Synthesis and Properties of Semicrystalline Poly(ether nitrile ketone) Copolymers
Abstract
1. Introduction
2. Experimental Section
2.1. Materials
2.2. Synthesis of BP-PENK Copolymers
2.3. Preparation of BP-PENK Films
2.4. Isothermal Treatment of BP-PENK
2.5. Characterization
3. Results and Discussion
3.1. Synthesis of BP-PENK
3.2. Thermal Properties of BP-PENK Polymers
3.3. Mechanical Properties of BP-PENK Polymers
3.4. Dielectric Properties of BP-PENK Polymers
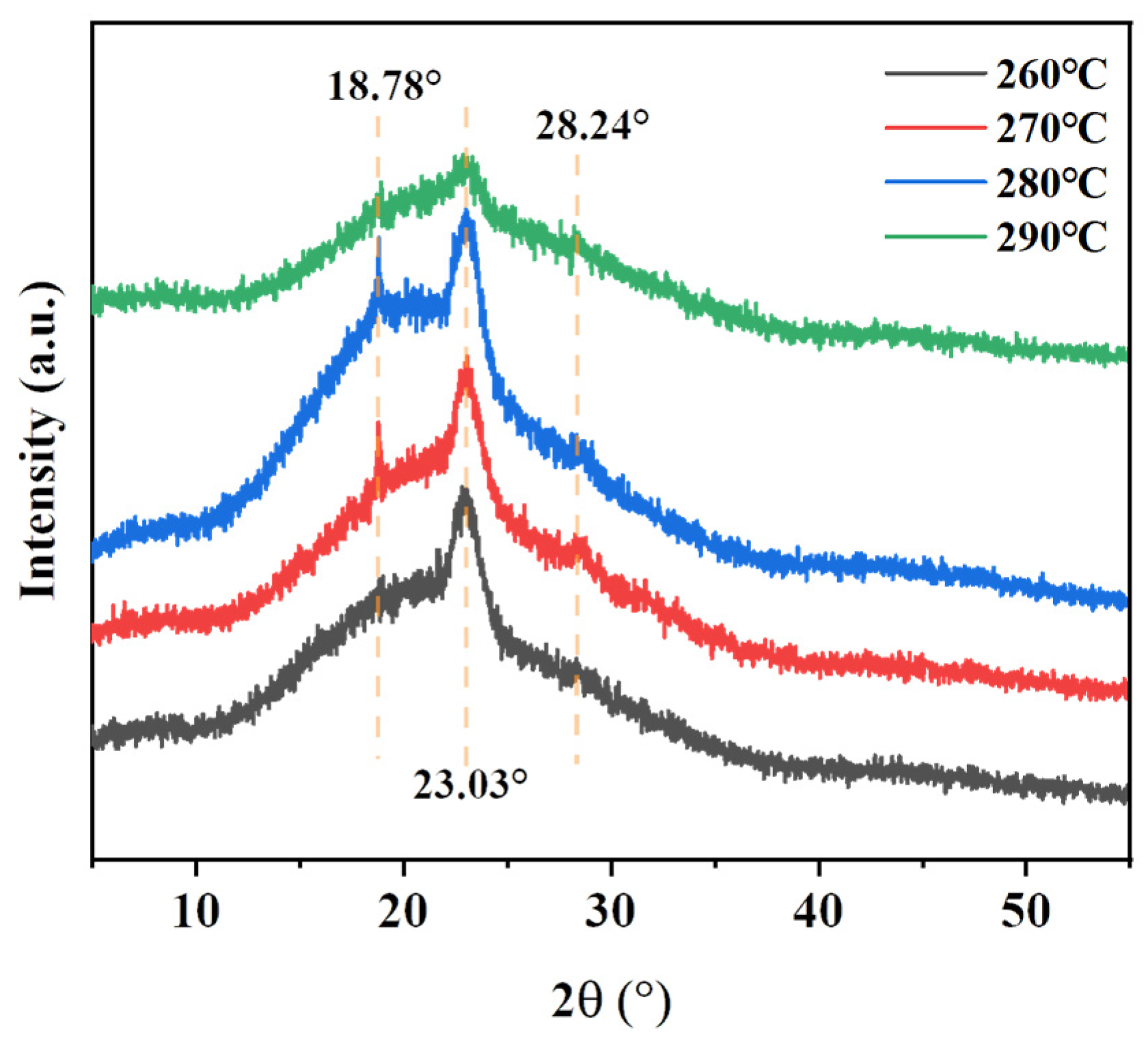
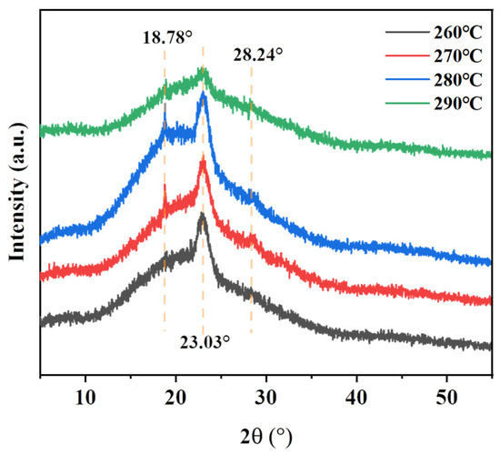
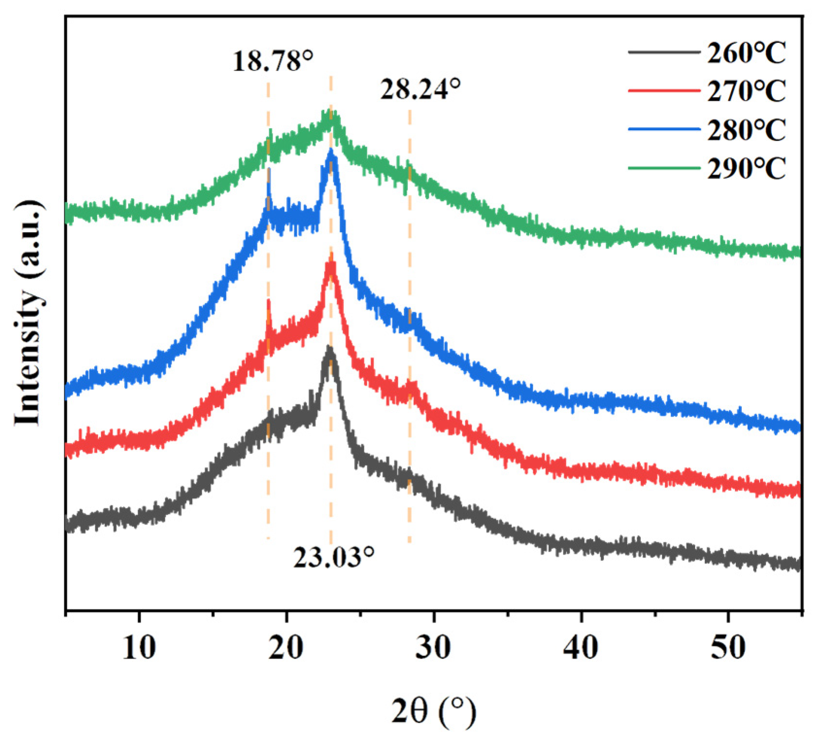
3.5. Crystallization of the Thermally Treated BP-PENK Films
3.6. Thermal Properties of the Thermally Treated BP-PENK Films
3.7. Dielectric Properties of the Thermally Treated BP-PENK Films
3.8. Crystallization Properties of the Thermally Treated BP-PENK Films
3.9. Energy Storage Properties of the Thermally Treated BP-PENK Films
4. Conclusions
Author Contributions
Funding
Institutional Review Board Statement
Data Availability Statement
Conflicts of Interest
References
- Matsuo, S.; Murakami, T.; Takasawa, R. Synthesis and properties of new crystalline poly(arylene ether nitriles). J. Polym. Sci. Part A-Polym. Chem. 1993, 31, 3439–3446. [Google Scholar] [CrossRef]
 - Tu, L.; You, Y.; Tong, L.; Wang, Y.; Hu, W.; Wei, R.; Liu, X. Crystallinity of poly(arylene ether nitrile) copolymers containing hydroquinone and bisphenol A segments. J. Appl. Polym. Sci. 2018, 135, 46412. [Google Scholar] [CrossRef]
 - Wu, Z.; Gao, F.; Yan, J.; Wang, Z. Damage mechanism of polyphenylene sulfide resin in liquid oxygen. Iran. Polym. J. 2012, 21, 185–190. [Google Scholar] [CrossRef]
 - Wang, X.; Liu, Y.; Gong, Y.; Suo, X.; Li, H. Liquid flame spray fabrication of polyimide-copper coatings for antifouling applications. Mater. Lett. 2017, 190, 217–220. [Google Scholar] [CrossRef]
 - Lumkemann, N.; Eichberger, M.; Stawarczyk, B. Bonding to Different PEEK Compositions: The Impact of Dental Light Curing Units. Materials 2017, 10, 67. [Google Scholar] [CrossRef]
 - Summers, G.J.; Ndawuni, M.P.; Summers, C.A. Chemical modification of polysulfone: Anionic synthesis of dipyridyl functionalized polysulfone. Polymer 2001, 42, 397–402. [Google Scholar] [CrossRef]
 - Zhang, S.; Huang, G.; Wang, X.; Huang, Y.; Yang, J.; Li, G. Effect of air plasma treatment on the mechanical properties of polyphenylene sulfide/glass fiber cloth composites. J. Reinf. Plast. Compos. 2013, 32, 786–793. [Google Scholar] [CrossRef]
