Preparation and Characterization of Conductive/Self-Healing Resin Nanocomposites Based on Tetrafunctional Furan-Functionalized Aniline Trimer Modified Graphene
Abstract
:1. Introduction
2. Materials and Methods
2.1. Materials
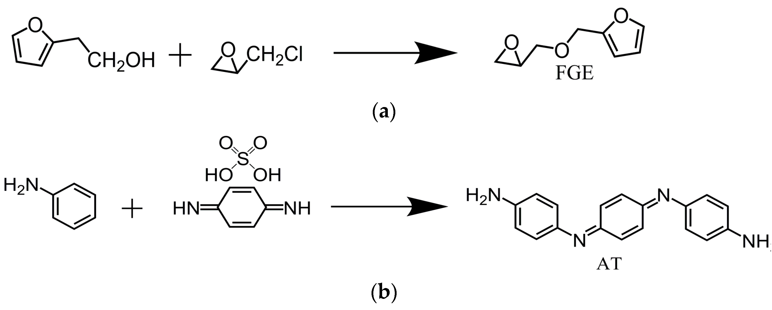
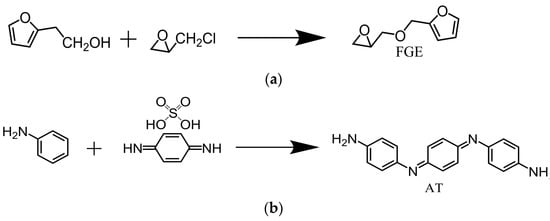
2.2. Preparation of Modifiers
2.3. Viscosity TFAT-Modified Graphene
2.4. The Preparation of Self-Healing Nanocomposite Materials
2.5. Characterizations
2.5.1. 1H-NMR Analysis
2.5.2. FTIR Analysis
2.5.3. Thermal Property Analysis
2.5.4. The Dispersion State of Graphene Nanocomposites: Characterization
2.5.5. The Microstructure of Graphene Analysis
2.5.6. Graphene Nanocomposites Repairability Characterization
2.5.7. Mechanical Properties
2.5.8. Electrical Properties
3. Results
3.1. Characterization of TFAT Modifiers
3.2. Characterization of TFAT-Modified Graphene
3.3. Dispersion State of Graphene in Resin before and after Modification
3.4. Characterization of Thermal Property of TFAT-G/Resin Nanocomposites
3.5. Characterization of Tensile Properties of TFAT-G/Resin Nanocomposites
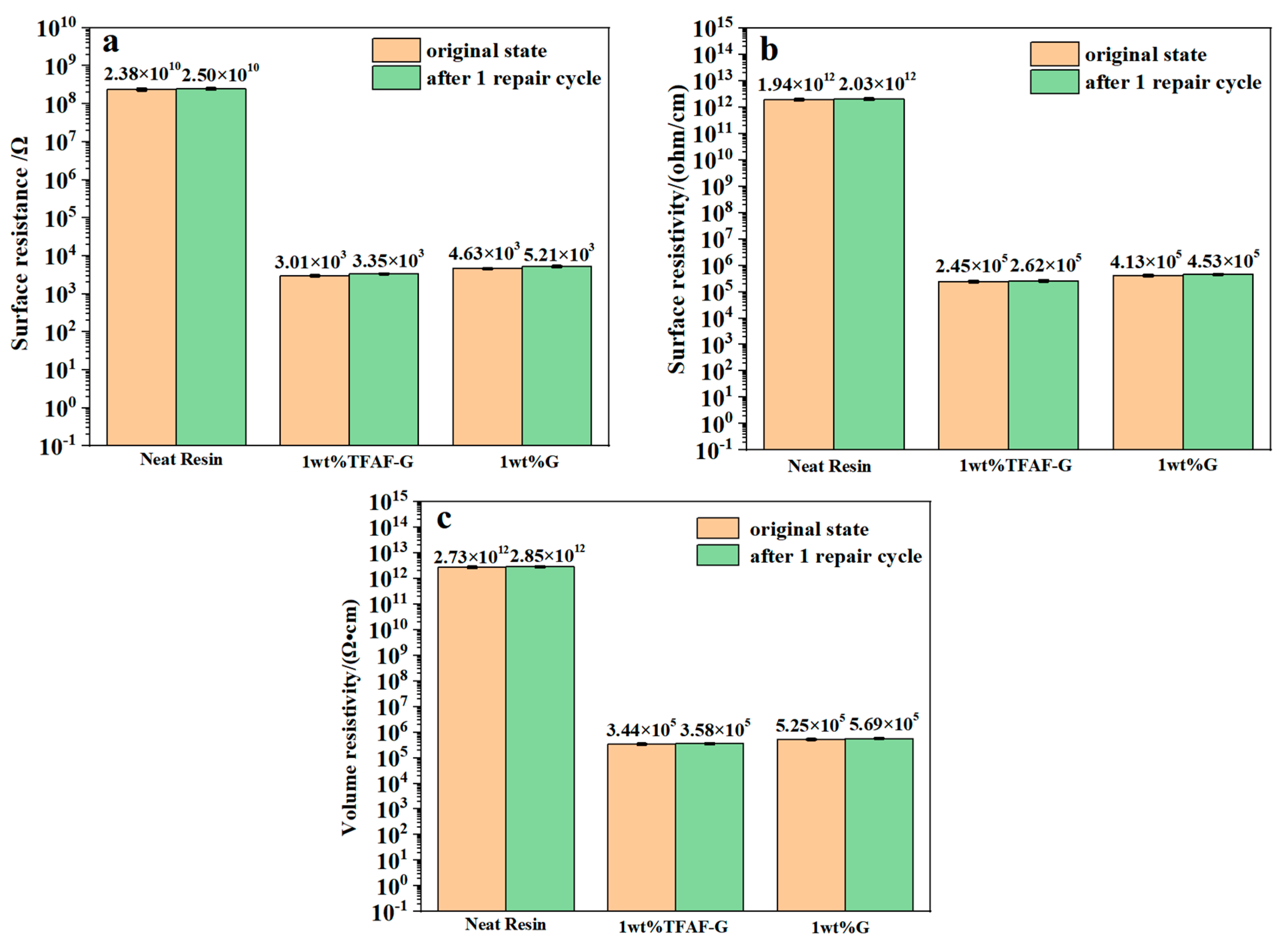
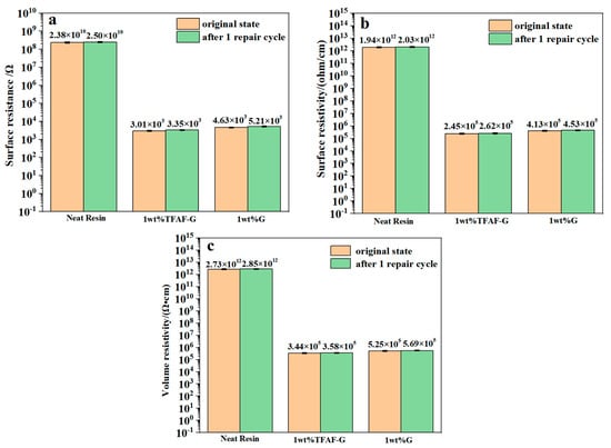
3.6. Characterization of Conductive Properties of TFAT-G/Resin Nanocomposites
3.7. Characterization of the Reparative Properties of TFAT-G/Resin Nanocomposites
4. Conclusions
Author Contributions
Funding
Institutional Review Board Statement
Informed Consent Statement
Data Availability Statement
Conflicts of Interest
References
- Aliotta, L.; Gigante, V.; Acucella, O.; Signori, F.; Lazzeri, A. Thermal, Mechanical and Micromechanical Analysis of PLA/PBAT/POE-g-GMA Extruded Ternary Blends. Front. Mater. 2020, 7, 130. [Google Scholar] [CrossRef]
- Hao, W.; Hao, H.; Kanwal, H.; Jiang, S. Compressive properties of self-healing microcapsule-based cementitious composites subjected to freeze-thaw cycles using acoustic emission. Front. Chem. 2022, 10, 940184. [Google Scholar] [CrossRef] [PubMed]
- Kampes, R.; Meurer, J.; Hniopek, J.; Bernt, C.; Zechel, S.; Schmitt, M.; Popp, J.; Hager, M.D.; Schubert, U.S. Exploring the principles of self-healing polymers based on halogen bond interactions. Front. Soft Matter 2022, 2, 973821. [Google Scholar] [CrossRef]
