Modern Trends in Polymerization-Induced Self-Assembly
Abstract
1. Introduction
2. The Basic Principles of Block Copolymer Self-Assembly
2.1. Thermodynamics, Kinetics, and Mechanism of AB-Diblock Copolymer Micellization
2.2. Structure and Morphology of AB-Diblock Copolymer Micelles
2.3. Structure and Morphology of ABC-Triblock Copolymer Micelles
3. General Idea of Polymerization-Induced Self-Assembly
3.1. Block Copolymers
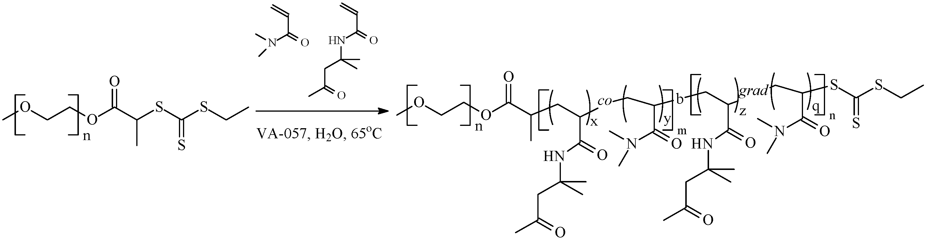
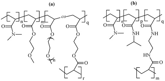
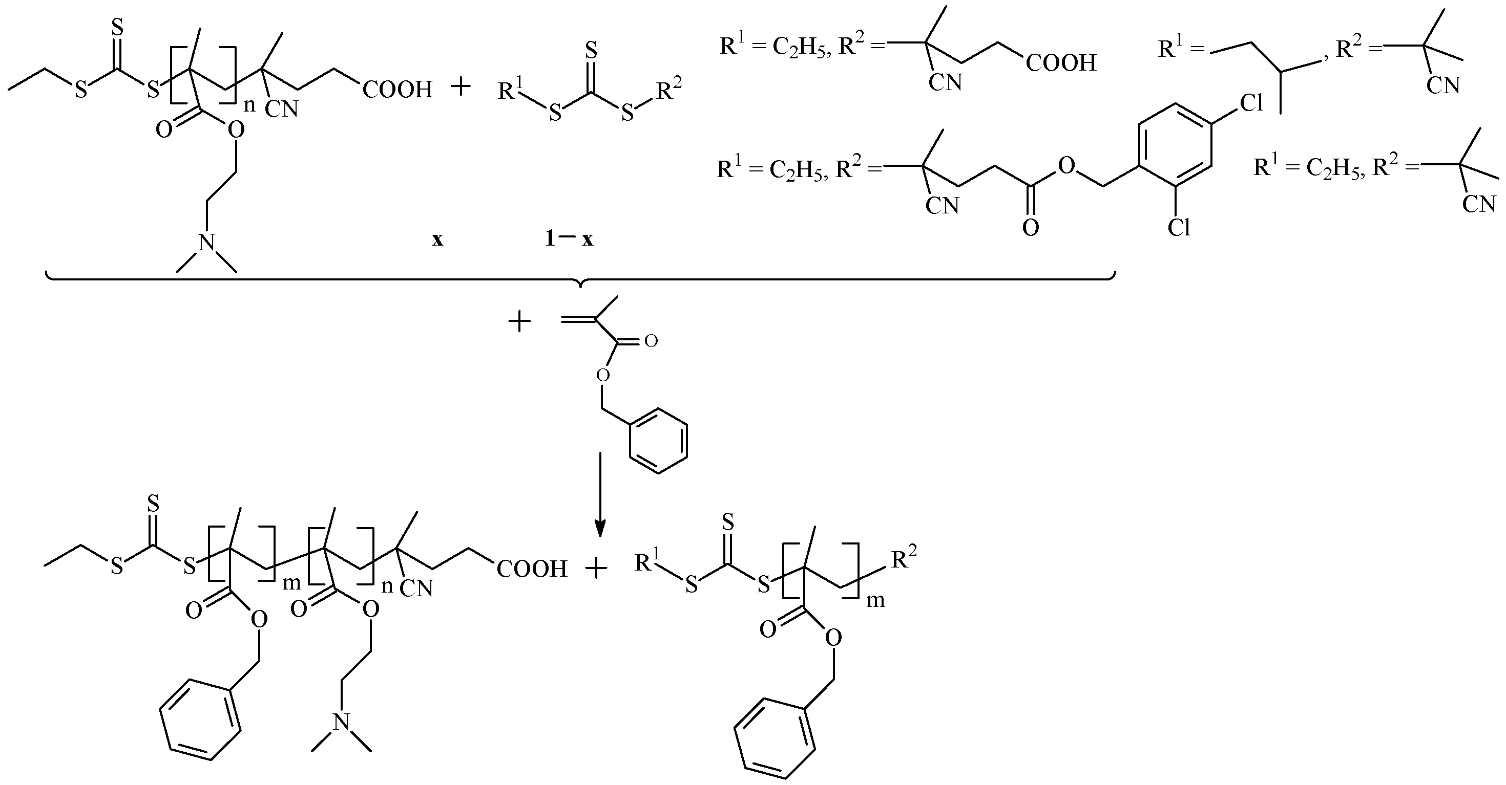
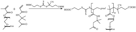
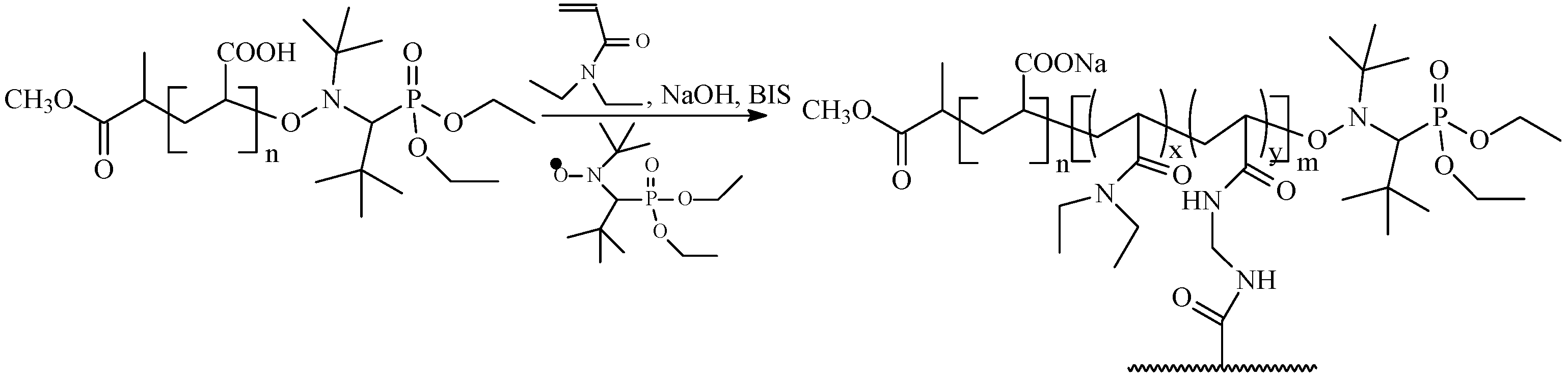
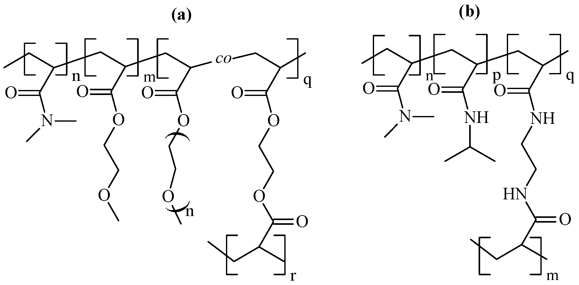
3.2. Gradient Copolymers
4. Mechanisms of Chain Activation
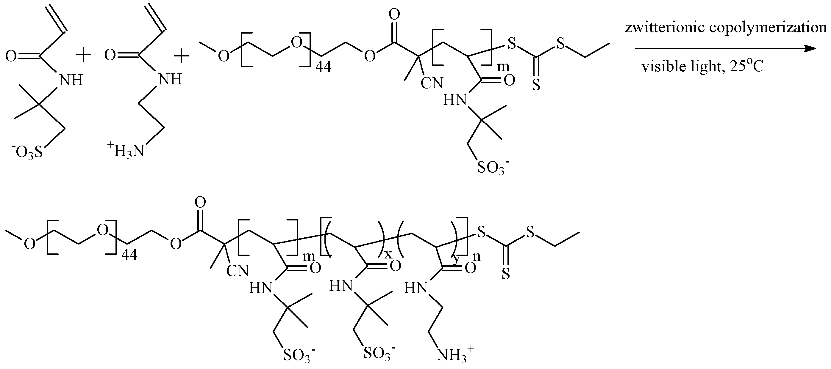
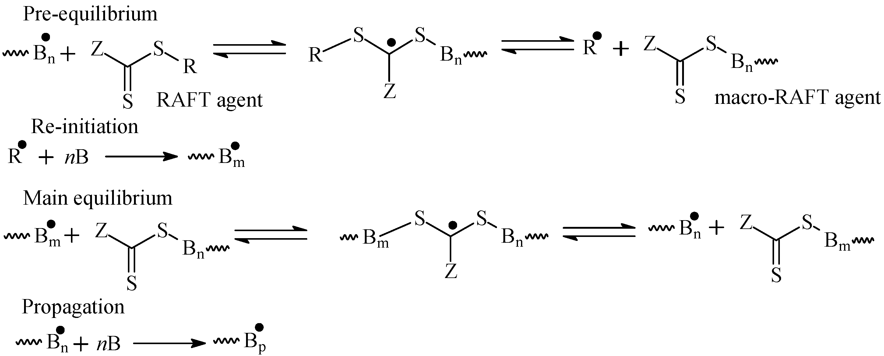
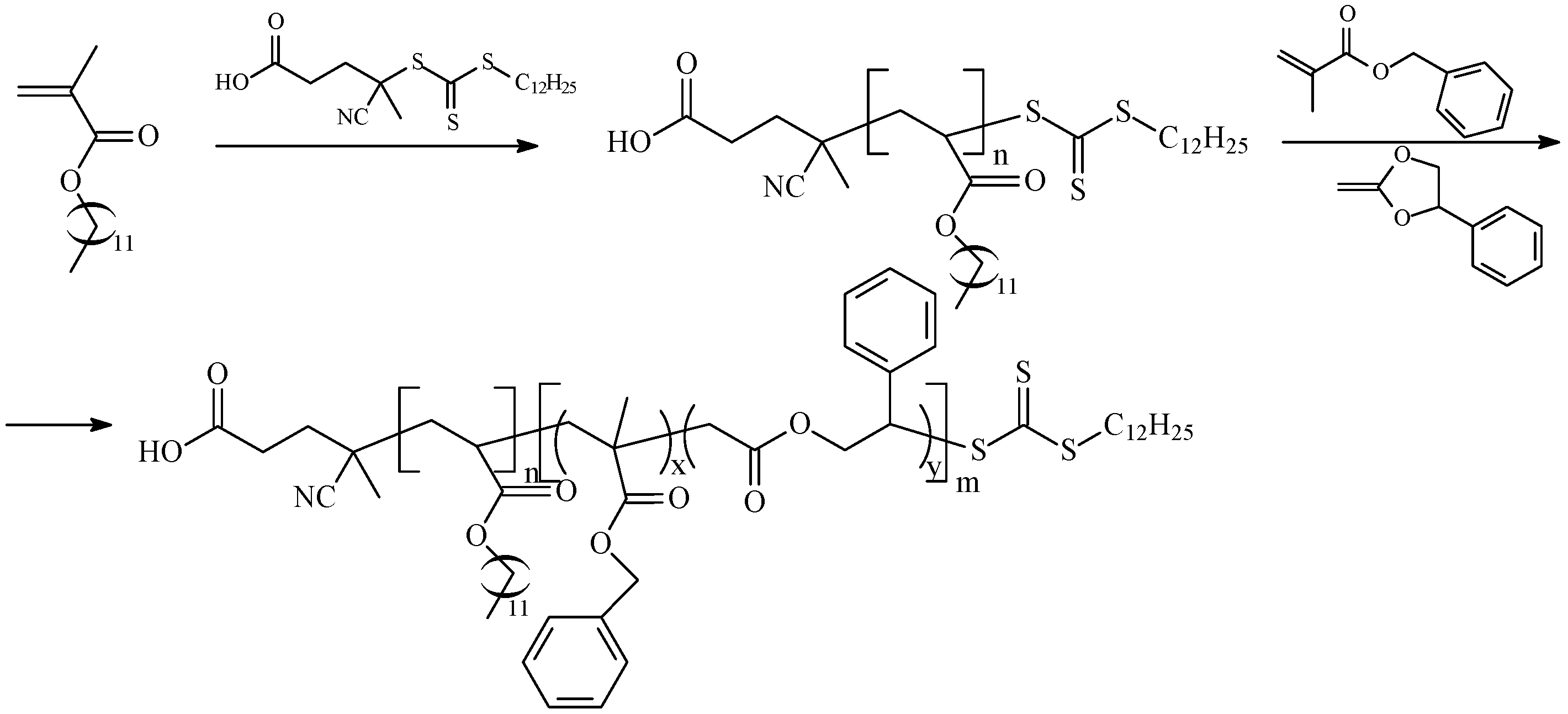
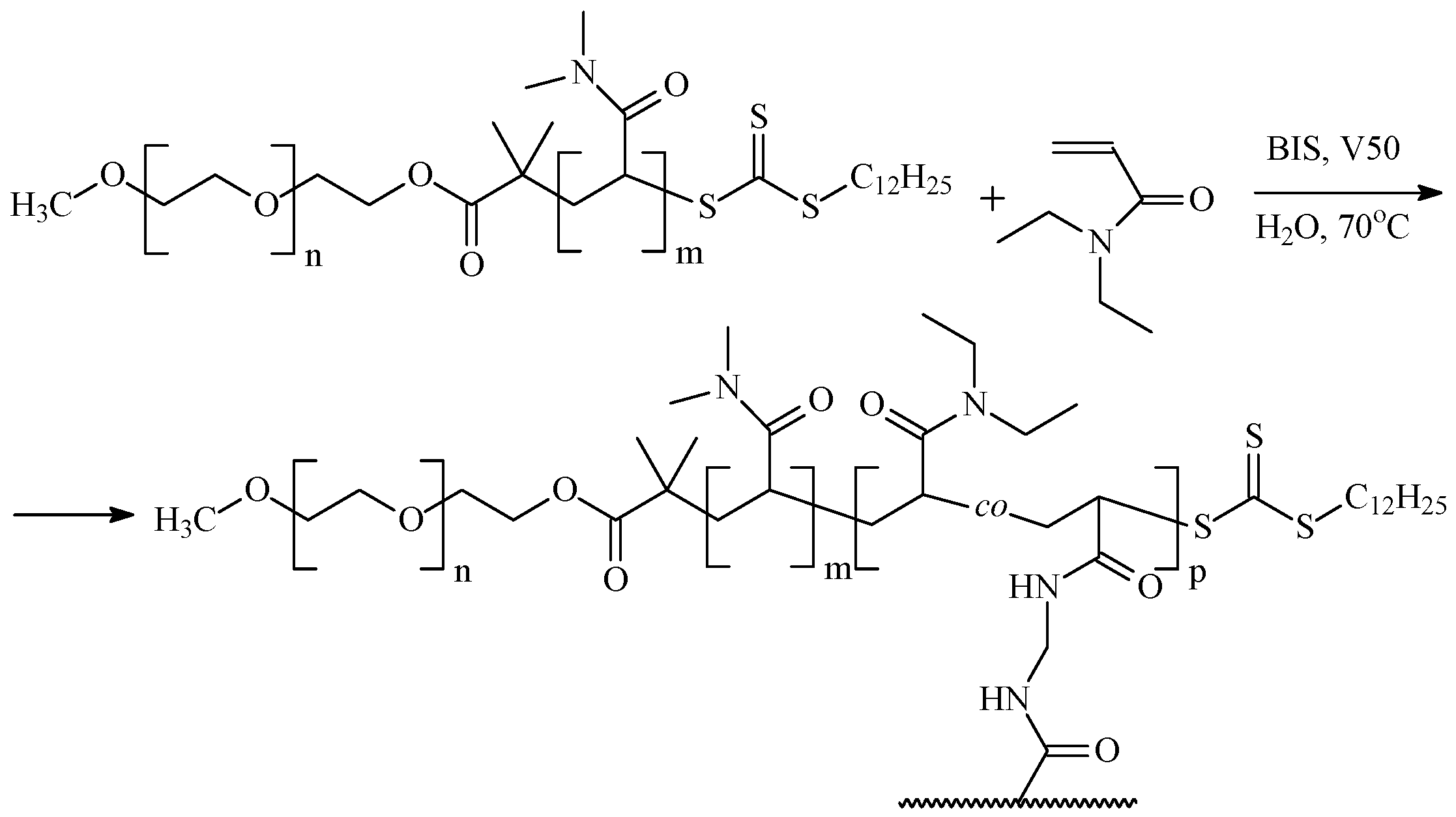
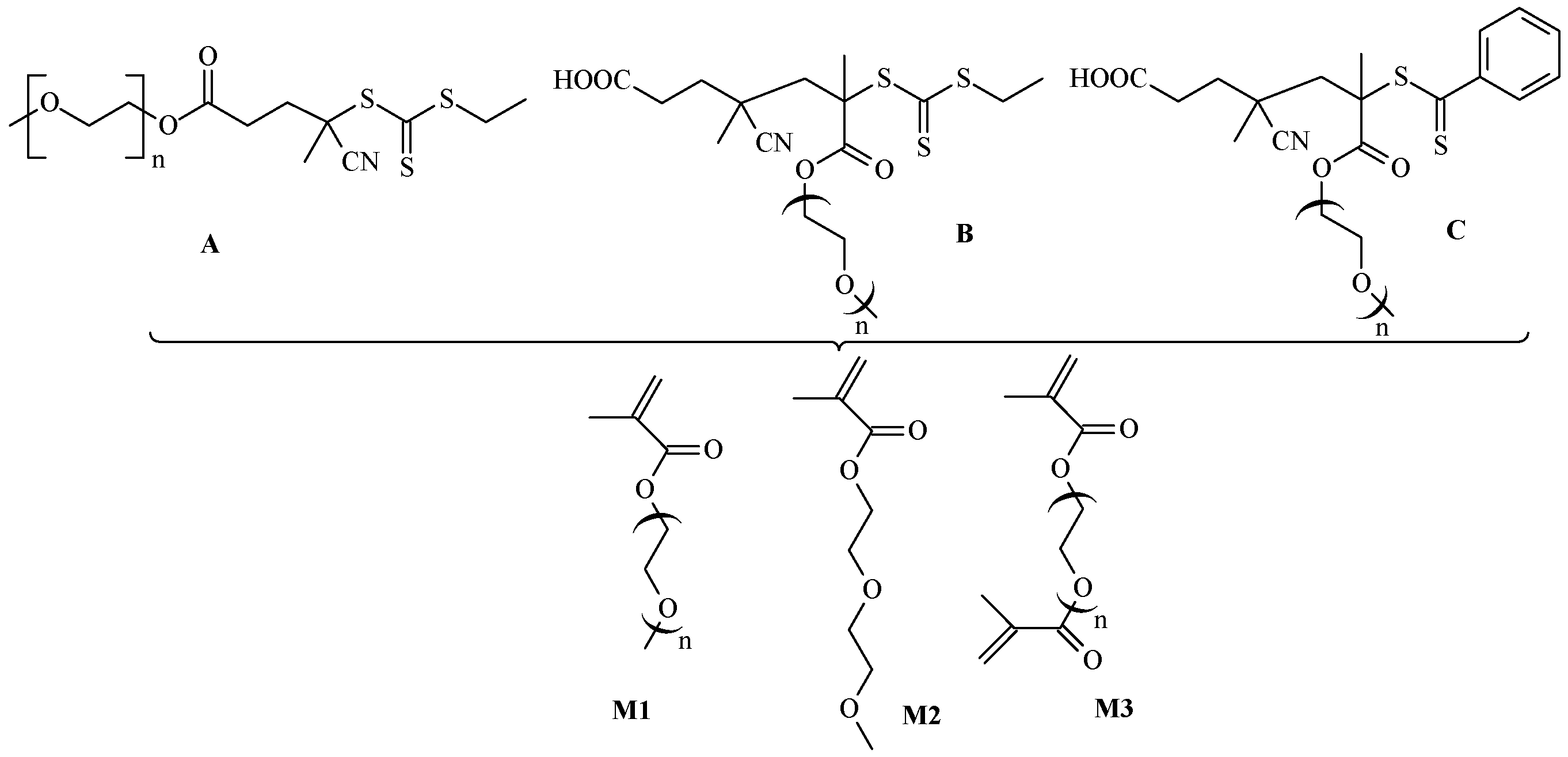
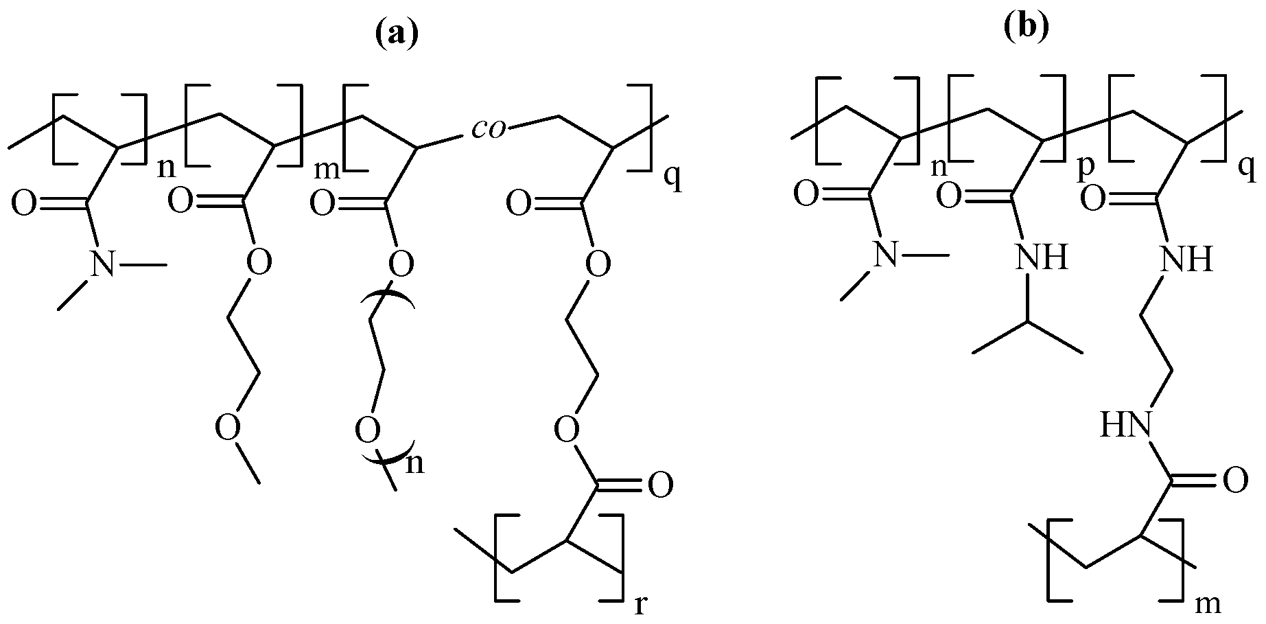
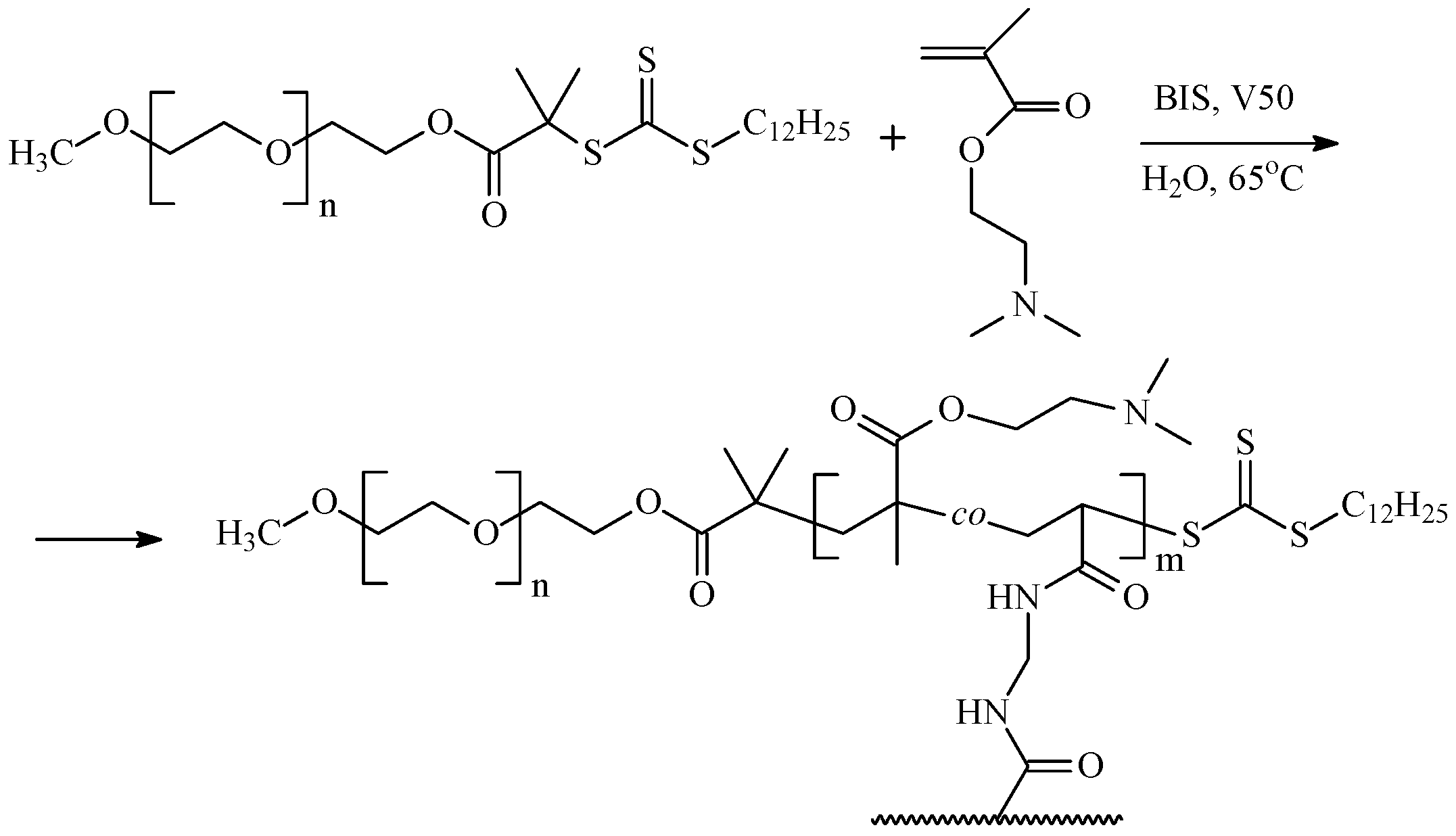
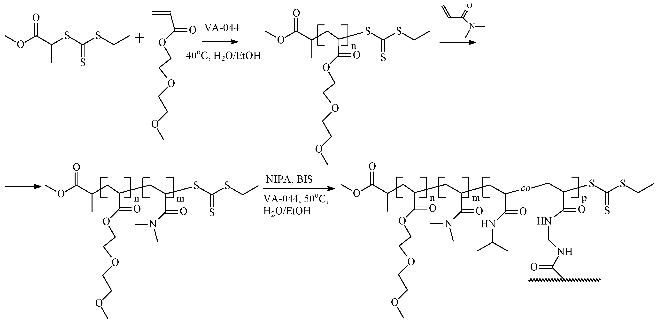
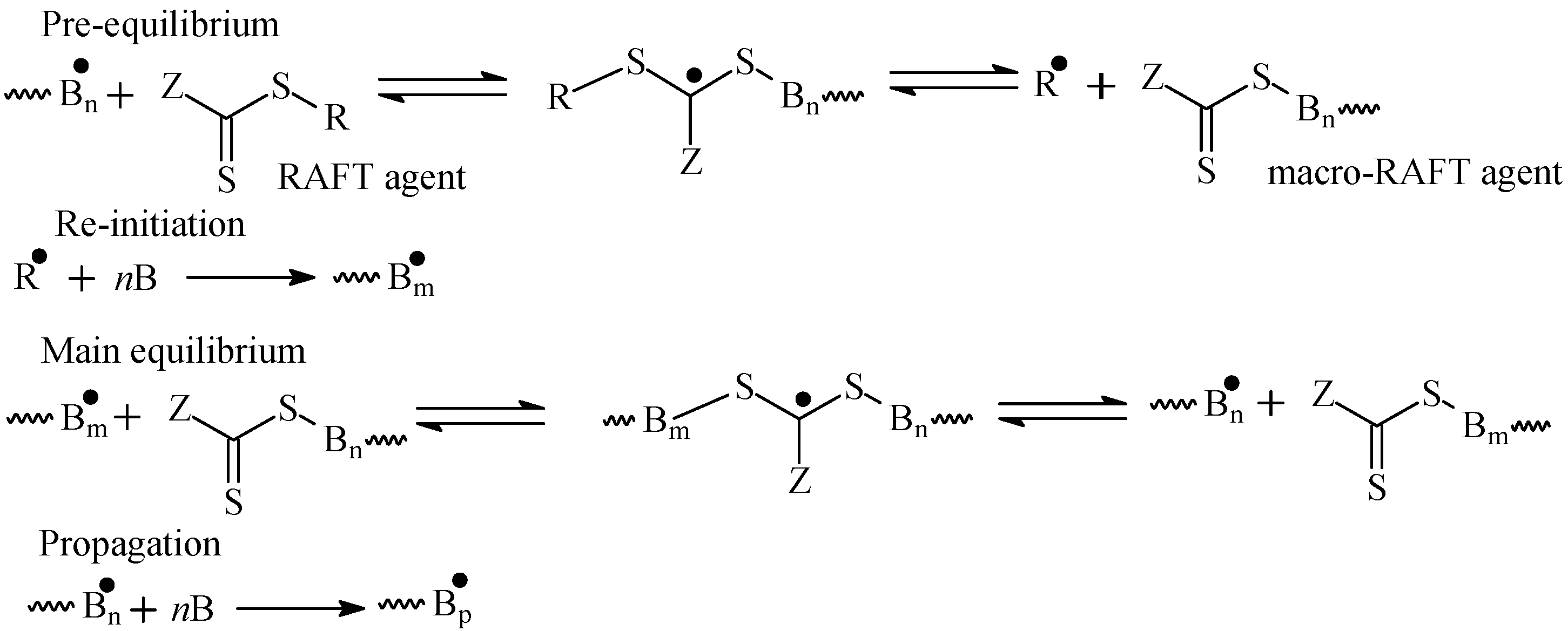
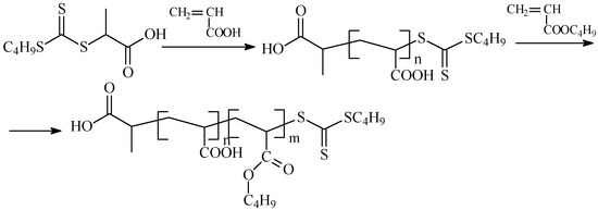
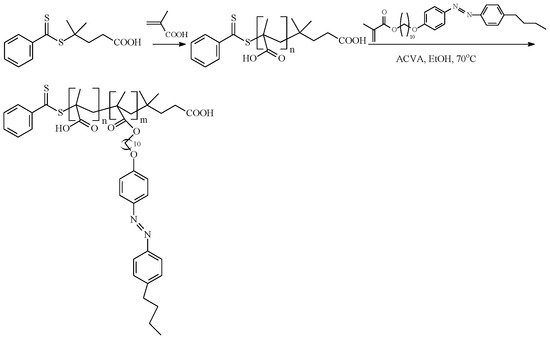
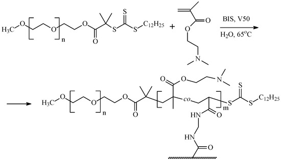
