Systematic Investigation of the Degradation Properties of Nitrile-Butadiene Rubber/Polyamide Elastomer/Single-Walled Carbon Nanotube Composites in Thermo-Oxidative and Hot Oil Environments
Abstract
1. Introduction
2. Experiment
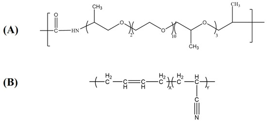
2.1. Materials and Preparation of NBR/PAE/SWCNT Composites
2.2. Experiments
3. Results and Discussion
3.1. Curing Characteristics of the NBR/PAE/SWCNT Composites
3.2. RPA 2000 Analysis of the NBR/PAE/SWCNT Composites
3.3. Physical Properties and SEM Photographs of the NBR/PAE/SWCNT Composites
3.4. The Interactions between SWCNTs and NBR/PAE of the NBR/PAE/SWCNT Composites
3.5. Mechanical Properties before and after Thermo-Oxidative Aging of the NBR/PAE/SWCNT Composites
3.6. Properties before and after Oil Aging and the Swelling Behavior of the NBR/PAE/SWCNT Composites
4. Conclusions
Author Contributions
Funding
Institutional Review Board Statement
Data Availability Statement
Conflicts of Interest
References
- Bhaumik, S.; Kumaraswamy, A.; Guruprasad, S.; Bhandari, P. Investigation of friction in rectangular Nitrile-Butadiene Rubber (NBR) hydraulic rod seals for defence applications. J. Mech. Sci. Technol. 2015, 29, 4793–4799. [Google Scholar] [CrossRef]
- Dharmaraj, M.M.; Chakraborty, B.C.; Begum, S. The effect of graphene and nanoclay on properties of nitrile rubber/polyvinyl chloride blend with a potential approach in shock and vibration damping applications. Iran. Polym. J. 2022, 31, 1129–1145. [Google Scholar] [CrossRef]
- Degrange, J.M.; Thomine, M.; Kapsa, P.; Pelletier, J.; Chazeau, L.; Vigier, G.; Dudragne, G.; Guerbé, L. Influence of viscoelasticity on the tribological behaviour of carbon black filled nitrile rubber (NBR) for lip seal application. Wear 2005, 259, 684–692. [Google Scholar] [CrossRef]
- Balasooriya, W.; Schrittesser, B.; Wang, C.; Hausberger, A.; Pinter, G.; Schwarz, T. Tribological Behavior of HNBR in Oil and Gas Field Applications. Lubricants 2018, 6, 20. [Google Scholar] [CrossRef]
- Yun, J.; Zolfaghari, A.; Sane, S. Study of hydrogen sulfide effect on acrylonitrile butadiene rubber/hydrogenated acrylonitrile butadiene rubber for sealing application in oil and gas industry. J. Appl. Polym. Sci. 2022, 139, e52695. [Google Scholar] [CrossRef]
- Hoontrakul, P.; Szamosi, J.; Tobing, S.D. Application of nitrile butadiene rubber for flexible, chemically protective coating. Polym. Eng. Sci. 1988, 28, 1052–1055. [Google Scholar] [CrossRef]
- Pan, C.; Liu, P. Revisiting the surface olefin cross-metathesis of nitrile butadiene rubber on palygorskite nanorods: Product controlling for specific applications. Appl. Clay Sci. 2023, 231, 106757. [Google Scholar] [CrossRef]
- Munusamy, Y.; Kchaou, M. Usage of eggshell as potential bio-filler for arcylonitrile butadiene rubber (NBR) latex film for glove applications. Ain Shams Eng. J. 2023, 14, 102512. [Google Scholar] [CrossRef]
- Porter, C.; Zaman, B.; Pazur, R. A critical examination of the shelf life of nitrile rubber O-Rings used in aerospace sealing applications. Polym. Degrad. Stab. 2022, 206, 110199. [Google Scholar] [CrossRef]
