín-Martínez, J.M. Understanding the interactions between soft segments in polyurethanes: Structural synergies in blends of polyester and polycarbonate diol polyols. Polymers 2023, 15, 4494. [Google Scholar] [CrossRef]
- Wen, N.; Song, T.; Ji, Z.; Jiang, D.; Wu, Z.; Wang, Y.; Guo, Z. Recent advancements in self-healing materials: Mechanicals, performances and features. React. Funct. Polym. 2021, 168, 105041. [Google Scholar] [CrossRef]
- Grande, A.M.; Bijleveld, J.C.; Garcia, S.J.; Van Der Zwaag, S. A combined fracture mechanical–rheological study to separate the contributions of hydrogen bonds and disulfide linkages to the healing of poly (urea-urethane) networks. Polymer 2016, 96, 26–34. [Google Scholar] [CrossRef]
- Yilgör, I.; Yilgör, E.; Wilkes, G.L. Critical parameters in designing segmented polyurethanes and their effect on morphology and properties: A comprehensive review. Polymer 2015, 58, A1–A36. [Google Scholar] [CrossRef]
- Adzima, B.J.; Kloxin, C.J.; Bowman, C.N. Externally triggered healing of a thermoreversible covalent network via self-limited hysteresis heating. Adv. Mater. 2010, 22, 2784–2787. [Google Scholar] [CrossRef]
- Chang, K.; Jia, H.; Gu, S.Y. A transparent, highly stretchable, self-healing polyurethane based on disulfide bonds. Eur. Polym. J. 2019, 112, 822–831. [Google Scholar] [CrossRef]
- Wang, Z.; Xie, C.; Yu, C.; Fei, G.; Wang, Z.; Xia, H. A facile strategy for self-healing polyurethanes containing multiple metal–ligand bonds. Macromol. Rapid Commun. 2018, 39, 1700678. [Google Scholar] [CrossRef]
- Liang, F.; Wang, T.; Fan, H.; Xiang, J.; Chen, Y. A leather coating with self-healing characteristics. J. Leather Sci. Eng. 2020, 2, 5. [Google Scholar] [CrossRef]
- Lei, Y.; Wu, B.; Yuan, A.; Fu, X.; Jiang, L.; Lei, J. Simultaneously self-healing and photoluminescence waterborne polyurethane coatings based on dual dynamic bonds. Prog. Org. Coat. 2021, 159, 106433. [Google Scholar] [CrossRef]
- Ying, W.B.; Yu, Z.; Kim, D.H.; Lee, K.J.; Hu, H.; Liu, Y.; Kong, Z.; Wang, K.; Shang, J.; Zhang, R.; et al. Waterproof, highly tough, and fast self-healing polyurethane for durable electronic skin. ACS Appl. Mater. Interfaces 2020, 12, 11072–11083. [Google Scholar] [CrossRef]
- Eom, Y.; Kim, S.M.; Lee, M.; Jeon, H.; Park, J.; Lee, E.S.; Hwang, S.Y.; Park, J.; Oh, D.X. Mechano-responsive hydrogen-bonding array of thermoplastic polyurethane elastomer captures both strength and self-healing. Nat. Commun. 2021, 12, 621. [Google Scholar] [CrossRef]
- Jiang, C.; Zhang, L.; Yang, Q.; Huang, S.; Shi, H.; Long, Q.; Qian, B.; Liu, Z.; Guan, Q.; Liu, M.; et al. Self-healing polyurethane-elastomer with mechanical tunability for multiple biomedical applications in vivo. Nat. Commun. 2021, 12, 4395. [Google Scholar] [CrossRef]
- Yoshie, N.; Watanabe, M.; Araki, H.; Ishida, K. Thermo-responsive mending of polymers crosslinked by thermally reversible covalent bond: Polymers from bisfuranic terminated poly (ethylene adipate) and tris-maleimide. Polym. Degrad. Stab. 2010, 95, 826–829. [Google Scholar] [CrossRef]
