Novel Design of Eco-Friendly High-Performance Thermoplastic Elastomer Based on Polyurethane and Ground Tire Rubber toward Upcycling of Waste Tires
Abstract
1. Introduction
2. Materials and Methods
2.1. Materials
2.2. The Synthesis of the PU/GTR Thermoplastic Elastomers
2.3. Characterization
2.3.1. Dynamic Mechanical Analysis (DMA)
2.3.2. Mechanical Test
2.3.3. Abrasion Loss Test
2.3.4. XPS Analysis
2.3.5. FTIR Analysis
2.3.6. SAXS Analysis
2.3.7. DSC Analysis
2.3.8. Rheological Measurements
2.3.9. Stress Relaxation Test
3. Results and Discussion
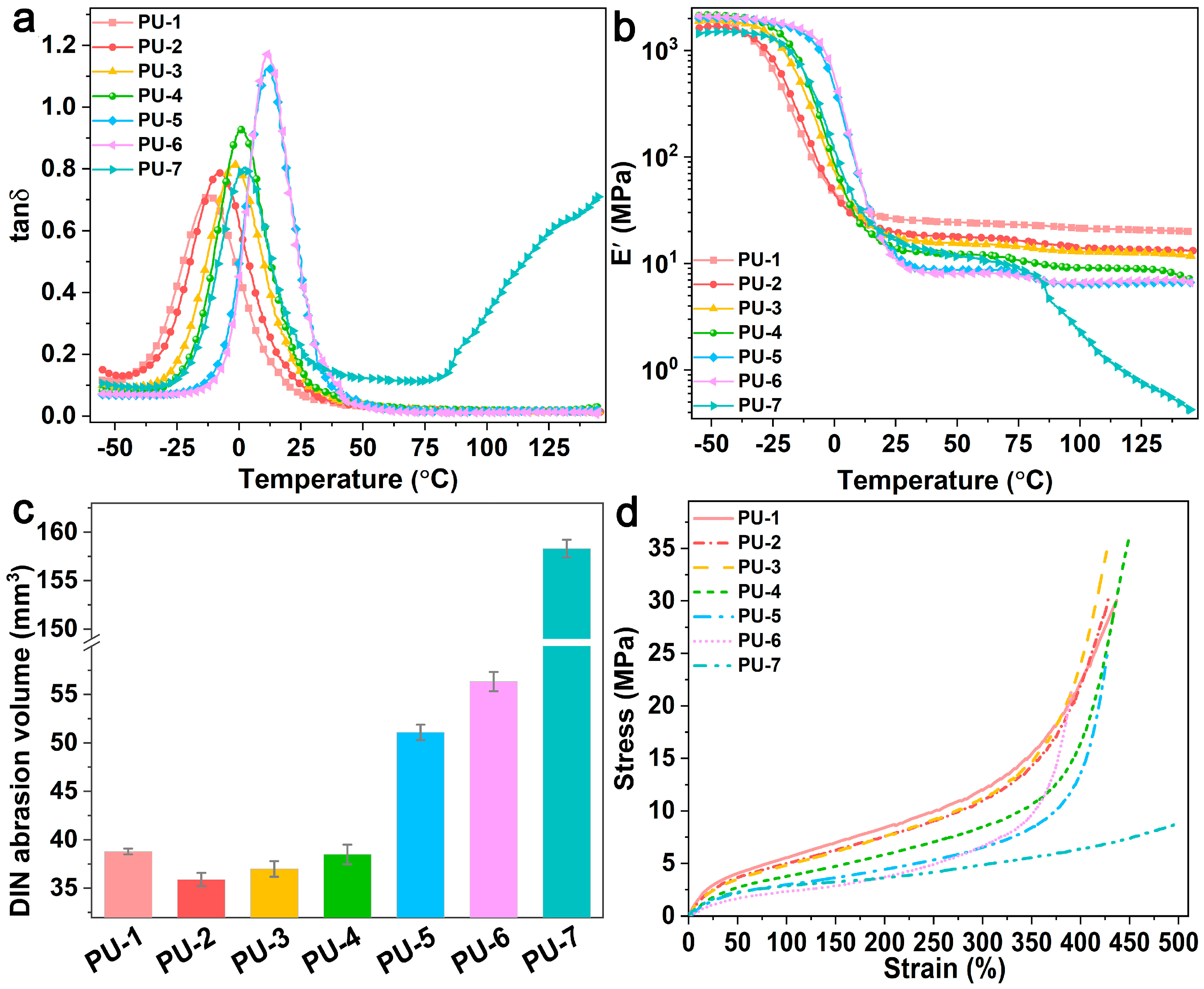
3.1. Mechanical Properties and Wear Resistance of PU/GTR Thermoplastic Elastomers
3.2. XPS Analysis of PU/GTR Thermoplastic Elastomers
3.3. FTIR Analysis of PU/GTR Thermoplastic Elastomers
3.4. Microphase Structure Analysis of PU/GTR Thermoplastic Elastomers
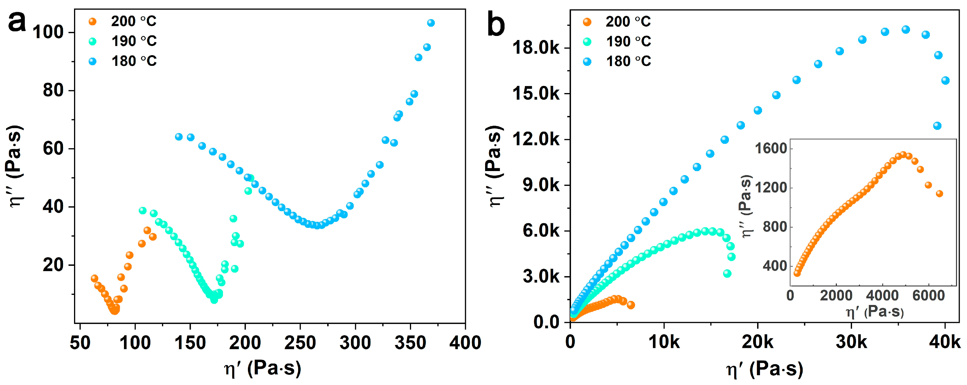
3.5. Stress Relaxation Analysis of PU/GTR Thermoplastic Elastomers
4. Conclusions
Supplementary Materials
Author Contributions
Funding
Institutional Review Board Statement
Data Availability Statement
Conflicts of Interest
References
- Czarna-Juszkiewicz, D.; Kunecki, P.; Cader, J.; Wdowin, M. Review in waste tire management—Potential applications in mitigating environmental pollution. Materials 2023, 16, 5771. [Google Scholar] [CrossRef] [PubMed]
- Thomas, J.; Patil, R. The road to sustainable tire materials: Current state-of-the-art and future prospectives. Environ. Sci. Technol. 2023, 57, 2209–2216. [Google Scholar] [CrossRef] [PubMed]
- Deng, S.; Chen, R.; Duan, S.; Jia, Q.; Hao, X.; Zhang, L. Research progress on sustainability of key tire materials. SusMat 2023, 3, 581–608. [Google Scholar] [CrossRef]
- Chittella, H.; Yoon, L.W.; Ramarad, S.; Lai, Z.-W. Rubber waste management: A review on methods, mechanism, and prospects. Polym. Degrad. Stab. 2021, 194, 109761. [Google Scholar] [CrossRef]
- Zhang, G.; Feng, H.; Liang, K.; Wang, Z.; Li, X.; Zhou, X.; Guo, B.; Zhang, L. Design of next-generation cross-linking structure for elastomers toward green process and a real recycling loop. Sci. Bull. 2020, 65, 889–898. [Google Scholar] [CrossRef]
- Ji, H.; Yang, H.; Li, L.; Sun, C.; Zhou, X.; Wang, R.; Zhang, L. Development of sustainable tire tread using novel biobased itaconate elastomers. ACS Sustain. Chem. Eng. 2023, 11, 15826–15840. [Google Scholar] [CrossRef]