- Budrugeac, P. Thermooxidative degradation of some nitrile-butadiene rubbers. Polym. Degrad. Stab. 1992, 38, 165–172. [Google Scholar] [CrossRef]
- Coronado, M.; Montero, G.; Valdez, B.; Stoytcheva, M.; Eliezer, A.; García, C.; Campbell, H.; Pérez, A. Degradation of nitrile rubber fuel hose by biodiesel use. Energy 2014, 68, 364–369. [Google Scholar] [CrossRef]
- Jiang, B.; Jia, X.; Wang, Z.; Wang, T.; Guo, F.; Wang, Y. Influence of Thermal Aging in Oil on the Friction and Wear Properties of Nitrile Butadiene Rubber. Tribol. Lett. 2019, 67, 86. [Google Scholar] [CrossRef]
- Li, B.; Li, S.-X.; Shen, M.-X.; Xiao, Y.-L.; Zhang, J.; Xiong, G.-Y.; Zhang, Z.-N. Tribological behaviour of acrylonitrile-butadiene rubber under thermal oxidation ageing. Polym. Test 2021, 93, 106954. [Google Scholar] [CrossRef]
- Hota, N.K.; Karna, N.; Dubey, K.A.; Tripathy, D.K.; Sahoo, B.P. Effect of temperature and electron beam irradiation on the dielectric properties and electromagnetic interference shielding effectiveness of ethylene acrylic elastomer/millable polyurethane/SWCNT nanocomposites. Eur. Polym. J. 2019, 112, 754–765. [Google Scholar] [CrossRef]
- Hsiao, F.R.; Wu, I.F.; Liao, Y.C. Porous CNT/rubber composite for resistive pressure sensor. J. Taiwan. Inst. Chem. Eng. 2019, 102, 387–393. [Google Scholar] [CrossRef]
- Yoon, J.; Lee, J.; Hur, J. Stretchable Supercapacitors Based on Carbon Nanotubes-Deposited Rubber Polymer Nanofibers Electrodes with High Tolerance against Strain. Nanomaterials 2018, 8, 541. [Google Scholar] [CrossRef] [PubMed]
- Bakošová, D.; Bakošová, A. Testing of Rubber Composites Reinforced with Carbon Nanotubes. Polymers 2022, 14, 3039. [Google Scholar] [CrossRef] [PubMed]
- Yang, Z.; McElrath, K.; Bahr, J.; D’Souza, N.A. Effect of matrix glass transition on reinforcement efficiency of epoxy-matrix composites with single walled carbon nanotubes, multi-walled carbon nanotubes, carbon nanofibers and graphite. Compos. Part B Eng. 2012, 43, 2079–2086. [Google Scholar] [CrossRef]
- Shafik, E.S.; Tharwat, C.; Abd-El-Messieh, S.L. Utilization study on red brick waste as novel reinforcing and economical filler for acrylonitrile butadiene rubber composite. Clean. Technol. Environ. Policy. 2023, 25, 1605–1615. [Google Scholar] [CrossRef]
- Tang, D.; Zhang, X.; Hu, S.; Liu, X.; Ren, X.; Hu, J.; Feng, Y. The reuse of red brick powder as a filler in styrene-butadiene rubber. J. Clean. Prod. 2020, 261, 120966. [Google Scholar] [CrossRef]
- Zhang, X.; Xue, X.; Yin, Q.; Jia, H.; Wang, J.; Ji, Q.; Xu, Z. Enhanced compatibility and mechanical properties of carboxylated acrylonitrile butadiene rubber/styrene butadiene rubber by using graphene oxide as reinforcing filler. Compos. Part B Eng. 2017, 111, 243–250. [Google Scholar] [CrossRef]
- Ambilkar, S.C.; Das, C. Surface modification of zirconia by various modifiers to investigate its reinforcing efficiency toward nitrile rubber. Polym. Compos. 2023, 44, 1512–1521. [Google Scholar] [CrossRef]
- Utrera-Barrios, S.; Martínez, M.F.; Mas-Giner, I.; Verdejo, R.; López-Manchado, M.A.; Hernández Santana, M. New recyclable and self-healing elastomer composites using waste from toner cartridges. Compos. Sci. Technol. 2023, 244, 110292. [Google Scholar] [CrossRef]