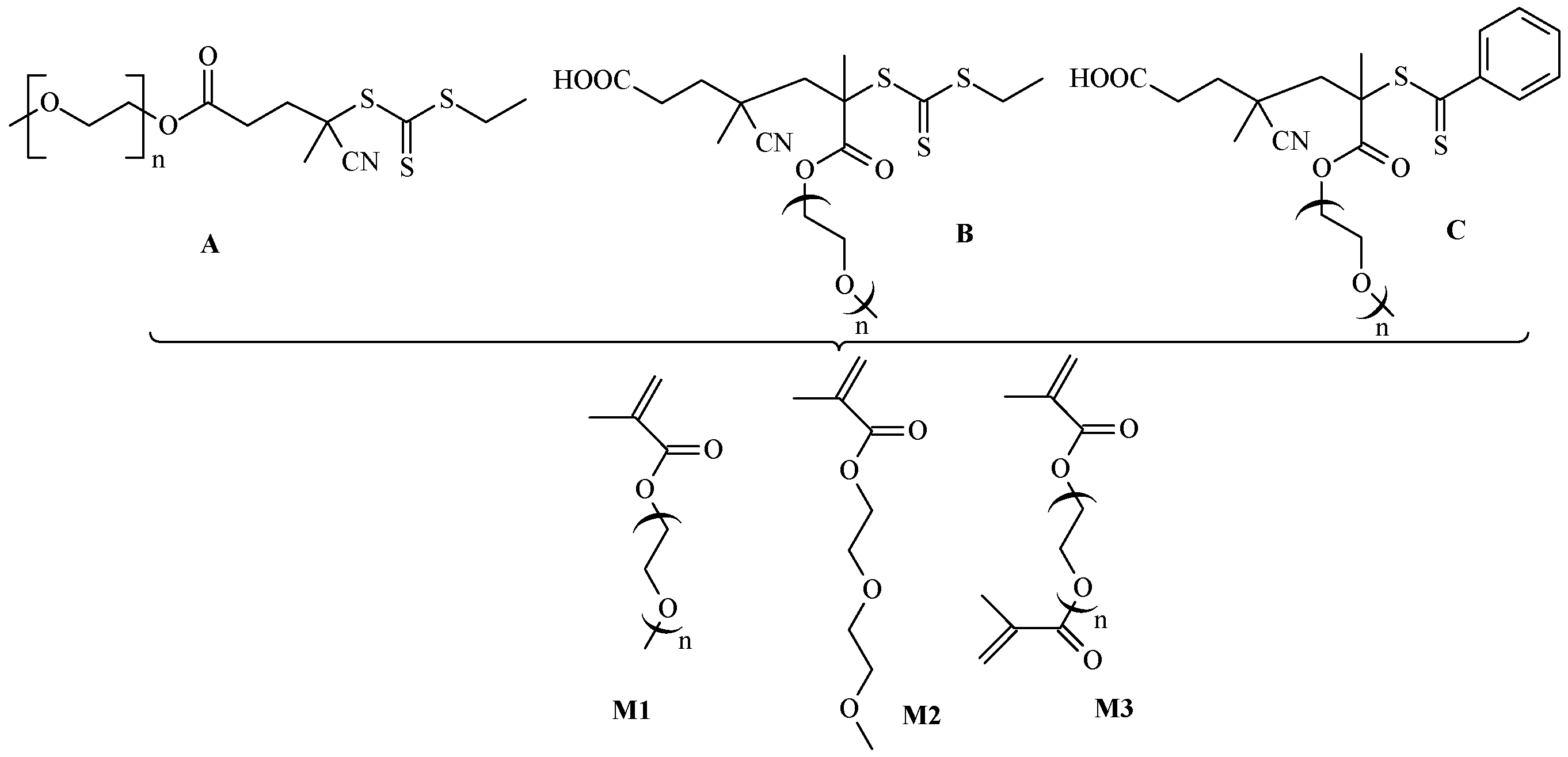
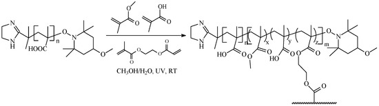
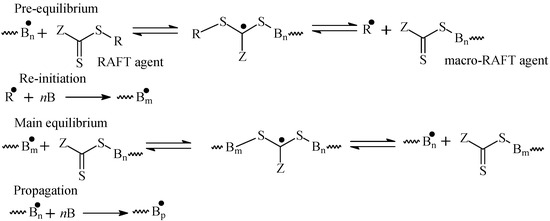
4.1. Reversible Addition–Fragmentation Chain Transfer (RAFT)
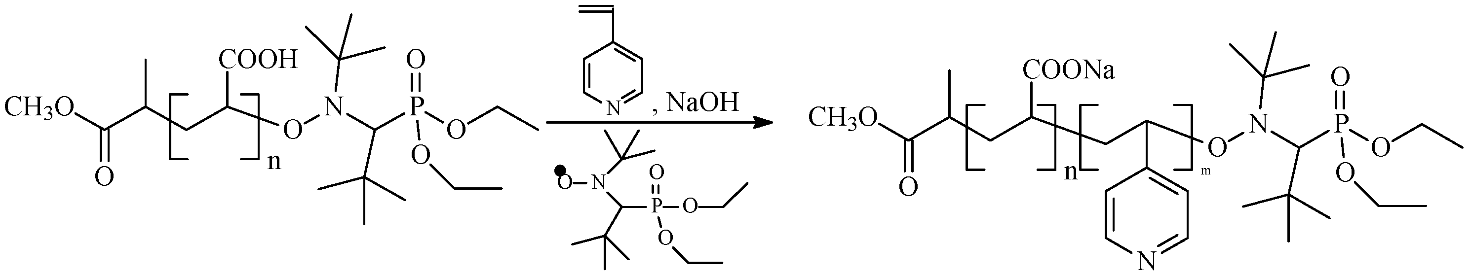
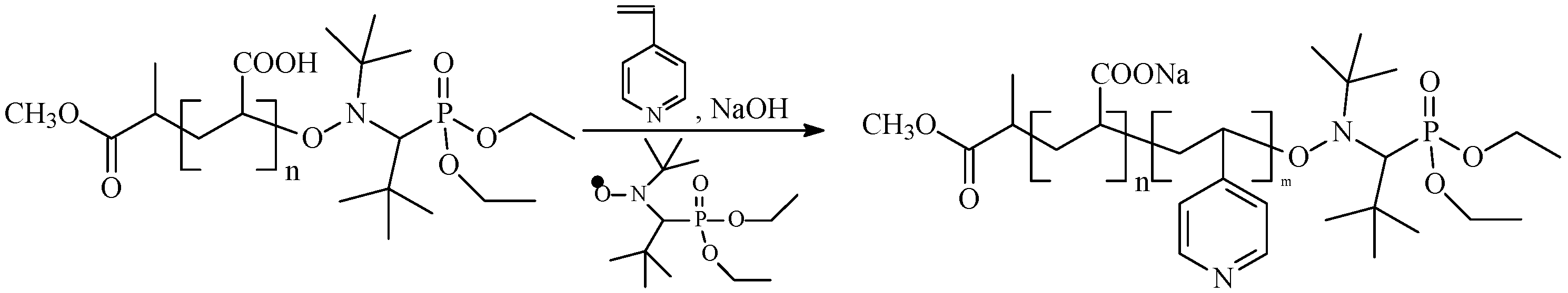
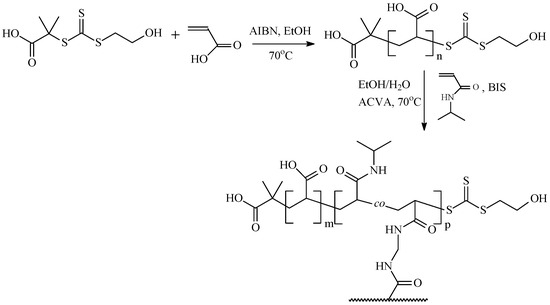
4.2. Aminoxyl-Mediated Polymerization
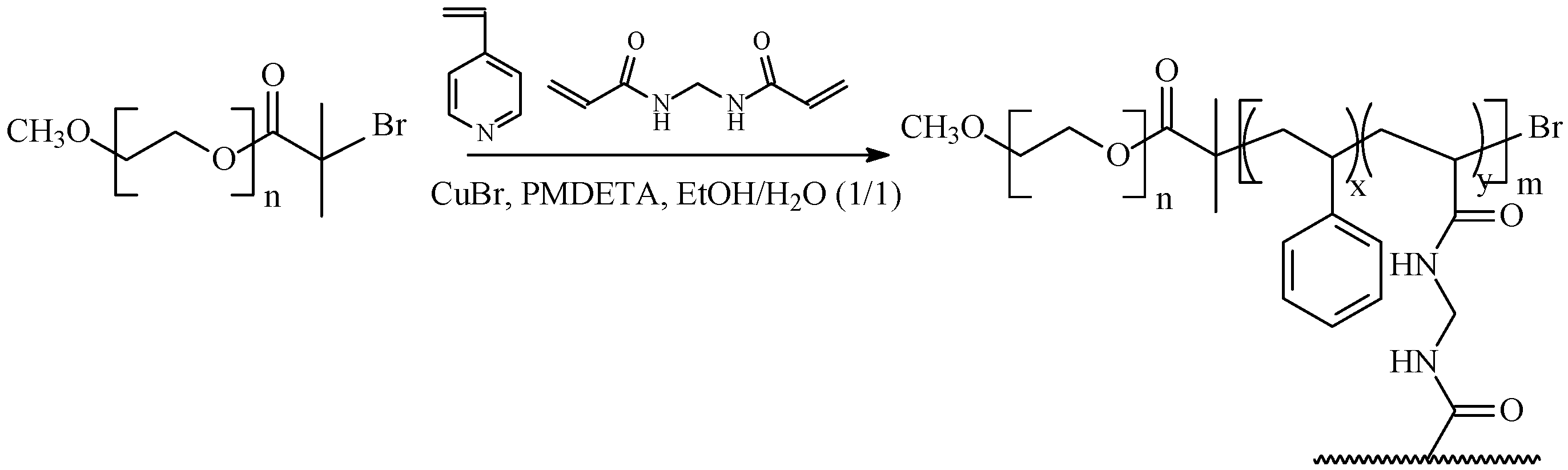
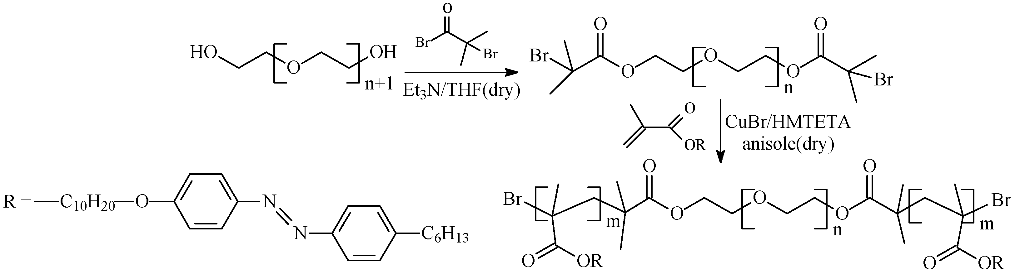
4.3. Atom Transfer Radical Polymerization (ATRP)
4.4. Degenerative Chain Transfer Radical Polymerization
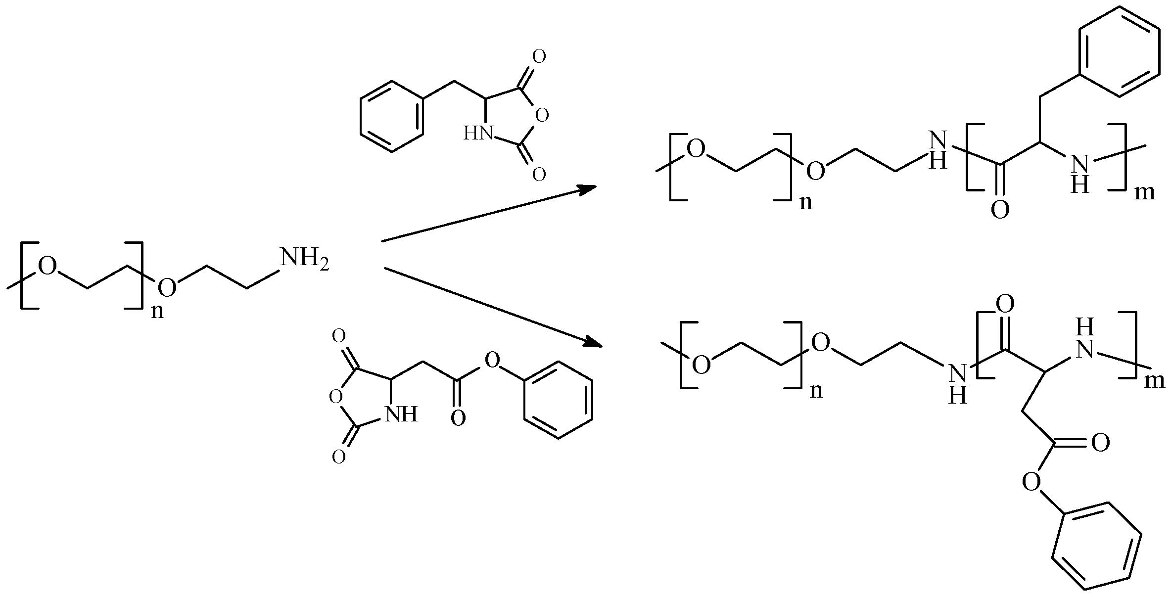
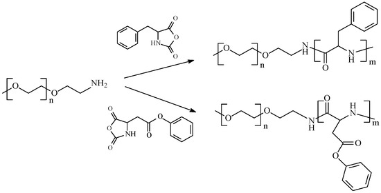
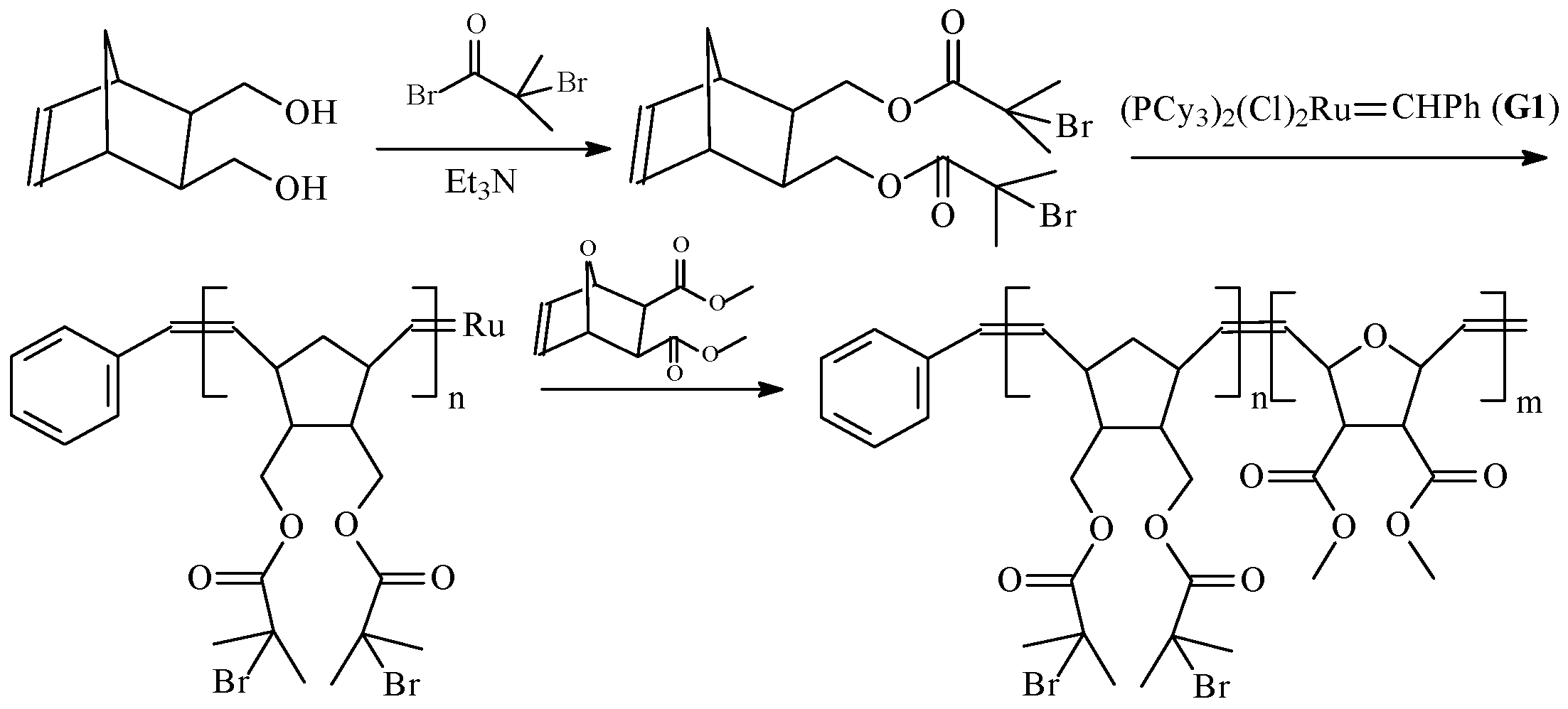
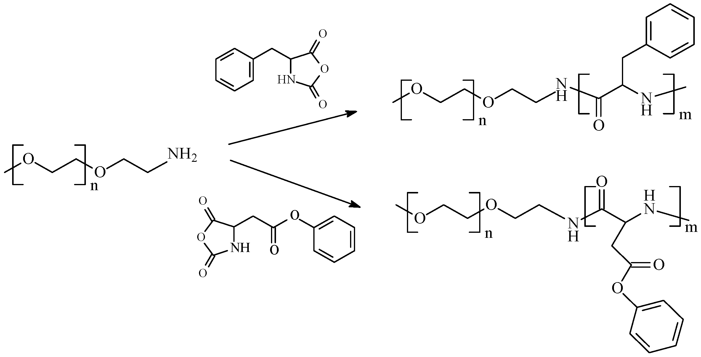
4.5. Various Types of Ring-Opening Polymerization
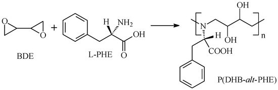
4.6. Living Anionic Polymerization
5. Mechanisms of Particle Formation
6. Novel Types of PISA
- –
- polymerization-induced thermal self-assembly, PITSA;
- –
- polymerization-induced cooperative assembly, PICA;
- –
- polymerization-induced electrostatic self-assembly, PIESA;
- –
- polymerization-induced hierarchical self-assembly, PIHSA;
- –
- polymerization-induced particle/surface self-assembly, PIPA/PISSA.
