Electrospun Ibuprofen-Loaded Blend PCL/PEO Fibers for Topical Drug Delivery Applications
Abstract
1. Introduction
2. Materials and Methods
2.1. Materials
2.2. Preparation of Polymer Solutions
2.3. Viscosity Measurements
2.4. Fiber Electrospinning
2.5. Fiber Morphologies and Average Fiber Diameter Measurements
2.6. Thermochemical Characterizations
2.7. Mechanical Testing
2.8. Surface Wettability Measurements
2.9. In Vitro Drug Release Studies
2.10. In Vitro Cell Biocompatibility
2.11. Statistical Analyses
3. Results
3.1. Blend PCL/PEO Solution Properties
3.2. Fiber Electrospinning
3.3. Fiber Morphologies and Average Fiber Diameters
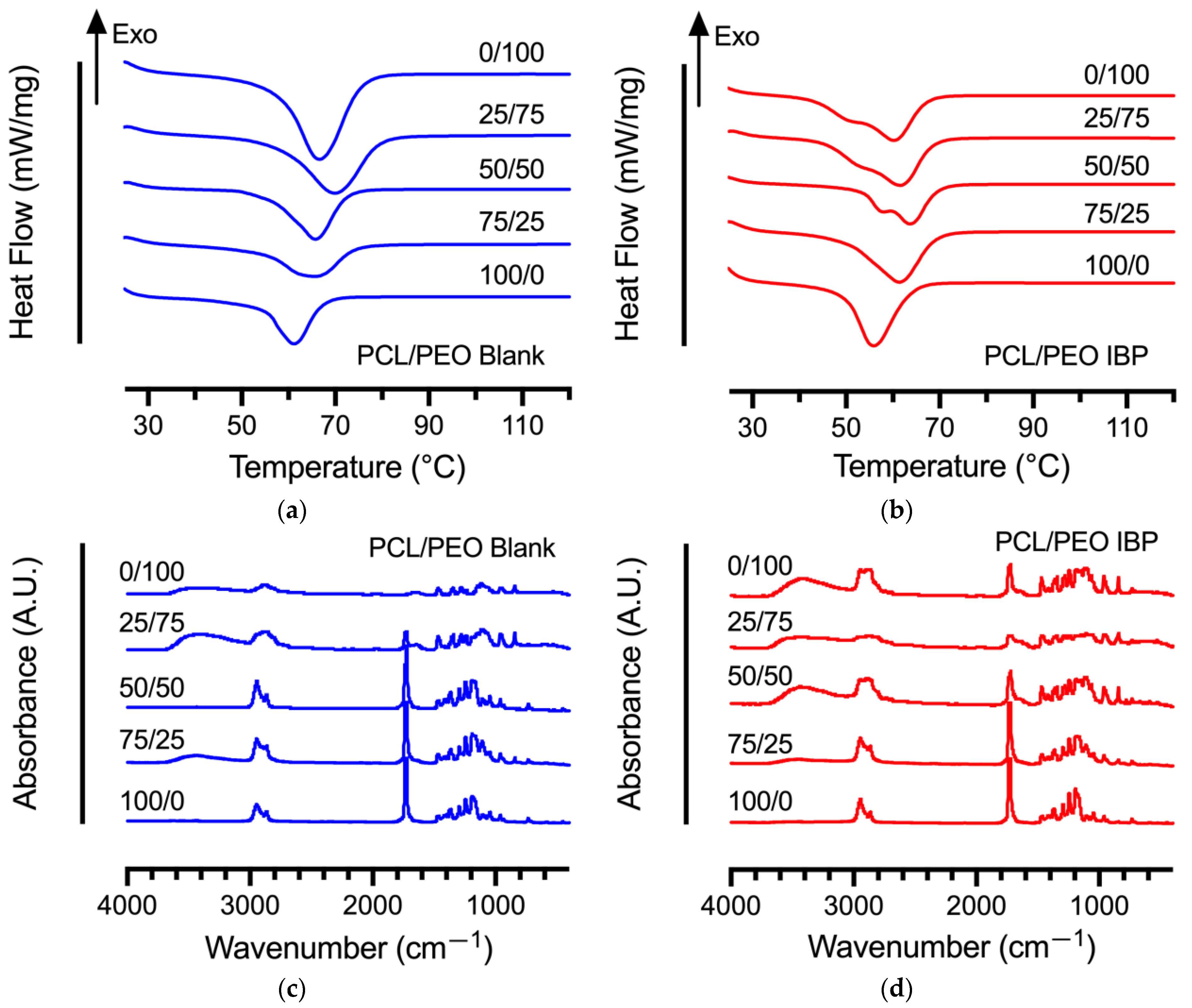
3.4. Thermochemical Characterizations
3.5. Mechanical Properties
3.6. Surface Wettability
3.7. In Vitro Drug Release Assay
3.8. In Vitro Cell Biocompatibility
4. Discussion
4.1. Effects of Solution Viscosities on Fiber Electrospinning
4.2. Effects of Average Fiber Diameters on Fiber Mechanical Properties
4.3. Effects of Surface Wettability on Drug Release
5. Conclusions
Author Contributions
Funding
Institutional Review Board Statement
Data Availability Statement
Acknowledgments
Conflicts of Interest
References
- Pires, P.C.; Mascarenhas-Melo, F.; Pedrosa, K.; Lopes, D.; Lopes, J.; Macário-Soares, A.; Peixoto, D.; Giram, P.S.; Veiga, F.; Paiva-Santos, A.C. Polymer-based biomaterials for pharmaceutical and biomedical applications: A focus on topical drug administration. Eur. Polym. J. 2023, 187, 111868. [Google Scholar] [CrossRef]
- Anusiya, G.; Jaiganesh, R. A review on fabrication methods of nanofibers and a special focus on application of cellulose nanofibers. Carbohydr. Polym. Technol. Appl. 2022, 4, 100262. [Google Scholar] [CrossRef]
- Luo, C.J.; Stoyanov, S.D.; Stride, E.; Pelan, E.; Edirisinghe, M. Electrospinning versus fibre production methods: From specifics to technological convergence. Chem. Soc. Rev. 2012, 41, 4708. [Google Scholar] [CrossRef]
- Abdulhussain, R.; Adebisi, A.; Conway, B.R.; Asare-Addo, K. Electrospun nanofibers: Exploring process parameters, polymer selection, and recent applications in pharmaceuticals and drug delivery. J. Drug Deliv. Sci. Technol. 2023, 90, 105156. [Google Scholar] [CrossRef]
- Angel, N.; Guo, L.; Yan, F.; Wang, H.; Kong, L. Effect of processing parameters on the electrospinning of cellulose acetate studied by response surface methodology. J. Agric. Food Res. 2020, 2, 100015. [Google Scholar] [CrossRef]