- Paladugu, S.R.M.; Sreekanth, P.S.R.; Sahu, S.K.; Naresh, K.; Karthick, S.A.; Venkateshwaran, N.; Ramoni, M.; Mensah, R.A.; Das, O.; Shanmugam, R. A Comprehensive Review of Self-Healing Polymer, Metal, and Ceramic Matrix Composites and Their Modeling Aspects for Aerospace Applications. Materials 2022, 15, 8521. [Google Scholar] [CrossRef] [PubMed]
- Stocker, C.W.; Lin, M.; Wong, V.N.L.; Patti, A.F.; Garnier, G. Modulating superabsorbent polymer properties by adjusting the amphiphilicity. Front. Chem. 2022, 10, 1009616. [Google Scholar] [CrossRef] [PubMed]
- Xiong, Z.; Zhang, H.; Zhou, Y.; Yang, Y. Preparation of PCU/PPy composites with self-healing and UV shielding properties. Front. Mater. 2022, 9, 1043355. [Google Scholar] [CrossRef]
- Bergman, S.D.; Wudl, F. Mendable polymers. J. Mater. Chem. 2008, 18, 41–62. [Google Scholar] [CrossRef]
- Chen, X.; Dam, M.A.; Ono, K.; Mal, A.; Shen, H.; Nutt, S.R.; Sheran, K.; Wudl, F. A thermally re-mendable cross-linked polymeric material. Science 2002, 295, 1698–16702. [Google Scholar] [CrossRef]
- Chhetri, S.; Adak, N.C.; Samanta, P.; Murmu, N.C.; Kuila, T. Functionalized reduced graphene oxide/epoxy composites with enhanced mechanical properties and thermal stability. Polym. Test. 2017, 63, 1–11. [Google Scholar] [CrossRef]
- Sanka, R.V.S.P.; Krishnakumar, B.; Leterrier, Y.; Pandey, S.; Rana, S.; Michaud, V. Soft Self-Healing Nanocomposites. Front. Mater. 2019, 6, 137. [Google Scholar] [CrossRef]
- Tian, Q.; Rong, M.Z.; Zhang, M.Q.; Yuan, Y.C. Synthesis and characterization of epoxy with improved thermal remendability based on Diels—Alder reaction. Polym. Int. 2010, 59, 1339–1345. [Google Scholar] [CrossRef]
- Wang, J.; Lv, C.; Li, Z.; Zheng, J. Facile Preparation of Polydimethylsiloxane Elastomer with Self-Healing Property and Remoldability Based on Diels–Alder Chemistry. Macromol. Mater. Eng. 2018, 303, 1800089. [Google Scholar] [CrossRef]
- Chuo, T.-W.; Liu, Y.-L. Furan-functionalized aniline trimer based self-healing polymers exhibiting high efficiency of anticorrosion. Polymer 2017, 125, 227–233. [Google Scholar] [CrossRef]
- Cui, J.; Zhou, S. High-Concentration Self-Cross-Linkable Graphene Dispersion. Chem. Mater. 2018, 30, 4935–4942. [Google Scholar] [CrossRef]
- Devaraju, S.; Prabunathan, P.; Selvi, M.; Alagar, M. Low dielectric and low surface free energy flexible linear aliphatic alkoxy core bridged bisphenol cyanate ester based POSS nanocomposites. Front. Chem. 2013, 1, 19. [Google Scholar] [CrossRef] [PubMed]