- Das, S.; Chattopadhyay, S.; Dhanania, S.; Bhowmick, A.K. Reactive grafting of 3-octanoylthio-1-propyltriethoxysilane in styrene butadiene rubber: Characterization and its effect on silica reinforced tire composites. Polymer 2019, 179, 121693. [Google Scholar] [CrossRef]
- Liu, S.; Liu, L.; Wu, Q.; Zhang, L. Silica reinforced epoxidized solution-polymerized styrene butadiene rubber and epoxidized polybutadiene rubber nanocomposite as green tire tread. Polymer 2023, 281, 126082. [Google Scholar] [CrossRef]
- Zhai, X.; Chen, Y.; Han, D.; Zheng, J.; Wu, X.; Wang, Z.; Li, X.; Ye, X.; Zhang, L. New designed coupling agents for silica used in green tires with low VOCs and low rolling resistance. Appl. Surf. Sci. 2021, 558, 149819. [Google Scholar] [CrossRef]
- Polgar, L.; Fortunato, G.; Araya-Hermosilla, R.; van Duin, M.; Pucci, A.; Picchioni, F. Cross-linking of rubber in the presence of multi-functional cross-linking aids via thermoreversible Diels-Alder chemistry. Eur. Polym. J. 2016, 82, 208–219. [Google Scholar] [CrossRef]
- Shoda, Y.; Aoki, D.; Tsunoda, K.; Otsuka, H. Polybutadiene rubbers with urethane linkages prepared by a dynamic covalent approach for tire applications. Polymer 2020, 202, 122700. [Google Scholar] [CrossRef]
- Zhang, G.; Zhou, X.; Liang, K.; Guo, B.; Li, X.; Wang, Z.; Zhang, L. Mechanically robust and recyclable epdm rubber composites by a green cross-linking strategy. ACS Sustain. Chem. Eng. 2019, 7, 11712–11720. [Google Scholar] [CrossRef]
- Hu, S.; He, S.; Wang, Y.; Wu, Y.; Shou, T.; Yin, D.; Mu, G.; Zhao, X.; Gao, Y.; Liu, J.; et al. Self-repairable, recyclable and heat-resistant polyurethane for high-performance automobile tires. Nano Energy 2022, 95, 107012. [Google Scholar] [CrossRef]
- Baensch-Baltruschat, B.; Kocher, B.; Stock, F.; Reifferscheid, G. Tyre and road wear particles (TRWP)—A review of generation, properties, emissions, human health risk, ecotoxicity, and fate in the environment. Sci. Total. Environ. 2020, 733, 137823. [Google Scholar] [CrossRef] [PubMed]
- Huang, H.; Wang, Z.; Dai, C.; Guo, J.; Zhang, X. Volatile organic compounds emission in the rubber products manufacturing processes. Environ. Res. 2022, 212, 113485. [Google Scholar] [CrossRef]
- Asensio, M.; Ferrer, J.-F.; Nohales, A.; Culebras, M.; Gómez, C.M. The role of diisocyanate structure to modify properties of segmented polyurethanes. Materials 2023, 16, 1633. [Google Scholar] [CrossRef]