 - Ioan, S.; Filimon, A.; Avram, E. Conformational and visometric behavior of quaternized polysulfone in dilute solution. Polymer Eng. Sci. 2006, 46, 827–836. [Google Scholar] [CrossRef]
 - Tang, H.; Zhong, J.; Yang, J.; Ma, Z.; Liu, X. Flexible Polyarylene Ether Nitrile/BaTiO3 Nanocomposites with High Energy Density for Film Capacitor Applications. J. Electron. Mater. 2010, 40, 141–148. [Google Scholar] [CrossRef]
 - Wang, P.; Liu, X.; Liu, H.; He, X.; Zhang, D.; Chen, J.; Li, Y.; Feng, W.; Jia, K.; Lin, J.; et al. Combining aggregation-induced emission and instinct high-performance of polyarylene ether nitriles via end-capping with tetraphenylethene. Eur. Polym. J. 2022, 162, 110916. [Google Scholar] [CrossRef]
 - Long, C.; Huang, X.; Wei, J.; Feng, M.; Jia, K.; Liu, X. Rheology, morphology, and properties of polyarylene ether nitrile blends. High Perform. Polym. 2015, 27, 1016–1023. [Google Scholar] [CrossRef]
 - Tu, L.; Xiao, Q.; Wei, R.; Liu, X. Fabrication and Enhanced Thermal Conductivity of Boron Nitride and Polyarylene Ether Nitrile Hybrids. Polymers 2019, 11, 1340. [Google Scholar] [CrossRef] [PubMed]
 - Mao, H.; You, Y.; Tong, L.; Tang, X.; Wei, R.; Liu, X. Dielectric properties of diblock copolymers containing a polyarylene ether nitrile block and a polyarylene ether ketone block. J. Mater. Sci. Mater. Electron. 2017, 29, 3127–3134. [Google Scholar] [CrossRef]
 - Zhang, S.; Sun, H.; Lan, T.; Bai, Z.; Liu, X. Facile preparation of graphene film and sandwiched flexible poly(arylene ether nitrile)/graphene composite films with high EMI shielding efficiency. Compos. Part A-Appl. Sci. Manuf. 2022, 154, 106777. [Google Scholar] [CrossRef]
 - Mao, H.; You, Y.; Tong, L.; Tang, X.; Wei, R.; Liu, X. Dielectric properties of poly(arylene ether nitrile ketone) copolymers. High Perform. Polym. 2018, 31, 901–908. [Google Scholar] [CrossRef]
 - Wu, C.; Zuo, L.; Tong, L.; Liu, X. Effect of isothermal heat treatment and thermal stretching on the properties of crystalline poly (arylene ether nitrile). J. Phys. Chem. Solids 2022, 160, 110335. [Google Scholar] [CrossRef]
 - Li, X.; Zhao, Y.; Wang, K. Interfacial crystallization behavior of poly(ether-ether-ketone) on polyimide-modified CCF300 carbon fibers. Polym. Compos. 2020, 41, 2433–2445. [Google Scholar] [CrossRef]