- Wang, F.; Dong, S.; Wang, Z.; He, H.; Huang, X.; Liu, D.; Zhu, H. Self-assembled carbon nanofibers–silica nanocomposites for hydrogenated nitrile butadiene rubber reinforcement. Polym. Compos. 2021, 42, 5830–5838. [Google Scholar] [CrossRef]
- Okuyama, R.; Izumida, W.; Eto, M. Topological classification of the single-wall carbon nanotube. Phys. Rev. B 2019, 99, 115409. [Google Scholar] [CrossRef]
- Ko, J.; Joo, Y. Review of Sorted Metallic Single-Walled Carbon Nanotubes. Adv. Mater. Interfaces 2021, 8, 2002106. [Google Scholar] [CrossRef]
- Cui, J.; Yang, D.; Zeng, X.; Zhou, N.; Liu, H. Recent progress on the structure separation of single-wall carbon nanotubes. Nanotechnology 2017, 28, 452001. [Google Scholar] [CrossRef]
- Kobashi, K.; Ata, S.; Yamada, T.; Futaba, D.N.; Hata, K. Controlling the structure of arborescent carbon nanotube networks for advanced rubber composites. Compos. Sci. Technol. 2018, 163, 10–17. [Google Scholar] [CrossRef]
- Gumede, J.I.; Carson, J.; Hlangothi, S.P.; Bolo, L.L. Effect of single-walled carbon nanotubes on the cure and mechanical properties of reclaimed rubber/natural rubber blends. Mater. Today Commun. 2020, 23, 100852. [Google Scholar] [CrossRef]
- Wang, H.; Liu, S.; Liu, G. Investigation on the thermo-oxidative aging resistance of nitrile-butadiene rubber/polyamide elastomer blend and the swelling behaviors in fuels predicted via Hansen solubility parameter method. Polym. Degrad. Stab. 2023, 217, 110512. [Google Scholar] [CrossRef]
- Mei, S.; Wang, J.; Wan, J.; Wu, X. Preparation Methods and Properties of CNT/CF/G Carbon-Based Nano-Conductive Silicone Rubber. Appl. Sci. 2023, 13, 6726. [Google Scholar] [CrossRef]
- Shahamatifard, F.; Rodrigue, D.; Mighri, F. Thermal and mechanical properties of carbon-based rubber nanocomposites: A review. Plast. Rubber Compos. 2023, 52, 483–505. [Google Scholar] [CrossRef]
- Kitisavetjit, W.; Nakaramontri, Y.; Pichaiyut, S.; Wisunthorn, S.; Nakason, C.; Kiatkamjornwong, S. Influences of carbon nanotubes and graphite hybrid filler on properties of natural rubber nanocomposites. Polym. Test. 2021, 93, 106981. [Google Scholar] [CrossRef]
- Yan, G.; Han, D.; Li, W.; Qiu, J.; Jiang, C.; Li, L.; Wang, C. Effect of pyrolysis carbon black and carbon nanotubes on properties of natural rubber conductive composites. J. Appl. Polym. Sci. 2022, 139, 52321. [Google Scholar] [CrossRef]
- ASTM D2084-95; Standard Test Method for Rubber Property-Vulcanization Using Oscillating Disk Cure Meter. American Society for Testing and Materials: West Conshohocken, PA, USA, 2019.
- ASTM D6601; Standard Test Method for Rubber Properties—Measurement of Cure and After—Cure Dynamic Properties Using a Rotorless Shear Rheometer. American Society for Testing and Materials: West Conshohocken, PA, USA, 2019.
- ASTM D412; Standard Test Methods for Vulcanized Rubber and Thermoplastic Elastomer Tension. American Society for Testing and Materials: West Conshohocken, PA, USA, 2022.
- ASTM D573-04; Standard Test Method for Rubber—Deterioration in an Air Oven. American Society for Testing and Materials: West Conshohocken, PA, USA, 2010.