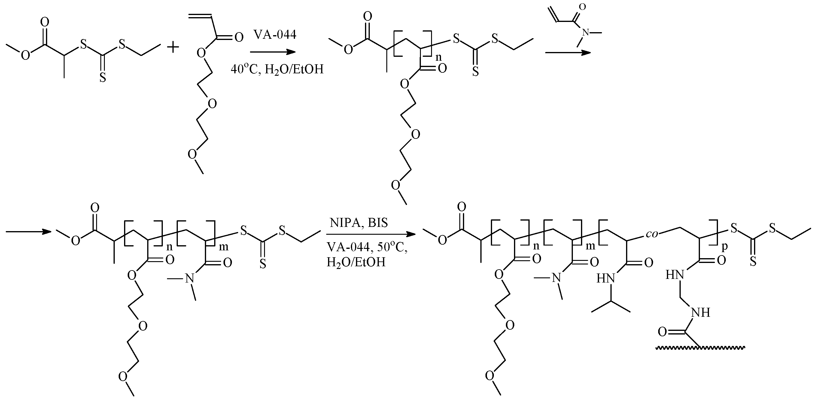
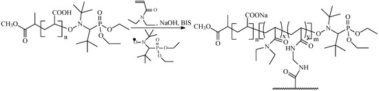
6.1. Polymerization-Induced Thermal Self-Assembly (PITSA)
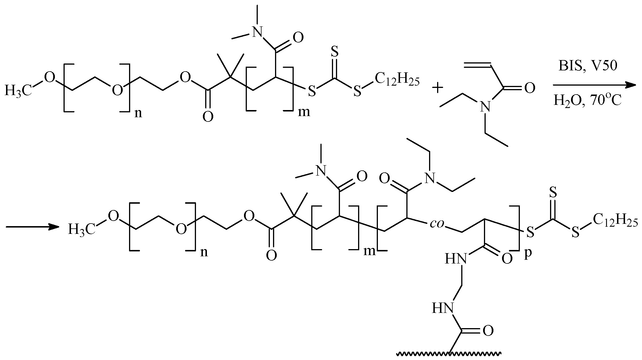
6.2. Polymerization-Induced Cooperative Assembly
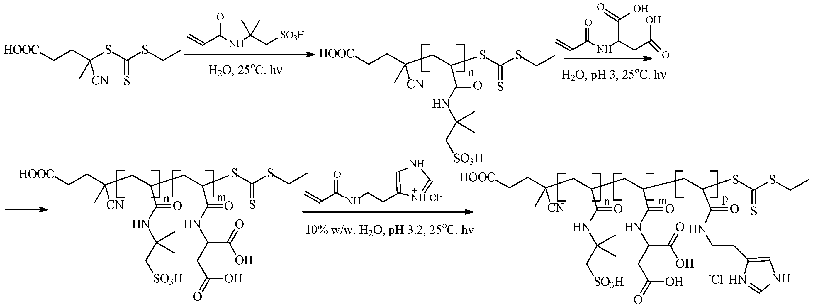
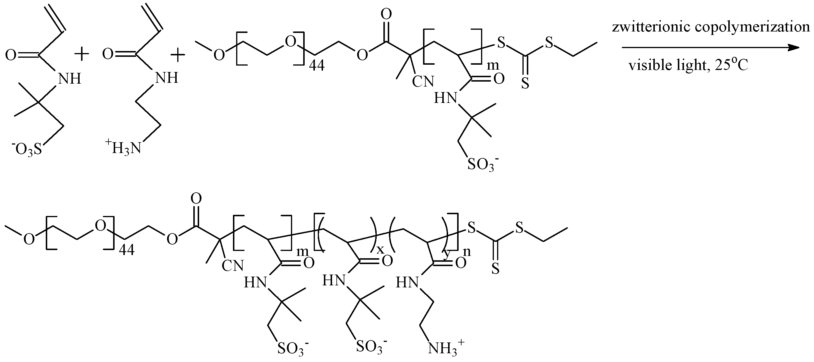
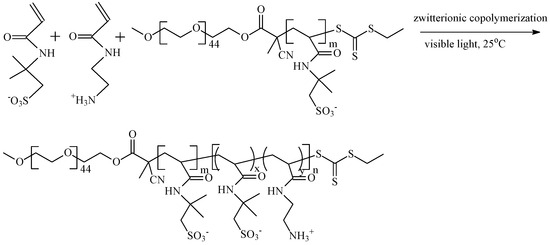
6.3. Polymerization-Induced Electrostatic Self-Assembly
6.4. Polymerization-Induced Hierarchical Self-Assembly
6.5. Polymerization-Induced Particle or Surface Self-Assembly
7. Computer Simulation Studies of PISA
8. Outlook and Perspectives
9. Conclusions
Author Contributions
Funding
Institutional Review Board Statement
Data Availability Statement
Conflicts of Interest
Abbreviations
| 2VP | 2-vinylpyridine |
| 4VP | 4-vinylpyridine |
| AA | acrylic acid |
| AEAM | 2-aminoethylacrylamide hydrochloride |
| AIBN | 2,2′-azobis(isobutyronitrile) |
| AMPS | 2-acrylamido-2-methylpropanesulfonic acid |
| ANa | sodium acrylate |
| APTAC | acrylamidopropyl trimethylammonium chloride |
| AspAm | L-aspartic acid acrylamide |
| ATRP | atom transfer radical polymerization |
| ATR-PISA | atom transfer radical polymerization-induced self-assembly |
| AzoMA | azobenzene-containing methacrylate |
| BA | n-butyl acrylate |
| BDE | 1,3-butadiene diepoxide |
| BIS | N,N’-methylenebisacrylamide |
| BNBE | 2,3-bis(2-bromoisobutyryloxymethyl)-5-norbornene |
| BSA | bovine serum albumin |
| BzMA | benzyl methacrylate |
| CM | colloidal molecule |
| CMC | critical micelle concentration |
| CMRP | cobalt-mediated radical polymerization |
| CysMA | cystamine methacrylamide hydrochloride |
| DAAm | diacetone acrylamide |
| DEA | N,N-diethylacrylamide |
| DEGA | di(ethylene glycol) methyl ether acrylate |
| DEGMA | di(ethylene glycol) methyl ether methacrylate |
| DMA | dimethylacrylamide |
| DMAEMA | 2-(dimethylamino)ethyl methacrylate |
| DMAP | 4-dimethylaminopyridine |
| DMF | dimethylformamide |
| DP | degree of polymerization |
| DPD | dissipative particle dynamics |
| EA | (2-ethylhexyl)acrylate |
| EG | ethylene glycol |
| EGDMA | ethylene glycol dimethacrylate |
| EO | ethylene oxide |
| FBEMA | 2-(perfluorobutyl)ethyl methacrylate |
| FHEMA | 2-(perfluorohexyl)ethyl methacrylate |
| FOEMA | (perfluorooctyl)ethyl methacrylate |
| HFBA | 2,2,3,4,4,4-hexafluorobutyl acrylate |
| HisAM | histamine acrylamide hydrochloride |
| HPMA | 2-hydroxypropyl methacrylate |
| I | isoprene |
| ICAR | initiators for continuous activator regeneration |
| LC | liquid crystal, liquid crystalline |
| LCST | lower critical solution temperature |
| LAP | living anionic polymerization |
| LA-PICA | living anionic polymerization-induced cooperative assembly |
| LA-PISA | living anionic polymerization-induced self-assembly |
| LPHE | L-phenylalanine |
| LVC | large compound vesicles |
| MAA | methacrylic acid |
| MβCD | methylated-β-cyclodextrin |
| MMA | methyl methacrylate |
| M-TEMPO | 4-methoxy-2,2,6,6-tetramethylpiperidine1-oxyl |
| MW | molecular weight |
| MWD | molecular weight distribution |
| NCA | α-amino acid N-carboxyanhydride |
| NCA-PISA | α-amino acid N-carboxyanhydride polymerization-induced self-assembly |
| NIPA | N-isopropylacrylamide |
| NMP | nitroxide-mediated polymerization |
| NM-PISA | nitroxide-mediated polymerization-induced self-assembly |
| NVP | N-vinylpyrrolidone |
| OEGA | oligo(ethylene glycol) methyl ether acrylates |
| OEGMA | oligo(ethylene glycol) methyl ether methacrylate |
| OFPA | 2,2,3,3,4,4,5,5-octafluoropentyl acrylate |
| OMRP | organotellurium-mediated radical polymerization |
| ONBDM | 7-oxanorborn-5-ene-exo-exo-2,3-dicarboxylic acid dimethyl ester |
| P | poly when followed by monomer abbreviation, i.e., PAA is equal to polyacrylic acid |
| PA, PB | degrees of polymerization of blocks A and B |
| PET | photoinduced electron/energy transfer |
| PIC | polyion complexation, polyion complex |
| PICA | polymerization-induced cooperative assembly |
| PICSA | Polymerization-induced chiral self-assembly |
| PIESA | polymerization-induced electrostatic self-assembly |
| PIHSA | polymerization-induced hierarchical self-assembly |
| PITSA | polymerization-induced thermal self-assembly |
| PIPA | polymerization-induced particle-assembly |
| PISSA | polymerization-induced surface self-assembly |
| PISA | Polymerization-induced self-assembly |
| PMDETA | N,N,N′,N″,N″-pentamethyldiethylenetriamine |
| PRIMSA | polymerization-reaction-induced molecular self-assembling |
| RAFT | reversible addition–fragmentation chain transfer |
| RAFT PISA | reversible addition–fragmentation chain transfer polymerization-induced self-assembly |
| RDRP | reversible deactivation of radical polymerization |
| ROMP | ring-opening metathesis polymerization |
| ROM-PISA | ring-opening metathesis polymerization-induced self-assembly |
| ROP | ring-opening polymerizations |
| S | styrene |
| SCNP | single-chain nanoparticle |
| siRNA | short interfering RNA |
| SG1 | N-tert-butyl-N-(1-diethyl phosphono-2,2-dimethylpropyl) nitroxide |
| SSNa | sodium styrene sulfonate |
| tBA | tret-butyl acrylate |
| tBMA | tret-butyl methacrylate |
| TeMe | methyltellanyl |
| TEMPO | (2,2,6,6-tetramethylpiperidin-1-yl)oxyl |
| THF | tetrahydrofuran |
| TMEDA | N,N,N′,N′-tetramethylethylenediamine |
| uPIC | unimolecular polyion complex |
| UCST | upper critical solution temperature |
| V-50 | 2,2′-azobis(2-methylpropionamidine) dihydrochloride azo initiator |
| VEA | N-(4-vinylbenzyl)-N,N-diethylamine) |
| ZnTMPyP | zinc meso-tetra(N-methyl-4-pyridyl) porphyrin tetrachloride |
References
- Reiss, G. Micellization of block copolymers. Prog. Polym. Sci. 2003, 28, 1107–1170. [Google Scholar] [CrossRef]
- Hadjichristidis, N.; Pispas, S.; Floudas, G. Block Copolymers: Synthetic Strategies, Physical Properties, and Applications; John Wiley & Sons: Hoboken, NJ, USA, 2003; 419p. [Google Scholar]
- Matsen, M.W.; Bates, F.S. Block copolymer microstructures in the intermediate-segregation regime. J. Chem. Phys. 1997, 106, 2436–2448. [Google Scholar] [CrossRef]
- Raffa, P.; Wever, D.A.Z.; Picchioni, F.; Broekhuis, A.A. Polymeric surfactants: Synthesis, properties, and links to applications. Chem. Rev. 2015, 115, 8504–8563. [Google Scholar] [CrossRef]
- Forster, S.; Abetz, V.; Muller, A.H.E. Polyelectrolyte block copolymer micelles. Adv. Polym. Sci. 2004, 166, 173–210. [Google Scholar] [CrossRef]
- Karayianni, M.; Pispas, S. Block copolymer solution self-assembly: Recent advances, emerging trends, and applications. J. Polym. Sci. 2021, 59, 1874–1898. [Google Scholar] [CrossRef]
- Kuperkar, K.; Patel, D.; Atanase, L.I.; Bahadur, P. Amphiphilic Block Copolymers: Their Structures, and Self-Assembly to Polymeric Micelles and Polymersomes as Drug Delivery Vehicles. Polymers 2022, 14, 4702. [Google Scholar] [CrossRef]
- Kim, K.H.; Huh, Y.; Song, I.; Ryu, D.Y.; Son, J.G.; Bang, J. Recent advances in block copolymer self-assembly: From the lowest to the highest. J. Polym. Sci. 2023, 62, 679–692. [Google Scholar] [CrossRef]
- Wan, W.M.; Hong, C.Y.; Pan, C.Y. One-pot synthesis of nanomaterials via RAFT polymerization induced self-assembly and morphology transition. Chem. Commun. 2009, 5883–5885. [Google Scholar] [CrossRef]
- Liu, C.; Hong, C.Y.; Pan, C.Y. Polymerization Techniques in Polymerization-Induced Self-Assembly (PISA). Polym. Chem. 2020, 11, 3673–3689. [Google Scholar] [CrossRef]
- Chen, Y.; Tan, J.; Shen, L. Seeded RAFT Polymerization-Induced Self-assembly: Recent Advances and Future Opportunities. Macromol. Rapid Commun. 2023, 44, 2300334. [Google Scholar] [CrossRef]
- Derry, M.J.; Fielding, L.A.; Armes, S.P. Polymerization-induced self-assembly of block copolymer nanoparticles via RAFT non-aqueous dispersion polymerization. Prog. Polym. Sci. 2016, 52, 1–18. [Google Scholar] [CrossRef]
- D’Agosto, F.; Rieger, J.; Lansalot, M. RAFT-Mediated Polymerization-Induced Self-Assembly. Angew. Chem. Int. Ed. 2020, 59, 8368–8392. [Google Scholar] [CrossRef]
- Rieger, J. Guidelines for the Synthesis of Block Copolymer Particles of Various Morphologies by RAFT Dispersion Polymerization. Macromol. Rapid Commun. 2015, 36, 1458–1471. [Google Scholar] [CrossRef]
- Pearce, S.; Perez-Mercader, J. PISA: Construction of self-organized and self-assembled functional vesicular structures. Polym. Chem. 2021, 12, 29–49. [Google Scholar] [CrossRef]
- Khor, S.Y.; Quinn, J.F.; Whittaker, M.R.; Truong, N.P.; Davis, T.P. Controlling Nanomaterial Size and Shape for Biomedical Applications via Polymerization-Induced Self-Assembly. Macromol. Rapid Commun. 2019, 40, e1800438. [Google Scholar] [CrossRef]
- Astafieva, I.; Zhong, X.F.; Eisenberg, A. Critical micellization phenomena in block polyelectrolyte solutions. Macromolecules 1993, 26, 7339–7352. [Google Scholar] [CrossRef]
- Astafieva, I.; Khougaz, K.; Eisenberg, A. Micellization in block polyelectrolyte solutions. 2. Fluorescence study of the critical micelle concentration as a function of soluble block length and salt concentration. Macromolecules 1995, 28, 7127–7134. [Google Scholar] [CrossRef]
- Busse, K.; Kressler, J.; Van Eck, D.; Horing, S. Synthesis of amphiphilic block copolymers based on tert-butyl methacrylate and 2-(N-methylperfluorobutanesulfonamido)ethyl methacrylate and its behavior in water. Macromolecules 2002, 35, 178–184. [Google Scholar] [CrossRef]
- Burkhardt, M.; Martinez-Castro, N.; Tea, S.; Drechsler, M.; Babin, I.; Grishagin, I.; Schweins, R.; Pergushov, D.V.; Gradzielski, M.; Zezin, A.B.; et al. Polyisobutylene-block-poly(methacrylic acid) diblock copolymers: Self-assembly in aqueous media. Langmuir 2007, 23, 12864–12874. [Google Scholar] [CrossRef]
- Colombani, O.; Ruppel, M.; Schubert, F.; Zettl, H.; Pergushov, D.V.; Muller, A.H.E. Synthesis of poly(n-butyl acrylate)-block-poly(acrylic acid) diblock copolymers by ATRP and their micellization in water. Macromolecules 2007, 40, 4338–4350. [Google Scholar] [CrossRef]
- Azeri, O.; Schonfeld, D.; Noirez, L.; Gradzielski, M. Structural control in micelles of alkyl acrylate-acrylate copolymers via alkyl chain length and block length. Colloid Polym. Sci. 2020, 298, 829–840. [Google Scholar] [CrossRef]
- Otulakowski, L.; Dworak, A.; Forys, A.; Gadzinowski, M.; Slomkowski, S.; Basinska, T.; Trzebicka, B. Micellization of Polystyrene-b-Polyglycidol in Dioxane and Water/Dioxane Solutions. Polymers 2020, 12, 200. [Google Scholar] [CrossRef]
- Moffitt, M.; Khougaz, K.; Eisenberg, A. Micellization of ionic block copolymers. Accounts Chem. Res. 1996, 29, 95–102. [Google Scholar] [CrossRef]
- Honda, C.; Hasegawa, Y.; Hirunuma, R.; Nose, T. Micellization kinetics of block copolymers in selective solvent. Macromolecules 1994, 27, 7660–7668. [Google Scholar] [CrossRef]
- Lodge, T.P.; Seitzinger, C.L.; Seeger, S.C.; Yang, S.; Gupta, S.; Dorfman, K.D. Dynamics and Equilibration Mechanisms in Block Copolymer Particles. ACS Polym. Au 2022, 2, 397–416. [Google Scholar] [CrossRef]
- Zhang, L.; Eisenberg, A. Thermodynamic vs. kinetic aspects in the formation and morphological transitions of crew-cut aggregates produced by self-assembly of polystyrene-b-poly(acrylic acid) block copolymers in dilute solution. Macromolecules 1999, 32, 2239–2249. [Google Scholar] [CrossRef]
- Khougaz, K.; Astafieva, I.; Eisenberg, A. Micellization in block polyelectrolyte solutions. 3. Static light scattering characterization. Macromolecules 1995, 28, 7135–7147. [Google Scholar] [CrossRef]
- Prochazka, K.; Kiserow, D.; Ramireddy, C.; Tuzar, Z.; Munk, P.; Webber, S.E. Time-resolved fluorescence studies of the chain dynamics of naphthalene-labeled polystyrene-block-poly(methacrylic acid) micelles in aqueous media. Macromolecules 1992, 25, 454–460. [Google Scholar] [CrossRef]
- Qin, A.; Tian, M.; Ramireddy, C.; Webber, S.E.; Munk, P.; Tuzar, Z. Polystyrene-poly(methacrylic acid) block copolymer micelles. Macromolecules 1994, 27, 120–126. [Google Scholar] [CrossRef]
- Smart, T.; Lomas, H.; Massignani, M.; Flores-Merino, M.V.; Perez, L.R.; Battaglia, G. Block copolymer nanostructures. Nanotoday 2008, 3, 38–46. [Google Scholar] [CrossRef]
- Zhang, L.; Eisenberg, A. Multiple morphologies and characteristics of “crew-cut” micelle-like aggregates of polystyrene-b-poly(acrylic acid) diblock copolymers in aqueous solutions. J. Am. Chem. Soc. 1996, 118, 3168–3181. [Google Scholar] [CrossRef]
- Borisov, O.V.; Zhulina, E.B. Morphology of micelles formed by diblock copolymer with a polyelectrolyte block. Macromolecules 2003, 36, 10029–10036. [Google Scholar] [CrossRef]
- Zhulina, E.B.; Borisov, O.V. Theory of morphological transitions in weakly dissociating diblock polyelectrolyte micelles. Macromolecules 2005, 38, 6726–6741. [Google Scholar] [CrossRef]
- Zhulina, E.B.; Borisov, O.V. Theory of block polymer micelles: Recent advances and current challenges. Macromolecules 2012, 45, 4429–4440. [Google Scholar] [CrossRef]
- Gavrilov, A.A.; Shupanov, R.M.; Chertovich, A.V. Phase Diagram for Ideal Diblock-Copolymer Micelles Compared to Polymerization-Induced Self Assembly. Polymers 2020, 12, 2599. [Google Scholar] [CrossRef]
- Zhang, L.; Eisenberg, A. Morphogenic effect of added ions on crew-cut aggregates of polystyrene-b-poly(acrylic acid) block copolymers in solutions. Macromolecules 1996, 29, 8805–8815. [Google Scholar] [CrossRef]
- Tian, Q.; Fei, C.; Yin, H.; Feng, Y. Stimuli-responsive polymer wormlike micelles. Prog. Polym. Sci. 2019, 89, 108–132. [Google Scholar] [CrossRef]
- Chan, J.; Fox, S.; Kiserow, D.; Ramireddy, C.; Munk, P.; Webber, S.E. Time-resolved fluorescence depolarization studies of naphthalene-labeled diblock copolymer micelles in aqueous media. Macromolecules 1993, 26, 7016–7023. [Google Scholar] [CrossRef]
- Forster, S.; Hermsdorf, N.; Bottcher, C.; Lindner, P. Structure of polyelectrolyte block copolymer micelles. Macromolecules 2002, 35, 4096–4105. [Google Scholar] [CrossRef]
- Nicolai, T.; Colombani, O.; Chassenieux, C. Dynamic polymeric micelles versus frozen nanoparticles formed by block copolymers. Soft Matter 2010, 6, 3111–3118. [Google Scholar] [CrossRef]
- Kriz, J.B.; Masar, B.; Pospisil, H.; Plestil, J.; Tuzar, Z.; Kiselev, M.A. NMR and SANS study of poly(methyl methacrylate)-block-poly(acrylic acid) micelles and their solubilization interactions with organic solubilizates in D2O. Macromolecules 1996, 29, 7853–7858. [Google Scholar] [CrossRef]
- Stepanek, M.; Krijtova, K.; Prochazka, K.; Teng, Y.; Webber, S.E.; Munk, P. Solubilization and release of hydrophobic compounds from block copolymer micelles. Part 1. Partitioning of pyrene between polyelectrolyte micelles and the aqueous phase. Acta Polym. 1998, 49, 96–102. [Google Scholar] [CrossRef]
- Stepanek, M.; Krijtova, K.; Limpouchova, Z.; Prochazka, K.; Teng, Y.; Munk, P.; Webber, S.E. Solubilization and release of hydrophobic compounds from block copolymer micelles. Part 2. Release of pyrene from polyelectrolyte micelles under equilibrium conditions. Acta Polym. 1998, 49, 103–107. [Google Scholar] [CrossRef]
- Vyhnalkova, R.; Eisenberg, A.; Van De Ven, T.G.M. Loading and release mechanisms of a biocide in polystyrene-block-poly (acrylic acid) block copolymer micelles. J. Phys. Chem. B 2008, 112, 8477–8485. [Google Scholar] [CrossRef] [PubMed]
- Vyhnalkova, R.; Eisenberg, A.; Van de Ven, T. Bactericidal block copolymer micelles. Macromol. Biosci. 2011, 11, 639–651. [Google Scholar] [CrossRef] [PubMed]
- Pawar, A.; Kamdi, V.; Alaspure, A.; Gangane, P. Recent Updates on Polymeric Micelles: A Review. Int. J. Pharm. Sci. Rev. Res. 2022, 73, 37–52. [Google Scholar] [CrossRef]
- Zhang, L.; Shen, H.; Eisenberg, A. Phase separation behavior and crew-cut micelle formation of polystyrene-b-poly(acrylic acid) copolymers in solutions. Macromolecules 1997, 30, 1001–1011. [Google Scholar] [CrossRef]
- Lejeune, E.; Drechsler, M.; Jestin, J.; Müller, A.H.E.; Chassenieux, C.; Colombani, O. Amphiphilic diblock copolymers with a moderately hydrophobic block: Toward dynamic micelles. Macromolecules 2010, 43, 2667–2671. [Google Scholar] [CrossRef]
- Dutertre, F.; Boyron, O.; Charleux, B.; Chassenieux, C.; Colombani, O. Transforming frozen self-assemblies of amphiphilic block copolymers into dynamic pH-sensitive micelles. Macromol. Rapid Commun. 2012, 33, 753–759. [Google Scholar] [CrossRef]
- Bendejacq, D.D.; Ponsinet, V.; Joanicot, M. Chemically tuned amphiphilic diblock copolymers dispersed in water: From colloids to soluble macromolecules. Langmuir 2005, 21, 1712–1718. [Google Scholar] [CrossRef]
- Bendejacq, D.D.; Ponsinet, V. Double-polyelectrolyte, like-charged amphiphilic diblock copolymers: Swollen structures and pH- and salt-dependent lyotropic behavior. J. Phys. Chem. B 2008, 112, 7996–8009. [Google Scholar] [CrossRef] [PubMed]
- Sheng, Y.J.; Wang, T.Y.; Chen, W.M.; Tsao, H.K. A-B diblock copolymer micelles: Effects of soluble-block length and component compatibility. J. Phys. Chem. B 2007, 111, 10938–10945. [Google Scholar] [CrossRef] [PubMed]
- Colombani, O.; Lejeune, E.; Charbonneau, C.; Chassenieux, C.; Nicolai, T. Ionization of amphiphilic acidic block copolymers. J. Phys. Chem. B 2012, 116, 7560–7565. [Google Scholar] [CrossRef] [PubMed]
- Lauber, L.; Chassenieux, C.; Nicolai, T.; Colombani, O. Highlighting the role of the random associating block in the self-assembly of amphiphilic block-random copolymers. Macromolecules 2015, 48, 7613–7619. [Google Scholar] [CrossRef]
- Uhlík, F.; Jelínek, K.; Limpouchová, Z.; Procházka, K. Stimuli-responsive amphiphilic shells of kinetically frozen polymeric micelles in aqueous media: Monte Carlo simulations and comparison to self-consistent field calculations. Macromolecules 2008, 41, 3711–3719. [Google Scholar] [CrossRef]
- Lysenko, E.A.; Kulebyakina, A.I.; Chelushkin, P.S.; Rumyantsev, A.M.; Kramarenko, E.Y.; Zezin, A.B. Polymer micelles with hydrophobic core and ionic amphiphilic corona. 1. Statistical distribution of charged and nonpolar blocks in corona. Langmuir 2012, 28, 17108–17117. [Google Scholar] [CrossRef] [PubMed]
- Bhatia, S.R.; Mourchid, A. Gelation of micellar block polyelectrolytes: Evidence of glassy behavior in an attractive system. Langmuir 2002, 18, 6469–6472. [Google Scholar] [CrossRef]