- Hu, S.; Shou, T.; Zhao, X.; Wang, Z.; Zhang, S.; Qin, X.; Guo, M.; Zhang, L. Rational design of a novel NDI-based thermoplastic polyurethane elastomer with superior heat resistance. Polymer 2020, 205, 122764. [Google Scholar] [CrossRef]
- Duval, A.; Sarbu, A.; Dalmas, F.; Albertini, D.; Avérous, L. 2,3-Butanediol as a biobased chain extender for thermoplastic polyurethanes: Influence of stereochemistry on macromolecular architectures and properties. Macromolecules 2022, 55, 5371–5381. [Google Scholar] [CrossRef]
- Tang, X.; Guo, X.; Gong, L.; Meng, X.; Xiu, Z.; Xin, H.; Liu, L.; Zhang, B. Microstructure construction design and damping properties of polyurethane microporous elastomer modified by suspension chain extender via end-controlling oriented synthesis. Polymer 2023, 270, 125748. [Google Scholar] [CrossRef]
- Meiorin, C.; Calvo-Correas, T.; Mosiewicki, M.A.; Aranguren, M.I.; Corcuera, M.A.; Eceiza, A. Comparative effects of two different crosslinkers on the properties of vegetable oil-based polyurethanes. J. Appl. Polym. Sci. 2019, 137, 48741. [Google Scholar] [CrossRef]
- Qin, X.; Han, B.; Lu, J.; Wang, Z.; Sun, Z.; Wang, D.; Russell, T.P.; Zhang, L.; Liu, J. Rational design of advanced elastomer nanocomposites towards extremely energy-saving tires based on macromolecular assembly strategy. Nano Energy 2018, 48, 180–188. [Google Scholar] [CrossRef]
- Xu, Z.; Cui, Y.; Li, T.; Dang, H.; Li, J.; Cheng, F. Enhanced mechanical and shape memory properties of Poly(propylene glycol)-based star-shaped polyurethane. Macromol. Chem. Phys. 2020, 221, 2000082. [Google Scholar] [CrossRef]
- Zhou, Y.; Zhu, L.; Zhai, J.; Yang, R.; Guo, X. Analysis of the mechanical behavior of polyurethane thermoset elastomers based on hydrogen bonding between different crosslinking point structures. Polymer 2023, 285, 126356. [Google Scholar] [CrossRef]
- Kupka, V.; Zhou, Q.; Ansari, F.; Tang, H.; Šlouf, M.; Vojtová, L.; Berglund, L.A.; Jančář, J. Well-dispersed polyurethane/cellulose nanocrystal nanocomposites synthesized by a solvent-free procedure in bulk. Polym. Compos. 2018, 40, E456–E465. [Google Scholar] [CrossRef]
- Zhou, W.; Ren, S.; Zhang, F.; Gao, X.; Song, K.; Fang, H.; Ding, Y. Reinforcement of boron–nitrogen coordinated polyurethane elastomers with silica nanoparticles. Polymer 2022, 256, 125200. [Google Scholar] [CrossRef]