- Fang, L.; Chen, J.; Zou, Y.; Xu, Z.; Lu, C. Thermally-Induced Self-Healing Behaviors and Properties of Four Epoxy Coatings with Different Network Architectures. Polymers 2017, 9, 333. [Google Scholar] [CrossRef]
- Min, Y.; Huang, S.; Wang, Y.; Zhang, Z.; Du, B.; Zhang, X.; Fan, Z. Sonochemical Transformation of Epoxy–Amine Thermoset into Soluble and Reusable Polymers. Macromolecules 2015, 48, 316–322. [Google Scholar] [CrossRef]
- Ostapiuk, M. Microcapsules in Fiber Metal Laminates for Self-Healing at the Interface between Magnesium and Carbon Fiber-Reinforced Epoxy. Materials 2023, 16, 6524. [Google Scholar] [CrossRef]
- Pandey, A.; Sharma, A.K.; Shukla, D.K.; Pandey, K.N. Effect of Self-Healing by Dicyclopentadiene Microcapsules on Tensile and Fatigue Properties of Epoxy Composites. Materials 2023, 16, 5191. [Google Scholar] [CrossRef]
- Amirbeygi, H.; Khosravi, H.; Tohidlou, E. Reinforcing effects of aminosilane-functionalized graphene on the tribological and mechanical behaviors of epoxy nanocomposites. J. Appl. Polym. Sci. 2019, 136, 47410. [Google Scholar] [CrossRef]
- Hameed, A.; Islam, M.; Ahmad, I.; Mahmood, N.; Saeed, S.; Javed, H. Thermal and mechanical properties of carbon nanotube/epoxy nanocomposites reinforced with pristine and functionalized multiwalled carbon nanotubes. Polym. Compos. 2014, 36, 1891–1898. [Google Scholar] [CrossRef]
- Bekeshev, A.; Mostovoy, A.; Shcherbakov, A.; Tastanova, L.; Akhmetova, M.; Apendina, A.; Orynbassar, R.; Lopukhova, M. The Influence of Pristine and Aminoacetic Acid-Treated Aluminum Nitride on the Structure, Curing Processes, and Properties of Epoxy Nanocomposites. J. Compos. Sci. 2023, 7, 482. [Google Scholar] [CrossRef]
- Ding, L.; Yang, J.P.; Hao, X.L.; Tong, T. Fabrication and Characterization of a Modified Conjugated Molecule-Based Moderate-Temperature Curing Epoxy Resin System. Front. Mater. 2020, 7, 577962. [Google Scholar] [CrossRef]
- Jamali, N.č.; Rezvani, A.; Khosravi, H.; Tohidlou, E. On the mechanical behavior of basalt fibre/epoxy composites filled with silanized graphene oxide nanoplatelets. Polym. Compos. 2018, 39, 2472–2482. [Google Scholar] [CrossRef]
- Mi, X.; Zhong, L.; Wei, F.; Zeng, L.; Zhang, J.; Zhang, D.; Xu, T. Fabrication of halloysite nanotubes/reduced graphene oxide hybrids for epoxy composites with improved thermal and mechanical properties. Polym. Test. 2019, 76, 473–480. [Google Scholar] [CrossRef]