- Crichton, M.A.; Bhatia, S.R. Small-angle neutron scattering of poly(styrene)/poly(acrylic acid–ethyl acrylate) copolymers: The effect of the degree of hydrolysis of the poly(acrylic acid–ethyl acrylate) block. J. Appl. Polym. Sci. 2004, 93, 490–497. [Google Scholar] [CrossRef]
- Crichton, M.A.; Bhatia, S.R. Large-scale structure in gels of attractive block copolymer micelles. Langmuir 2005, 21, 10028–10031. [Google Scholar] [CrossRef]
- Bener, S.; Puglisi, A.; Yagci, Y. pH-Responsive Micelle-Forming Amphiphilic Triblock Copolymer. Macromol. Chem. Phys. 2020, 221, 2000109. [Google Scholar] [CrossRef]
- Du, J.; O’Reilly, R.K. Anisotropic particles with patchy, multicompartment and Janus architectures: Preparation and application. Chem. Soc. Rev. 2011, 40, 2402–2416. [Google Scholar] [CrossRef] [PubMed]
- Vrbata, D.; Kereiche, S.; Kalíkova, K.; Uchman, M. Stimuli-responsive multifunctional micelles of ABC vs. ACB triblock terpolymers using reversible covalent bonding of phenylboronic acid: Controlled synthesis, self-assembly and model drug release. J. Mol. Liq. 2021, 335, 116528. [Google Scholar] [CrossRef]
- Konishcheva, E.; Daubian, D.; Gaitzsch, J.; Meier, W. Synthesis of Linear ABC Triblock Copolymers and Their Self-Assembly in Solution. Helvetica 2018, 101, e1700287. [Google Scholar] [CrossRef]
- Moughton, A.O.; Hillmyer, M.A.; Lodge, T.P. Multicompartment block polymer micelles. Macromolecules 2012, 45, 2–19. [Google Scholar] [CrossRef]
- Krız, J.; Masar, B.; Plestil, J.; Tuzar, Z.; Pospısil, H.; Doskocilova, D. Three-layer micelles of an ABC block copolymer: NMR, SANS, and LS study of a poly(2-ethylhexyl acrylate)-block-poly(methyl methacrylate)-block-poly(acrylic acid) copolymer in D2O. Macromolecules 1998, 31, 41–51. [Google Scholar] [CrossRef]
- Gohy, J.F.; Willet, N.; Varshney, S.; Zhang, J.X.; Jerome, R. Core-shell-corona micelles with a responsive shell. Angew. Chem. Int. Ed. 2001, 40, 3214–3216. [Google Scholar] [CrossRef]
- Kubowicz, S.; Baussard, J.F.; Lutz, J.F.; Thünemann, A.F.; Berlepsch, H.; Laschewsky, A. Multicompartment micelles formed by self-assembly of linear ABC triblock copolymers in aqueous medium. Angew. Chem. Int. Ed. 2005, 44, 5262–5265. [Google Scholar] [CrossRef] [PubMed]
- Lodge, T.P.; Rasdal, A.; Li, Z.; Hillmyer, M.A. Simultaneous, segregated storage of two agents in a multicompartment micelle. J. Am. Chem. Soc. 2005, 127, 17608–17609. [Google Scholar] [CrossRef] [PubMed]
- Lutz, J.F.; Laschewsky, A. Multicompartment micelles: Has the long-standing dream become a reality? Macromol. Chem. Phys. 2005, 206, 813–817. [Google Scholar] [CrossRef]
- Fustin, C.A.; Abetz, V.; Gohy, J.F. Triblock terpolymer micelles: A personal outlook. Eur. Phys. J. E 2005, 16, 291–302. [Google Scholar] [CrossRef]
- Poggi, E.; Guerlain, C.; Debuigne, A.; Detrembleur, C.; Gigmes, D.; Hoeppener, S.; Schubert, U.S.; Fustin, C.A.; Gohy, J.F. Stimuli-responsive behavior of micelles prepared from a poly(vinyl alcohol)-block-poly(acrylic acid)-block-poly(4-vinylpyridine) triblock terpolymer. Eur. Polym. J. 2015, 62, 418–425. [Google Scholar] [CrossRef]
- Pugsley, C.E.; Isaac, R.E.; Warren, N.J.; Cayre, O.J. Linear ABC amphiphilic triblock copolymers for complexation and protection of dsRNA. Polym. Chem. 2022, 13, 5707–5717. [Google Scholar] [CrossRef]
- Wyman, I.W.; Liu, G. Micellar structures of linear triblock terpolymers: Three blocks but many possibilities. Polymer 2013, 54, 1950–1978. [Google Scholar] [CrossRef]
- Groschel, A.H.; Muller, A.H.E. Self-assembly concepts for multicompartment nanostructures. Nanoscale 2015, 7, 11841–11876. [Google Scholar] [CrossRef] [PubMed]
- Giebeler, E.; Stadler, R. ABC triblock polyampholytes containing a neutral hydrophobic block, a polyacid and a polybase. Macromol. Chem. Phys. 1997, 198, 3815–3825. [Google Scholar] [CrossRef]
- Sfika, V.; Tsitsilianis, C.; Kiriy, A.; Gorodyska, G.; Stamm, M. pH-Responsive heteroarm starlike micelles from double hydrophilic ABC terpolymer with ampholitic A and C blocks. Macromolecules 2004, 37, 9551–9560. [Google Scholar] [CrossRef]
- Schacher, F.; Walther, A.; Muller, A.H.E. Dynamic multicompartment-core micelles in aqueous media. Langmuir 2009, 25, 10962–10969. [Google Scholar] [CrossRef] [PubMed]
- Liu, F.; Eisenberg, A. Preparation and pH triggered inversion of vesicles from poly(acrylic acid)-block-polystyrene-block-poly(4-vinyl pyridine). J. Am. Chem. Soc. 2003, 125, 15059–15064. [Google Scholar] [CrossRef] [PubMed]
- Huo, F.; Gao, C.; Dan, M.; Xiao, X.; Su, Y.; Zhang, W. Seeded dispersion RAFT polymerization and synthesis of well-defined ABA triblock copolymer flower-like nanoparticles. Polym. Chem. 2014, 5, 2736–2746. [Google Scholar] [CrossRef]
- Huo, F.; Li, S.; He, X.; Shah, S.A.; Li, Q.; Zhang, W. Disassembly of Block Copolymer Vesicles into Nanospheres through Vesicle Mediated RAFT Polymerization. Macromolecules 2014, 47, 8262–8269. [Google Scholar] [CrossRef]
- Ren, K.; Perez-Mercader, J. Light-induced evolution of microaggregates: Transformation to vesicles, cyclic growth and collapse and vesicle fusion. Polym. Chem. 2018, 9, 3594–3599. [Google Scholar] [CrossRef]
- Parkinson, S.; Hondow, N.S.; Conteh, J.S.; Bourne, R.A.; Warren, N.J. All-aqueous continuous-flow RAFT dispersion polymerisation for efficient preparation of diblock copolymer spheres, worms and vesicles. React. Chem. Eng. 2019, 4, 852–861. [Google Scholar] [CrossRef]
- Fielding, L.A.; Derry, M.J.; Ladmiral, V.; Rosselgong, J.; Rodrigues, A.M.; Ratcliffe, L.P.D.; Sugihara, S.; Armes, S.P. RAFT dispersion polymerization in non-polar solvents: Facile production of block copolymer spheres, worms and vesicles in n-alkanes. Chem. Sci. 2013, 4, 2081–2087. [Google Scholar] [CrossRef]
- Docherty, P.J.; Girou, C.; Derry, M.J.; Armes, S.P. Epoxy-functional diblock copolymer spheres, worms and vesicles via polymerization-induced self-assembly in mineral oil. Polym. Chem. 2020, 11, 3332–3339. [Google Scholar] [CrossRef]
- Kim, J.; Jeong, S.Y.; Kim, K.U.; Ahn, Y.H.; Quirk, R.P. Anionic dispersion polymerization. I. Control of particle size. J. Polym. Sci. Polym. Chem. 1996, 34, 3277–3288. [Google Scholar] [CrossRef]
- Awan, M.A.; Dimonie, V.L.; El-Aasser, M.S. Anionic dispersion polymerization. II. Mechanism of particle formation. J. Polym. Sci. Polym. Chem. 1996, 34, 2651–2664. [Google Scholar] [CrossRef]
- Okay, O.; Funke, W. Anionic dispersion polymerization of 1,4-divinylbenzene. Macromolecules 1990, 23, 2623–2628. [Google Scholar] [CrossRef]
- Yamauchi, K.; Hasegawa, H.; Hashimoto, T.; Tanaka, H.; Motokawa, R.; Koizumi, S. Direct Observation of Polymerization-Reaction-Induced Molecular Self-Assembling Process: In-Situ and Real-Time SANS Measurements during Living Anionic Polymerization of Polyisoprene-block-polystyrene. Macromolecules 2006, 39, 4531–4539. [Google Scholar] [CrossRef]
- Cunningham, M.F. Controlled/living radical polymerization in aqueous dispersed systems. Prog. Polym. Sci. 2008, 33, 365–398. [Google Scholar] [CrossRef]
- Save, M.; Guillaneuf, Y.; Gilbert, R.G. Controlled radical polymerization in aqueous dispersed media. Aust. J. Chem. 2006, 59, 693–711. [Google Scholar] [CrossRef]
- Qiu, J.; Charleux, B.; Matyjaszewski, K. Controlled/living radical polymerization in aqueous media: Homogeneous and heterogeneous systems. Prog. Polym. Sci. 2001, 26, 2083–2134. [Google Scholar] [CrossRef][Green Version]
- Rigo, E.; Ladmiral, V.; Caillol, S.; Lacroix-Desmazes, P. Recent advances in radical polymerization of biobased monomers in aqueous dispersed media. RSC Sustain. 2023, 1, 788–813. [Google Scholar] [CrossRef]
- Zhang, H. Controlled/“living” radical precipitation polymerization: A versatile polymerization technique for advanced functional polymers. Eur. Polym. J. 2013, 49, 579–600. [Google Scholar] [CrossRef]
- McLearya, J.B.; Klumperman, B. RAFT mediated polymerisation in heterogeneous media. Soft Matter 2006, 2, 45–53. [Google Scholar] [CrossRef]
- Keoshkerian, B.; MacLeod, P.J.; Georges, M.K. Block copolymer synthesis by a miniemulsion stable free radical polymerization process. Macromolecules 2001, 34, 3594–3599. [Google Scholar] [CrossRef]
- Jin, X.; Kang, H.; Liu, R.; Huang, Y. Controlled radical emulsion polymerization of polystyrene. Colloid Polym. Sci. 2013, 291, 2481–2485. [Google Scholar] [CrossRef]
- Jung, K.; Xu, J.; Zetterlund, P.B.; Boyer, C. Visible-Light-Regulated Controlled/Living Radical Polymerization in Miniemulsion. ACS Macro Lett. 2015, 4, 1139–1143. [Google Scholar] [CrossRef] [PubMed]
- Zetterlund, P.B.; Kagawa, Y.; Okubo, M. Controlled/Living Radical Polymerization in Dispersed Systems. Chem. Rev. 2008, 108, 3747–3794. [Google Scholar] [CrossRef]
- Gurnani, P.; Perrier, S. Controlled radical polymerization in dispersed systems for biological applications. Prog. Polym. Sci. 2020, 102, 101209–101230. [Google Scholar] [CrossRef]
- Cockram, A.A.; Neal, T.J.; Derry, M.J.; Mykhaylyk, O.O.; Williams, N.S.J.; Murray, M.W.; Emmett, S.N.; Armes, S.P. Effect of Monomer Solubility on the Evolution of Copolymer Morphology during Polymerization-Induced Self-Assembly in Aqueous Solution. Macromolecules 2017, 50, 796–802. [Google Scholar] [CrossRef]
- Hadjichristidis, N.; Iatrou, H.; Pitsikalis, M.; Mays, J. Macromolecular architectures by living and controlled/living polymerizations. Prog. Polym. Sci. 2006, 31, 1068–1132. [Google Scholar] [CrossRef]
- Muller, A.H.E.; Matyjaszewski, K. (Eds.) Controlled and Living Polymerizations: From Mechanisms to Applicatons; WILEY-VCH Verlag: Weinheim, Germany, 2009. [Google Scholar] [CrossRef]
- Asua, J. Emulsion polymerization: From fundamental mechanisms to process developments. J. Polym. Sci. Part A Polym. 2004, 42, 1025–1041. [Google Scholar] [CrossRef]
- López de Arbina, L.; Barandiaran, M.J.; Gugliotta, L.M.; Asua, J.M. Emulsion polymerization: Particle growth kinetics. Polymer 1996, 37, 5907–5916. [Google Scholar] [CrossRef]
- Bon, S.A.F.; Bosveld, M.; Klumperman, B.; German, A.L. Controlled Radical Polymerization in Emulsion. Macromolecules 1997, 30, 324–326. [Google Scholar] [CrossRef]
- Prescott, S.W.; Ballard, M.J.; Rizzardo, E.; Gilbert, R.G. RAFT in Emulsion Polymerization: What Makes it Different? Aust. J. Chem. 2002, 55, 415–424. [Google Scholar] [CrossRef]
- Prescott, S.W.; Ballard, M.J.; Rizzardo, E.; Gilbert, R.G. Successful Use of RAFT Techniques in Seeded Emulsion Polymerization of Styrene: Living Character, RAFT Agent Transport, and Rate of Polymerization. Macromolecules 2002, 35, 5417–5425. [Google Scholar] [CrossRef]
- Prescott, S.W.; Ballard, M.J.; Rizzardo, E.; Gilbert, R.G. Rate Optimization in Controlled Radical Emulsion Polymerization Using RAFT. Macromol. Theory Simul. 2006, 15, 70–86. [Google Scholar] [CrossRef]
- Prescott, S.W.; Ballard, M.J.; Rizzardo, E.; Gilbert, R.G. Radical Loss in RAFT-Mediated Emulsion Polymerizations. Macromolecules 2005, 38, 4901–4912. [Google Scholar] [CrossRef]
- Ferguson, C.J.; Hughes, R.J.; Pham, B.T.T.; Hawkett, B.S.; Gilbert, R.G.; Serelis, A.K.; Such, C.H. Effective ab initio emulsion polymerization under RAFT control. Macromolecules 2002, 35, 9243–9245. [Google Scholar] [CrossRef]
- Rieger, J.; Osterwinter, G.; Bui, C.; Stoffelbach, F.; Charleux, B. Surfactant-Free Controlled/Living Radical Emulsion (Co)polymerization of n-Butyl Acrylate and Methyl Methacrylate via RAFT Using Amphiphilic Poly(ethylene oxide)-Based Trithiocarbonate Chain Transfer Agents. Macromolecules 2009, 42, 5518–5525. [Google Scholar] [CrossRef]
- Rieger, J.; Zhang, W.; Stoffelbach, F.; Charleux, B. Surfactant-Free RAFT Emulsion Polymerization Using Poly(N,N-dimethylacrylamide) Trithiocarbonatents. Macromolecules 2010, 43, 6302–6310. [Google Scholar] [CrossRef]
- Jennings, J.; He, G.; Howdle, S.M.; Zetterlund, P.B. Block copolymer synthesis by controlled/living radical polymerisation in heterogeneous systems. Chem. Soc. Rev. 2016, 45, 5055–5084. [Google Scholar] [CrossRef]
- Wang, H.; Zhou, H.; Chen, Y.; Zhang, C. Synthesis of fluorinated gradient copolymers by RAFT emulsifier-free emulsion polymerization and their compatibilization in copolymer blends. Colloid Polym. Sci. 2014, 292, 2803–2809. [Google Scholar] [CrossRef]
- Chen, Y.; Luo, W.; Wang, Y.; Sun, C.; Han, M.; Zhang, C. Synthesis and self-assembly of amphiphilic gradient copolymer via RAFT emulsifier-free emulsion polymerization. J. Colloid Inter. Sci. 2012, 369, 46–51. [Google Scholar] [CrossRef]
- Sun, X.; Luo, Y.; Wang, R.; Li, B.G.; Zhu, S. Semibatch RAFT Polymerization for Producing ST/BA Copolymers with Controlled Gradient Composition Profiles. AIChE J. 2008, 54, 1073–1087. [Google Scholar] [CrossRef]
- Warren, N.J.; Armes, S.P. Polymerization-Induced Self-Assembly of Block Copolymer Nano-objects via RAFT Aqueous Dispersion Polymerization. J. Am. Chem. Soc. 2014, 134, 10174–10185. [Google Scholar] [CrossRef]
- Sugihara, S.; Blanazs, A.; Armes, S.P.; Ryan, A.J.; Lewis, A.L. Aqueous Dispersion Polymerization: A New Paradigm for in Situ Block Copolymer Self-Assembly in Concentrated Solution. J. Am. Chem. Soc. 2011, 133, 15707–15713. [Google Scholar] [CrossRef]
- An, Z.; Shi, Q.; Tang, W.; Tsung, C.K.; Hawker, C.J.; Stucky, G.D. Facile RAFT precipitation polymerization for the microwave-assisted synthesis of well-defined, double hydrophilic block copolymers and nanostructured hydrogels. J. Am. Chem. Soc. 2007, 129, 14493–14499. [Google Scholar] [CrossRef]
- Jennings, J.; Beija, M.; Kennon, J.T.; Willcock, H.; O’Reilly, R.K.; Rimmer, S.; Howdle, S.M. Advantages of block copolymer synthesis by RAFT-controlled dispersion polymerization in supercritical carbon dioxide. Macromolecules. 2013, 46, 6843–6851. [Google Scholar] [CrossRef]
- Delaittre, G.; Nicolas, J.; Lefay, C.; Save, M.; Charleux, B. Surfactant-free synthesis of amphiphilic diblock copolymer nanoparticles via nitroxide-mediated emulsion polymerization. Chem. Commun. 2005, 614–616. [Google Scholar] [CrossRef]
- Manguian, M.; Save, M.; Charleux, B. Batch emulsion polymerization of styrene stabilized by a hydrophilic macro-RAFT agent. Macromol. Rapid Commun. 2006, 27, 399–404. [Google Scholar] [CrossRef]
- Delaittre, G.; Dire, C.; Rieger, J.; Putaux, J.L.; Charleux, B. Formation of polymer vesicles by simultaneous chain growth and self-assembly of amphiphilic block copolymers. Chem. Commun. 2009, 2887–2889. [Google Scholar] [CrossRef]
- Mai, Y.; Eisenberg, A. Self-assembly of block copolymers. Chem. Soc. Rev. 2012, 41, 5969–5985. [Google Scholar] [CrossRef]
- Wang, X.; An, Z. New Insights into RAFT Dispersion Polymerization-Induced Self-Assembly: From Monomer Library, Morphological Control, and Stability to Driving Forces. Macromol. Rapid Commun. 2018, 40, 1800325–1800338. [Google Scholar] [CrossRef]
- Truong, N.P.; Quinn, J.F.; Dussert, M.V.; Sousa, N.B.T.; Whittaker, M.R.; Davis, T.P. Reproducible Access to Tunable Morphologies via the Self-Assembly of an Amphiphilic Diblock Copolymer in Water. ACS Macro Lett. 2015, 4, 381–386. [Google Scholar] [CrossRef]
- Charleux, B.; Delaittre, G.; Rieger, J.; D’Agosto, F. Polymerization-Induced Self-Assembly: From Soluble Macromolecules to Block Copolymer Nano-Objects in One Step. Macromolecules 2012, 45, 6753–6765. [Google Scholar] [CrossRef]
- Chaduc, I.; Girod, M.; Antoine, R.; Charleux, B.; D’Agosto, F.; Lansalot, M. Batch Emulsion Polymerization Mediated by Poly(methacrylic acid) MacroRAFT Agents: One-Pot Synthesis of Self-Stabilized Particles. Macromolecules 2012, 45, 5881–5893. [Google Scholar] [CrossRef]
- Zhang, X.; Boisse, S.; Zhang, W.; Beaunier, P.; D’Agosto, F.; Rieger, J.; Charleux, B. Well-Defined Amphiphilic Block Copolymers and Nano-objects Formed in Situ via RAFT-Mediated Aqueous Emulsion Polymerization. Macromolecules 2011, 44, 4149–4158. [Google Scholar] [CrossRef]
- Qu, Y.; Huo, F.; Li, Q.; He, X.; Li, S.; Zhang, W. In situ synthesis of thermo-responsive ABC triblock terpolymer nano-objects by seeded RAFT polymerization. Polym. Chem. 2014, 5, 5569–5577. [Google Scholar] [CrossRef]
- Li, S.; Nie, H.; Gu, S.; Han, Z.; Han, G.; Zhang, W. Synthesis of Multicompartment Nanoparticles of ABC Miktoarm Star Polymers by Seeded RAFT Dispersion Polymerization. ACS Macro Lett. 2019, 8, 783–788. [Google Scholar] [CrossRef]
- Clothier, G.K.K.; Guimarães, T.R.; Strover, L.T.; Zetterlund, P.B.; Moad, G. Electrochemically-Initiated RAFT Synthesis of Low Dispersity Multiblock Copolymers by Seeded Emulsion Polymerization. ACS Macro Lett. 2023, 12, 331–337. [Google Scholar] [CrossRef] [PubMed]
- Blackman, L.D.; Doncom, K.E.B.; Gibson, M.I.; O’Reilly, R.K. Comparison of photo- and thermally initiated polymerization-induced self-assembly: A lack of end group fidelity drives the formation of higher order morphologies. Polym. Chem. 2017, 8, 2860–2871. [Google Scholar] [CrossRef]
- Sobotta, F.H.; Kuchenbrod, M.; Hoeppener, S.; Brendel, J.C. One polymer composition, various morphologies: The decisive influence of conditions on the polymerization-induced self-assembly (PISA) of N-acryloyl thiomorpholine. Nanoscale 2020, 12, 20171–20176. [Google Scholar] [CrossRef]
- Dan, M.; Huo, F.; Xiao, X.; Su, Y.; Zhang, W. Temperature-Sensitive Nanoparticle-to-Vesicle Transition of ABC Triblock Copolymer Corona–Shell–Core Nanoparticles Synthesized by Seeded Dispersion RAFT Polymerization. Macromolecules 2014, 47, 1360–1370. [Google Scholar] [CrossRef]
- Ogura, Y.; Artar, M.; Palmans, A.R.A.; Sawamoto, M.; Meijer, E.W.; Terashima, T. Self-assembly of hydrogen-bonding gradient copolymers: Sequence control via tandem living radical polymerization with transesterification. Macromolecules 2017, 50, 3215–3223. [Google Scholar] [CrossRef]
- Coldstream, J.G.; Camp, P.J.; Phillips, D.J.; Dowding, P.J. Gradient copolymers versus block copolymers: Self-assembly in solution and surface adsorption. Soft Matter 2022, 18, 6538–6549. [Google Scholar] [CrossRef] [PubMed]
- Bloksma, M.M.; Hoeppener, S.; D’Haese, C.; Kempe, K.; Mansfeld, U.; Paulus, R.M.; Gohy, J.F.; Schubert, U.S.; Hoogenboom, R. Self-assembly of chiral block and gradient copolymers. Soft Matter 2012, 8, 165–172. [Google Scholar] [CrossRef]
- Merlet-Lacroix, N.D.; Di Cola, E.; Cloitre, M. Swelling and Rheology of Thermoresponsive Gradient Copolymer Micelles. Soft Matter 2010, 6, 984–993. [Google Scholar] [CrossRef]
- Kravchenko, V.S.; Abetz, V.; Potemkin, I.I. Self-assembly of gradient copolymers in a selective solvent. New structures and comparison with diblock and statistical copolymers. Polymer 2021, 235, 124288. [Google Scholar] [CrossRef]