- Jiang, X.; Hao, Y.; Wang, H.; Tu, J.; Liu, G. Application of Three-Dimensional Solubility Parameter in Diffusion Behavior of Rubber-Solvent System and Its Predictive Power in Calculating the Key Parameters. Macromol. Res. 2022, 30, 271–278. [Google Scholar] [CrossRef]
- Liu, S.S.; Li, X.P.; Qi, P.J.; Song, Z.J.; Zhang, Z.; Wang, K.; Qiu, G.X.; Liu, G.Y. Determination of three-dimensional solubility parameters of styrene butadiene rubber and the potential application in tire tread formula design. Polym. Test. 2020, 81, 106170. [Google Scholar] [CrossRef]
- Otárola-Sepúlveda, J.; Cea-Klapp, E.; Aravena, P.; Ormazábal-Latorre, S.; Canales, R.I.; Garrido, J.M.; Valerio, O. Assessment of Hansen solubility parameters in deep eutectic solvents for solubility predictions. J. Mol. Liq. 2023, 388, 122669. [Google Scholar] [CrossRef]
- Li, M.; Ren, T.; Sun, Y.; Xiao, S.; Wang, Y.; Lu, M.; Zhang, S.; Du, K. New Parameter Derived from the Hansen Solubility Parameter Used to Evaluate the Solubility of Asphaltene in Solvent. ACS Omega 2022, 7, 13801–13807. [Google Scholar] [CrossRef]
- Larson, B.K.; Hess, J.M.; Williams, J.M., II. Procedure for estimating oil three-dimensional solubility parameters. Rubber Chem. Technol. 2017, 90, 621–632. [Google Scholar] [CrossRef]
- Su, R.; Liu, G.; Sun, H.; Yong, Z. A new method to measure the three-dimensional solubility parameters of acrylate rubber and predict its oil resistance. Polym. Bull. 2022, 79, 971–984. [Google Scholar] [CrossRef]














| Sample/phr | 1 | 2 | 3 | 4 |
|---|---|---|---|---|
| NBR | 100 | 100 | 100 | 100 |
| PAE | 20 | 20 | 20 | 20 |
| N330 | 30 | 30 | 30 | 30 |
| TMTD | 0.5 | 0.5 | 0.5 | 0.5 |
| DM | 2 | 2 | 2 | 2 |
| DMPPD | 1 | 1 | 1 | 1 |
| TMQ | 0.5 | 0.5 | 0.5 | 0.5 |
| ZnO | 5 | 5 | 5 | 5 |
| Stearic acid | 1 | 1 | 1 | 1 |
| Sulfur | 1.5 | 1.5 | 1.5 | 1.5 |
| SWCNT | 0 | 0.2 | 0.5 | 1 |
| SWCNT Content (phr) | t10 (min) | t90 (min) | ML (dNm) | MH (dNm) |
|---|---|---|---|---|
| 0 | 1.21 | 2.51 | 1.14 | 15.01 |
| 0.2 | 1.2 | 2.57 | 1.26 | 15.61 |
| 0.5 | 1.21 | 2.56 | 1.31 | 15.70 |
| 1 | 1.19 | 2.50 | 1.51 | 16.41 |
Disclaimer/Publisher’s Note: The statements, opinions and data contained in all publications are solely those of the individual author(s) and contributor(s) and not of MDPI and/or the editor(s). MDPI and/or the editor(s) disclaim responsibility for any injury to people or property resulting from any ideas, methods, instructions or products referred to in the content. |
© 2024 by the authors. Licensee MDPI, Basel, Switzerland. This article is an open access article distributed under the terms and conditions of the Creative Commons Attribution (CC BY) license (https://creativecommons.org/licenses/by/4.0/).
Share and Cite
Liu, G.; Wang, H.; Ren, T.; Chen, Y.; Liu, S. Systematic Investigation of the Degradation Properties of Nitrile-Butadiene Rubber/Polyamide Elastomer/Single-Walled Carbon Nanotube Composites in Thermo-Oxidative and Hot Oil Environments. Polymers 2024, 16, 226. https://doi.org/10.3390/polym16020226
Liu G, Wang H, Ren T, Chen Y, Liu S. Systematic Investigation of the Degradation Properties of Nitrile-Butadiene Rubber/Polyamide Elastomer/Single-Walled Carbon Nanotube Composites in Thermo-Oxidative and Hot Oil Environments. Polymers. 2024; 16(2):226. https://doi.org/10.3390/polym16020226
Chicago/Turabian StyleLiu, Guangyong, Huiyu Wang, Tianli Ren, Yuwei Chen, and Susu Liu. 2024. "Systematic Investigation of the Degradation Properties of Nitrile-Butadiene Rubber/Polyamide Elastomer/Single-Walled Carbon Nanotube Composites in Thermo-Oxidative and Hot Oil Environments" Polymers 16, no. 2: 226. https://doi.org/10.3390/polym16020226
APA StyleLiu, G., Wang, H., Ren, T., Chen, Y., & Liu, S. (2024). Systematic Investigation of the Degradation Properties of Nitrile-Butadiene Rubber/Polyamide Elastomer/Single-Walled Carbon Nanotube Composites in Thermo-Oxidative and Hot Oil Environments. Polymers, 16(2), 226. https://doi.org/10.3390/polym16020226