- Lei, W.; Pei, H.; Fang, C.; Zhou, X.; Zhang, X.; Pu, M. Influence of nanocrystalline cellulose extracted from different precursors on properties of polyurethane elastomer composites. Compos. Sci. Technol. 2022, 218, 109159. [Google Scholar] [CrossRef]
- Pokharel, P.; Pant, B.; Pokhrel, K.; Pant, H.R.; Lim, J.-G.; Lee, D.S.; Kim, H.-Y.; Choi, S. Effects of functional groups on the graphene sheet for improving the thermomechanical properties of polyurethane nanocomposites. Compos. Part B Eng. 2015, 78, 192–201. [Google Scholar] [CrossRef]
- Pourmohammadi-Mahunaki, M.; Haddadi-Asl, V.; Roghani-Mamaqani, H.; Koosha, M.; Yazdi, M. Preparation of polyurethane composites reinforced with halloysite and carbon nanotubes. Polym. Compos. 2020, 42, 450–461. [Google Scholar] [CrossRef]
- Strankowski, M.; Korzeniewski, P.; Strankowska, J.; AS, A.; Thomas, S. Morphology, mechanical and thermal properties of thermoplastic polyurethane containing reduced graphene oxide and graphene nanoplatelets. Materials 2018, 11, 82. [Google Scholar] [CrossRef]
- Yang, W.; Zhu, Y.; Liu, T.; Puglia, D.; Kenny, J.M.; Xu, P.; Zhang, R.; Ma, P. Multiple structure reconstruction by dual dynamic crosslinking strategy inducing self-reinforcing and toughening the polyurethane/nanocellulose elastomers. Adv. Funct. Mater. 2023, 33, 2213294. [Google Scholar] [CrossRef]
- Qin, X.; Wang, J.; Zhang, Y.; Wang, Z.; Li, S.; Zhao, S.; Tan, T.; Liu, J.; Zhang, L.; Matyjaszewski, K. Self-Assembly strategy for double network elastomer nanocomposites with ultralow energy consumption and ultrahigh wear resistance. Adv. Funct. Mater. 2020, 30, 2003429. [Google Scholar] [CrossRef]
- He, M.; Gu, K.; Wang, Y.; Li, Z.; Shen, Z.; Liu, S.; Wei, J. Development of high-performance thermoplastic composites based on polyurethane and ground tire rubber by in-situ synthesis. Resour. Conserv. Recycl. 2021, 173, 105713. [Google Scholar] [CrossRef]
- ISO 37:2005; Rubber, Vulcanized or Thermoplastic—Determination of Tensile Stress-Strain Properties. International Organization for Standardization: Geneva, Switzerland, 2005.
- ISO 7619-1:2010; Rubber, Vulcanized or Thermoplastic—Determination of Indentation Hardness—Part 1: Durometer Method (Shore Hardness). International Organization for Standardization: Geneva, Switzerland, 2024.