 - Goyal, R.K.; Negi, Y.S.; Tiwari, A.N. Preparation of high performance composites based on aluminum nitride/poly(ether-ether-ketone) and their properties. Eur. Polym. J. 2005, 41, 2034–2044. [Google Scholar] [CrossRef]
 - Wang, P.; Lin, Q.; Wang, Y.; Liu, C.; Shen, C. Comparative study of the crystallization behavior and morphologies of carbon and glass fiber reinforced poly(ether ether ketone) composites. Polym. Polym. Compos. 2021, 29, 1229–1239. [Google Scholar] [CrossRef]
 - Mehmetalkan, A.A.; Hay, J.N. The crystallinity of poly(ether ether ketone). Polymer 1992, 33, 3527–3530. [Google Scholar] [CrossRef]
 - Chen, G.; Chen, P.; Zeng, L.; Xu, J.; Liu, P. Rheological Behaviors and Properties of Poly (Ether Ether Ketone) In-Situ Blends: Effect of Chemical Structure of Added Thermotropic Liquid Crystalline Polyarylates. J. Macromol. Sci. Part B-Phys. 2019, 58, 934–946. [Google Scholar] [CrossRef]
 - Martin, A.C.; Lakhera, N.; DiRienzo, A.L.; Safranski, D.L.; Schneider, A.S.; Yakacki, C.M.; Frick, C.P. Amorphous-to-crystalline transition of Polyetheretherketone-carbon nanotube composites via resistive heating. Compos. Sci. Technol. 2013, 89, 110–119. [Google Scholar] [CrossRef]
 - Li, T.; Wu, C.; Liu, C.; He, L.; Liu, Y.; Xia, Y.; Lin, G.; Tong, L.; Liu, X. Effect of carbon nanotubes on the crystallization and properties of semi-crystalline polyarylene ether nitrile. J. Mater. Sci.-Mater. Electron. 2022, 33, 13614–13624. [Google Scholar] [CrossRef]
 - Tong, L.; Wang, Y.; You, Y.; Tu, L.; Wei, R.; Liu, X. Effect of Plasticizer and Shearing Field on the Properties of Poly(arylene ether nitrile) Composites. ACS Omega 2020, 5, 1870–1878. [Google Scholar] [CrossRef]
 - Wang, P.; Yu, H.; Ma, R.; Wang, Y.; Liu, C.; Shen, C. Temperature-dependent orientation of poly(ether ether ketone) under uniaxial tensile and its correlation with mechanical properties. J. Therm. Anal. Calorim. 2019, 141, 1361–1369. [Google Scholar] [CrossRef]
 - Sathishkumar, S.; Jawahar, P.; Chakraborti, P. Influence of carbonaceous reinforcements on mechanical and tribological properties of PEEK composites—A review. Polym.-Plast. Technol. Mater. 2022, 61, 1367–1384. [Google Scholar] [CrossRef]
 - Zhang, X. Carbon nanotube/polyetheretherketone nanocomposites: Mechanical, thermal, and electrical properties. J. Compos. Mater. 2021, 55, 2115–2132. [Google Scholar] [CrossRef]