- Hoogenboom, R.; Lambermont-Thijs, H.M.L.; Jochems, M.J.H.C.; Hoeppener, S.; Guerlain, C.; Fustin, C.A.; Gohy, J.F.; Ulrich, S.S. A schizophrenic gradient copolymer: Switching and reversing poly(2-oxazoline) micelles based on UCST and subtle solvent changes. Soft Matter 2009, 5, 3590–3592. [Google Scholar] [CrossRef]
- Yañez-Macias, R.; Kulai, I.; Ulbrich, J.; Yildirim, T.; Sungur, P.; Hoeppener, S.; Guerrero-Santos, R.; Schubert, U.S.; Destarac, M.; Guerrero-Sanchez, C.; et al. Thermosensitive spontaneous gradient copolymers with block- and gradient-like features. Polym. Chem. 2017, 8, 5023–5032. [Google Scholar] [CrossRef]
- Guo, X.; Zhang, T.; Wu, Y.; Shi, W.; Choi, B.; Feng, A.; Thang, S.H. Synthesis of CO2-responsive gradient copolymers by switchable RAFT polymerization and their controlled self-assembly. Polym. Chem. 2020, 11, 6794–6802. [Google Scholar] [CrossRef]
- Zheng, C. Gradient copolymer micelles: An introduction to structures as well as structural transitions. Soft Matter 2019, 15, 5357–5370. [Google Scholar] [CrossRef] [PubMed]
- Kuldová, J.; Košovan, P.; Limpouchová, Z.; Procházka, K. Computer Study of the Association Behavior of Gradient Copolymers: Analysis of Simulation Results Based on a New Algorithm for Recognition and Classification of Aggregates. Macromol. Theory Simul. 2013, 22, 61–70. [Google Scholar] [CrossRef]
- Pandav, G.; Pryamitsyn, V.; Gallow, K.C.; Loo, Y.L.; Genzer, J.; Ganesan, V. Phase behavior of gradient copolymer solutions: A Monte Carlo simulation study. Soft Matter 2012, 8, 6471–6482. [Google Scholar] [CrossRef]
- Saubern, S.; Nguyen, X.; Nguyen, V.; Gardiner, J.; Tsanaktsidis, J.; Chiefari, J. Preparation of Forced Gradient Copolymers Using Tube-in-Tube Continuous Flow Reactors. Macromol. React. Eng. 2017, 11, 1600065–1600070. [Google Scholar] [CrossRef]
- Borisova, O.; Billon, L.; Zaremski, M.; Grassl, B.; Bakaeva, Z.; Lapp, A.; Stepanek, P.; Borisov, O. Synthesis and pH- and salinity-controlled self-assembly of novel amphiphilic block-gradient copolymers of styrene and acrylic acid. Soft Matter 2012, 8, 7649–7659. [Google Scholar] [CrossRef]
- Wang, L.; Ding, Y.; Liu, Q.; Zhao, Q.; Dai, X.; Cai, Y. Sequenced-controlled polymerization induced self–assembly. ACS Macro Lett. 2019, 8, 623–628. [Google Scholar] [CrossRef]
- Bowman, J.I.; Eades, C.B.; Vratsanos, M.A.; Gianneschi, C.; Sumerlon, B.S. Ultrafast xanthate-mediated photoiniferter polymerization–induced self–assembly. Angew. Chem. Int. Ed. 2023, 62, e202309951. [Google Scholar] [CrossRef]
- Xu, S.; Zhang, T.; Kuchel, R.P.; Yeow, J.; Boyer, C. Gradient polymerization–induced self–assembly: A one-step approach. Macromol. Rapid Commun. 2020, 41, 190043. [Google Scholar] [CrossRef]
- Xu, S.; Corrigan, N.; Boyer, C. Forced gradient copolymerization: A simplified approach for polymerization–induced self–assembly. Polym. Chem. 2021, 12, 57–68. [Google Scholar] [CrossRef]
- Scheutz, G.M.; Bowman, J.I.; Mondal, S.; Rho, J.Y.; Garrison, J.B.; Korpanty, J.; Gianneschi, N.C.; Sumerlin, B.S. Gradient Copolymer Synthesis through Self-Assembly. ACS Macro Lett. 2023, 12, 454–461. [Google Scholar] [CrossRef]
- Kozhunova, E.Y.; Plutalova, A.V.; Chernikova, E.V. RAFT copolymerization of vinyl acetate and acrylic acid in the selective solvent. Polymers 2022, 14, 555. [Google Scholar] [CrossRef]
- Zaremski, M.Y.; Kozhunova, E.Y.; Abramchuk, S.S.; Glavatskaya, M.E.; Chertovich, A.V. Polymerization-Induced phase separation in gradient copolymers. Mendeleev Commun. 2021, 31, 277–279. [Google Scholar] [CrossRef]
- Huglin, M.B.; Khairou, K.S. Copolymerization of N-vinyl pyrrolidone with styrene and n-butyl acrylate. Eur. Polym. J. 1988, 24, 239–243. [Google Scholar] [CrossRef]
- Zhao, X.; Sun, C.; Xiong, F.; Wang, T.; Li, S.; Huo, F.; Yao, X. Polymerization-Induced Self-Assembly for Efficient Fabrication of Biomedical Nanoplatforms. Research 2023, 6, 0113. [Google Scholar] [CrossRef]
- Chiefari, J.; Chong, Y.K.; Ercole, F.; Krstina, J.; Jeffery, J.; Le, T.P.T.; Mayadunne, R.T.A.; Meijs, G.F.; Moad, C.L.; Moad, G.; et al. Living free-radical polymerization by reversible addition—Fragmentation chain transfer: The RAFT process. Macromolecules 1998, 31, 5559–5562. [Google Scholar] [CrossRef]
- Barner-Kowollik, C.; Buback, M.; Charleux, B.; Coote, M.; Drache, M.; Fukuda, T.; Goto, A.; Klumperman, B.; Lowe, A.; McLeary, J.; et al. Mechanism and kinetics of dithiobenzoate-mediated RAFT polymerization. I. The current situation. J. Polym. Sci. Part A Polym. Chem. 2006, 44, 5809–5831. [Google Scholar] [CrossRef]
- Moad, G.; Mayadunne, R.T.A.; Rizzardo, E.; Skidmore, M.; Thang, S.H. Synthesis of novel architectures by radical polymerization with reversible addition fragmentation chain transfer (RAFT polymerization). In Macromolecular Symposia; WILEY-VCH Verlag: Weinheim, Germany, 2003; Volume 192, pp. 1–12. [Google Scholar] [CrossRef]
- Mayadunne, R.T.A.; Rizzardo, E.; Chiefari, J.; Krstina, J.; Moad, G.; Postma, A.; Thang, S.H. Living Polymers by the Use of Trithiocarbonates as Reversible Addition–Fragmentation Chain Transfer (RAFT) Agents: ABA Triblock Copolymers by Radical Polymerization in Two Steps. Macromolecules 2000, 33, 243–245. [Google Scholar] [CrossRef]
- Moad, C.L.; Moad, G. Fundamentals of reversible addition– fragmentation chain transfer (RAFT). Chem. Teach. Int. 2020, 3, 3–17. [Google Scholar] [CrossRef]
- Hartlieb, M. Photo-Iniferter RAFT Polymerization. Macromol. Rapid Commun. 2021, 43, 2100514. [Google Scholar] [CrossRef]
- Moad, G.; Rizzardo, E.; Thang, S.H. RAFT Polymerization and Some of its Applications. Chem.—Asian J. 2013, 8, 1634–1644. [Google Scholar] [CrossRef] [PubMed]
- Fairbanks, B.D.; Gunatillake, P.A.; Meagher, L. Biomedical applications of polymers derived by reversible addition—Fragmentation chain-transfer (RAFT). Adv. Drug. Deliv. Rev. 2015, 30, 141–152. [Google Scholar] [CrossRef] [PubMed]
- Barner-Kowollik, C. (Ed.) Handbook of RAFT Polymerization; Wiley-VCH: Weinheim, Germany, 2008. [Google Scholar] [CrossRef]
- Nothling, M.D.; Fu, Q.; Reyhani, A.; Allison-Logan, S.; Jung, K.; Zhu, J.; Kamigaito, M.; Boyer, C.; Qiao, G.G. Progress and Perspectives Beyond Traditional RAFT Polymerization. Adv. Sci. 2020, 7, 2001656. [Google Scholar] [CrossRef] [PubMed]
- Semsarilar, M.; Abetz, V. Polymerizations by RAFT: Developments of the Technique and Its Application in the Synthesis of Tailored (Co)polymers. Macromol. Chem. Phys. 2021, 222, 2000311. [Google Scholar] [CrossRef]
- Wan, J.; Fan, B.; Thang, S.H. RAFT-mediated polymerization-induced self-assembly (RAFT-PISA): Current status and future directions. Chem. Sci. 2022, 13, 4192–4224. [Google Scholar] [CrossRef] [PubMed]
- Lowe, A.B. RAFT alcoholic dispersion polymerization with polymerization-induced self-assembly. Polymer 2016, 106, 161–181. [Google Scholar] [CrossRef]
- Gao, C.; Zhou, H.; Qu, Y.; Wang, W.; Khan, H.; Zhang, W. In situ synthesis of block copolymer nanoassemblies via polymerization-induced self-assembly in poly (ethylene glycol). Macromolecules 2016, 49, 3789–3798. [Google Scholar] [CrossRef]
- Canning, S.L.; Smith, G.N.; Armes, S.P. A Critical Appraisal of RAFT-Mediated Polymerization-Induced SelfAssembly. Macromolecules 2016, 49, 1985–2001. [Google Scholar] [CrossRef] [PubMed]
- Darmau, B.; Rymaruk, M.J.; Warren, N.J.; Bening, R.; Armes, S.P. RAFT dispersion polymerization of benzyl methacrylate in non-polar media using hydrogenated polybutadiene as a steric stabilizer block. Polym. Chem. 2020, 11, 7533–7541. [Google Scholar] [CrossRef]
- Armes, S.P.; Perrier, S.; Zetterlund, P.B. Introduction to polymerisation-induced self assembly. Polym. Chem. 2021, 12, 8–11. [Google Scholar] [CrossRef]
- Xu, A.; Lu, Q.; Huo, Z.; Ma, J.; Geng, B.; Azhar, U.; Zhang, L.; Zhang, S. Synthesis of fluorinated nanoparticles via RAFT dispersion polymerization-induced self-assembly using fluorinated macro-RAFT agents in supercritical carbon dioxide. RSC. Adv. 2017, 7, 51612–51620. [Google Scholar] [CrossRef]
- György, C.; Verity, C.; Neal, T.J.; Rymaruk, M.; Cornel, E.J.; Smith, T.; Growney, D.J.; Armes, S.P. RAFT dispersion polymerization of methyl methacrylate in mineral oil: High glass transition temperature of the core-forming block constrains the evolution of copolymer morphology. Macromolecules 2021, 54, 9496–9509. [Google Scholar] [CrossRef]
- Hunter, S.J.; Lovett, J.R.; Mykhaylyk, O.O.; Jones, E.R.; Armes, S.P. Synthesis of diblock copolymer spheres, worms and vesicles via RAFT aqueous emulsion polymerization of hydroxybutyl methacrylate. Polym. Chem. 2021, 12, 3629–3639. [Google Scholar] [CrossRef]
- Beattie, D.L.; Deane, O.J.; Mykhaylyk, O.O.; Armes, S.P. RAFT aqueous dispersion polymerization of 4-hydroxybutyl acrylate: Effect of end-group ionization on the formation and colloidal stability of sterically-stabilized diblock copolymer nanoparticles. Polym. Chem. 2022, 13, 655–667. [Google Scholar] [CrossRef]
- Khor, S.Y.; Truong, N.P.; Quinn, J.F.; Whittaker, M.R.; Davis, T.P. Polymerization-Induced Self-Assembly: The Effect of End Group and Initiator Concentration on Morphology of Nanoparticles Prepared via RAFT Aqueous Emulsion Polymerization. ACS Macro Lett. 2017, 6, 1013–1019. [Google Scholar] [CrossRef] [PubMed]
- Zhang, F.; Niu, Y.; Li, Y.; Yao, Q.; Chen, X.; Zhou, H.; Zhou, M.; Xiao, J. Fabrication and characterization of structurally stable pH-responsive polymeric vesicles by polymerization-induced self-assembly. RSC Adv. 2021, 11, 29042–29051. [Google Scholar] [CrossRef]
- Tumnantong, D.; Rempel, G.L.; Prasassarakich, P. Polyisoprene-Silica Nanoparticles Synthesized via RAFT Emulsifier-Free Emulsion Polymerization Using Water-Soluble Initiators. Polymers 2017, 9, 637. [Google Scholar] [CrossRef]
- Khodabandeh, A.; Arrua, R.D.; Desire, C.T.; Rodemann, T.; Bon, S.A.F.; Thickett, S.C.; Hilder, E.F. Preparation of inverse polymerized high internal phase emulsions using an amphiphilic macro-RAFT agent as sole stabilizer. Polym. Chem. 2016, 7, 1803–1812. [Google Scholar] [CrossRef]
- Guimarães, T.R.; Bong, Y.L.; Thompson, S.W.; Moad, G.; Perrier, S.; Zetterlund, P.B. Polymerization-induced self-assembly via RAFT in emulsion: Effect of Z-group on the nucleation step. Polym. Chem. 2021, 12, 122–133. [Google Scholar] [CrossRef]
- Altarawneh, I.S.; Gomes, V.G.; Srour, M.S. The Influence of Xanthate-Based Transfer Agents on Styrene Emulsion Polymerization: Mathematical Modeling and Model Validation. Macromol. React. Eng. 2008, 2, 58–79. [Google Scholar] [CrossRef]
- Ding, Z.; Gao, C.; Wang, S.; Liu, H.; Zhang, W. Macro-RAFT agent mediated dispersion polymerization: The monomer concentration effect on the morphology of the in situ synthesized block copolymer nano-objects. Polym. Chem. 2015, 6, 8003–8011. [Google Scholar] [CrossRef]
- Göktaş, M.; Öztürk, T.; Nuri, M.A.; Tekeş, A.T.; Hazer, B. One-Step Synthesis of Triblock Copolymers via Simultaneous Reversible-Addition Fragmentation Chain Transfer (RAFT) and Ring-Opening Polymerization Using a Novel Difunctional Macro-RAFT Agent Based on Polyethylene Glycol. J. Macromol. Sci. Part A 2014, 51, 854–863. [Google Scholar] [CrossRef]
- Moad, G. RAFT polymerization to form stimuli-responsive polymers. Polym. Chem. 2017, 8, 177–219. [Google Scholar] [CrossRef]
- Pittaway, P.M.; Ghasemi, G.; Knox, S.T.; Cayre, O.J.; Kapur, N.; Warren, N.J. Continuous synthesis of block copolymer nanoparticles via telescoped RAFT solution and dispersion polymerization in a miniature CSTR cascade. React. Chem. Eng. 2023, 8, 707–717. [Google Scholar] [CrossRef]
- Gao, C.; Li, S.; Li, Q.; Shi, P.; Shah, S.A.; Zhang, W. Dispersion RAFT polymerization: Comparison between the monofunctional and bifunctional macromolecular RAFT agents. Polym. Chem. 2014, 5, 6957–6966. [Google Scholar] [CrossRef]
- Bowes, A.; Mcleary, J.B.; Sanderson, R.D. AB and ABA Type Butyl Acrylate and Styrene Block Copolymers via RAFT-Mediated Miniemulsion Polymerization. J. Polym. Sci. Part A Polym. Chem. 2007, 45, 588–604. [Google Scholar] [CrossRef]
- Keddie, D.J. A guide to the synthesis of block copolymers using reversible-addition fragmentation chain transfer (RAFT) polymerization. Chem. Soc. Rev. 2014, 43, 496–505. [Google Scholar] [CrossRef] [PubMed]
- Chernikova, E.V.; Plutalova, A.V.; Mineeva, K.O.; Nasimova, I.R.; Kozhunova, E.Y.; Bol’shakova, A.V.; Tolkachev, A.V.; Serkhacheva, N.S.; Zaitsev, S.D.; Prokopov, N.I.; et al. Homophase and heterophase polymerizations of butyl acrylate mediated by poly(acrylic acid) as a reversible addition–fragmentation chain-transfer agent. Polym. Sci. Ser. B 2015, 57, 547–559. [Google Scholar] [CrossRef]
- Chernikova, E.V.; Serkhacheva, N.S.; Smirnov, O.I.; Prokopov, N.I.; Plutalova, A.V.; Lysenko, E.A.; Kozhunova, E.Y. Emulsifier-Free Polymerization of n-Butyl Acrylate Involving Trithiocarbonates Based on Oligomer Acrylic Acid. Polym. Sci. Ser. B 2016, 58, 629–639. [Google Scholar] [CrossRef]
- Serkhacheva, N.S.; Smirnov, O.I.; Tolkachev, A.V.; Prokopov, N.I.; Plutalova, A.V.; Chernikova, E.V.; Kozhunova, E.Y.; Khokhlov, A.R. Synthesis of amphiphilic copolymers based on acrylic acid, fluoroalkyl acrylates and n-butyl acrylate in organic, aqueous–organic, and aqueous media via RAFT polymerization. RSC Adv. 2017, 7, 24522–24536. [Google Scholar] [CrossRef]
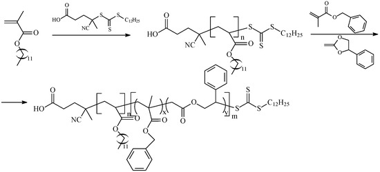
- Serkhacheva, N.S.; Plutalova, A.V.; Kozhunova, E.Y.; Prokopov, N.I.; Chernikova, E.V. Amphiphilic Triblock Copolymers Based on Acrylic Acid and Alkyl Acrylates Synthesized via RAFT Polymerization-Induced Self-Assembly and RAFT Miniemulsion Polymerization. Polym. Sci. Ser. B 2018, 60, 204–217. [Google Scholar] [CrossRef]
- Serkhacheva, N.S.; Chernikova, E.V.; Prokopov, N.I.; Ogai, V.V.; Mineeva, K.O.; Tselousov, D.S.; Plyusnina, I.O. Synthesis of Block Copolymers of Acrylic Acid and N-Butyl Acrylate under Reversible Chain-Transfer Conditions in a Water-Alcohol Medium. Polym. Sci. Ser. B 2020, 62, 499–508. [Google Scholar] [CrossRef]
- Serkhacheva, N.S.; Galyanskaya, K.S.; Prokopov, N.I.; Mineeva, K.O.; Plutalova, A.V.; Chernikova, E.V. Styrene–acrylic acid copolymers as new stabilizers of dispersion RAFT polymerization of butyl acrylate. Mendeleev Commun. 2022, 32, 241–243. [Google Scholar] [CrossRef]
- Serkhacheva, N.S.; Chernikova, E.V.; Balashov, M.S.; Prokopov, N.I.; Toms, R.V. Facile synthesis of temperature-sensitive ABA triblock copolymers by dispersion RAFT polymerization. Mendeleev Commun. 2020, 30, 731–733. [Google Scholar] [CrossRef]
- Serkhacheva, N.S.; Ryzhikov, K.A.; Prokopov, N.I.; Plutalova, A.V.; Bol’shakova, A.V.; Chernikova, E.V. Seeded RAFT Polymerization of Styrene for the Synthesis of Stable Dispersions of Amphiphilic Block Copolymers and Composite Nanoparticles. Polym. Sci. Ser. B 2022, 64, 124–136. [Google Scholar] [CrossRef]
- Cornel, E.J.; Jiang, J.; Chen, S.; Du, J. Principles and Characteristics of Polymerization-Induced Self-Assembly with Various Polymerization Techniques. CCS Chem. 2020, 2, 2104–2125. [Google Scholar] [CrossRef]
- Gu, Q.; Li, H.; Cornel, E.J.; Du, J. New driving forces and recent advances in polymerization-induced self-assembly. Cell Rep. Phys. Sci. 2023, 4, 101495. [Google Scholar] [CrossRef]
- Penfold, N.J.W.; Yeow, J.; Boyer, C.; Armes, S.P. Emerging Trends in Polymerization-Induced Self-Assembly. ACS Macro Lett. 2019, 8, 1029–1054. [Google Scholar] [CrossRef]
- Ikkene, D.; Six, J.L.; Ferji, K. Progress in aqueous dispersion RAFT PISA. Eur. Polym. J. 2023, 188, 111848. [Google Scholar] [CrossRef]
- Le, D.; Keller, D.; Delaittre, G. Reactive and Functional Nanoobject(s) by Polymerization-Induced Self-Assembly. Macromol. Rapid Commun. 2018, 40, 1800551. [Google Scholar] [CrossRef] [PubMed]
- György, C.; Armes, S.P. Recent Advances in Polymerization-Induced Self-Assembly (PISA) Syntheses in Non-Polar Media. Angew. Chem. Int. Ed. 2023, 62, e202308372. [Google Scholar] [CrossRef] [PubMed]
- Tkachenko, V.; Ghimbeu, C.M.; Vaulot, C.; Vidal, L.; Poly, J.; Chemtob, A. RAFT-Photomediated PISA in Dispersion: Mechanism, Optical Properties and Application in Templated Synthesis. Polym. Chem. 2019, 10, 2316–2326. [Google Scholar] [CrossRef]
- Blanazs, A.; Ryan, A.J.; Armes, S.P. Predictive Phase Diagrams for RAFT Aqueous Dispersion Polymerization: Effect of Block Copolymer Composition, Molecular Weight, and Copolymer Concentration. Macromolecules 2012, 45, 5099–5107. [Google Scholar] [CrossRef]
- Byard, S.J.; Williams, M.; Mckenzie, B.; Blanazs, A.; Armes, S.P. Preparation and cross-linking of all-acrylamide diblock copolymer nano-objects via polymerization-induced self-assembly in aqueous solution. Macromolecules 2017, 50, 1482–1493. [Google Scholar] [CrossRef]
- Fielding, L.A.; Lane, J.A.; Derry, M.J.; Mykhaylyk, O.O.; Armes, S.P. Thermo-Responsive Diblock Copolymer Worm Gels in Non-Polar Solvents. J. Am. Chem. Soc. 2014, 136, 5790–5798. [Google Scholar] [CrossRef]
- Man, S.K.; Wang, X.; Zheng, J.W.; An, Z.S. Effect of Butyl α-Hydroxymethyl Acrylate Monomer Structure on the Morphology Produced via Aqueous Emulsion Polymerization-Induced Self-Assembly. Chin. J. Polym. Sci. 2020, 38, 9–16. [Google Scholar] [CrossRef]
- Byard, S.J.; O’Brien, C.T.; Derry, M.J.; Williams, M.; Mykhaylyk, O.O.; Blanazs, A.; Armes, S.P. Unique Aqueous Self-Assembly Behavior of a Thermoresponsive Diblock Copolymer. Chem. Sci. 2020, 11, 396–402. [Google Scholar] [CrossRef]
- Ratcliffe, L.P.D.; Blanazs, A.; Williams, C.N.; Brown, S.L.; Armes, S.P. RAFT Polymerization of Hydroxy-Functional Methacrylic Monomers Under Heterogeneous Conditions: Effect of Varying the Core-Forming Block. Polym. Chem. 2014, 5, 3643–3655. [Google Scholar] [CrossRef]
- Verber, R.; Blanazs, A.; Armes, S.P. Rheological Studies of Thermo-Responsive Diblock Copolymer Worm Gels. Soft Matter 2012, 8, 9915–9922. [Google Scholar] [CrossRef]
- Cunningham, V.J.; Ratcliffe, L.P.D.; Blanazs, A.; Warren, N.J.; Smith, A.J.; Mykhaylyk, O.O.; Armes, S.P. Tuning the Critical Gelation Temperature of Thermo-Responsive Diblock Copolymer Worm Gels. Polym. Chem. 2014, 5, 6307–6317. [Google Scholar] [CrossRef]