- García-Pacios, V.; Costa, V.; Colera, M.; Martín-Martínez, J.M. Affect of polydispersity on the properties of waterborne polyurethane dispersions based on polycarbonate polyol. Int. J. Adhes. Adhes. 2010, 30, 456–465. [Google Scholar] [CrossRef]
- García-Pacios, V.; Costa, V.; Colera, M.; Martín-Martínez, J.M. Waterborne polyurethane dispersions obtained with polycarbonate of hexanediol intended for use as coatings. Prog. Org. Coat. 2011, 71, 136–146. [Google Scholar] [CrossRef]
- Kojio, K.; Furukawa, M.; Nonaka, Y.; Nakamura, S. Control of mechanical properties of thermoplastic polyurethane elastomers by restriction of crystallization of soft segment. Materials 2010, 3, 5097–5110. [Google Scholar] [CrossRef]
- Yang, G.W.; Zhang, Y.Y.; Wang, Y.; Wu, G.P.; Xu, Z.K.; Darensbourg, D.J. Construction of autonomic self-healing CO2-based polycarbonates via one-pot tandem synthetic strategy. Macromolecules 2018, 51, 1308–1313. [Google Scholar] [CrossRef]
- Matějka, L.; Špírková, M.; Dybal, J.; Kredatusová, J.; Hodan, J.; Zhigunov, A.; Šlouf, M. Structure evolution during order–disorder transitions in aliphatic polycarbonate based polyurethanes. Self-healing polymer. Chem. Eng. J. 2019, 357, 611–624. [Google Scholar] [CrossRef]
- Li, S.; Zhang, J.; Chen, J.; Yao, M.; Liu, X.; Jiang, Z. Self-healing polycarbonate-based polyurethane with shape memory behavior. Macromol. Res. 2019, 27, 649–656. [Google Scholar] [CrossRef]
- Zhang, W.; Chen, S.; Chen, S.; Wang, G.; Han, S.; Guo, J.; Yang, L.; Hu, J. Physical cross-linked aliphatic polycarbonate with shape-memory and self-healing properties. J. Mol. Liq. 2023, 381, 121798. [Google Scholar] [CrossRef]
- Paez-Amieva, Y.; Martín-Martínez, J.M. Non-covalent dynamic exchange intrinsic self-healing at 20 °C mechanism of polyurethane induced by interactions among polycarbonate soft segments. Polymers 2024, 16, 924. [Google Scholar] [CrossRef]
- Paez-Amieva, Y.; Carpena-Montesinos, J.; Martín-Martínez, J.M. Innovative device and procedure for in situ quantification of the self-healing ability and kinetics of self-healing of polymeric materials. Polymers 2023, 15, 2152. [Google Scholar] [CrossRef]
- ASTM D638-14 Standard; Test Method for Tensile Properties of Plastics. ASTM International: West Conshohocken, PA, USA, 2014.
- Cheng, B.X.; Zhang, J.L.; Jiang, Y.; Wang, S.; Zhao, H. High toughness, multi-dynamic self-healing polyurethane for outstanding energy harvesting and sensing. ACS Appl. Mater. Interfaces 2023, 15, 58806–58814. [Google Scholar] [CrossRef]
- Xu, Y.; Zhou, S.; Wu, Z.; Yang, X.; Li, N.; Qin, Z.; Jiao, T. Room-temperature self-healing and recyclable polyurethane elastomers with high strength and superior robustness based on dynamic double-crosslinked structure. J. Chem. Eng. 2023, 466, 143179. [Google Scholar] [CrossRef]
- Niemczyk, A.; Piegat, A.; Olalla, Á.S.; El Fray, M. New approach to evaluate microphase separation in segmented polyurethanes containing carbonate macrodiol. Eur. Polym. J. 2017, 93, 182–191. [Google Scholar] [CrossRef]
- Princi, E.; Vicini, S.; Castro, K.; Capitani, D.; Proietti, N.; Mannina, L. On the micro-phase separation in waterborne polyurethanes. Macromol. Chem. Phys. 2009, 210, 879–889. [Google Scholar] [CrossRef]
