New Chitosan-Based Co-Delivery Nanosystem for Diabetes Mellitus Therapy
Abstract
1. Introduction
2. Materials and Methods
2.1. Materials
2.2. Preparation of CS-APIs NPs
2.3. Characterization of CS-APIs NPs
2.3.1. The Physical Parameters
2.3.2. Transmission Electron Microscopy (TEM) analysis
2.3.3. X-ray Diffraction
2.3.4. Fourier-Transform Infrared Spectroscopy
2.3.5. Entrapment Efficiency (EE) and Loading Capacity (LC)
- C0 = the initial concentration of the APIs (Cur and Pio);
- C1 = the concentration of the APIs, measured in the TPP supernatant.
- wAPIs = the quantity of the APIs (Cur and Pio) loaded into the CS NPs;
- wCS-APIs NPs = the quantity of CS-APIs NPs.
2.4. The Study of APIs’ Release from CS-APIs NPs
2.4.1. Development and Validation of HPLC Method
2.4.2. In Vitro API Release Model
- C1 = the concentration of the APIs (Cur and Pio) released into the simulated fluids (SGF, SIF, and SCF);
- C0 = the concentration of the APIs loaded into the CS-based NPs.
2.4.3. Statistical Analysis
3. Results and Discussion
3.1. Characterization of CS-APIs NPs
3.1.1. The Physical Parameters
3.1.2. Transmission Electron Microscopy (TEM) Analysis
3.1.3. X-ray Diffraction
3.1.4. Fourier-Transform Infrared Spectroscopy
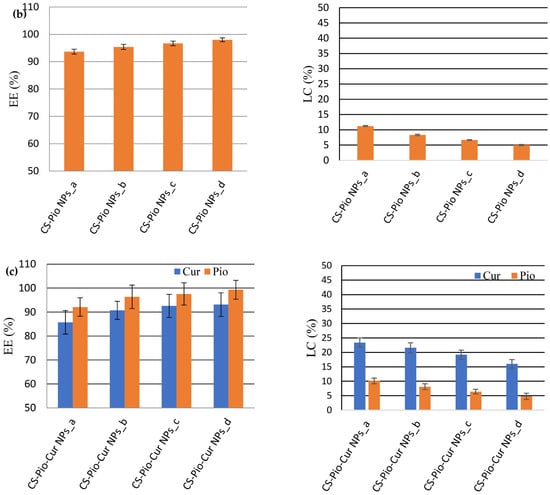
3.1.5. Entrapment Efficiency (EE) and Loading Capacity (LC)
3.2. The API Release Study
3.2.1. Development and Validation of HPLC Method
3.2.2. In Vitro API Release
4. Conclusions
Author Contributions
Funding
Institutional Review Board Statement
Data Availability Statement
Conflicts of Interest
References
- Galicia-Garcia, U.; Vicente, A.B.; Jebari, S.; Larrea-Sebal, A.; Siddiqi, H.; Uribe, K.B.; Ostolaza, H.; Martin, C. Pathophysiology of Type 2 Diabetes Mellitus. Int. J. Mol. Sci. 2020, 21, 6275. [Google Scholar] [CrossRef] [PubMed]
- Roy, B.; Ehlert, L.; Mullur, R.; Freeby, M.J.; Woo, M.A.; Kumar, R.; Choi, S. Regional Brain Gray Matter Changes in Patients with Type 2 Diabetes Mellitus. Sci. Rep. 2020, 10, 9925. [Google Scholar] [CrossRef] [PubMed]
- Sun, H.; Saeedi, P.; Karuranga, S.; Pinkepank, M.; Ogurtsova, K.; Duncan, B.B.; Stein, C.; Basit, A.; Chan, J.C.N.; Mbanya, J.C.; et al. Erratum to “IDF Diabetes Atlas: Global, regional and country-level diabetes prevalence estimates for 2021 and projections for 2045”. Diabetes Res. Clin. Pract. 2023, 204, 110945. [Google Scholar] [CrossRef] [PubMed]
- McCoy, M.A.; Theeke, L.A. A systematic review of the relationships among psychosocial factors and coping in adults with type 2 diabetes mellitus. Int. J. Nurs. Sci. 2019, 6, 268–477. [Google Scholar] [CrossRef] [PubMed]
- Halim, M.; Halim, A. The effects of inflammation, aging and oxidative stress on the pathogenesis of diabetes mellitus (type 2 diabetes). Diabetes Metab. Syndr. 2019, 13, 1165–1172. [Google Scholar] [CrossRef] [PubMed]
- McKeegan, K.; Mason, S.A.; Trewin, A.J.; Keske, M.A.; Wadley, G.D.; Gatta, P.A.D.; Nikolaidis, M.G.; Parker, L. Reactive oxygen species in exercise and insulin resistance: Working towards personalized antioxidant treatment. Redox Biol. 2021, 44, 102005. [Google Scholar] [CrossRef]