- ISO 4649:2002; Rubber, Vulcanized or Thermoplastic—Determination of Abrasion Resistance Using a Rotating Cylindrical Drum Device. International Organization for Standardization: Geneva, Switzerland, 2002.
- Klinedinst, D.B.; Yilgör, I.; Yilgör, E.; Zhang, M.; Wilkes, G.L. The effect of varying soft and hard segment length on the structure–property relationships of segmented polyurethanes based on a linear symmetric diisocyanate, 1,4-butanediol and PTMO soft segments. Polymer 2012, 53, 5358–5366. [Google Scholar] [CrossRef]
- Phumnok, E.; Khongprom, P.; Ratanawilai, S. Preparation of natural rubber composites with high silica contents using a wet mixing process. ACS Omega 2022, 7, 8364–8376. [Google Scholar] [CrossRef]
- An, D.; Cui, Y.; He, R.; Chen, J.; Duan, X.; Li, J.; Liu, Y.; Liu, Y.; Yu, H.; Wong, C. Improved interfacial interactions of modified graphene oxide/natural rubber composites with the low heat build-up and good mechanical property for the green tire application. Polym. Compos. 2023. [Google Scholar] [CrossRef]
- Stribeck, A.; Pöselt, E.; Eling, B.; Jokari-Sheshdeh, F.; Hoell, A. Thermoplastic polyurethanes with varying hard-segment components. Mechanical performance and a filler-crosslink conversion of hard domains as monitored by SAXS. Eur. Polym. J. 2017, 94, 340–353. [Google Scholar] [CrossRef]
- Harito, C.; Bavykin, D.V.; Yuliarto, B.; Dipojono, H.K.; Walsh, F.C. Polymer nanocomposites having a high filler content: Synthesis, structures, properties, and applications. Nanoscale 2019, 11, 4653–4682. [Google Scholar] [CrossRef]
- Zhang, X.; Li, B.; Dong, L.; Liu, H.; Chen, W.; Shen, Y.; Nan, C. Superior energy storage performances of polymer nanocomposites via modification of filler/polymer interfaces. Adv. Mater. Interfaces 2018, 5, 1800096. [Google Scholar] [CrossRef]
- Alves, P.; Cardoso, R.; Correia, T.; Antunes, B.; Correia, I.; Ferreira, P. Surface modification of polyurethane films by plasma and ultraviolet light to improve haemocompatibility for artificial heart valves. Colloids Surfaces B Biointerfaces 2014, 113, 25–32. [Google Scholar] [CrossRef]
- Bi, H.; Ren, Z.; Guo, R.; Xu, M.; Song, Y. Fabrication of flexible wood flour/thermoplastic polyurethane elastomer composites using fused deposition molding. Ind. Crop. Prod. 2018, 122, 76–84. [Google Scholar] [CrossRef]
- Xu, W.; Zhang, R.; Liu, W.; Zhu, J.; Dong, X.; Guo, H.; Hu, G.-H. A multiscale investigation on the mechanism of shape recovery for IPDI to PPDI hard segment substitution in polyurethane. Macromolecules 2016, 49, 5931–5944. [Google Scholar] [CrossRef]
- Fernández-Tena, A.; Pérez-Camargo, R.A.; Coulembier, O.; Sangroniz, L.; Aranburu, N.; Guerrica-Echevarria, G.; Liu, G.; Wang, D.; Cavallo, D.; Müller, A.J. Effect of molecular weight on the crystallization and melt memory of Poly(ε-caprolactone) (PCL). Macromolecules 2023, 56, 4602–4620. [Google Scholar] [CrossRef]