 - Gao, C.; Zhang, S.; Li, X.; Zhu, S.; Jiang, Z. Synthesis of poly(ether ether ketone)-block-polyimide copolymer and its compatibilization for poly(ether ether ketone)/thermoplastic polyimide blends. Polymer 2014, 55, 119–125. [Google Scholar] [CrossRef]
 - Nandan, B.; Kandpal, L.D.; Mathur, G.N. Poly(ether ether ketone)/poly(aryl ether sulfone) blends: Melt rheological behavior. J. Polym. Sci. Part B-Polym. Phys. 2004, 42, 1548–1563. [Google Scholar] [CrossRef]
 - Li, X.; Zhang, S.; Wang, H.; Zhang, C.; Pang, J.; Mu, J.; Ma, G.; Wang, G.; Jiang, Z. Study of blends of linear poly(ether ether ketone) of high melt viscosity and hyperbranched poly(ether ether ketone). Polym. Int. 2011, 60, 607–612. [Google Scholar] [CrossRef]
 - Xing, L.; Wang, J.; Ruan, X.; He, G. Solvent-resistant porous membranes using poly(ether-ether ketone): Preparation and application. Front. Chem. Sci. Eng. 2022, 16, 1536–1559. [Google Scholar] [CrossRef]
 - Zanjanijam, A.R.; Major, I.; Lyons, J.G.; Lafont, U.; Devine, D.M. Fused Filament Fabrication of PEEK: A Review of Process-Structure-Property Relationships. Polymers 2020, 12, 1665. [Google Scholar] [CrossRef]
 - Ling, X.; Jing, X.; Zhang, C.; Chen, S. Polyether Ether Ketone (PEEK) Properties and Its Application Status. In Proceedings of the 2019 5th International Conference on Green Materials and Environmental Engineering, Guangzhou, China, 27–29 December 2019. [Google Scholar]
 - King, J.A.; Tomasi, J.M.; Klimek-McDonald, D.R.; Miskioglu, I.; Odegard, G.M.; King, T.R.; Sutherland, J.W. Effects of carbon fillers on the conductivity and tensile properties of polyetheretherketone composites. Polym. Compos. 2018, 39, E807–E816. [Google Scholar] [CrossRef]
 - Yu, Y.-H.; Liu, S.-J. Polyetheretherketone for orthopedic applications: A review. Curr. Opin. Chem. Eng. 2021, 32, 100687. [Google Scholar] [CrossRef]
 - Zhao, J.; Wang, Z.; Wang, H.; Zhou, G. Novel poly(aryl ether nitrile ketone) foams and the influence of copolymer structure on the foaming result. Polym. Int. 2018, 67, 1410–1418. [Google Scholar] [CrossRef]
 - Shukla, D.; Negi, Y.S.; Uppadhyaya, J.S.; Kumar, V. Synthesis and Modification of Poly(ether ether ketone) and their Properties: A Review. Polym. Rev. 2012, 52, 189–228. [Google Scholar] [CrossRef]
 - Chon, J.W.; Yang, X.; Lee, S.M.; Kim, Y.J.; Jeon, I.S.; Jho, J.Y.; Chung, D.J. Novel PEEK Copolymer Synthesis and Biosafety—I: Cytotoxicity Evaluation for Clinical Application. Polymers 2019, 11, 1803. [Google Scholar] [CrossRef] [PubMed]