- Wang, Y.; Balbuena, P.B. Associations of alkyl carbonates: Intermolecular C−H···O interactions. J. Phys. Chem. A 2001, 43, 9972–9982. [Google Scholar] [CrossRef]
- Favero, D.; Marcon, V.; Figueroa, C.A.; Gómez, C.M.; Cros, A.; Garro, N.; Sanchis, M.J.; Carsí, M.; Bianchi, O. Effect of chain extender on the morphology, thermal, viscoelastic, and dielectric behavior of soybean polyurethane. J. Appl. Polym. Sci. 2021, 138, 50709–50725. [Google Scholar] [CrossRef]
- Ernzen, J.R.; Covas, J.A.; Marcos-Fernández, A.; Fiorio, R.; Bianchi, O. Soybean-based polyol as a substitute of fossil-based polyol on the synthesis of thermoplastic polyurethanes: The effect of its content on morphological and physicochemical properties. Polymers 2023, 15, 4010. [Google Scholar] [CrossRef]
- Wang, C.B.; Cooper, S.L. Morphology and properties of segmented polyether polyurethaneureas. Macromolecules 1983, 16, 775–786. [Google Scholar] [CrossRef]
- Garrett, J.; Runt, J.; Lin, J. Microphase separation of segmented poly (urethane urea) block copolymers. Macromolecules 2000, 33, 6353–6359. [Google Scholar] [CrossRef]




















| PU | k (1/s) | R2 |
|---|---|---|
| YCD | 0.91 | 0.97 |
| Y8CD2PE | 0.68 | 0.92 |
| Y6CD4PE | 0.41 | 0.98 |
| Y4CD6PE | 0.28 | 0.98 |
| Y2CD8PE | 0.14 | 0.99 |
| Wavenumber (cm−1) | Percentage (%) | Assignment | |||||
|---|---|---|---|---|---|---|---|
| YCD | Y8CD2PE | Y6CD4PE | Y4CD6PE | Y2CD8PE | YPE | ||
| 1662–1674 | 9 | 5 | 3 | 5 | 4 | 8 | Bonded urea |
| 1693–1697 | 15 | 10 | 8 | 6 | 7 | 10 | Free urea |
| 1707–1716 | 14 | 12 | 10 | 17 | 23 | 26 | Bonded urethane, ester–ester |
| 1720–1722 | - | 13 | 13 | 10 | 11 | - | Carbonate–ester |
| 1730–1734 | 38 | 25 | 35 | 31 | 32 | 56 | Carbonate–carbonate, Free C=O (ester), free urethane |
| 1739–1744 | 24 | 35 | 31 | 31 | 23 | - | Free C=O (carbonate) |
| PU | f | Xb | Wh | MP | SP | HP |
|---|---|---|---|---|---|---|
| YCD | 0.22 | 0.23 | 0.18 | 0.04 | 0.82 | 0.18 |
| Y8CD2PE | 0.22 | 0.29 | 0.17 | 0.04 | 0.82 | 0.18 |
| Y6CD4PE | 0.22 | 0.19 | 0.19 | 0.04 | 0.82 | 0.18 |
| Y4CD6PE | 0.22 | 0.31 | 0.16 | 0.04 | 0.82 | 0.18 |
| Y2CD8PE | 0.22 | 0.37 | 0.15 | 0.03 | 0.81 | 0.19 |
| YPE | 0.23 | 0.27 | 0.18 | 0.04 | 0.81 | 0.19 |
| Species | Percentage (at.%) | |||||
|---|---|---|---|---|---|---|
| YCD | Y8CD2PE | Y6CD4PE | Y4CD6PE | Y2CD8PE | YPE | |
| C | 76.4 | 75.5 | 79.9 | 72.5 | 73.9 | 75.4 |
| O | 23.2 | 23.4 | 19.1 | 25.7 | 24.4 | 22.8 |
| N | 0.4 | 1.1 | 1.0 | 1.8 | 1.7 | 1.8 |
| Species | Percentage (at.%) | |||||
|---|---|---|---|---|---|---|
| YCD | Y8CD2PE | Y6CD4PE | Y4CD6PE | Y2CD8PE | YPE | |
| C-C, C-H B.E. = 284.9 eV | 84.1 | 77.3 | 75.9 | 67.1 | 68.8 | 69.2 |
| C-O B.E. = 285.4–285.6 eV | 6.6 | 3.2 | 3.3 | 3.9 | 2.9 | 2.6 |
| C-N B.E. = 286.6–286.9 eV | 7.1 | 14.6 | 14.3 | 20.7 | 20.3 | 19.1 |
| C=O B.E. = 289.1–289.3 eV | 1.5 | 3.4 | 5.3 | 5.9 | 6.2 | 9.1 |
| O-(C=O)-O B.E. = 290.5–290.8 eV | 0.7 | 1.5 | 1.2 | 2.4 | 1.8 | - |
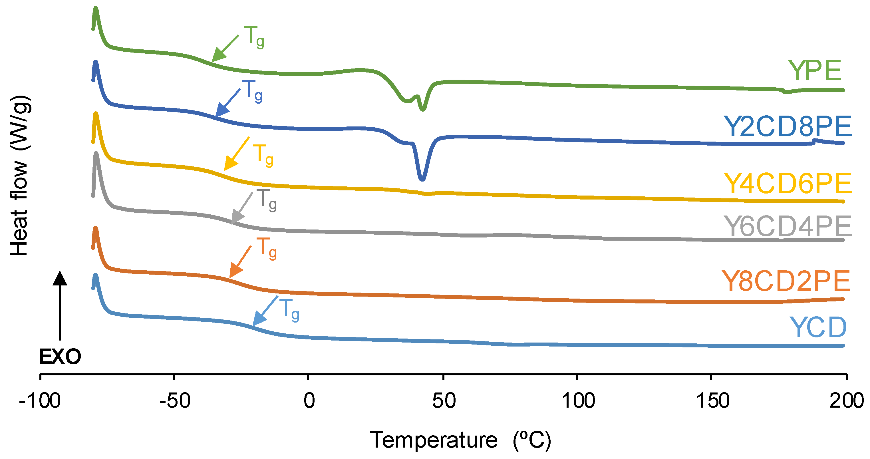