- Khursheed, R.; Singh, S.K.; Wadhwa, S.; Kapoor, B.; Gulati, M.; Kumar, R.; Ramanunny, A.K.; Awasthi, A.; Dua, K. Treatment strategies against diabetes: Success so far and challenges ahead. Eur. J. Pharmacol. 2019, 862, 172625. [Google Scholar] [CrossRef]
- Bansal, G.; Singh, S.; Monga, V.; Thanikachalam, P.V.; Chawla, P. Synthesis and biological evaluation of thiazolidine-2,4-dione-pyrazole conjugates as antidiabetic, anti-inflammatory and antioxidant agents. Bio. Org. Chem. 2019, 92, 103271. [Google Scholar] [CrossRef]
- Sharma, D.K.; Pattnaik, G.; Behera, A. Development and in-vitro, in-vivo evaluation of Pioglitazone-loaded polymeric nanoparticles using central composite design surface response methodology. OpenNano 2023, 11, 100141. [Google Scholar] [CrossRef]
- Egil, A.C.; Kesim, H.; Ustunkaya, B.; Kutlu, O.; Ince, G.O. Self-assembled albumin nanoparticles for redox responsive release of curcumin. J. Drug Deliv. Sci. Technol. 2022, 76, 103831. [Google Scholar] [CrossRef]
- Yang, G.; Li, F.; Zhang, H.; Yan, H.; Gao, S.; Fu, Y.; Ye, F. Electrospinning for producing antifungal nanofibers consisting of prochloraz/hydroxypropyl-γ-cyclodextrin inclusion complex. Ind. Crops Prod. 2024, 211, 118282. [Google Scholar] [CrossRef]
- Chen, H.; Jiang, Y.; Zhang, B.; Fang, Y.; Lin, Q.; Ding, Y. Application of Pickering emulsions stabilized by corn, potato and pea starch nanoparticles: Effect of environmental conditions and approach for curcumin release. Int. J. Biol. Macromol. 2023, 238, 124115. [Google Scholar] [CrossRef] [PubMed]
- Idoudi, S.; Hiiji, Y.; Bedhiafi, T.; Korashy, H.M.; Uddin, S.; Merhi, M.; Dermime, S.; Billa, N. A novel approach of encapsulating curcumin and succinylated derivative in mannosylated-chitosan nanoparticles. Carbohydr. Polym. 2022, 297, 120034. [Google Scholar] [CrossRef] [PubMed]
- Ai, C.; Zhao, C.; Xiang, C.; Zheng, Y.; Zhong, S.; Teng, H.; Chen, L. Gum arabic as a sole wall material for constructing nanoparticle to enhance the stability and bioavailability of curcumin. Food Chem. 2023, 18, 100724. [Google Scholar] [CrossRef] [PubMed]
- Huang, Y.; Zhan, Y.; Luo, G.; Zeng, Y.; McClements, D.J.; Hu, K. Curcumin encapsulated zein/caseinate-alginate nanoparticles: Release and antioxidant activity under in vitro simulated gastrointestinal digestion. Curr. Res. Nutr. Food Sci. 2023, 6, 100463. [Google Scholar] [CrossRef] [PubMed]
- Niranjan, R.; Kaushik, M.; Prakash, J.; Venkataprasanna, K.S.; Prema, D.; Christy, A.; Pannerselvam, B.; Venkatasubbu, D. Chitosan based wound dressing patch loaded with curcumin tagged ZnO nanoparticles for potential wound healing application. Inorg. Chem. Commun. 2023, 154, 110885. [Google Scholar] [CrossRef]
- Liu, W.; Pan, W.; Han, Y.; Li, D.; Chai, J. Solubilization, stability and antioxidant activity of curcumin in a novel surfactant-free microemulsion system. Food Sci. Technol. 2021, 147, 111583. [Google Scholar] [CrossRef]