- Guo, Y.; Zhang, R.; Xiao, Q.; Guo, H.; Wang, Z.; Li, X.; Chen, J.; Zhu, J. Asynchronous fracture of hierarchical microstructures in hard domain of thermoplastic polyurethane elastomer: Effect of chain extender. Polymer 2018, 138, 242–254. [Google Scholar] [CrossRef]
- Gu, X.; Mather, P.T. Entanglement-based shape memory polyurethanes: Synthesis and characterization. Polymer 2012, 53, 5924–5934. [Google Scholar] [CrossRef]
- Chen, K.-S.; Yu, T.L.; Chen, Y.-S.; Lin, T.-L.; Liu, W.-J. Soft-and hard-segment phase segregation of polyester-based polyurethane. J. Polym. Res. 2001, 8, 99–109. [Google Scholar] [CrossRef]
- Ren, L.; Kang, N.; Shah, P.N.; Faust, R. Synthesis and thermal transition behavior of model thermoplastic polyurethanes containing MDI/butanediol-based monodisperse hard segments. J. Polym. Sci. Part A Polym. Chem. 2016, 54, 3171–3181. [Google Scholar] [CrossRef]
- Shah, R.S.; Bryant, S.; Trifkovic, M. Microstructural rearrangements and their rheological signature in coarsening of cocontinuous polymer blends. Macromolecules 2020, 53, 10918–10926. [Google Scholar] [CrossRef]
- Yu, W.; Zhou, W.; Zhou, C. Linear viscoelasticity of polymer blends with co-continuous morphology. Polymer 2010, 51, 2091–2098. [Google Scholar] [CrossRef]
- Heydarnezhad, H.R.; Mohammadi, N.; Arbe, A.; Alegria, A. How does microstructural design affect the dynamics and rheology of segmented polyurethanes? Macromolecules 2020, 53, 5381–5398. [Google Scholar] [CrossRef]
- Ricarte, R.G.; Tournilhac, F.; Cloître, M.; Leibler, L. Linear viscoelasticity and flow of self-assembled vitrimers: The case of a polyethylene/dioxaborolane system. Macromolecules 2020, 53, 1852–1866. [Google Scholar] [CrossRef]
- Yan, W.; Fang, L.; Heuchel, M.; Kratz, K.; Lendlein, A. Modeling of stress relaxation of a semi-crystalline multiblock copolymer and its deformation behavior. Clin. Hemorheol. Microcirc. 2015, 60, 109–120. [Google Scholar] [CrossRef] [PubMed]








| Samples | 1 PCL-1K Content (%) | PCL-1K (g) | PCL-2K (g) | GTR (g) | MDI (g) | BDO (g) |
|---|---|---|---|---|---|---|
| PU-1 | 0 | 0 | 190 | 10 | 75 | 15.9 |
| PU-2 | 20.5 | 39 | 151 | 10 | 75 | 14.2 |
| PU-3 | 39.5 | 75 | 115 | 10 | 75 | 12.6 |
| PU-4 | 59.5 | 113 | 77 | 10 | 75 | 10.9 |
| PU-5 | 80.0 | 152 | 38 | 10 | 75 | 9.1 |
| PU-6 | 100 | 190 | 0 | 10 | 75 | 7.4 |
| PU-7 | 59.5 | 119 | 81 | 0 | 75 | 12.6 |
| Sample | Tg (°C) | tanδ at 0 °C | 100 × tanδ at 60 °C |
|---|---|---|---|
| PU-1 | −12.1 | 0.45 | 2.59 |
| PU-2 | −7.9 | 0.63 | 2.63 |
| PU-3 | −2.2 | 0.80 | 2.65 |
| PU-4 | 1.9 | 0.92 | 3.04 |
| PU-5 | 12.0 | 0.49 | 2.47 |
| PU-6 | 11.7 | 0.42 | 1.85 |
| PU-7 | 2.0 | 0.80 | 11.77 |
| Sample | Tensile Strength (MPa) | Elongation at Break (%) | Tensile Modulus (MPa) | Hardness (Shore A) |
|---|---|---|---|---|
| PU-1 | 30.0 ± 0.3 | 447.7 ± 16.1 | 19.3 ± 0.4 | 83 |
| PU-2 | 30.7 ± 0.3 | 431.6 ± 10.6 | 19.2 ± 0.8 | 80 |
| PU-3 | 35.3± 0.4 | 434.2 ± 17.0 | 17.4 ± 0.8 | 78 |
| PU-4 | 36.1 ± 0.6 | 450.0 ± 17.9 | 13.8 ± 0.6 | 78 |
| PU-5 | 25.0 ± 0.3 | 430.9 ± 18.3 | 10.0 ± 1.0 | 70 |
| PU-6 | 21.0 ± 0.5 | 384.1 ± 9.9 | 8.4 ± 0.8 | 62 |