- Chinnappan, B.A.; Krishnaswamy, M.; Xu, H.; Hoque, M.E. Electrospinning of Biomedical Nanofibers/Nanomembranes: Effects of Process Parameters. Polymers 2022, 14, 3719. [Google Scholar] [CrossRef] [PubMed]
- Miguel, S.P.; Figueira, D.R.; Simões, D.; Ribeiro, M.P.; Coutinho, P.; Ferreira, P.; Correia, I.J. Electrospun polymeric nanofibres as wound dressings: A review. Colloids Surf. B Biointerfaces 2018, 169, 60–71. [Google Scholar] [CrossRef] [PubMed]
- Hawkins, B.C.; Burnett, E.; Chou, S.-F. Physicomechanical properties and in vitro release behaviors of electrospun ibuprofen-loaded blend PEO/EC fibers. Mater. Today Commun. 2022, 30, 103205. [Google Scholar] [CrossRef] [PubMed]
- Gizaw, M.; Bani Mustafa, D.; Chou, S.-F. Fabrication of drug-eluting polycaprolactone and chitosan blend microfibers for topical drug delivery applications. Front. Mater. 2023, 10, 1144752. [Google Scholar] [CrossRef]
- Bulbul, Y.E.; Okur, M.; Demirtas-Korkmaz, F.; Dilsiz, N. Development of PCL/PEO electrospun fibrous membranes blended with silane-modified halloysite nanotube as a curcumin release system. Appl. Clay Sci. 2020, 186, 105430. [Google Scholar] [CrossRef]
- Eskitoros-Togay, Ş.M.; Bulbul, Y.E.; Tort, S.; Demirtaş Korkmaz, F.; Acartürk, F.; Dilsiz, N. Fabrication of doxycycline-loaded electrospun PCL/PEO membranes for a potential drug delivery system. Int. J. Pharm. 2019, 565, 83–94. [Google Scholar] [CrossRef]
- Afshar, A.; Majd, H.; Harker, A.; Edirisinghe, M. Tailored binary polymer system PCL-PEO for advanced biomedical applications: Optimization, characterization and in vitro analysis. J. Drug Deliv. Sci. Technol. 2024, 95, 105582. [Google Scholar] [CrossRef]
- Mohamed, R.; Chou, S.-F. Physicomechanical characterizations and in vitro release studies of electrospun ethyl cellulose fibers, solvent cast carboxymethyl cellulose films, and their composites. Int. J. Biol. Macromol. 2024, 267, 131374. [Google Scholar] [CrossRef]
- ASTM D1708-18; Standard Test Method for Tensile Properties of Plastics by Use of Microtensile Specimens. ASTM International: West Conshohocken, PA, USA, 2018.
- ASTM D5034-21; Standard Test Method for Breaking Strength and Elongation of Textile Fabrics (Grab Test). ASTM International: West Conshohocken, PA, USA, 2021.