- Cornel, E.J.; O’Hora, P.S.; Smith, T.; Growney, D.J.; Mykhaylyk, O.O.; Armes, S.P. SAXS Studies of the Thermally-Induced Fusion of Diblock Copolymer Spheres: Formation of Hybrid Nanoparticles of Intermediate Size and Shape. Chem. Sci. 2020, 11, 4312–4321. [Google Scholar] [CrossRef] [PubMed]
- Lovett, J.R.; Ratcliffe, L.P.D.; Warren, N.J.; Armes, S.P.; Smallridge, M.J.; Cracknell, R.B.; Saunders, B.R. A Robust Cross-Linking Strategy for Block Copolymer Worms Prepared via Polymerization-Induced Self-Assembly. Macromolecules 2016, 49, 2928–2941. [Google Scholar] [CrossRef] [PubMed]
- Cordella, D.; Debuigne, A.; Jérôme, C.; Kochovski, Z.; Taton, D.; Detrembleur, C. One-Pot Synthesis of Double Poly(Ionic Liquid) Block Copolymers by Cobalt-Mediated Radical Polymerization-Induced Self-Assembly (CMR-PISA) in Water. Macromol. Rapid Commun. 2016, 37, 1181–1187. [Google Scholar] [CrossRef]
- Audran, G.; Bagryanskay, E.; Edeleva, M.; Marque, S.R.A.; Yamasaki, T. Dual-initiator alkoxyamines with an N-tert-butylN-(1-diethylphosphono-2,2-dimethylpropyl) nitroxide moiety for preparation of block copolymers. RSC Adv. 2017, 7, 4993–5001. [Google Scholar] [CrossRef]
- Guo, Y.; Zetterlund, P.B. Rate-Enhanced Nitroxide-Mediated Miniemulsion Polymerization. ACS Macro Lett. 2012, 1, 748–752. [Google Scholar] [CrossRef]
- Darabi, A.; Shirin-Abadi, A.R.; Jessop, P.G.; Cunningham, M.F. Nitroxide-Mediated Polymerization of 2-(Diethylamino)ethyl Methacrylate (DEAEMA) in Water. Macromolecules 2015, 48, 72–80. [Google Scholar] [CrossRef]
- Charleux, B.; Nicolas, J. Water-soluble SG1-based alkoxyamines: A breakthrough in controlled/living free-radical polymerization in aqueous dispersed media. Polymer 2007, 48, 5813–5833. [Google Scholar] [CrossRef]
- Delaittre, G.; Nicolas, J.; Lefay, C.; Save, M.; Charleux, B. Aqueous Suspension of Amphiphilic Diblock Copolymer Nanoparticles Prepared In Situ from a Water-Soluble Poly(Sodium Acrylate) Alkoxyamine Macroinitiator. Soft Matter 2006, 2, 223–231. [Google Scholar] [CrossRef]
- Delaittre, G.; Save, M.; Charleux, B. Nitroxide-Mediated Aqueous Dispersion Polymerization: From Water-Soluble Macroalkoxyamine to Thermosensitive Nanogels. Macromol. Rapid Commun. 2007, 28, 1528–1533. [Google Scholar] [CrossRef]
- Groison, E.; Brusseau, S.; D’Agosto, F.; Magnet, S.; Inoubli, R.; Couvreur, L.; Charleux, B. Well-Defined Amphiphilic Block Copolymer Nanoobjects via Nitroxide-Mediated Emulsion Polymerization. ACS Macro Lett. 2012, 1, 47–51. [Google Scholar] [CrossRef] [PubMed]
- Qiao, X.G.; Lansalot, M.; Bourgeat-Lami, E.; Charleux, B. Nitroxide-Mediated Polymerization-Induced Self-Assembly of Poly(Poly(Ethylene Oxide) Methyl Ether Methacrylate-co-Styrene)-b-Poly(n-Butyl Methacrylate-co-Styrene) Amphiphilic Block Copolymers. Macromolecules 2013, 46, 4285–4295. [Google Scholar] [CrossRef]
- Qiao, X.G.; Dugas, P.Y.; Charleux, B.; Lansalot, M.; Bourgeat-Lami, E. Synthesis of Multipod-Like Silica/Polymer Latex Particles via Nitroxide-Mediated Polymerization-Induced Self-Assembly of Amphiphilic Block Copolymers. Macromolecules 2015, 48, 545–556. [Google Scholar] [CrossRef]
- Qiao, X.G.; Lambert, O.; Taveau, J.C.; Dugas, P.Y.; Charleux, B.; Lansalot, M.; Bourgeat-Lami, E. Nitroxide-Mediated Polymerization-Induced Self-Assembly of Block Copolymers at the Surface of Silica Particles: Toward New Hybrid Morphologies. Macromolecules 2017, 50, 3796–3806. [Google Scholar] [CrossRef]
- Yoshida, E. Fabrication of microvillus-like structure by photopolymerization-induced self-assembly of an amphiphilic random block copolymer. Colloid Polym. Sci. 2015, 293, 1841–1845. [Google Scholar] [CrossRef]
- Yoshida, E. Giant vesicles prepared by nitroxide-mediated photo-controlled/living radical polymerization-induced self-assembly. Colloid Polym. Sci. 2013, 291, 2733–2739. [Google Scholar] [CrossRef]
- Yoshida, E. Cross-linking effect of hydrophobic cores on morphology of giant vesicles formed by amphiphilic random block copolymers. Colloid Polym. Sci. 2015, 293, 1275–1280. [Google Scholar] [CrossRef]
- Yoshida, E. Morphology control of giant vesicles by manipulating hydrophobic-hydrophilic balance of amphiphilic random block copolymers through polymerization-induced self-assembly. Colloid Polym. Sci. 2014, 292, 763–769. [Google Scholar] [CrossRef]
- Yoshida, E. Fission of giant vesicles accompanied by hydrophobic chain growth through polymerization-induced self-assembly. Colloid. Polym. Sci. 2014, 292, 1463–1468. [Google Scholar] [CrossRef]
- Yoshida, E. Morphology transformation of micrometre-sized giant vesicles based on physical conditions for photopolymerisation-induced self-assembly. Supramolec. Chem. 2015, 27, 274–280. [Google Scholar] [CrossRef]
- Yoshida, E. Worm-like vesicle formation by photo-controlled/living radical polymerization-induced self-assembly of amphiphilic poly(methacrylic acid)-block-poly(methyl methacrylate-random-methacrylic acid). Colloid Polym. Sci. 2016, 294, 1857–1863. [Google Scholar] [CrossRef]
- Yoshida, E. Preparation of giant vesicles containing quaternary ammonium salt of 2-(dimethylamino)ethyl methacrylate through photo nitroxide-mediated controlled/living radical polymerization-induced self-assembly. J. Polym. Res. 2018, 25, 109–121. [Google Scholar] [CrossRef]
- Yoshida, E. Preparation of giant vesicles supporting hindered amine on their shells through photo living radical polymerization-induced self-assembly. J. Dispers. Sci. Technol. 2020, 41, 763–770. [Google Scholar] [CrossRef]
- Simula, A.; Ruipérez, F.; Ballard, N.; Leiza, J.R.; van Es, S.; Asua, J.M. Why can Dispolreg 007 control the nitroxide mediated polymerization of methacrylates? Polym. Chem. 2019, 10, 106–113. [Google Scholar] [CrossRef]
- Borisova, O.V.; Zaremskii, M.Y.; Golubev, V.B.; Plutalova, A.V.; Borisov, O.V.; Billon, L. Determination of the rate constants of recombination of macroradicals and stable radicals via the competitive-inhibition method. Polym. Sci. Ser. B. 2013, 55, 508–514. [Google Scholar] [CrossRef]
- Matyjaszewski, K. Atom Transfer Radical Polymerization (ATRP): Current Status and Future Perspectives. Macromolecules 2012, 45, 4015–4039. [Google Scholar] [CrossRef]
- Wang, Y.; Nguyen, M.; Gildersleeve, A.J. Macromolecular Engineering by Applying Concurrent Reactions with ATRP. Polymers 2020, 12, 1706. [Google Scholar] [CrossRef]
- Matyjaszewski, K.; Tsarevsky, N. Nanostructured functional materials prepared by atom transfer radical polymerization. Nat. Chem. 2009, 1, 276–288. [Google Scholar] [CrossRef]
- Tsarevsky, N.; Matyjaszewski, K. “Green” Atom Transfer Radical Polymerization: From Process Design to Preparation of Well-Defined Environmentally Friendly Polymeric Materials. Chem. Rev. 2007, 107, 2270–2299. [Google Scholar] [CrossRef]
- Hu, X.; Zhu, N.; Guo, K. Advances in Organocatalyzed Atom Transfer Radical Polymerization. Adv. Polym. Technol. 2019, 2019, 7971683. [Google Scholar] [CrossRef]
- Gonçalves, S.Á.; Rodrigues, P.R.; Vieira, R.P. Metal-Free Organocatalyzed Atom Transfer Radical Polymerization: Synthesis, Applications, and Future Perspectives. Macromol. Rapid Commun. 2021, 42, e2100221. [Google Scholar] [CrossRef]
- Wan, W.M.; Pan, C.Y. Atom Transfer Radical Dispersion Polymerization in an Ethanol/Water Mixture. Macromolecules 2007, 40, 8897–8905. [Google Scholar] [CrossRef]
- Sugihara, S.; Armes, S.P.; Lewis, A.L. One-Pot Synthesis of Biomimetic Shell Cross-Linked Micelles and Nanocages by ATRP in Alcohol/Water Mixtures. Angew. Chem. Int. Ed. 2010, 49, 3500–3503. [Google Scholar] [CrossRef]
- Sugihara, S.; Sugihara, K.; Armes, S.P.; Ahmad, H.; Lewis, A.L. Synthesis of Biomimetic Poly(2-(Methacryloyloxy)Ethyl Phosphorylcholine) Nanolatexes via Atom Transfer Radical Dispersion Polymerization in Alcohol/Water Mixtures. Macromolecules 2010, 43, 6321–6329. [Google Scholar] [CrossRef]
- Kapishon, V.; Whitney, R.A.; Champagne, P.; Cunningham, M.F.; Neufeld, R.J. Polymerization Induced Self-Assembly of Alginate Based Amphiphilic Graft Copolymers Synthesized by Single Electron Transfer Living Radical Polymerization. Biomacromolecules 2015, 16, 2040–2048. [Google Scholar] [CrossRef]
- Wang, G.; Schmitt, M.; Wang, Z.; Lee, B.; Pan, X.; Fu, L.; Yan, J.; Li, S.; Xie, G.; Bockstaller, M.R.; et al. Polymerization-Induced Self-Assembly (PISA) Using ICAR ATRP at Low Catalyst Concentration. Macromolecules 2016, 49, 8605–8615. [Google Scholar] [CrossRef]
- Wang, K.; Wang, Y.; Zhang, W. Synthesis of Diblock Copolymer Nano-Assemblies by PISA Under Dispersion Polymerization: Comparison Between ATRP and RAFT. Polym. Chem. 2017, 8, 6407–6415. [Google Scholar] [CrossRef]
- Qu, S.; Wang, K.; Khan, H.; Xiong, W.; Zhang, W. Synthesis of Block Copolymer Nano-Assemblies via ICAR ATRP and RAFT Dispersion Polymerization: How ATRP and RAFT Lead to Differences. Polym. Chem. 2019, 10, 1150–1157. [Google Scholar] [CrossRef]
- Wang, Y.; Han, G.; Duan, W.; Zhang, W. ICAR ATRP in PEG with Low Concentration of Cu(II) Catalyst: A Versatile Method for Synthesis of Block Copolymer Nanoassemblies Under Dispersion Polymerization. Macromol. Rapid Commun. 2019, 40, 1800140. [Google Scholar] [CrossRef]
- Alzahrani, A.; Zhou, D.; Kuchel, R.P.; Zetterlund, P.B.; Aldabbagh, F. Polymerization-Induced Self-Assembly Based on ATRP in Supercritical Carbon Dioxide. Polym. Chem. 2019, 10, 2658–2665. [Google Scholar] [CrossRef]
- Shahrokhinia, A.; Scanga, R.; Biswas, P.; Reuther, J.F. PhotoATRP Induced Self-Assembly (PhotoATRPISA) Enables Simplified Synthesis of Responsive Polymer Nanoparticles in One-Pot. Macromolecules 2021, 54, 1441–1451. [Google Scholar] [CrossRef]
- Yamago, S.; Iida, K.; Yoshida, J. Organotellurium Compounds as Novel Initiators for Controlled/Living Radical Polymerizations. Synthesis of Functionalized Polystyrenes and End-Group Modifications. J. Am. Chem. Soc. 2002, 124, 2874–2875. [Google Scholar] [CrossRef]
- Yamago, S.; Iida, K.; Yoshida, J. Tailored Synthesis of Structurally Defined Polymers by Organotellurium-Mediated Living Radical Polymerization (TERP): Synthesis of Poly(meth)acrylate Derivatives and Their Di- and Triblock Copolymers. J. Am. Chem. Soc. 2002, 124, 13666–13667. [Google Scholar] [CrossRef]
- Yamago, S.; Iida, K.; Nakajima, M.; Yoshida, J. Practical Protocols for Organotellurium-Mediated Living Radical Polymerization by in Situ Generated Initiators from AIBN and Ditellurides. Macromolecules 2003, 36, 3793–3796. [Google Scholar] [CrossRef]
- Yamago, S. Development of organotellurium-mediated and organostibine-mediated living radical polymerization reactions. J. Polym. Sci. Part A Polym. Chem. 2006, 44, 1–12. [Google Scholar] [CrossRef]
- Kwak, Y.; Tezuka, M.; Goto, A.; Fukuda, T.; Yamago, S. Kinetic Study on Role of Ditelluride in Organotellurium-Mediated Living Radical Polymerization (TERP). Macromolecules 2007, 40, 1881–1885. [Google Scholar] [CrossRef]
- Okubo, M.; Sugihara, Y.; Kitayama, Y.; Kagawa, Y.; Minami, H. Emulsifier-Free, Organotellurium-Mediated Living Radical Emulsion Polymerization of Butyl Acrylate. Macromolecules 2009, 42, 1979–1984. [Google Scholar] [CrossRef]
- Kitayama, Y.; Moribe, H.; Minami, H.; Okubo, M. Emulsifier-free, organotellurium-mediated living radical emulsion polymerization of Styrene: Initial stage of polymerization. Polymer 2011, 52, 2729–2734. [Google Scholar] [CrossRef]
- Kitayama, Y.; Chaiyasat, A.; Minami, H.; Okubo, M. Emulsifier-Free, Organotellurium-Mediated Living Radical Emulsion Polymerization of Styrene: Polymerization Loci. Macromolecules 2010, 43, 7465–7471. [Google Scholar] [CrossRef]
- Kitayama, Y.; Chaiyasat, A.; Okubo, M. Emulsifier-Free, Organotellurium-Mediated Living Radical Emulsion Polymerization of Styrene. Macromol. Symp. 2010, 288, 25–32. [Google Scholar] [CrossRef]
- Kitayama, Y.; Kishida, K.; Minami, H.; Okubo, M. Preparation of Poly(n-Butyl Acrylate)-b-Polystyrene Particles by Emulsifier-Free, Organotellurium-Mediated Living Radical Emulsion Polymerization (Emulsion TERP). J. Polym. Sci. A 2012, 50, 1991–1996. [Google Scholar] [CrossRef]
- Kitayama, Y.; Okubo, M. Emulsifier-Free, Organotellurium-Mediated Living Radical Emulsion Polymerization (Emulsion TERP) of Styrene: Poly(Dimethylaminoethyl Methacrylate) Macro-TERP Agent. Polym. Chem. 2014, 5, 2784–2792. [Google Scholar] [CrossRef]
- Cordella, D.; Ouhib, F.; Aqil, A.; Defize, T.; Jérôme, C.; Serghei, A.; Drockenmuller, E.; Aissou, K.; Taton, D.; Detrembleur, C. Fluorinated Poly(Ionic Liquid) Diblock Copolymers Obtained by Cobalt-Mediated Radical Polymerization-Induced Self-Assembly. ACS Macro Lett. 2017, 6, 121–126. [Google Scholar] [CrossRef] [PubMed]
- Xu, Q.; Tian, C.; Zhang, L.; Cheng, Z.; Zhu, X. Photo-Controlled Polymerization-Induced Self-Assembly (Photo-PISA): A Novel Strategy Using In Situ Bromine-Iodine Transformation Living Radical Polymerization. Macromol. Rapid Commun. 2019, 40, 1800327. [Google Scholar] [CrossRef] [PubMed]
- Li, H.H.; Xu, Q.H.; Xu, X.; Zhang, L.F.; Cheng, Z.P.; Zhu, X.L. One-Step Photocontrolled Polymerization-Induced Self-Assembly (Photo-PISA) by Using In Situ Bromine-Iodine Transformation Reversible-Deactivation Radical Polymerization. Polymers 2020, 12, 150. [Google Scholar] [CrossRef]
- Bagheri, A.; Boniface, S.; Fellows, C.M. Reversible-Deactivation Radical Polymerisation: Chain polymerisation made simple. Chem. Teach. Int. 2021, 3, 19–32. [Google Scholar] [CrossRef]
- Matyjaszewski, K.; Gaynor, S.; Wang, J.S. Controlled Radical Polymerizations: The Use of Alkyl Iodides in Degenerative Transfer. Macromolecules 1995, 28, 2093–2095. [Google Scholar] [CrossRef]
- Yasir, M.; Liu, P.; Tennie, I.K.; Kilbinger, A.F.M. Catalytic living ring-opening metathesis polymerization with Grubbs’ second- and third-generation catalysts. Nat. Chem. 2019, 11, 488–494. [Google Scholar] [CrossRef] [PubMed]
- Mandal, I.; Mandal, A.; Rahmana, M.A.; Kilbinger, A.F.M. Chain transfer agents for the catalytic ring opening metathesis polymerization of norbornenes. Chem. Sci. 2022, 13, 12469–12478. [Google Scholar] [CrossRef]
- Walsh, D.J.; Lau, S.H.; Hyatt, M.G.; Guironnet, D. Kinetic Study of Living Ring-Opening Metathesis Polymerization with Third-Generation Grubbs Catalysts. J. Am. Chem. Soc. 2017, 139, 13644–13647. [Google Scholar] [CrossRef]
- Choinopoulos, I. Grubbs’ and Schrock’s Catalysts, Ring Opening Metathesis Polymerization and Molecular Brushes-Synthesis, Characterization, Properties and Applications. Polymers 2019, 11, 298. [Google Scholar] [CrossRef] [PubMed]
- Nguyen, S.T.; Johnson, L.K.; Grubbs, R.H.; Ziller, J.W. Ring-opening metathesis polymerization (ROMP) of norbornene by a group VIII carbene complex in protic media. J. Am. Chem. Soc. 1992, 114, 3974–3975. [Google Scholar] [CrossRef]
- Dias, E.L.; Nguyen, S.T.; Grubbs, R.H. Well-defined ruthenium olefin metathesis catalysts: Mechanism and activity. J. Am. Chem. Soc. 1997, 119, 3887–3897. [Google Scholar] [CrossRef]
- Blanpain, A.; Clark, J.H.; Farmer, T.J.; Guo, Y.; Ingram, I.D.V.; Kendrick, J.E.; Lawrenson, S.B.; North, M.; Rodgers, G.; Whitwood, A.C. Rapid ring-opening metathesis polymerization of monomers obtained from biomass derived furfuryl amines and maleic anhydride. ChemSusChem 2019, 12, 2393–2401. [Google Scholar] [CrossRef] [PubMed]
- Farrell, W.S.; Beers, K.L. Ring-Opening Metathesis Polymerization of Butyl Substituted trans-Cyclooctenes. ACS Macro Lett. 2017, 6, 791–795. [Google Scholar] [CrossRef]
- Barther, D.; Moatsou, D. Ring-Opening Metathesis Polymerization of Norbornene-Based Monomers Obtained via the Passerini Three Component Reaction. Macromol. Rapid Commun. 2021, 42, e2100027. [Google Scholar] [CrossRef] [PubMed]
- Brumaghim, J.L.; Girolami, G.S. Ring-Opening Metathesis Polymerization of Norbornene by Cp*2Os2Br4 and Related Compounds. Organometallics 1999, 18, 1923–1929. [Google Scholar] [CrossRef]
- Nakayama, Y.; Katsuda, K.; Yasuda, H. Ring-Opening Metathesis Polymerization of Norbornene with Catecholato Complexes of Tungsten(VI) as Effective Catalyst Precursors. Polym. J. 2003, 35, 896–900. [Google Scholar] [CrossRef]
- Yang, J.; Ren, L.; Li, Y. Ring-opening metathesis polymerization of cis-5-norbornene-endo-2,3-dicarboxylic anhydride derivatives using the grubbs third generation catalyst. Chin. J. Polym. Sci. 2017, 35, 36–45. [Google Scholar] [CrossRef]
- Belfield, K.D.; Zhang, L. Norbornene-Functionalized Diblock Copolymers via Ring-Opening Metathesis Polymerization for Magnetic Nanoparticle Stabilization. Chem. Mater. 2006, 18, 5929–5936. [Google Scholar] [CrossRef]
- Kwon, Y.; Kim, K.H. Synthesis of norbornene block copolymers containing polyhedral oligomeric silsesquioxane by sequential ring-opening metathesis polymerization. Macromol. Res. 2006, 14, 424–429. [Google Scholar] [CrossRef]
- Zhang, L.Y.; Song, C.M.; Yu, J.H.; Yang, D.; Xie, M. One-pot synthesis of polymeric nanoparticle by ring-opening metathesis polymerization. J. Polym. Sci. A Polym. Chem. 2010, 48, 5231–5238. [Google Scholar] [CrossRef]
- Varlas, S.; Foster, J.C.; O’Reilly, R.K. Ring-opening metathesis polymerization-induced self-assembly (ROMPISA). Chem. Commun. 2019, 55, 9066–9071. [Google Scholar] [CrossRef] [PubMed]
- Sha, Y.; Rahman, M.A.; Zhu, T.; Cha, Y.; McAlister, C.W.; Tang, C. ROMPI-CDSA: Ring-Opening Metathesis Polymerization-Induced Crystallization-Driven Self-Assembly of Metallo-Block Copolymers. Chem. Sci. 2019, 10, 9782–9787. [Google Scholar] [CrossRef] [PubMed]
- Torres-Rocha, O.L.; Wu, X.W.; Zhu, C.Y.; Crudden, C.M.; Cunningham, M.F. Polymerization-induced self-assembly (PISA) of 1,5-cyclooctadiene using ring opening metathesis polymerization. Macromol. Rapid. Commun. 2019, 40, 1800326. [Google Scholar] [CrossRef] [PubMed]
- Foster, J.C.; Varlas, S.; Blackman, L.D.; Arkinstall, L.A.; O’Reilly, R.K. Ring-opening metathesis polymerization in aqueous media using a macroinitiator approach. Angew. Chem. Int. Ed. 2018, 57, 10672–10676. [Google Scholar] [CrossRef] [PubMed]
- Liu, J.W.; Liao, Y.; He, X.H.; Yu, J.; Ding, L.; Xie, M. Facile onepot approach for preparing functionalized polymeric nanoparticles via ROMP. Macromol. Chem. Phys. 2011, 212, 55–63. [Google Scholar] [CrossRef]
- Mei, H.G.; Zhao, B.J.; Wang, H.M.; Zheng, S. Crosslinked polydicyclopentadiene nanoparticles via ring-opening metathesis polymerization-induced self-assembly approach. Macromol. Rapid Commun. 2021, 42, 2100155. [Google Scholar] [CrossRef]