| PU | Tg (°C) | Δcp (J/g·°C) | Tc (°C) | ΔHc (J/g) | Tm (°C) | ΔHm (J/g) |
|---|---|---|---|---|---|---|
| YCD | −21 | 0.29 | - | - | - | - |
| Y8CD2PE | −26 | 0.39 | - | - | - | - |
| Y6CD4PE | −30 | 0.39 | - | - | - | - |
| Y4CD6PE | −33 | 0.37 | - | - | 44 | 0.2 |
| Y2CD8PE | −36 | 0.31 | 22 | 1 | 42 | 4 |
| YPE | −40 | 0.35 | 21 | 4 | 42 | 7 |
| PU | Tss (°C) | Ths (°C) |
|---|---|---|
| YCD | −18 | 236 |
| Y8CD2PE | −24 | 233 |
| Y6CD4PE | −29 | 238 |
| Y4CD6PE | −31 | 235 |
| Y2CD8PE | −38 | 240 |
| YPE | −37 | 241 |
| PU | 1st Degradation | 2nd Degradation | ||
|---|---|---|---|---|
| T1 (°C) | Weight Loss1 (%) | T2 (°C) | Weight Loss2 (%) | |
| YCD | 311 | 87 | 409 | 13 |
| Y8CD2PE | 300 | 84 | 416 | 14 |
| Y6CD4PE | 300 | 83 | 417 | 14 |
| Y4CD6PE | 299 | 81 | 406 | 16 |
| Y2CD8PE | 296 | 77 | 397 | 20 |
| YPE | 300 | 69 | 390 | 26 |
| PU | Young Modulus (kPa) | Yield Point | Break Point | ||
|---|---|---|---|---|---|
| σy (kPa) | εy (%) | σb (kPa) | εb (%) | ||
| YCD | 60 | - | - | 590 | ˃1119 |
| Y8CD2PE | 90 | - | - | 200 | 398 |
| Y6CD4PE | 100 | 600 | 20 | 490 | 81 |
| Y4CD6PE | 90 | 1150 | 27 | 790 | 125 |
| Y2CD8PE | 320 | 2150 | 16 | 570 | 172 |
| YPE | 1680 | 6200 | 9 | 3830 | 50 |
Disclaimer/Publisher’s Note: The statements, opinions and data contained in all publications are solely those of the individual author(s) and contributor(s) and not of MDPI and/or the editor(s). MDPI and/or the editor(s) disclaim responsibility for any injury to people or property resulting from any ideas, methods, instructions or products referred to in the content. |
© 2024 by the authors. Licensee MDPI, Basel, Switzerland. This article is an open access article distributed under the terms and conditions of the Creative Commons Attribution (CC BY) license (https://creativecommons.org/licenses/by/4.0/).
Share and Cite
Paez-Amieva, Y.; Mateo-Oliveras, N.; Martín-Martínez, J.M. Polyurethanes Synthesized with Blends of Polyester and Polycarbonate Polyols—New Evidence Supporting the Dynamic Non-Covalent Exchange Mechanism of Intrinsic Self-Healing at 20 °C. Polymers 2024, 16, 2881. https://doi.org/10.3390/polym16202881
Paez-Amieva Y, Mateo-Oliveras N, Martín-Martínez JM. Polyurethanes Synthesized with Blends of Polyester and Polycarbonate Polyols—New Evidence Supporting the Dynamic Non-Covalent Exchange Mechanism of Intrinsic Self-Healing at 20 °C. Polymers. 2024; 16(20):2881. https://doi.org/10.3390/polym16202881
Chicago/Turabian StylePaez-Amieva, Yuliet, Noemí Mateo-Oliveras, and José Miguel Martín-Martínez. 2024. "Polyurethanes Synthesized with Blends of Polyester and Polycarbonate Polyols—New Evidence Supporting the Dynamic Non-Covalent Exchange Mechanism of Intrinsic Self-Healing at 20 °C" Polymers 16, no. 20: 2881. https://doi.org/10.3390/polym16202881
APA StylePaez-Amieva, Y., Mateo-Oliveras, N., & Martín-Martínez, J. M. (2024). Polyurethanes Synthesized with Blends of Polyester and Polycarbonate Polyols—New Evidence Supporting the Dynamic Non-Covalent Exchange Mechanism of Intrinsic Self-Healing at 20 °C. Polymers, 16(20), 2881. https://doi.org/10.3390/polym16202881