 - Wang, J.; Wang, M.; Liu, C.; Zhou, H.; Jian, X. Synthesis of poly(arylene ether nitrile ketone)s bearing phthalazinone moiety and their properties. Polym. Bull. 2013, 70, 1467–1481. [Google Scholar] [CrossRef]
 - Song, L.; Zong, L.-S.; Wang, J.-Y.; Jian, X.-G. Preparation and Performance of HGM/PPENK-based High Temperature-resistant Thermal Insulating Coatings. Chin. J. Polym. Sci. 2021, 39, 770–778. [Google Scholar] [CrossRef]
 - Wei, C.-L.; Chen, M.; Yu, F.-E. Temperature modulated DSC and DSC studies on the origin of double melting peaks in poly(ether ether ketone). Polymer 2003, 44, 8185–8193. [Google Scholar] [CrossRef]
 - Jin, L.; Ball, J.; Bremner, T.; Sue, H.-J. Crystallization behavior and morphological characterization of poly(ether ether ketone). Polymer 2014, 55, 5255–5265. [Google Scholar] [CrossRef]
 - Sohn, S.; Alizadeh, A.; Marand, H. On the multiple melting behavior of bisphenol-A polycarbonate. Polymer 2000, 41, 8879–8886. [Google Scholar] [CrossRef]
 - Minakov, A.A.; Mordvintsev, D.A.; Schick, C. Melting and reorganization of poly(ethylene terephthalate) on fast heating (1000 K/s). Polymer 2004, 45, 3755–3763. [Google Scholar] [CrossRef]
 - You, Y.; Huang, X.; Pu, Z.J.; Jia, K.; Liu, X.B. Enhanced crystallinity, mechanical and dielectric properties of biphenyl polyarylene ether nitriles by unidirectional hot-stretching. J. Polym. Res. 2015, 22, 211. [Google Scholar] [CrossRef]
 - Doumeng, M.; Makhlouf, L.; Berthet, F.; Marsan, O.; Delbé, K.; Denape, J.; Chabert, F. A comparative study of the crystallinity of polyetheretherketone by using density, DSC, XRD, and Raman spectroscopy techniques. Polym. Test. 2021, 93, 106878. [Google Scholar] [CrossRef]
 












| Polymer | DCBN  (mol)  | DFBP  (mol)  | BP  (mol)  | K2CO3 (mol)  | NMP (mL)  | Toluene (mL) | 
|---|---|---|---|---|---|---|
| PENK0 | 0.1500 | 0.0000 | 0.1500 | 0.2100 | 81 | 27 | 
| PENK20 | 0.1200 | 0.0300 | 0.1500 | 0.2100 | 81 | 27 | 
| PENK25 | 0.1125 | 0.0375 | 0.1500 | 0.2100 | 81 | 27 | 
| PENK30 | 0.1050 | 0.0450 | 0.1500 | 0.2100 | 81 | 27 | 
| Sample | PENK0 | PENK20 | PENK25 | PENK30 | 
|---|---|---|---|---|
| Tg (°C) | 213.27 | 207.99 | 202.25 | 200.76 | 
| Tg′ (°C) | 213.54 | 207.90 | 202.45 | 200.60 | 
| Tg″ (°C) | 213.88 | 206.59 | 202.59 | 200.95 | 
| Td5% (°C) | 550.07 | 555.68 | 533.38 | 542.13 | 
| Sample | Tensile Strength (MPa) | Elongation at Break (%) | Elasticity Modulus (MPa) | 
|---|---|---|---|