- Wright, D.B.; Touve, M.A.; Adamiak, L.; Gianneschi, N.C. ROMPISA: Ring-opening metathesis polymerization-induced self-assembly. ACS Macro Lett. 2017, 6, 925–929. [Google Scholar] [CrossRef]
- Wright, D.B.; Thompson, M.P.; Touve, M.A.; Carlini, A.S.; Gianneschi, N.C. Enzyme-responsive polymer nanoparticles via ring-opening metathesis polymerization-induced self-assembly. Macromol. Rapid Commun. 2019, 40, 1800467. [Google Scholar] [CrossRef]
- Varlas, S.; Keogh, R.; Xie, Y.; Horswell, S.L.; Foster, J.C.; O’Reilly, R.K. Polymerization-Induced Polymersome Fusion. J. Am. Chem. Soc. 2019, 141, 20234–20248. [Google Scholar] [CrossRef] [PubMed]
- Hadjichristidis, N.; Iatrou, H.; Pitsikalis, M.; Sakellariou, G. Synthesis of Well-Defined Polypeptide-Based Materials via the Ring Opening Polymerization of α-Amino Acid N-Carboxyanhydrides. Chem. Rev. 2009, 109, 5528–5578. [Google Scholar] [CrossRef] [PubMed]
- Jiang, J.H.; Zhang, X.Y.; Fan, Z.; Du, J. Ring-opening polymerization of N-carboxyanhydride-induced self-assembly for fabricating biodegradable polymer vesicles. ACS Macro. Lett. 2019, 8, 1216–1221. [Google Scholar] [CrossRef] [PubMed]
- Duro-Castano, A.; Rodrίguez-Arco, L.; Ruiz-Pérez, L.; De Pace, C.; Marchello, G.; Noble-Jesus, C.; Battaglia, G. One-pot synthesis of oxidation-sensitive supramolecular gels and vesicles. Biomacromolecules 2021, 22, 5052–5064. [Google Scholar] [CrossRef] [PubMed]
- Grazon, C.; Salas-Ambrosio, P.; Ibarboure, E.; Buol, A.; Garanger, E.; Grinstaff, M.W.; Lecommandoux, S.; Bonduelle, C. Aqueous ring-opening polymerization-induced self-assembly (ROPISA) of N-carboxyanhydrides. Angew. Chem. Int. Ed. 2020, 59, 622–626. [Google Scholar] [CrossRef]
- Grazon, C.; Salas-Ambrosio, P.; Antoine, S.; Ibarboure, E.; Sandre, O.; Clulow, A.J.; Boyd, B.J.; Grinstaff, M.W.; Lecommandoux, S.; Bonduelle, C. Aqueous ROPISA of α-amino acid N-carboxyanhydrides: Polypeptide block secondary structure controls nanoparticle shape anisotropy. Polym. Chem. 2021, 12, 6242–6251. [Google Scholar] [CrossRef]
- Li, H.L.; Cornel, E.J.; Fan, Z.; Du, J. Chirality-controlled polymerization-induced self-assembly. Chem. Sci. 2022, 13, 14179–14190. [Google Scholar] [CrossRef]
- Tardy, A.; Nicolas, J.; Gigmes, D.; Lefay, C.; Guillaneuf, Y. Radical Ring-Opening Polymerization: Scope, Limitations, and Application to (Bio)Degradable Materials. Chem. Rev. 2017, 117, 1319–1406. [Google Scholar] [CrossRef] [PubMed]
- Folini, J.; Murad, W.; Mehner, F.; Meier, W.; Gaitzsch, J. Updating radical ring-opening polymerization of cyclic ketene acetals from synthesis to degradation. Eur. Polym. J. 2020, 134, 109581. [Google Scholar] [CrossRef]
- Zhu, C.; Denis, S.; Nicolas, J. A simple route to aqueous suspensions of degradable copolymer nanoparticles based on radical ring-opening polymerization-induced self-assembly (rROPISA). Chem. Mater. 2022, 34, 1875–1888. [Google Scholar] [CrossRef]
- Grune, E.; Appold, M.; Müller, A.H.E.; Gallei, M.; Frey, H. Anionic Copolymerization Enables the Scalable Synthesis of Alternating (AB)(n) Multiblock Copolymers with High Molecular Weight in n/2 Steps. ACS Macro Lett. 2018, 7, 807–810. [Google Scholar] [CrossRef] [PubMed]
- Matsuo, Y.; Konno, R.; Ishizone, T.; Goseki, R.; Hirao, A. Precise Synthesis of Block Polymers Composed of Three or More Blocks by Specially Designed Linking Methodologies in Conjunction with Living Anionic Polymerization System. Polymers 2013, 5, 1012–1040. [Google Scholar] [CrossRef]
- Goseki, R.; Ito, S.; Matsuo, Y.; Higashihara, T.; Hirao, A. Precise Synthesis of Macromolecular Architectures by Novel Iterative Methodology Combining Living Anionic Polymerization with Specially Designed Linking Chemistry. Polymers 2017, 9, 470. [Google Scholar] [CrossRef] [PubMed]
- Ito, S.; Goseki, R.; Ishizone, T.; Hirao, A. Synthesis of well-controlled graft polymers by Living anionic polymerization towards exact graft polymers. Polym. Chem. 2014, 5, 5523–5534. [Google Scholar] [CrossRef]
- Higashihara, T.; Hayashi, M.; Hirao, A. Synthesis of well-defined star-branched polymers by stepwise iterative methodology using living anionic polymerization. Prog. Polym. Sci. 2011, 36, 323–375. [Google Scholar] [CrossRef]
- Wang, J.; Cao, M.; Zhou, P.; Wang, G. Exploration of a Living Anionic Polymerization Mechanism into Polymerization-Induced Self-Assembly and Site-Specific Stabilization of the Formed Nano-Objects. Macromolecules 2020, 53, 3157–3165. [Google Scholar] [CrossRef]
- Zhou, C.C.; Wang, J.; Zhou, P.; Wang, G.W. A Polymerization-Induced Self-Assembly Process for All-Styrenic Nano-Objects Using the Living Anionic Polymerization Mechanism. Polym. Chem. 2020, 11, 2635–2639. [Google Scholar] [CrossRef]
- Zhang, J.; Zhou, P.; Shi, B.; Li, P.; Wang, G. High-Efficient Access to Inverse Morphologies via Living Anionic Polymerization-Mediated Polymerization-Induced Cooperative Assembly. Macromolecules 2023, 56, 5743–5753. [Google Scholar] [CrossRef]
- Gilbert, R.G. Emulsion Polymerization: A Mechanistic Approach; Academic Press: London, UK, 1995. [Google Scholar]
- Moad, G.; Chiefari, J.; Chong, Y.K.; Krstina, J.; Mayadunne, R.T.A.; Postma, A.; Rizzardo, E.; Thang, S.H. Living Free Radical Polymerisation with Reversible Addition—Fragmentation Chain Transfer (the Life of RAFT). Polym. Int. 2000, 49, 993–1001. [Google Scholar] [CrossRef]
- Uzulina, I.; Kanagasabapathy, S.; Claverie, J. Reversible addition fragmentation transfer (RAFT) polymerization in emulsion. In Macromolecular Symposia; WILEY-VCH Verlag: Weinheim, Germany, 2000; Volume 150, pp. 33–38. [Google Scholar] [CrossRef]
- Charmot, D.; Corpart, P.; Adam, H.; Zard, S.Z.; Biadatti, T.; Bouhadir, G. Controlled radical polymerization in dispersed media. In Macromolecular Symposia; WILEY-VCH Verlag: Weinheim, Germany, 2000; Volume 150, pp. 23–32. [Google Scholar] [CrossRef]
- Sprong, E.; Leswin, J.S.K.; Lamb, D.J.; Ferguson, C.J.; Hawkett, B.S.; Pham, B.T.T.; Nguyen, D.; Such, C.H.; Serelis, A.K.; Gilbert, R.G. Molecular Watchmaking: Ab initio Emulsion Polymerization by RAFT-controlled Self-assembly. In Macromolecular Symposia; WILEY-VCH Verlag: Weinheim, Germany, 2005; Volume 231, pp. 84–93. [Google Scholar] [CrossRef]
- Zetterlund, P.B.; Thickett, S.C.; Perrier, S.; Bourgeat-Lami, E.; Lansalot, M. Controlled/living radical polymerization in dispersed systems: An update. Chem. Rev. 2015, 115, 9745–9800. [Google Scholar] [CrossRef]
- Sugihara, S. Polymerization-Induced Self-Assembly of Block Copolymer Nano-Objects via Green RAFT Polymerization. In Molecular Technology: Synthesis Innovation, 1st ed.; Wiley-VCH Verlag GmbH & Co. KGaA: Weinheim, Germany, 2019; Volume 4. [Google Scholar] [CrossRef]
- Ferguson, C.J.; Hughes, R.J.; Nguyen, D.; Pham, B.T.T.; Hawkett, B.S.; Gilbert, R.G.; Serelis, A.K.; Such, C.H. Ab Initio Emulsion Polymerization by RAFT-Controlled Self-Assembly. Macromolecules 2005, 38, 2191–2204. [Google Scholar] [CrossRef]
- Ganeva, D.E.; Sprong, E.; de-Bruyn, H.; Warr, G.G.; Such, C.H.; Hawkett, B.S. Particle formation in ab initio RAFT mediated emulsion polymerization systems. Macromolecules 2007, 40, 6181–6189. [Google Scholar] [CrossRef]
- Figg, C.A.; Simula, A.; Gebre, K.A.; Tucker, B.S.; Haddleton, D.M.; Sumerlin, B.S. Polymerization-induced thermal self-assembly (PITSA). Chem. Sci. 2015, 6, 1230–1236. [Google Scholar] [CrossRef]
- Cai, J.; Wang, X.; Liu, Y.; Luo, C.; Lu, X.; Cai, Y. Site-Specific Polymerization-Induced Electrostatic Self-Assembly: Synthesis of Highly Charged Salt-Tolerant Polyion Complex Nanoreactors. Macromolecules 2023, 56, 10153–10162. [Google Scholar] [CrossRef]
- Scheutz, G.M.; Touve, M.A.; Carlini, A.S.; Garrison, J.B.; Gnanasekaran, K.; Sumerlin, B.S.; Gianneschi, N.C. Probing Thermoresponsive Polymerization-Induced Self-Assembly with Variable-Temperature Liquid-Cell Transmission Electron Microscopy. Matter 2021, 4, 722–736. [Google Scholar] [CrossRef]
- Shen, L.; Li, Y.; Lu, Q.; Qi, X.; Wu, X.; Zhou, Z.; Shen, J. Directed arrangement of siRNA via polymerization-induced electro-static self-assembly. Chem. Commun. 2020, 56, 2411–2414. [Google Scholar] [CrossRef]
- Xiong, W.; Wang, X.; Liu, Y.; Luo, C.; Lu, X.; Cai, Y. Polymerization-Induced Electrostatic Self-Assembly Governed by Guani-dinium Ionic Hydrogen Bonds. Macromolecules 2022, 55, 7003–7012. [Google Scholar] [CrossRef]
- Guan, S.; Chen, A. One-Pot Synthesis of Cross-linked Block Copolymer Nanowires via Polymerization-Induced Hierarchical Self-Assembly and Photodimerization. ACS Macro Lett. 2020, 9, 14–19. [Google Scholar] [CrossRef] [PubMed]
- Bansal, K.K.; Upadhyay, P.K.; Saraogi, G.K.; Rosling, A.; Rosenholm, J.M. Advances in thermo-responsive polymers exhib-iting upper critical solution temperature (UCST). Polym. Lett. 2019, 13, 974–992. [Google Scholar] [CrossRef]
- Niskanen, J.; Tenhu, H. How to manipulate the upper critical solution temperature (UCST)? Polym. Chem. 2017, 8, 220–232. [Google Scholar] [CrossRef]
- Fu, W.; Luo, C.; Morin, E.A.; He, W.; Li, Z.; Zhao, B. UCST-Type Thermosensitive Hairy Nanogels Synthesized by RAFT Polymerization-Induced Self-Assembly. ACS Macro Lett. 2017, 6, 127–133. [Google Scholar] [CrossRef] [PubMed]
- Zhang, Q.; Tosi, F.; Üǧdüler, S.; Maji, S.; Hoogenboom, R. Tuning the LCST and UCST thermoresponsive behavior of poly(N,N-dimethylaminoethyl methacrylate) by electrostatic interactions with trivalent metal hexacyano anions and copoly-merization. Macromol. Rapid Commun. 2015, 36, 633–639. [Google Scholar] [CrossRef] [PubMed]
- Zhu, Y.; Batchelor, R.; Lowe, A.; Roth, P. Design of Thermoresponsive Polymers with Aqueous LCST, UCST, or Both: Modifi-cation of a Reactive Poly(2-vinyl-4,4-dimethylazlactone) Scaffold. Macromolecules 2016, 49, 672–680. [Google Scholar] [CrossRef]
- Zhang, W.; D’Agosto, F.; Dugas, P.Y.; Rieger, J.; Charleux, B. RAFT-Mediated One-Pot Aqueous Emulsion Polymerization of. Methyl Methacrylate in Presence of Poly(Methacrylic Acid-Co-. Poly(Ethylene Oxide) Methacrylate) Trithiocarbonate Macromolec-. ular Chain Transfer Agent. Polymer 2013, 54, 2011–2019. [Google Scholar] [CrossRef]
- Wan, W.M.; Pan, C.Y. Formation of polymeric yolk/shell nanomaterial by polymerization-induced self-assembly and reorganization. Macromolecules 2010, 43, 2672–2675. [Google Scholar] [CrossRef]
- Grazon, C.; Rieger, J.; Sanson, N.; Charleux, B. Study of poly(N,N-diethylacrylamide) nanogel formation by aqueous dispersion polymerization of N,N-diethylacrylamide in the presence of poly(ethylene oxide)-b-poly(N,N-dimethylacrylamide) amphiphilic macromolecular RAFT agents. Soft Matter 2011, 7, 3482–3490. [Google Scholar] [CrossRef]
- Shen, W.; Chang, Y.; Liu, G.; Wang, H.; Cao, A.; An, Z. Biocompatible, Antifouling, and Thermosensitive Core–Shell Nanogels Synthesized by RAFT Aqueous Dispersion Polymerization. Macromolecules 2011, 44, 2524–2530. [Google Scholar] [CrossRef]
- Hou, L.; Ma, K.; An, Z.; Wu, P. Exploring the Volume Phase Transition Behavior of POEGA- and PNIPAM-Based Core–Shell Nanogels from Infrared-Spectral Insights. Macromolecules 2014, 47, 1144–1154. [Google Scholar] [CrossRef]
- Yan, L.; Tao, W. One-step synthesis of pegylated cationic nanogels of poly(N,N′-dimethylaminoethyl methacrylate) in aqueous solution via self-stabilizing micelles using an amphiphilic macroRAFT agent. Polymer 2010, 51, 2161–2167. [Google Scholar] [CrossRef]
- Schild, H.G.; Tirrell, D.A. Microcalorimetric detection of lower critical solution temperatures in aqueous polymer solutions. J. Phys. Chem. 1990, 94, 4352–4356. [Google Scholar] [CrossRef]
- Li, Y.; Ye, Z.; Shen, L.; Xu, Y.; Zhu, A.; Wu, P.; An, Z. Formation of Multidomain Hydrogels via Thermally Induced Assembly of PISA-Generated Triblock Terpolymer Nanogels. Macromolecules 2016, 49, 3038–3048. [Google Scholar] [CrossRef]
- Morales-Moctezuma, M.D.; Spain, S.G. The effects of cononsolvents on the synthesis of responsive particles via polymerisation-induced thermal self-assembly. Polym. Chem. 2021, 12, 4696–4706. [Google Scholar] [CrossRef]
- Zhu, A.; Lv, X.; Shen, L.; Zhang, B.; An, Z. Polymerization-Induced Cooperative Assembly of Block Copolymer and Homopolymer via RAFT Dispersion Polymerization. ACS Macro Lett. 2017, 6, 304–309. [Google Scholar] [CrossRef] [PubMed]
- Kinning, D.J.; Winey, K.I.; Thomas, E.L. Structural transitions from spherical to nonspherical micelles in blends of poly (styrene-butadiene) diblock copolymer and polystyrene homopolymers. Macromolecules 1988, 21, 3502–3506. [Google Scholar] [CrossRef]
- Hashimoto, T.; Tanaka, H.; Hasegawa, H. Ordered Structure in Mixtures of a Block Copolymer and Homopolymer. 2. Effect of Molecular Weights of Homopolymer. Macromolecules 1990, 23, 4378–4386. [Google Scholar] [CrossRef]
- Jeong, U.; Kim, H.C.; Rodriguez, R.L.; Tsai, I.Y.; Stafford, C.M.; Kim, J.K.; Hawker, C.J.; Russell, T.P. Asymmetric Block Copolymers with Homopolymers: Routes to Multiple Length Scale Nanostructures. Adv. Mater. 2002, 14, 274–276. [Google Scholar] [CrossRef]
- Hur, S.M.; García-Cervera, C.J.; Kramer, E.J.; Fredrickson, G.H. SCFT Simulations of Thin Film Blends of Block Copolymer and Homopolymer Laterally Confined in a Square Well. Macromolecules 2009, 42, 5861–5872. [Google Scholar] [CrossRef]
- Ouarti, N.; Viville, P.; Lazzaroni, R.; Minatti, E.; Schappacher, M.; Deffieux, A.; Borsali, R. Control of the morphology of linear and cyclic PS-b-PI block copolymer micelles via PS addition. Langmuir 2005, 21, 1180–1186. [Google Scholar] [CrossRef] [PubMed]
- Tan, J.; Huang, C.; Liu, D.; Li, X.; He, J.; Xu, Q.; Zhang, L. Polymerization-Induced Self-Assembly of Homopolymer and Diblock Copolymer: A Facile Approach for Preparing Polymer Nano-Objects with Higher-Order Morphologies. ACS Macro Lett. 2017, 6, 298–303. [Google Scholar] [CrossRef]
- Lu, H.; Song, W.Y.; Zou, Y.Y.; Xu, W.S.; Yan, Y.D.; Liu, H.; Ma, L.J. Kinetics and morphologies in polymerization-induced cooperative assembly: A computer simulation investigation. Polym. Int. 2021. [CrossRef]
- Huang, C.; Tan, J.; Xu, Q.; He, J.; Li, X.; Liu, D.; Zhang, L. Adding a solvophilic comonomer to the polymerization-induced self-assembly of block copolymer and homopolymer: A cooperative strategy for preparing large compound vesicles. RSC Adv. 2017, 7, 46069–46081. [Google Scholar] [CrossRef]
- Lv, F.; An, Z.; Wu, P. Efficient Access to Inverse Bicontinuous Mesophases via Polymerization-Induced Cooperative Assembly. CCS Chem. 2020, 3, 2211–2222. [Google Scholar] [CrossRef]
- Zhou, H.; Liu, C.; Qu, Y.; Gao, C.; Shi, K.; Zhang, W. How the Polymerization Procedures Affect the Morphology of the Block Copolymer Nanoassemblies: Comparison between Dispersion RAFT Polymerization and Seeded RAFT Polymerization. Macromolecules 2016, 49, 8167–8176. [Google Scholar] [CrossRef]
- Li, G.; Xu, N.; Yu, Q.; Lu, X.; Chen, H.; Cai, Y. Acceleration and Selective Monomer Addition during Aqueous RAFT Copolymerization of Ionic Monomers at 25 °C. Macromol. Rapid Commun. 2014, 35, 1430–1435. [Google Scholar] [CrossRef] [PubMed]
- Yu, Q.; Ding, Y.; Cao, H.; Lu, X.; Cai, Y. Use of polyion complexation for polymerization-induced self-assembly in water under visible light irradiation at 25 °C. ACS Macro Lett. 2015, 4, 1293–1296. [Google Scholar] [CrossRef] [PubMed]
- Pergushov, D.V.; Mueller, A.H.E.; Schacher, F.H. Micellar interpolyelectrolyte complexes. Chem. Soc. Rev. 2012, 41, 6888–6901. [Google Scholar] [CrossRef]
- Ding, Y.; Cai, M.; Cui, Z.; Huang, L.; Wang, L.; Lu, X.; Cai, Y. Synthesis of Low-Dimensional Polyion Complex Nanomaterials via Polymerization-Induced Electrostatic Self-Assembly. Angew. Chem. Int. Ed. 2018, 57, 1053–1056. [Google Scholar] [CrossRef]
- Cai, M.; Ding, Y.; Wang, L.; Huang, L.; Lu, X.; Cai, Y. Synthesis of One-Component Nanostructured Polyion Complexes via Polymerization-Induced Electrostatic Self-Assembly. ACS Macro Lett. 2018, 7, 208–212. [Google Scholar] [CrossRef]
- Huang, L.; Ding, Y.; Ma, Y.; Wang, L.; Liu, Q.; Lu, X.; Cai, Y. Colloidal Stable PIC Vesicles and Lamellae Enabled by Wavelength-Orthogonal Disulfide Exchange and Polymerization-Induced Electrostatic Self-Assembly. Macromolecules 2019, 52, 4703–4712. [Google Scholar] [CrossRef]
- Yeow, J.; Xu, J.; Boyer, C. Polymerization-induced self-assembly using visible light mediated photoinduced electron trans-fer–reversible addition–fragmentation chain transfer polymerization. ACS Macro Lett. 2015, 4, 984–990. [Google Scholar] [CrossRef]
- Luo, C.; Wang, X.; Liu, Y.; Cai, J.; Lu, X.; Cai, Y. Like-Charge PISA: Polymerization-Induced Like-Charge Electrostatic Self-Assembly. ACS Macro Lett. 2023, 12, 1045–1051. [Google Scholar] [CrossRef]
- Guan, S.; Zhang, C.; Wen, W.; Qu, T.; Zheng, X.; Zhao, Y.; Chen, A. Formation of Anisotropic Liquid Crystalline Nanoparticles via Polymerization-Induced Hierarchical Self-Assembly. ACS Macro Lett. 2018, 7, 358–363. [Google Scholar] [CrossRef]
- Wang, G.; Tong, X.; Zhao, Y. Preparation of azobenzenecontaining amphiphilic diblock copolymers for light-responsive micellar aggregates. Macromolecules 2004, 37, 8911–8917. [Google Scholar] [CrossRef]
- Kadota, S.; Aoki, K.; Nagano, S.; Seki, T. Photocontrolled microphase separation of block copolymers in two dimensions. J. Am. Chem. Soc. 2005, 127, 8266–8267. [Google Scholar] [CrossRef]
- Wen, W.; Ouyang, W.; Guan, S.; Chen, A. Synthesis of azobenzene-containing liquid crystalline block copolymer nanoparticles via polymerization induced hierarchical self-assembly. Polym. Chem. 2021, 12, 458–465. [Google Scholar] [CrossRef]
- Wen, W.; Chen, A. Influence of single chain nanoparticle stabilizers on polymerization induced hierarchical self-assembly. Polym. Chem. 2021, 12, 2743–2751. [Google Scholar] [CrossRef]
- Deng, Z.; Sun, Y.; Guan, S.; Chen, A. Azobenzene-Containing Liquid Crystalline Twisted Ribbons via Polymerization-Induced Hierarchical Self-Assembly. Macromol. Rapid Commun. 2023, 44, 2300361. [Google Scholar] [CrossRef]
- Cheng, X.; Miao, T.; Ma, Y.; Zhang, W. Chiral Expression and Morphology Control in Polymer Dispersion Systems. ChemPlusChem 2022, 87, e202100556. [Google Scholar] [CrossRef]
- Cheng, X.; Miao, T.; Yin, L.; Ji, Y.J.; Li, Y.Y.; Zhang, Z.B.; Zhang, W.; Zhu, X.L. In situ controlled construction of a hierar-chical supramolecular chiral liquid-crystalline polymer assembly. Angew. Chem. Int. Ed. 2020, 59, 9669–9677. [Google Scholar] [CrossRef]