| PU-7 | 9.0 ± 0.5 | 492.2 ± 16.6 | 8.5 ± 0.2 | 70 |
| Sample | Adj. R2 | Area Integral (Wavenumber, cm−1) | The Degree of HBA (%) | |
|---|---|---|---|---|
| PU-1 | 0.9995 | 6.77 (1702.4) | 10.74 (1727.7) | 38.7 |
| PU-2 | 0.9994 | 6.21 (1702.3) | 10.87 (1727.8) | 36.4 |
| PU-3 | 0.9995 | 6.35 (1701.8) | 10.53 (1727.8) | 37.6 |
| PU-4 | 0.9995 | 6.86 (1701.5) | 10.75 (1727.7) | 39.0 |
| PU-5 | 0.9995 | 6.66 (1703.7) | 10.07 (1728.0) | 39.8 |
| PU-6 | 0.9995 | 6.72 (1703.5) | 10.40 (1727.8) | 39.3 |
| PU-7 | 0.9994 | 7.33 (1703.4) | 10.10 (1728.5) | 42.1 |
| Samples | Tg (°C) | Tm(I) (°C) | ΔHm(I) (J/g) | Tm(II) (°C) | ΔHm(II) (J/g) | Tm(III) (°C) | ΔHm(III) (J/g) |
|---|---|---|---|---|---|---|---|
| PU-1 | −39.4 | 78.9 | 0.6 | 156.8 | 2.3 | 191.2 | 5.2 |
| PU-2 | −37.3 | 74.4 | 1.6 | 152.4 | 2.9 | 177.0 | 3.2 |
| PU-3 | −32.1 | 68.7 | 1.1 | 136.6 | 5.0 | 182.9 | 1.1 |
| PU-4 | −30.3 | 66.2 | 2.1 | 125.3 | 5.1 | 180.1 | 0.5 |
| PU-5 | −22.5 | 65.7 | 3.4 | 138.3 | 0.7 | - | - |
| PU-6 | −18.5 | 67.8 | 2.4 | - | - | - | - |
| PU-7 | −31.6 | 71.2 | 4.7 | 123.8 | 0.8 | - | - |
Disclaimer/Publisher’s Note: The statements, opinions and data contained in all publications are solely those of the individual author(s) and contributor(s) and not of MDPI and/or the editor(s). MDPI and/or the editor(s) disclaim responsibility for any injury to people or property resulting from any ideas, methods, instructions or products referred to in the content. |
© 2024 by the authors. Licensee MDPI, Basel, Switzerland. This article is an open access article distributed under the terms and conditions of the Creative Commons Attribution (CC BY) license (https://creativecommons.org/licenses/by/4.0/).
Share and Cite
He, M.; Li, R.; Hao, M.; Tao, Y.; Wang, P.; Bian, X.; Dang, H.; Wang, Y.; Li, Z.; Zhang, T. Novel Design of Eco-Friendly High-Performance Thermoplastic Elastomer Based on Polyurethane and Ground Tire Rubber toward Upcycling of Waste Tires. Polymers 2024, 16, 2448. https://doi.org/10.3390/polym16172448
He M, Li R, Hao M, Tao Y, Wang P, Bian X, Dang H, Wang Y, Li Z, Zhang T. Novel Design of Eco-Friendly High-Performance Thermoplastic Elastomer Based on Polyurethane and Ground Tire Rubber toward Upcycling of Waste Tires. Polymers. 2024; 16(17):2448. https://doi.org/10.3390/polym16172448
Chicago/Turabian StyleHe, Maoyong, Ruiping Li, Mingzheng Hao, Ying Tao, Peng Wang, Xiangcheng Bian, Haichun Dang, Yulong Wang, Zhenzhong Li, and Tao Zhang. 2024. "Novel Design of Eco-Friendly High-Performance Thermoplastic Elastomer Based on Polyurethane and Ground Tire Rubber toward Upcycling of Waste Tires" Polymers 16, no. 17: 2448. https://doi.org/10.3390/polym16172448
APA StyleHe, M., Li, R., Hao, M., Tao, Y., Wang, P., Bian, X., Dang, H., Wang, Y., Li, Z., & Zhang, T. (2024). Novel Design of Eco-Friendly High-Performance Thermoplastic Elastomer Based on Polyurethane and Ground Tire Rubber toward Upcycling of Waste Tires. Polymers, 16(17), 2448. https://doi.org/10.3390/polym16172448