- Faglie, A.; Emerine, R.; Chou, S.-F. Effects of poloxamers as excipients on the physicomechanical properties, cellular biocompatibility, and in vitro drug release of electrospun polycaprolactone (PCL) fibers. Polymers 2023, 15, 2997. [Google Scholar] [CrossRef]
- Dannenfelser, R.-M.; Yalkowsky, S.H. Data base of aqueous solubility for organic non-electrolytes. Sci. Total Environ. 1991, 109, 625–628. [Google Scholar] [CrossRef]
- Amariei, N.; Manea, L.R.; Bertea, A.P.; Bertea, A.; Popa, A. The Influence of Polymer Solution on the Properties of Electrospun 3D Nanostructures. IOP Conf. Ser. Mater. Sci. Eng. 2017, 209, 012092. [Google Scholar] [CrossRef]
- Oliveira, J.E.; Mattoso, L.H.C.; Orts, W.J.; Medeiros, E.S. Structural and morphological characterization of micro and nanofibers produced by electrospinning and solution blow spinning: A comparative study. Adv. Mater. Sci. Eng. 2013, 2013, 1–14. [Google Scholar] [CrossRef]
- Salmoria, G.V.; Sibilia, F.; Henschel, V.G.; Fare, S.; Tanzi, M.C. Structure and properties of polycaprolactone/ibuprofen rods prepared by melt extrusion for implantable drug delivery. Polym. Bull. 2017, 74, 4973–4987. [Google Scholar] [CrossRef]
- Chung, S.; Srinivasan, P.; Zhang, P.; Bandari, S.; Repka, M.A. Development of ibuprofen tablet with polyethylene oxide using fused deposition modeling 3D-printing coupled with hot-melt extrusion. J. Drug Deliv. Sci. Technol. 2022, 76, 103716. [Google Scholar] [CrossRef]
- Wahab, A.; Khan, G.M.; Akhlaq, M.; Khan, N.R.; Hussain, A.; Zeb, A.; Rehman, A.; Shah, K.U. Pre-formulation investigation and in vitro evaluation of directly compressed ibuprofen-ethocel oral controlled release matrix tablets: A kinetic approach. Afr. J. Pharm. Pharmacol. 2011, 5, 2118–2127. [Google Scholar] [CrossRef]
- Padilla Villavicencio, M.; Escobedo Morales, A.; Ruiz Peralta, M.D.L.; Sánchez-Cantú, M.; Rojas Blanco, L.; Chigo Anota, E.; Camacho García, J.H.; Tzompantzi, F. Ibuprofen photodegradation by Ag2O and Ag/Ag2O composites under simulated visible light irradiation. Catal. Lett. 2020, 150, 2385–2399. [Google Scholar] [CrossRef]
- Evoli, S.; Mobley, D.L.; Guzzi, R.; Rizzuti, B. Multiple binding modes of ibuprofen in human serum albumin identified by absolute binding free energy calculations. Phys. Chem. Chem. Phys. 2016, 18, 32358–32368. [Google Scholar] [CrossRef]
- Tiwari, S.K.; Venkatraman, S.S. Importance of viscosity parameters in electrospinning: Of monolithic and core–shell fibers. Mater. Sci. Eng. C 2012, 32, 1037–1042. [Google Scholar] [CrossRef]
- Van Der Schueren, L.; De Schoenmaker, B.; Kalaoglu, Ö.I.; De Clerck, K. An alternative solvent system for the steady state electrospinning of polycaprolactone. Eur. Polym. J. 2011, 47, 1256–1263. [Google Scholar] [CrossRef]
- Okutan, N.; Terzi, P.; Altay, F. Affecting parameters on electrospinning process and characterization of electrospun gelatin nanofibers. Food Hydrocoll. 2014, 39, 19–26. [Google Scholar] [CrossRef]
- Shenoy, S.L.; Bates, W.D.; Frisch, H.L.; Wnek, G.E. Role of chain entanglements on fiber formation during electrospinning of polymer solutions: Good solvent, non-specific polymer–polymer interaction limit. Polymer 2005, 46, 3372–3384. [Google Scholar] [CrossRef]
- He, H.; Kara, Y.; Molnár, K. In situ viscosity-controlled electrospinning with a low threshold voltage. Macromol. Mater. Eng. 2019, 304, 1900349. [Google Scholar] [CrossRef]
- Bera, B. Literature review on electrospinning process (A fascinating fiber fabrication technique). Imp. J. Interdiscip. Res. 2016, 2, 972–984. [Google Scholar]
- Tarus, B.; Fadel, N.; Al-Oufy, A.; El-Messiry, M. Effect of polymer concentration on the morphology and mechanical characteristics of electrospun cellulose acetate and poly (vinyl chloride) nanofiber mats. Alex. Eng. J. 2016, 55, 2975–2984. [Google Scholar] [CrossRef]