- Ionescu, O.M.; Iacob, A.T.; Mignon, A.; Vlierberghe, S.V.; Baican, M.; Danu, M.; Ibanescu, C.; Simionescu, N.; Profire, L. Design, preparation and in vitro characterization of biomimetic and bioactive chitosan/polyethylene oxide based nanofibers as wound dressings. Int. J. Biol. Macromol. 2021, 193, 996–1000. [Google Scholar] [CrossRef] [PubMed]
- Lupascu, F.; Constantin, S.M.; Profire, B.S.; Vasincu, I.; Ionescu, O.M.; Iacob, A.T.; Iurascu, T.; Ababei, A.; Apotrosoaei, M.; Jitareanu, A.; et al. Design and Optimization Method for obtaining Pioglitazone and Curcumin-loaded Chitosan Nanoparticles. Med. Surg. J. 2022, 126, 126–134. [Google Scholar] [CrossRef]
- Li, X.; Xu, T.; Wu, C.; Fan, G.; Li, T.; Wang, Y.; Zhou, D. Fabrication and characterization of self-assembled whey protein isolate/ short linear glucan core–shell nanoparticles for sustained release of curcumin. Food Chem. 2023, 407, 135124. [Google Scholar] [CrossRef]
- Wasana, P.W.D.; Vajragupta, O.; Rojsitthisak, P.; Towiwat, P.; Rojsitthisak, P. Metformin and Curcumin co-encapsulated chitosan/alginate nanoparticles as effective oral carriers against pain-like behaviors in mice. Int. J. Pharm. 2023, 640, 123037. [Google Scholar] [CrossRef]
- Vakilinezhada, M.A.; Aminic, A.; Daraa, T.; Alipourb, S. Methotrexate and Curcumin co-encapsulated PLGA nanoparticles as a potential breast cancer therapeutic system: In vitro and in vivo evaluation. Colloids Surf. B Biointerfaces 2019, 184, 110515. [Google Scholar] [CrossRef] [PubMed]
- Shah, A.H.; Rather, M.A. Effect of calcination temperature on the crystallite size, particle size and zeta potential of TiO2 nanoparticles synthesized via polyol-mediated method. Mater. Today Proc. 2021, 44, 482–488. [Google Scholar] [CrossRef]
- Hjorth, T.H.; Jan, K.; Arvid, M. Structural Studies of Curcuminoids. The crystal structure of Curcumin. Acta Chem. Scand. 1982, 36, 475–479. [Google Scholar]
- Yathirajan, H.S.; Nagaraj, B.; Nagaraja, P.; Bolte, M. Pioglitazone hydrochloride. Acta Crystallogr. Sect. E 2005, 61, o154–o155. [Google Scholar] [CrossRef]
- Ghobadi-Oghaz, N.; Asoodeh, A.; Mohammadi, M. Fabrication, characterization and in vitro cell exposure study of zein-chitosan nanoparticles for co-delivery of curcumin and berberine. Int. J. Biol. Macromol. 2022, 204, 576–586. [Google Scholar] [CrossRef]
- Kaza, M.; Karazniewicz-Łada, M.; Kosicka, K.; Siemitkowska, A.; Rudzki, P.J. Bioanalytical method validation: New FDA guidance vs. EMA guideline. Better or worse? J. Pharm. Biomed. Anal. 2019, 165, 381–385. [Google Scholar] [CrossRef]
- Sugita, M.; Kataoka, M.; Sugihara, M.; Takeuchi, S.; Yamashita, S. Effect of Excipients on the Particle Size of Precipitated Pioglitazone in the Gastrointestinal Tract: Impact on Bioequivalence. AAPS J. 2014, 16, 1119–1127. [Google Scholar] [CrossRef]
- Górnicka, J.; Mika, M.; Wróblewska, O.; Siudem, P.; Paradowska, K. Methods to Improve the Solubility of Curcumin from Turmeric. Life 2023, 13, 207. [Google Scholar] [CrossRef]
- Kumavat, S.D.; Chaudhari, Y.; Borole, P.; Mishra, P.; Shenghani, K.; Duvvuri, P. Degradation Studies of Curcumin. Pharm. Rev. Res. 2013, 3, 50–55. [Google Scholar]