- Naresh, K.; Khan, K.A.; Umer, R. Experimental characterization and modeling multifunctional properties of epoxy/graphene oxide nanocomposites. Polymers 2021, 13, 2831. [Google Scholar] [CrossRef]
- Kuang, X.; Liu, G.; Dong, X.; Wang, D. Enhancement of Mechanical and Self-Healing Performance in Multiwall Carbon Nanotube/Rubber Composites via Diels—Alder Bonding. Macromol. Mater. Eng. 2016, 301, 535–541. [Google Scholar] [CrossRef]
- Zou, Y.; Fang, L.; Chen, T.; Sun, M.; Lu, C.; Xu, Z. Near-Infrared Light and Solar Light Activated Self-Healing Epoxy Coating having Enhanced Properties Using MXene Flakes as Multifunctional Fillers. Polymers 2018, 10, 474. [Google Scholar] [CrossRef]
- An, F.; Li, X.; Min, P.; Li, H.; Dai, Z.; Yu, Z.Z. Highly anisotropic graphene/boron nitride hybrid aerogels with long-range ordered architecture and moderate density for highly thermally conductive composites. Carbon 2018, 126, 119–127. [Google Scholar] [CrossRef]
- Xu, J.H.; Ye, S.; Ding, C.D.; Tan, L.H.; Fu, J.J. Autonomous self-healing supramolecular elastomer reinforced and toughened by graphitic carbon nitride nanosheets tailored for smart anticorrosion coating applications. J. Mater. Chem. A 2018, 6, 5887–5898. [Google Scholar] [CrossRef]
- Zheng, C.; Yue, Y.; Gan, L.; Xu, X.; Mei, C.; Han, J. Highly stretchable and self-healing strain sensors based on nanocellulose supported graphene dispersed in electro-conductive hydrogels. Nanomaterials 2019, 9, 937. [Google Scholar] [CrossRef] [PubMed]
- Hilf, J.; Scharfenberg, M.; Poon, J.; Moers, C.; Frey, H. Aliphatic polycarbonates based on carbon dioxide, furfuryl glycidyl ether, and glycidyl methyl ether: Reversible functionalization and cross-linking. Macromol. Rapid. Commun. 2014, 36, 174–179. [Google Scholar] [CrossRef] [PubMed]
- Huang, H.Y.; Huang, T.C.; Lin, J.C. Advanced environmentally friendly coatings prepared form amine-capped aniline trimer-based waterborne electroactive polyurethane. Mater. Chem. Phys. 2013, 137, 772–780. [Google Scholar] [CrossRef]
- Ye, Y.Z.D.; Liu, T.; Liu, Z.; Pu, J.; Liu, W.; Zhao, H.; Li, X.; Wang, L. Superior corrosion resistance and self-healable epoxy coating pigmented with silanzied trianiline-intercalated graphene. Carbon 2019, 142, 164–176. [Google Scholar] [CrossRef]
- GB/T 1040; Determination of Tensile Properties of Plastics. China National Standardization Commission: Beijing, China, 2018.