- Kim, H.H.; Kim, M.J.; Ryu, S.J.; Ki, C.S.; Park, Y.H. Effect of fiber diameter on surface morphology, mechanical property, and cell behavior of electrospun poly(ε-caprolactone) mat. Fibers Polym. 2016, 17, 1033–1042. [Google Scholar] [CrossRef]
- Chou, S.-F.; Woodrow, K.A. Relationships between mechanical properties and drug release from electrospun fibers of PCL and PLGA blends. J. Mech. Behav. Biomed. Mater. 2017, 65, 724–733. [Google Scholar] [CrossRef]
- Sun, C.; Zou, L.; Xu, Y.; Wang, Y. Ibuprofen-loaded poly(lactic acid) electrospun mats: The morphology, physicochemical performance, and in vitro drug release behavior. Macromol. Mater. Eng. 2020, 305, 2000457. [Google Scholar] [CrossRef]
- Rivera, P.; Villegas, C.; Cabezas, R.; Pérez, B.; Torres, A.; De Dicastillo, C.L.; Garrido, L.; Galvez, P.; Araya, C.; Romero, J. Development of PLA suture materials by extrusion, electrospinning and supercritical CO2 impregnation of ibuprofen and naproxen. J. Supercrit. Fluids 2023, 194, 105854. [Google Scholar] [CrossRef]
- Wadaugsorn, K.; Panrong, T.; Wongphan, P.; Harnkarnsujarit, N. Plasticized hydroxypropyl cassava starch blended PBAT for improved clarity blown films: Morphology and properties. Ind. Crops Prod. 2022, 176, 114311. [Google Scholar] [CrossRef]
- Li, Y.-F.; Rubert, M.; Aslan, H.; Yu, Y.; Howard, K.A.; Dong, M.; Besenbacher, F.; Chen, M. Ultraporous interweaving electrospun microfibers from PCL–PEO binary blends and their inflammatory responses. Nanoscale 2014, 6, 3392–3402. [Google Scholar] [CrossRef]
- Abid, S.; Hussain, T.; Raza, Z.A.; Nazir, A. Current applications of electrospun polymeric nanofibers in cancer therapy. Mater. Sci. Eng. C 2019, 97, 966–977. [Google Scholar] [CrossRef]









| Fiber Formulations (PCL/PEO) | Minimal Voltage (kV) @ 20 μL/min | Maximum Flowrate (μL/min) @ 12 kV | ||
|---|---|---|---|---|
| Blank | IBP-Loaded | Blank | IBP-Loaded | |
| 100/0 | 7.5 | 8.0 | 50 | 80 |
| 75/25 | 8.5 | 8.5 | 65 | 85 |
| 50/50 | 10.0 | 8.5 | 65 | 85 |
| 25/75 | 10.5 | 8.5 | 65 | 85 |
| 0/100 | 11.0 | 9.0 | 70 | 90 |
Disclaimer/Publisher’s Note: The statements, opinions and data contained in all publications are solely those of the individual author(s) and contributor(s) and not of MDPI and/or the editor(s). MDPI and/or the editor(s) disclaim responsibility for any injury to people or property resulting from any ideas, methods, instructions or products referred to in the content. |
© 2024 by the authors. Licensee MDPI, Basel, Switzerland. This article is an open access article distributed under the terms and conditions of the Creative Commons Attribution (CC BY) license (https://creativecommons.org/licenses/by/4.0/).
Share and Cite
Bani Mustafa, D.; Sakai, T.; Sato, O.; Ikebe, M.; Chou, S.-F. Electrospun Ibuprofen-Loaded Blend PCL/PEO Fibers for Topical Drug Delivery Applications. Polymers 2024, 16, 1934. https://doi.org/10.3390/polym16131934
Bani Mustafa D, Sakai T, Sato O, Ikebe M, Chou S-F. Electrospun Ibuprofen-Loaded Blend PCL/PEO Fibers for Topical Drug Delivery Applications. Polymers. 2024; 16(13):1934. https://doi.org/10.3390/polym16131934
Chicago/Turabian StyleBani Mustafa, Diala, Tsuyoshi Sakai, Osamu Sato, Mitsuo Ikebe, and Shih-Feng Chou. 2024. "Electrospun Ibuprofen-Loaded Blend PCL/PEO Fibers for Topical Drug Delivery Applications" Polymers 16, no. 13: 1934. https://doi.org/10.3390/polym16131934
APA StyleBani Mustafa, D., Sakai, T., Sato, O., Ikebe, M., & Chou, S.-F. (2024). Electrospun Ibuprofen-Loaded Blend PCL/PEO Fibers for Topical Drug Delivery Applications. Polymers, 16(13), 1934. https://doi.org/10.3390/polym16131934