| Component | SGF | SIF | SCF |
|---|---|---|---|
| Sodium taurocholate | 0.0086 g | 0.32 g | 1.074 g |
| Lecithin | 0.00308 g | 0.032 g | 0.488 g |
| Pepsin | 0.02 g | - | - |
| Maleic acid | - | 0.44 g | 0.664 g |
| Sodium chloride | 0.3998 g | 0.802 g | 1.70 g |
| Sodium hydroxide | - | 0.28 g | 0.42 g |
| Sodium oleate | - | - | 2.43 g |
| Hydrochloric acid | pH 1.6 | - | - |
| Distilled water | 200 mL | 200 mL | 200 mL |
| CS-APIs NPs | APIs | PS (nm) | PI | ZP (mV) |
|---|---|---|---|---|
| CS-Cur NPs | a | 226.1 ± 7.1 | 0.150 ± 0.04 | 26.33 ± 0.40 |
| b | 215.5 ± 4.8 | 0.262 ± 0.05 | 29.92 ± 0.21 | |
| c | 219.4 ± 6.3 | 0.277 ± 0.06 | 21.83 ± 0.25 | |
| d | 211.6 ± 6.0 | 0.104 ± 0.03 | 29.33 ± 0.46 | |
| CS-Pio NPs | a | 228.1 ± 5.3 | 0.252 ± 0.05 | 25.01 ± 0.57 |
| b | 247.1 ± 6.1 | 0.289 ± 0.05 | 29.48 ± 0.62 | |
| c | 245.1 ± 5.8 | 0.261 ± 0.03 | 23.91 ± 1.05 | |
| d | 230.1 ± 5.0 | 0.211 ± 0.04 | 23.76 ± 0.71 | |
| CS-Pio-Cur NPs | a | 337.4 ± 6.2 | 0.268 ± 0.03 | 29.03 ± 0.51 |
| b | 325.6 ± 7.0 | 0.266 ± 0.04 | 31.42 ± 0.48 | |
| c | 291.7 ± 6.5 | 0.277 ± 0.03 | 30.71 ± 0.31 | |
| d | 255.7 ± 6.3 | 0.273 ± 0.05 | 32.64 ± 0.39 |
Disclaimer/Publisher’s Note: The statements, opinions and data contained in all publications are solely those of the individual author(s) and contributor(s) and not of MDPI and/or the editor(s). MDPI and/or the editor(s) disclaim responsibility for any injury to people or property resulting from any ideas, methods, instructions or products referred to in the content. |
© 2024 by the authors. Licensee MDPI, Basel, Switzerland. This article is an open access article distributed under the terms and conditions of the Creative Commons Attribution (CC BY) license (https://creativecommons.org/licenses/by/4.0/).
Share and Cite
Lupascu, F.G.; Sava, A.; Tătărușanu, S.-M.; Iacob, A.-T.; Dascălu, A.; Profire, B.-Ș.; Vasincu, I.-M.; Apotrosoaei, M.; Gîscă, T.-C.; Turin-Moleavin, I.-A.; et al. New Chitosan-Based Co-Delivery Nanosystem for Diabetes Mellitus Therapy. Polymers 2024, 16, 1825. https://doi.org/10.3390/polym16131825
Lupascu FG, Sava A, Tătărușanu S-M, Iacob A-T, Dascălu A, Profire B-Ș, Vasincu I-M, Apotrosoaei M, Gîscă T-C, Turin-Moleavin I-A, et al. New Chitosan-Based Co-Delivery Nanosystem for Diabetes Mellitus Therapy. Polymers. 2024; 16(13):1825. https://doi.org/10.3390/polym16131825
Chicago/Turabian StyleLupascu, Florentina Geanina, Alexandru Sava, Simona-Maria Tătărușanu, Andreea-Teodora Iacob, Andrei Dascălu, Bianca-Ștefania Profire, Ioana-Mirela Vasincu, Maria Apotrosoaei, Tudor-Cătălin Gîscă, Ioana-Andreea Turin-Moleavin, and et al. 2024. "New Chitosan-Based Co-Delivery Nanosystem for Diabetes Mellitus Therapy" Polymers 16, no. 13: 1825. https://doi.org/10.3390/polym16131825
APA StyleLupascu, F. G., Sava, A., Tătărușanu, S.-M., Iacob, A.-T., Dascălu, A., Profire, B.-Ș., Vasincu, I.-M., Apotrosoaei, M., Gîscă, T.-C., Turin-Moleavin, I.-A., & Profire, L. (2024). New Chitosan-Based Co-Delivery Nanosystem for Diabetes Mellitus Therapy. Polymers, 16(13), 1825. https://doi.org/10.3390/polym16131825