| Sample | Tensile Strength/Mpa | Strain at Break/% | Modulus/Mpa |
|---|---|---|---|
| Neat resin | 0.884 ± 0.103 | 38.348 ± 0.582 | 3.142 ± 0.177 |
| 0.25 wt% TFAT-G | 1.389 ± 0.118 | 46.500 ± 2.354 | 4.238 ± 0.186 |
| 0.5 wt% TFAT-G | 2.232 ± 0.175 | 51.333 ± 1.762 | 4.826 ± 0.332 |
| 0.75 wt% TFAT-G | 2.581 ± 0.216 | 55.318 ± 2.461 | 5.031 ± 0.475 |
| 1 wt% TFAT-G | 2.948 ± 0.181 | 62.333 ± 3.254 | 5.219 ± 0.494 |
| 1.25 wt% TFAT-G | 2.437 ± 0.154 | 41.276 ± 2.292 | 5.743 ± 0.428 |
| 1 wt% G | 0.779 ± 0.136 | 28.484 ± 2.953 | 4.338 ± 0.371 |
| Neat resin after one repair cycle | 0.643 ± 0.117 | 33.67 ± 1.286 | 2.749 ± 0.232 |
| 1 wt% TFAT-G after one repair cycle | 2.447 ± 0.225 | 54.108 ± 2.318 | 5.014 ± 0.524 |
| 1 wt% G after one repair cycle | 0.561 ± 0.125 | 22.451 ± 1.384 | 3.697 ± 0.531 |
Disclaimer/Publisher’s Note: The statements, opinions and data contained in all publications are solely those of the individual author(s) and contributor(s) and not of MDPI and/or the editor(s). MDPI and/or the editor(s) disclaim responsibility for any injury to people or property resulting from any ideas, methods, instructions or products referred to in the content. |
© 2023 by the authors. Licensee MDPI, Basel, Switzerland. This article is an open access article distributed under the terms and conditions of the Creative Commons Attribution (CC BY) license (https://creativecommons.org/licenses/by/4.0/).
Share and Cite
Wang, F.; Zhang, Y.; Hu, S.; Zhong, X.; Bai, J.; Zhang, Y.; Bao, J. Preparation and Characterization of Conductive/Self-Healing Resin Nanocomposites Based on Tetrafunctional Furan-Functionalized Aniline Trimer Modified Graphene. Polymers 2024, 16, 90. https://doi.org/10.3390/polym16010090
Wang F, Zhang Y, Hu S, Zhong X, Bai J, Zhang Y, Bao J. Preparation and Characterization of Conductive/Self-Healing Resin Nanocomposites Based on Tetrafunctional Furan-Functionalized Aniline Trimer Modified Graphene. Polymers. 2024; 16(1):90. https://doi.org/10.3390/polym16010090
Chicago/Turabian StyleWang, Feng, Yichuan Zhang, Su Hu, Xiangyu Zhong, Jiangbo Bai, Yang Zhang, and Jianwen Bao. 2024. "Preparation and Characterization of Conductive/Self-Healing Resin Nanocomposites Based on Tetrafunctional Furan-Functionalized Aniline Trimer Modified Graphene" Polymers 16, no. 1: 90. https://doi.org/10.3390/polym16010090
APA StyleWang, F., Zhang, Y., Hu, S., Zhong, X., Bai, J., Zhang, Y., & Bao, J. (2024). Preparation and Characterization of Conductive/Self-Healing Resin Nanocomposites Based on Tetrafunctional Furan-Functionalized Aniline Trimer Modified Graphene. Polymers, 16(1), 90. https://doi.org/10.3390/polym16010090