- Cheng, X.; Miao, T.; Ma, Y.; Zhang, J.D.; Zhang, Z.B.; Zhang, W.; Zhu, X.L. Polymerization-Induced Helicity Inversion Driven by Stacking Modes and Self-Assembly Pathway Differentiation. Small 2021, 17, 2103177. [Google Scholar] [CrossRef]
- Cheng, X.; Miao, T.; Ma, Y.; Zhu, X.Y.; Zhang, W.; Zhu, X.L. Controlling the Multiple Chiroptical Inversion in Biphasic Liquid-Crystalline Polymers. Angew. Chem. Int. Ed. 2021, 60, 24430–24436. [Google Scholar] [CrossRef] [PubMed]
- Sun, Y.J.; Cheng, X.X.; Miao, T.F.; Ma, H.T.; Zhang, W.; Zhu, X.L. Reversible CO2-, Photo- and Thermo- Triple Responsive Supramolecular Chirality of Azo-containing Block Copolymer Assemblies Prepared by Polymerization-induced Chiral Self-assembly. Chin. J. Polym. Sci. 2022, 40, 56–66. [Google Scholar] [CrossRef]
- Huo, M.; Li, D.; Song, G.; Zhang, J.; Wu, D.; Wei, Y.; Yuan, J. Semi-fluorinated methacrylates: A class of versatile monomers for polymerization-induced self-assembly. Macromol. Rapid Commun. 2018, 39, 1700840. [Google Scholar] [CrossRef]
- Huo, M.; Song, G.; Zhang, J.; Wei, Y.; Yuan, J. Nonspherical Liquid Crystalline Assemblies with Programmable Shape Transformation. ACS Macro Lett. 2018, 7, 956–961. [Google Scholar] [CrossRef] [PubMed]
- Hurst, P.J.; Rakowski, A.M.; Patterson, J.P. Ring-opening polymerization-induced crystallization-driven self-assembly of poly-L-lactide-block-polyethylene glycol block copolymers (ROPI-CDSA). Nat. Commun. 2020, 11, 4690–4701. [Google Scholar] [CrossRef] [PubMed]
- Wan, J.; Fan, B.; Putera, K.; Kim, J.; Holl, M.M.B.; Thang, S.H. Polymerization-Induced Hierarchical Self-Assembly: From Monomer to Complex Colloidal Molecules and Beyond. ACS Nano 2021, 15, 13721–13731. [Google Scholar] [CrossRef] [PubMed]
- Li, D.; Chen, X.; Zeng, M.; Ji, J.; Wang, Y.; Yang, Z.; Yuan, J. Synthesis of ABn-Type Colloidal Molecules by Polymerization-Induced Particle-Assembly (PIPA). Chem. Sci. 2020, 11, 2855–2860. [Google Scholar] [CrossRef] [PubMed]
- Xu, Q.; Yu, C.; Jiang, L.; Wang, Y.; Liu, F.; Jiang, W.; Zhou, Y. Coacervate-Assisted Polymerization-Induced Self-Assembly of Chiral Alternating Copolymers into Hierarchical Bishell Capsules with Sub-5 nm Ultrathin Lamellae. Small Methods 2023, 7, 2300136. [Google Scholar] [CrossRef] [PubMed]
- Liu, Q.; Wang, X.; Ma, L.; Yu, K.; Xiong, W.; Lu, X.; Cai, Y. Polymerization-Induced Hierarchical Electrostatic Self-Assembly: Scalable Synthesis of Multicompartment Polyion Complex Micelles and Their Monolayer Colloidal Nanosheets and Nanocages. ACS Macro Lett. 2020, 9, 454–458. [Google Scholar] [CrossRef]
- Lunn, D.J.; Finnegan, J.R.; Manners, I. Self-assembly of “patchy” nanoparticles: A versatile approach to functional hierarchical materials. Chem. Sci. 2015, 6, 3663–3673. [Google Scholar] [CrossRef]
- Li, D.; Liu, N.; Zeng, M.; Ji, J.; Chen, X.; Yuan, J. Customizable nano-sized colloidal tetrahedra by polymerization-induced particle self-assembly (PIPA). Polym. Chem. 2022, 13, 3529–3538. [Google Scholar] [CrossRef]
- Hou, W.; Wang, H.; Cui, Y.; Liu, Y.; Ma, X.; Zhao, H. Surface Nanostructures Fabricated by Polymerization-Induced Surface Self-Assembly. Macromolecules 2020, 85, 998–1007. [Google Scholar] [CrossRef] [PubMed]
- Zhong, W.; Hou, W.; Liu, Y.; Liu, L.; Zhao, H. Biosurfaces Fabricated by Polymerization-Induced Surface Self-Assembly. Langmuir 2020, 36, 12649–12657. [Google Scholar] [CrossRef] [PubMed]
- Wang, H.; Hou, W.; Liu, Y.; Liu, L.; Zhao, H. Janus Surface Micelles on Silica Particles: Synthesis and Application in Enzyme Immobilization. Macromol. Rapid Commun. 2021, 42, 2000589. [Google Scholar] [CrossRef] [PubMed]
- Hou, W.; Zhong, W.; Zhao, H. Asymmetric Colloidal Particles Fabricated by Polymerization Induced Surface Self-Assembly Approach. Macromolecules 2021, 54, 2617–2626. [Google Scholar] [CrossRef]
- Hoogerbrugge, P.J.J.; Koelma, M.V.A. Simulating Microscopic Hydrodynamic Phenomena with Dissipative Particle Dynamics. Europhys. Lett. 1992, 19, 155. [Google Scholar] [CrossRef]
- Groot, R.D.; Warren, P.B. Dissipative particle dynamics: Bridging the gap between atomistic and mesoscopic simulation. J. Chem. Phys. 1997, 107, 4423–4436. [Google Scholar] [CrossRef]
- Groot, R.D.; Madden, T.J. Dynamic simulation of diblock copolymer microphase separation. J. Chem. Phys. 1998, 108, 8713–8725. [Google Scholar] [CrossRef]
- Groot, R.D.; Madden, T.J.; Tildesley, D.J. On the role of hydrodynamic interactions in block copolymer microphase separation. J. Chem. Phys. 1999, 110, 9739–9750. [Google Scholar] [CrossRef]
- Khokhlov, A.R.; Khalatur, P.G. Microphase separation in diblock copolymers with amphiphilic block: Local chemical structure can dictate global morphology. Chem. Phys. Lett. 2008, 461, 58–63. [Google Scholar] [CrossRef]
- Gavrilov, A.A.; Kudryavtsev, Y.V.; Chertovich, A.V. Phase diagrams of block copolymer melts by dissipative particle dynamics simulations. J. Chem. Phy. 2013, 139, 224901–224911. [Google Scholar] [CrossRef]
- Schultz, A.J.; Hall, C.K.; Genzer, J. Computer Simulation of Block Copolymer/Nanoparticle Composites. Macromolecules 2005, 38, 3007–3016. [Google Scholar] [CrossRef]
- Kim, J.K.; Yang, S.Y.; Lee, Y.; Kim, Y. Functional nanomaterials based on block copolymer self-assembly. Prog. Polym. Sci. 2010, 35, 1325–1349. [Google Scholar] [CrossRef]
- Ginzburg, V.V.; Weinhold, J.D.; Trefonas, P. Computational Modeling of Block-Copolymer Directed Self-Assembly. J. Polym. Sci. Part B Polym. Phys. 2015, 53, 90–95. [Google Scholar] [CrossRef]
- Huang, F.; Lv, Y.; Wang, L.; Xu, P.; Lin, J.; Lin, S. An insight into Polymerization-Induced Self-Assembly by Dissipative Particle Dynamics Simulation. Soft Matter 2016, 12, 6422–6429. [Google Scholar] [CrossRef] [PubMed]
- Wang, J.; Li, J.; Yao, Q.; Sun, X.; Yan, Y.; Zhang, J. One-pot production of porous assemblies by PISA of star architecture copolymers: A simulation study. Phys. Chem. Chem. Phys. 2018, 20, 10069–10076. [Google Scholar] [CrossRef]
- Lv, Y.; Wang, L.; Liu, F.; Feng, W.; Wei, J.; Lin, S. Rod-coil block copolymer aggregates via polymerization-induced self-assembly. Soft Matter 2020, 16, 3466–3475. [Google Scholar] [CrossRef]
- Lv, Y.; Wang, L.; Wu, F.; Gong, S.; Wei, J.; Lin, S. Self-Assembly and Stimuli-Responsive Behaviours of Side-Chain Liquid Crystalline Copolymers: A Dissipative Particle Dynamics Simulation Approach. Phys. Chem. Chem. Phys. 2019, 21, 7645–7653. [Google Scholar] [CrossRef]
- Jia, L.; Albouy, P.A.; Cicco, A.D.; Cao, A.; Li, M.H. Self-assembly of amphiphilic liquid crystal block copolymers containing a cholesteryl mesogen: Effects of block ratio and solvent. Polymer 2011, 52, 2565–2575. [Google Scholar] [CrossRef]
- Yan, Y.D.; Xue, Y.H.; Zhao, H.Y.; Liu, H.; Lu, Z.Y.; Gu, F.L. Insight into the Polymerization-Induced Self-Assembly via a Realistic Computer Simulation Strategy. Macromolecules 2019, 52, 6169–6180. [Google Scholar] [CrossRef]
- Wang, J.; Fang, T.; Li, J.; Yan, Y.; Li, Z.; Zhang, J. A Precise Mesoscopic Model Providing Insights into Polymerization-Induced Self-assembly. Langmuir 2020, 36, 8009–8016. [Google Scholar] [CrossRef] [PubMed]
- Kozhunova, E.; Gavrilov, A.; Zaremski, M.; Chertovich, A. Copolymerization on selective substrates: Experimental test and computer simulations. Langmuir 2017, 33, 3548–3555. [Google Scholar] [CrossRef]
- Petrov, A.; Chertovich, A.V.; Gavrilov, A.A. Phase Diagrams of Polymerization-Induced Self-Assembly Are Largely Determined by Polymer Recombination. Polymers 2022, 14, 5331. [Google Scholar] [CrossRef]
- Gavrilov, A.A.; Chertovich, A.V. Simulation of the RAFT polymerization in 3D: Steric restrictions and incompatibility between species. Polym. Chem. 2022, 13, 2143–2154. [Google Scholar] [CrossRef]
- Sahoo, S.; Gordievskaya, Y.D.; Bauri, K.; Gavrilov, A.A.; Kramarenko, E.Y.; De, P. Polymerization-Induced Self-Assembly (PISA) Generated Cholesterol-Based Block Copolymer Nano-Objects in a Nonpolar Solvent: Combined Experimental and Simulation Study. Macromolecules 2022, 55, 1139–1152. [Google Scholar] [CrossRef]
- Brunel, F.; de la Haye, J.L.; Lansalot, M.; D’Agosto, F. New Insight into Cluster Aggregation Mechanism during Polymerization-Induced Self-Assembly by Molecular Dynamics Simulation. J. Phys. Chem. B 2019, 123, 6609–6617. [Google Scholar] [CrossRef] [PubMed]
- Foster, J.C.; Varlas, S.; Couturaud, B.; Jones, J.R.; Keogh, R.; Mathers, R.T.; O’Reilly, R.K. Predicting Monomers for use in Polymerization Induced Self-Assembly. Angew. Chem. Int. Ed. Engl. 2018, 57, 15733–15737. [Google Scholar] [CrossRef] [PubMed]
- Cao, J.; Tan, Y.; Chen, Y.; Zhang, L.; Tan, J. Expanding the Scope of Polymerization-Induced Self-Assembly: Recent Advances and New Horizons. Macromol. Rapid Commun. 2021, 42, 2100498. [Google Scholar] [CrossRef]
- Zhang, S.; Li, R.; An, Z. Degradable Block Copolymer Nanoparticles Synthesized by Polymerization-Induced Self-Assembly. Angew. Chem. Int. Ed. 2024, 136, e202315849. [Google Scholar] [CrossRef] [PubMed]
- Houillot, L.; Bui, C.; Farcet, C.; Moire, C.; Raust, J.A.; Pasch, H.; Save, M.; Charleux, B. Dispersion polymerization of methyl acrylate in nonpolar solvent stabilized by block copolymers formed in situ via the RAFT process. ACS Appl. Mater. Interfaces 2010, 2, 434–442. [Google Scholar] [CrossRef]
- Farcet, C. Polymer Particle Dispersion, Cosmetic Compositions Comprising It and Cosmetic Process Using It. US7585922B2 L’Oreal. 8 September 2009. [Google Scholar]
- Raust, J.A.; Houillot, L.; Save, M.; Charleux, B.; Moire, C.; Farcet, C.; Pasch, H. Two Dimensional Chromatographic Characterization of Block Copolymers of 2-Ethylhexyl Acrylate and Methyl Acrylate, P2EHA-b-PMA, produced via RAFT-Mediated Polymerization in Organic Dispersion. Macromolecules 2010, 43, 8755–8765. [Google Scholar] [CrossRef]
- Derry, M.J.; Smith, T.; O’Hora, P.S.; Armes, S.P. Block Copolymer Nanoparticles Prepared via Polymerization Induced Self-Assembly Provide Excellent Boundary Lubrication Performance for Next-Generation Ultralow-Viscosity Automotive Engine Oils. ACS Appl. Mater. Interfaces 2019, 11, 33364–33369. [Google Scholar] [CrossRef]
- Gyorgy, C.; Kirkman, P.M.; Neal, T.J.; Chan, D.H.H.; Williams, M.; Smith, T.; Growney, D.J.; Armes, S.P. Enhanced Adsorption of Epoxy-Functional Nanoparticles onto Stainless Steel Significantly Reduces Friction in Tribological Studies. Angew. Chem. Int. Ed. 2023, 62, e202218397. [Google Scholar] [CrossRef]
- Hunter, S.J.; Cornel, E.J.; Mykhaylyk, O.O.; Armes, S.P. Effect of Salt on the Formation and Stability of Water-in-Oil Pickering Nanoemulsions Stabilized by Diblock Copolymer Nanoparticles. Langmuir 2020, 36, 15523–15535. [Google Scholar] [CrossRef]
- Rymaruk, M.J.; Cunningham, V.J.; Brown, S.L.; Williams, C.N.; Armes, S.P. Oil-in-Oil pickering emulsions stabilized by diblock. copolymer nanoparticles. J. Colloid Interface Sci. 2020, 580, 354–364. [Google Scholar] [CrossRef]
- Blanazs, A.; Verber, R.; Mykhaylyk, O.O.; Ryan, A.J.; Heath, J.Z.; Douglas, C.W.I.; Armes, S.P. Sterilizable Gels from Thermoresponsive Block Copolymer Worms. J. Am. Chem. Soc. 2012, 134, 9741–9748. [Google Scholar] [CrossRef]
- Karagoz, B.; Boyer, C.; Davis, T.P. Simultaneous polymerization-induced self-assembly (PISA) and guest molecule encapsulation. Macromol. Rapid Commun. 2014, 35, 417–421. [Google Scholar] [CrossRef]
- Mable, C.J.; Gibson, R.R.; Prevost, S.; McKenzie, B.E.; Mykhaylyk, O.O.; Armes, S.P. Loading of Silica Nanoparticles in Block Copolymer Vesicles during Polymerization-Induced Self-Assembly: Encapsulation Efficiency and Thermally Triggered Release. J. Am. Chem. Soc. 2015, 137, 16098–16108. [Google Scholar] [CrossRef]
- Blackman, L.D.; Varlas, S.; Arno, M.C.; Houston, Z.H.; Fletcher, N.L.; Thurecht, K.J.; Hasan, M.; Gibson, M.I.; O’Reilly, R.K. Confinement of Therapeutic Enzymes in Selectively Permeable Polymer Vesicles by Polymerization-Induced Self-Assembly (PISA) Reduces Antibody Binding and Proteolytic Susceptibility. ACS Cent. Sci. 2018, 4, 718–723. [Google Scholar] [CrossRef] [PubMed]
- Zhang, W.J.; Hong, C.Y.; Pan, C.Y. Fabrication of Reductive-Responsive Prodrug Nanoparticles with Superior Structural Stability by Polymerization-Induced Self-Assembly and Functional Nanoscopic Platform for Drug Delivery. Biomacromolecules 2016, 17, 2992–2999. [Google Scholar] [CrossRef] [PubMed]
- Karagoz, B.; Esser, L.; Duong, H.T.; Basuki, J.S.; Boyer, C.; Davis, T.P. Polymerization-Induced Self-Assembly (PISA)—Control over the morphology of nanoparticles for drug delivery applications. Polym. Chem. 2014, 5, 350–355. [Google Scholar] [CrossRef]
- Varlas, S.; Blackman, L.D.; Findlay, H.E.; Reading, E.; Booth, P.J.; Gibson, M.I.; O’Reilly, R.K. Photoinitiated Polymerization-Induced Self-Assembly in the Presence of Surfactants Enables Membrane Protein Incorporation into Vesicles. Macromolecules 2018, 51, 6190–6201. [Google Scholar] [CrossRef]
- Garni, M.; Wehr, R.; Avsar, S.Y.; John, C.; Palivan, C.; Meier, W. Polymer membranes as templates for bio-applications ranging from artificial cells to active surfaces. Eur. Polym. J. 2019, 112, 346–364. [Google Scholar] [CrossRef]
- He, J.; Cao, J.; Chen, Y.; Zhang, L.; Tan, J. Thermoresponsive Block Copolymer Vesicles by Visible Light-Initiated Seeded Polymerization-Induced Self-Assembly for Temperature-Regulated Enzymatic Nanoreactors. ACS Macro Lett. 2020, 9, 533–539. [Google Scholar] [CrossRef]
- Wang, J.; Zhu, Y.; Zhou, S.; Wu, W.; Tong, Q.; Hu, J.; Min, S.; Hou, G.; Dong, B.; Song, B. Nano-fluorophores prepared by polymerization-induced self-assembly and its application in cell imaging. Dyes Pigm. 2021, 190, 109353. [Google Scholar] [CrossRef]
- Wang, Y.; Yang, D.; Hu, Y.; Wang, Y.; Yang, W.J.; Wang, L. Synthesis of water-soluble europium-containing nanoprobes via polymerization-induced self-assembly and their cellular imaging applications. Talanta 2021, 232, 122182. [Google Scholar] [CrossRef]
- Lobry, E.; Cardozo, A.F.; Barthe, L.; Blanco, J.F.; Delmas, H.; Chen, S.; Gayet, F.; Zhang, X.; Lansalot, M.; D’Agosto, F.; et al. Core phosphine-functionalized amphiphilic nanogels as catalytic nanoreactors for aqueous biphasic hydroformylation. J. Catal. 2016, 342, 164–172. [Google Scholar] [CrossRef]
- Joumaa, A.; Gayet, F.; Garcia-Suarez, E.J.; Himmelstrup, J.; Riisager, A.; Poli, R.; Manoury, E. Synthesis of Nixantphos Core-Functionalized Amphiphilic Nanoreactors and Application to Rhodium-Catalyzed Aqueous Biphasic 1-Octene Hydroformylation. Polymers 2020, 12, 1107. [Google Scholar] [CrossRef]
- Pontes da Costa, A.; Nunes, D.R.; Tharaud, M.; Oble, J.; Poli, G.; Rieger, J. Pd(0)-Nanoparticles Embedded in Core-Shell Nanogels as Recoverable Catalysts for the Mizoroki-Heck Reaction. J. Chem. Cat. Chem. 2017, 9, 2167–2175. [Google Scholar] [CrossRef]
- Guerrero-Sanchez, C.; Keddie, D.J.; Saubern, S.; Chiefari, J. Automated Parallel Freeze–Evacuate–Thaw Degassing Method for Oxygen-Sensitive Reactions: RAFT Polymerization. ACS Comb. Sci. 2012, 14, 389–394. [Google Scholar] [CrossRef]
- Chapman, R.; Gormley, A.J.; Herpoldt, K.L.; Stevens, M.M. Highly Controlled Open Vessel RAFT Polymerizations by Enzyme Degassing. Macromolecules 2014, 47, 8541–8547. [Google Scholar] [CrossRef]
- Zhang, T.; Yeow, J.; Boyer, C. A Cocktail of Vitamins for Aqueous RAFT Polymerization in an Open-to-Air Microtiter Plate. Polym. Chem. 2019, 10, 4643–4654. [Google Scholar] [CrossRef]
- Ng, G.; Yeow, J.; Chapman, R.; Isahak, N.; Wolvetang, E.; Cooper-White, J.J.; Boyer, C. Pushing the Limits of High Throughput PET-RAFT Polymerization. Macromolecules 2018, 51, 7600–7607. [Google Scholar] [CrossRef]
- Chapman, R.; Gormley, A.J.; Stenzel, M.H.; Stevens, M.M. Combinatorial Low-Volume Synthesis of Well-Defined Polymers by Enzyme Degassing. Angew. Chem. Int. Ed. 2016, 55, 4500–4503. [Google Scholar] [CrossRef]
- Yeow, J.; Chapman, R.; Xu, J.; Boyer, C. Oxygen tolerant photopolymerization for ultralow volumes. Polym. Chem. 2017, 8, 5012–5022. [Google Scholar] [CrossRef]
- Peng, J.; Tian, C.; Zhang, L.; Cheng, Z.; Zhu, X. The in situ formation of nanoparticles via RAFT polymerization-induced self-assembly in a continuous tubular reactor. Polym. Chem. 2017, 8, 1495–1506. [Google Scholar] [CrossRef]
- Zaquen, N.; Kadir, A.M.; Iasa, A.; Corrigan, N.; Junkers, T.; Zetterlund, P.B.; Boyer, C. Rapid Oxygen Tolerant Aqueous RAFT Photopolymerization in Continuous Flow Reactors. Macromolecules 2019, 52, 1609–1619. [Google Scholar] [CrossRef]
- Zaquen, N.; Zu, H.; Kadir, A.M.; Junkers, T.; Zetterlund, P.B.; Boyer, C. Scalable Aqueous Reversible Addition–Fragmentation Chain Transfer Photopolymerization-Induced Self-Assembly of Acrylamides for Direct Synthesis of Polymer Nanoparticles for Potential Drug Delivery Applications. ACS Appl. Polym. Mater. 2019, 1, 1251–1256. [Google Scholar] [CrossRef]




























































Disclaimer/Publisher’s Note: The statements, opinions and data contained in all publications are solely those of the individual author(s) and contributor(s) and not of MDPI and/or the editor(s). MDPI and/or the editor(s) disclaim responsibility for any injury to people or property resulting from any ideas, methods, instructions or products referred to in the content. |
© 2024 by the authors. Licensee MDPI, Basel, Switzerland. This article is an open access article distributed under the terms and conditions of the Creative Commons Attribution (CC BY) license (https://creativecommons.org/licenses/by/4.0/).
Share and Cite
Serkhacheva, N.S.; Prokopov, N.I.; Lysenko, E.A.; Kozhunova, E.Y.; Chernikova, E.V. Modern Trends in Polymerization-Induced Self-Assembly. Polymers 2024, 16, 1408. https://doi.org/10.3390/polym16101408
Serkhacheva NS, Prokopov NI, Lysenko EA, Kozhunova EY, Chernikova EV. Modern Trends in Polymerization-Induced Self-Assembly. Polymers. 2024; 16(10):1408. https://doi.org/10.3390/polym16101408
Chicago/Turabian StyleSerkhacheva, Natalia S., Nickolay I. Prokopov, Evgenii A. Lysenko, Elena Yu. Kozhunova, and Elena V. Chernikova. 2024. "Modern Trends in Polymerization-Induced Self-Assembly" Polymers 16, no. 10: 1408. https://doi.org/10.3390/polym16101408
APA StyleSerkhacheva, N. S., Prokopov, N. I., Lysenko, E. A., Kozhunova, E. Y., & Chernikova, E. V. (2024). Modern Trends in Polymerization-Induced Self-Assembly. Polymers, 16(10), 1408. https://doi.org/10.3390/polym16101408