| PENK0 | 82.4 ± 2.6 | 8.9 ± 0.3 | 1770.3 ± 20.8 | 
| PENK20 | 88.2 ± 1.0 | 17.2 ± 1.6 | 2172.3 ± 35.0 | 
| PENK25 | 103.7 ± 2.9 | 35.9 ± 3.0 | 2291.2 ± 73.0 | 
| PENK30 | 109.9 ± 5.8 | 45.2 ± 4.1 | 2140.1 ± 95.0 | 
| Sample | Tg (°C)  | Tm (°C)  | (J/g) | 
|---|---|---|---|
| PENK0-260 | 214.99 | - | - | 
| PENK0-270 | 215.30 | - | - | 
| PENK0-280 | 216.51 | - | - | 
| PENK0-290 | 217.30 | - | - | 
| PENK20-260 | 208.48 | 278.08 | 3.14 | 
| PENK20-270 | 209.23 | 287.96 | 2.69 | 
| PENK20-280 | 210.06 | 295.66 | 1.14 | 
| PENK20-290 | 209.95 | 297.85 | 0.65 | 
| PENK25-260 | 207.35 | 287.12 | 3.39 | 
| PENK25-270 | 208.01 | 292.18 | 4.05 | 
| PENK25-280 | 209.56 | 296.91 | 2.64 | 
| PENK25-290 | 209.40 | 318.61 | 2.05 | 
| PENK30-260 | 206.38 | 295.78 | 3.25 | 
| PENK30-270 | 212.50 | 296.22 | 4.79 | 
| PENK30-280 | 212.81 | 306.71 | 5.03 | 
| PENK30-290 | 212.51 | 315.55 | 2.37 | 
| Heat Treatment Temperature | Crystallinity | 
|---|---|
| 260 °C | 7.00 | 
| 270 °C | 10.49 | 
| 280 °C | 11.83 | 
| 290 °C | 3.49 | 
Disclaimer/Publisher’s Note: The statements, opinions and data contained in all publications are solely those of the individual author(s) and contributor(s) and not of MDPI and/or the editor(s). MDPI and/or the editor(s) disclaim responsibility for any injury to people or property resulting from any ideas, methods, instructions or products referred to in the content.  | 
© 2024 by the authors. Licensee MDPI, Basel, Switzerland. This article is an open access article distributed under the terms and conditions of the Creative Commons Attribution (CC BY) license (https://creativecommons.org/licenses/by/4.0/).
Share and Cite
Zhu, J.; Mo, C.; Tong, L.; Liu, X. Synthesis and Properties of Semicrystalline Poly(ether nitrile ketone) Copolymers. Polymers 2024, 16, 251. https://doi.org/10.3390/polym16020251
Zhu J, Mo C, Tong L, Liu X. Synthesis and Properties of Semicrystalline Poly(ether nitrile ketone) Copolymers. Polymers. 2024; 16(2):251. https://doi.org/10.3390/polym16020251
Chicago/Turabian StyleZhu, Jiang, Chao Mo, Lifen Tong, and Xiaobo Liu. 2024. "Synthesis and Properties of Semicrystalline Poly(ether nitrile ketone) Copolymers" Polymers 16, no. 2: 251. https://doi.org/10.3390/polym16020251
APA StyleZhu, J., Mo, C., Tong, L., & Liu, X. (2024). Synthesis and Properties of Semicrystalline Poly(ether nitrile ketone) Copolymers. Polymers, 16(2), 251. https://doi.org/10.3390/polym16020251
        
